
aDepartment of Biochemistry, Regenix Superspeciality Laboratories (Affiliated to University of Madras), bConsultant, Lab Services, Apollo Hospitals, Chennai, Tamilnadu, India, cHead of the Department, Department of Biochemistry, Regenix Super Speciality Laboratories, Chennai, Tamilnadu, India
Email: sanbioz.scope@gmail.com
Received: 09 Dec 2021, Revised and Accepted: 12 Mar 2022
ABSTRACT
Objective: Ayurvedic formulation derived phytomedicine could bring a specific remedy against myocardial infarction (MI) without any side effects. Arjunarishta is a cardio tonic that nourishes and strengthens the myocardial muscle and promotes cardiac function. The preparation of Arjunarishta is modified and it does not involve fermentation. So it is alcohol-free and safe to all age groups. The study of acute toxicity and therapeutic activity of Modified Arjunarishta (MA) in isoproterenol (IPN) induced MI in rats was conducted to bring scientific evidence.
Methods: Acute toxicity study: Mice are divided into three groups. Group I-control group; Group II and group III were test groups and they received an oral dose of 1000 mg/kg and 2000 mg/kg of MA, respectively. The experimental mice were observed for behaviour changes and clinical signs. Their body weight was also recorded. At the end of the experiment, blood sample was collected and glucose, liver function test (LFT), renal function test (RFT) and haematology parameters were analysed. Then they also subjected to gross pathological examination of all the major internal organs. Therapeutic study: Rats were divided into six groups. Group 1-normal control; Group 2 (induced)-IPN 85 mg/kg for the first two days; Group 3 (MA low dose)-received IPN as per group 2 followed by MA 200 mg/kg from the 3rd day to the end of the experiment; Group 4 (MA medium dose)-400 mg/kg; Group 5 (MA high dose)-600 mg/kg; Group 6 (Standard)-IPN as per group 2 followed by Arjunarishta 2 ml/kg body weight from the 3rd day to the end of the experiment. The collected serum sample was used for the estimation of myocardium-expressed proinflammatory cytokines. Heart tissue was homogenized for the estimation of calcium and lipid profile.
Results: Acute toxicity: There were no signs of toxicity and no significant change in body weight. The value of glucose, RFT, LFT and haematological parameters are remained normal. Histopathological report showed normal architecture. Therapeutic activity: In the heart samples, significantly (p<0.001) increased cholesterol, Triglyceride (TGL), Free Fatty acids (FFA) and calcium in IPN induced groups was noted. They are all significantly (p<0.001) decreased in MA administrated groups of three different groups. In serum sample, a significantly (p<0.001) increased cytokines of Tumor necrosis factor α (TNFα), Interlukins (IL-6, IL-1α and IL-1β) in IPN induced rats was recorded were as they get significantly (p<0.001) decreased in MA administrated groups of three different doses.
Conclusion: The results obtained from the acute toxicity experiment concluded that MA was found to be safe for oral administration. The therapeutic experiment results clearly emphasize the beneficial action of MA against IPN induced MI in rats.
Keywords: Hormone sensitive lipase, Ionotropic effect, Cardiac remodelling, Proinflammatory cytokine
© 2022 The Authors. Published by Innovare Academic Sciences Pvt Ltd. This is an open access article under the CC BY license (https://creativecommons.org/licenses/by/4.0/)
DOI: https://dx.doi.org/10.22159/ijpps.2022v14i5.43797. Journal homepage: https://innovareacademics.in/journals/index.php/ijpps.
The most lethal manifestation of Cardio Vascular Diseases (CVD) is myocardial infarction (MI). It affects a large proportion of population. World Health Organisation (WHO) (2005) report shows that MI is a leading cause of mortality and disability of adults in both urban and rural India. Especially in western population, it occurs at younger age [1]. So the, medical scientists are in-depth investigating to bring a better remedy for this ailment. The MI is the acute state of myocardial necrosis which is the result of imbalance between myocardial demand and coronary blood supply [2].
The Isoproterenol (IPN) is a β-adrenergic agonist and synthetic catecholamine that cause excessive stress in the myocardium which leads to infract-like necrosis of the cardiac muscle [3]. Experimentally IPN induced MI in rats is a well-established model [4] to study the therapeutic effect of different cardio drugs. In the heart, the IPN increases lipid parameters such as cholesterol, triglyceride (TGL) and free fatty acids (FFA) and decreases phospholipid [5]. The IPN mode of action in myocardial lesion induction is probably by myocardial calcium overload and consequent high-energy phosphate depletion. This depletion is directly proportional to the myocardial damage caused by IPN [6]. In other turns the IPN stimulate myocardium to express pro-inflammatory cytokines such as Tumor Necrosis Factor-α (TNFα) and Interleukins: IL-6, IL-1α and IL-1β. These also contribute to the pathogenesis of cardiac failure [7].
Even though wide range of drugs is available to control MI, they have limitations due their adverse side effects. In developing countries also, therapeutic options are costly and not readily reachable to the poor people. These circumstances insists, the demand for the efficient management of MI. In view of these limitations, Ayurveda is often explored by the medical fraternity as an economical and easily accessible substitute. The salient feature of the Ayurvedic medicine and other herbal medicine is that they overcome the general limitations of allopathic drugs. Main reason behind the usage of herbal drugs is cost-effective, locally accessible and no side effects. According to WHO, the herbal medicines usage throughout the world outstrips that of the conventional drugs by two to three times [8]. The usage of plants for therapeutic purposes predates human history and creates the origin of modern medicine [9]. The Modified Arjunarishta (MA) is a cardiotherapeutic drug designed in order to overcome the limitations of Arjunarishta. As it is prepared by the non-fermentation method, it is alcohol-free and safe to use for all age groups. Apart from that it could have the exact cardiotherapeutic properties as similar to that of arjunarishta as it enclosed all the primary phytochemicals that involved in the mode of therapeutic action [10]. Thereby it serves as a refined cardiotonic which nourishes and strengthens myocardial muscle and promotes cardiac function. The active pytoconstituents and the synergic effect of this drug might be the reason for the cardiotherapeutic action. However, there is no scientific report to evaluate potential toxicity. Hence a study was under taken to establish the toxicity profile of MA in experimental animals that will gather strong evidence for its safety in clinical use.
Chemicals
IPN and ferric chloride was purchased from Sigma–Aldrich chemicals USA. Laboratory chemicals such as chloroform, methanol, formalin and xylene were purchased from Merk and Medilice. The routine clinical chemistry diagnostics kits were purchased from Tulip diagnostics Pvt. Ltd, India, and Accurex Biomedical Pvt. Ltd., India.
Plant specimen and drug preparation
MA is a herbal formulation of three botanicals: Terminalia arjuna bark, Mudhuca longifolia flower and Vitis venifera fruit, which were collected from Villivakkam, Chennai; KG Kandigai, Tiruttani and an Ayurvedic shop, Chennai, TN, India, respectively. They are all submitted to the Siddha Central Research Institute, Chennai, India, for botanicals and drug authentication. All the ingredients were wet-grinded using mortar and pestle in clean conditions. The contents were mixed with 32 parts of sterile water and allowed to boil. The boiling was continued till the liquid level was reduced to one part through evaporation. The extract was filtered through Whatman filter paper 1. The filtrate is transferred into an air-tight container and stored. This procedure was proposed by the Traditional Vaithiyar from Siddha Vidhya nilayam, Thiruvallore.
Animals
The Institutional Animal Ethical Committee (IAEC) at Nandha College of Pharmacy, Erode, Tamilnadu, India, has approved the experimental protocol of this study (NCP/IAEC/2015-16-11). Male albino Wistar rats (Rattus nonegicus) of weight 160-180 gms and albino mice of 18-22 gms obtained from the Central Animal House of Nandha College of Pharmacy were used in this study. They were housed in polypylene cages (three rats per cage) of size 47 X 34 X 20 cm and lined with fine husk renewed every 24 h under 12:12 h dark and light cycle at around 22 °C and 50 % humidity. Rats had free access to tap water and food of standard pellet diet, which was obtained from Pranav Agro, Pune, India. The experiment was carried out according to the guidelines of the committee for the control and supervision of experimental animals, New Delhi, India.
Acute toxicity study
The oral toxicity was conducted following the guidelines of OECD for testing of drugs, TG 423 (Dec 2001–adopted) with minor modifications. Nine mice were randomized into three groups (3 mice in each group) i.e., one control and two test groups. Group I: Control group received normal saline; Group II: Test group received an oral dose of 1000 mg/kg body weight of MA; Group III: Test group received oral dose of 2000 mg/kg body weight of MA. All the experimental animals were observed for mortality and clinical signs of toxicity, such as ataxia, aggression, convulsion, dyspnea, hyper excitability, exopthalmos, lacrimation, oral/nasal discharge, piloerection, polyuria, tremor, tachycardia and altered locomotor activity at 30 min, 1, 2 and 4 h and thereafter once a day for the next 14 d following MA administration. Their body weight was also recorded. On 15th day, the overnight-fasted mice were euthanized in a carbon dioxide euthanasia chamber. Then they were subjected to gross pathological examination of all the major internal organs. Additionally, blood sample was also collected and tested for Glucose, Liver Function Test: Total bilirubin, serum glutamic-oxaloacetic transaminase (SGOT), serum glutamic pyruvic transaminase (SGPT), alkaline phosphatase (ALP) and γ-gltamyl transferase (GGT), total protein and albumin); Renal Function Test: Urea, creatinine, uric acid and electrolytes and Haematology: Haemoglobin (Hb), packed cell volume (PCV), red blood corpuscles count (RBC), white blood corpuscles count (WBC) and platelets. According to the Globally Harmonized System of Classification and Labelling of Chemicals, the LD50 cut-off value of MA was determined.
Biochemistry analysis
The parameters of SGOT, SGPT, ALP and GGT were quantitatively estimated by IFCC/Kinetic method. The analysis was carried out in a Robonik chemistry analyzer (Photometry method) using Accurex kit. Bilirubin in serum was estimated by using the human diagnostic kit based Diazo method [11]. Total protein in serum was estimated by using diagnostic kit of Accurex biomedical Pvt. Ltd., based on Biuret method. Albumin in serum was estimated by using the diagnostic kit of Accurex biomedical Pvt. Ltd., based on the BCG method. Urea in serum was estimated by urease/glutamate dehydrogenase method. Creatinine in serum was estimated by Jaffe’s method. The uric acid in serum was determined by using diagnostic kit of Tulip diagnostics Pvt. Ltd., based on the method Uricase/PAP. The electrolytes of Na+, K+and Cl-were analyzed through the analyzer of Roche 9180 instrument. Following the daily cleaning and calibration, about 100 µl of serum sample was introduced into the analyzer as per the manual. Very shortly, results were generated on the display that will be noted for further reference.
Haematology
The complete blood cell count was performed using Beckman DxH 500 analyzer. The Beckman DxH 500 is a quantitative, fully automated haematology analyzer that analyzes Hb concentration and performs RBC, WBC, platelet count and PCV with the method of impedance, optical flow cytometric and spectrophotometry. The sample number and group number are entered in the sample ID panel. Through the display it was checked. Each sample is gently mixed by inverting minimum eight times before feeding them into the instrument. The sample rack containing tube is placed beneath the probe and aspiration button pressed. The probe allows aspirating the sample and move up to the instrument. The sample tube is removed from the instrument after hearing an audible alarm. After a few seconds, the results of Hb, PCV, RBC, WBC and Platelet count are displayed on the monitor, which are all recorded.
Histopathological studies
The histopathological studies were conducted according to Haematoxylin and Eosin method [12]. A part of cardiac tissue was dissected and was kept in 10 % Formalin. The biopsy was then dipped in different concentrations of alcohol in ascending order and finally in absolute alcohol. Next they were kept in methyl benzoate for removing alcohol. Later, the biopsy sample was infiltrated with molten paraffin and the tissue was placed in it overnight at 60 °C. Following this, an embedding process was carried out to obtain a suitable size of tissue enclosed in paraffin blocks. Using a rotary microtome, thin sections were made from tissue blocks. These sections were fixed in a glass slide by using egg white and glycerol mixture. Mild warmth was applied by dipping in a water bath to remove the paraffin alone and placed in hot air oven at 60 °C for 10 min. The tissue was completely deparaffinized with xylene and treated with 100 %, 90 % and 70 % alcohol (two dips each) for removing undesirable pigments and other materials. Then the sections were stained with haematoxylin (nucleus stainer) and counterstained with eosin (cytoplasmic stainer). After drying, the sections were mounted using DPX (dibutyl phthalate in xylene) and examined under a compound microscope (both 40X and 100X view) with the help of a consultant pathologist.
Therapeutic activity
Animals were divided into six groups of six rats in each group. Group 1 (Normal control): Received free access to pure drinking water and a normal pellet diet; Group 2 (Induced group): Received IPN 85 mg/kg body weight subcutaneously for the first two days (24 h interval) to induce MI; Group 3 (MA low-dose model): Received IPN as per group 2 followed by the oral administration of MA 200 mg/kg body weight daily from the 3rd day to the 14th day of the experiment; Group 4 (MA medium-dose model): Received IPN as per group 2 followed by the oral administration of MA 400 mg/kg body weight daily from 3rd day to 14th day of the experiment; Group 5 (MA high-dose model): Received IPN as per group 2 followed by the oral administration of MA 600 mg/kg body weight daily from 3rd day to 14th day of the experiment; Group 6 (Arjunarishta model): Received IPN as per group 2 followed by the oral administration of Standard Arjunarishta 2 ml/kg body weight daily from 3rd day to end of the experiment. The dose was selected according to Ayurvedic Foundation of India.
Induction of myocardial infarction
IPN (85 mg/kg body weight) was dissolved in saline and injected subcutaneously into rats for the first two days (24 h interval) to induce MI [13, 14].
Preparation of sample for various analyses
At the end of experiment, the rats were anaesthetized with chloroform, and blood was collected through intraocular punch with a sharp capillary tube. The blood collected from each rat was used for clinical investigations. Then the rats were dissected. Immediately after dissection, heart tissues were excised and stored in ice-cold condition. Then the hearts were accurately weighted.
Lipid profile analysis
The total lipid contents in the cardiac tissue were extracted by the method devised by Folch et al., [15]. A known quantity of cardiac tissue suspension sample was mixed with 10 ml chloroform–methanol mixture and homogenized. The homogenate was filtered by using Whatman filter paper (No.42). The obtained filtrate was mixed with 0.2 ml of physiological saline and the extraction mixture was kept overnight. The lower phase containing liquid was drained off into a sterile beaker. The upper phase was re-extracted with abundant chloroform–ethanol solvent and the extracts were collected and allowed for evaporation to dryness. The collected lipids were again dissolved in 1 ml of chloroform-methanol solvent and made into aliquots, which were used for the quantitative estimation of various fat components such as cholesterol, TGL, high density lipoprotein, FFA and phospholipids. The aliquots were allowed to dry at room temperature in order to evaporate the solvent before use. Tissue-extracted cholesterol was estimated by Parekh and Jung method [16]. TGL in heart tissue was estimated by the method devised by Rice et al., [17]. FFA contents were quantitatively estimated by Hron and Menahan method [18]. Phospholipids were estimated by Bartlette method [19] by different digestion perchloric acid, and the phosphorus liberated was further estimated by the method Fiske and Subbarow method [20].
Calcium
Calcium was measured by Arsenazo III method using Tulip kit. About 0.01 ml of serum sample was mixed with 1 ml of reagent and incubated at room temperature for 5 min. Then the coloured reaction mixture was read against blank at 650 nm wavelength using Robonik Prietest touch chemistry analyser, which is pre-programmed with the end-point mode.
Analysis of cytokines
TNFα, IL-6, IL-1α and IL-1β were analyzed by using the Diaclone kit based on Enzyme-linked Immunosorbent Assay (ELISA) All the standards and samples were prepared and analyzed as per the kit protocol. At the end of kit procedure, a stop reagent was added to terminate the reaction and the developed colour was read at wavelength 450 nm using Bio-Rad microplate reader. The standard curve was prepared. Using the curve, the sample values are calculated and interpreted.
Statistical analysis
The data are expressed as the mean±SD for the six rats (n=6) in each group. By using the SPSS software, the statistically significant difference between the groups was calculated.
Acute toxicity study of MA
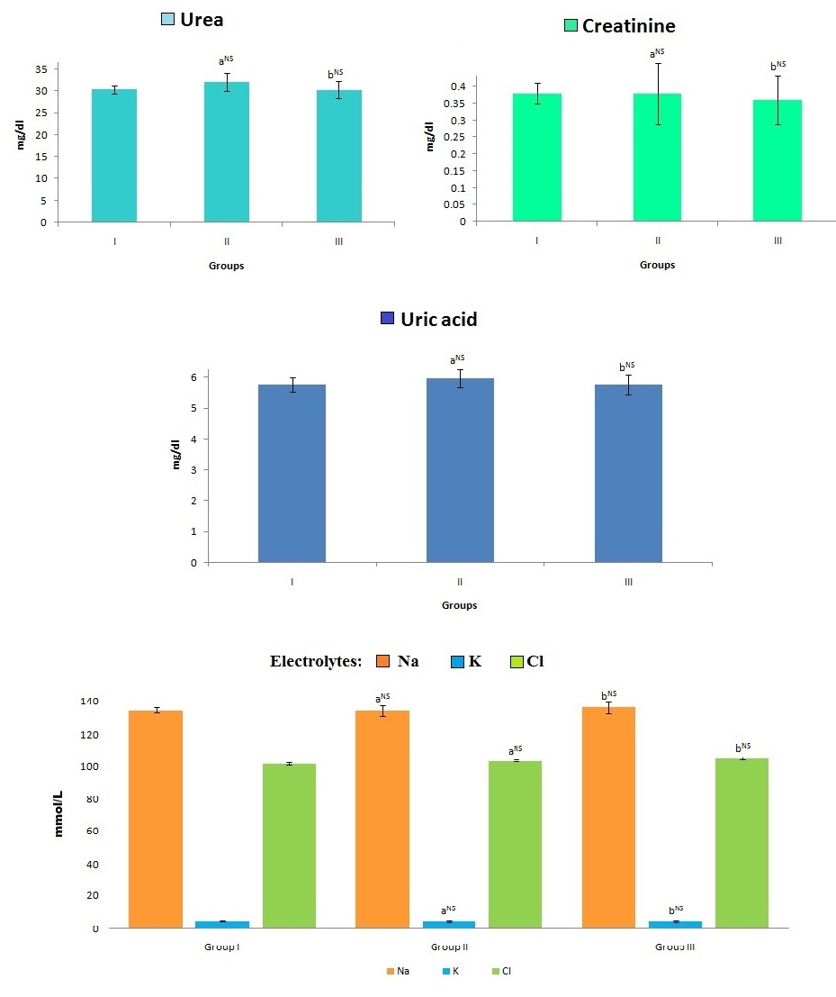
There was no treatment-related death. Also no signs of toxicity were found in control and both the MA-treated test mice throughout the study (table 1). Further, there were no pathological abnormalities in all the groups. The acute toxicity results of MA showed no significant changes in body weight (table 2), glucose (fig. 1), renal function test (urea, creatinine, uric acid, electrolytes) (fig. 2), liver function test (bilirubin, SGOT, SGPT, ALP, GGT, Protein and albumin) (fig. 3) and haematological parameters (Hb, PCV, RBC, WBC and platelets) (fig. 4). The effect of MA was studied through the histopathology study of the major vital organs such as the liver, kidney, brain and spleen (fig. 5) of albino mice. The histopathological results are shown in the figure. These were compared with the control and MA-treated animals. This study showed normal architecture suggesting no detrimental changes. No morphological disturbances were caused by the daily administration of MA at doses of 1000 mg/kg and 2000 mg/kg for 14 d. Hence, the LD50 value was found to be greater than 2000 mg/kg body weight. With reference to the Globally Harmonized System of Classification and Labelling of Chemicals, MA can be classified as category-5, and it provides direct relevance for protecting animal and human health.
Table 1: Effect of ma on routine clinical signs during acute oral toxicity study in mice
| Clinical sign | Findings |
| Ataxia | No |
| Aggression | No |
| Convulsion | No |
| Dyspenia | No |
| Hyperexcitability | No |
| Exopthalmoa | No |
| Lacrimation | No |
| Oral/nasal discharge | No |
| Piloerection | No |
| Polyuria | No |
| Rough coat | No |
| Tremor | No |
| Tachycardia | No |
| Altered locomotor activity | No |

Fig. 1: Acute toxicity study of ma on plasma glucose in control and experimental animals
Data represents mean±SD of three animals in each group. Group I–Normal control; Group II–1000 mg/kg MA; Group III–2000 mg/kg MA. Comparisons are made between “a” group II versus group I, “b” group III versus group I; NS–non-significant. Statistical comparisons were performed by one-way Anova followed by Tukey’s HSD test using SPSS Software.
Table 2: Acute toxicity study of ma on body weight in control and experimental mice
| Groups | Initial (gm) | Final (gm) |
| I | 19.70±0.40 | 20.25±0.53 |
| II | 20.40±0.43 | 20.93±0.39 |
| III | 20.20±0.34 | 20.68±0.36 |
Data represents mean±SD of three animals in each group. Group I–Normal control; Group II–1000 mg/kg MA; Group III–2000 mg/kg MA. Statistical comparisons were performed by one-way Anova followed by Tukey’s HSD test using SPSS Software.

Fig. 2: Acute toxicity study of ma on rft in control and experimental animals
Data represents mean±SD of three animals in each group. Group I–Normal control; Group II–1000 mg/kg MA; Group III–2000 mg/kg MA. Comparisons are made between “a” group II versus group I, “b” group III versus group I; NS–non-significant. Statistical comparisons were performed by one-way Anova followed by Tukey’s HSD test using SPSS Software.



Fig. 3: Acute toxicity study of ma on lft in control and experimental animals
Data represents mean±SD of three animals in each group. Group I-Normal control; Group II-1000 mg/kg MA; Group III-2000 mg/kg MA. Comparisons are made between “a” group II versus group I, “b” group III versus group I; NS-non significant. Statistical comparisons were performed by one way Anova followed by Tukey’s HSD test using SPSS Software.



Fig. 4: Acute toxicity study of ma on haematologycal parameters in control and experimental animals
Data represents mean±SD of three animals in each group. Group I-Normal control; Group II-1000 mg/kg MA; Group III-2000 mg/kg MA. Comparisons are made between “a” group II versus group I, “b” group III versus group I; NS-non significant. Statistical comparisons were performed by one way Anova followed by Tukey’s HSD test using SPSS Software.




Fig. 5: Acute toxicity study of ma on histopathology in control and experimental animals
Histology photomicrographs of Mice Liver: Group I, II and III maintained normal lobular architecture; Mice Kidney: Group I, II and III revealed normal renal parenchyma with well-developed cortico-medullary differentiation; Mice Spleen: Group I, II and III maintained splenic architecture with the normal lymphoid follicle; Mice Brain: Group I, II and III are found with no signs of cell degeneration and necrosis.

Fig. 6: Effect of ma on cholesterol and tgl in heart of control and experimntal rats
Data represents mean±SD of six animals in each group. Comparisons are made between “a” group II versus group I, “b” group II versus group III; “c” group II versus group IV; “d” group II versus group V; “e” group II versus group VI. Statistical comparisons were performed by one way Anova followed by Tukey’s HSD test using SPSS Software. Statistical significance: ***p<0.001, **p<0.01, *p<0.05 and NS non significant.

Fig. 7: Effect of ma on ffa in heart of control and experimntal rats
Data represents mean±SD of six animals in each group. Comparisons are made between “a” group II versus group I, “b” group II versus group III; “c” group II versus group IV; “d” group II versus group V; “e” group II versus group VI. Statistical comparisons were performed by one way Anova followed by Tukey’s HSD test using SPSS Software. Statistical significance: ***p<0.001, **p<0.01, *p<0.05 and NS non significant.

Fig. 8: Effect of ma on pl in heart of control and experimntal rats
Data represents mean±SD of six animals in each group. Comparisons are made between “a” group II versus group I, “b” group II versus group III; “c” group II versus group IV; “d” group II versus group V; “e” group II versus group VI. Statistical comparisons were performed by one-way Anova followed by Tukey’s HSD test using SPSS Software. Statistical significance: ***p<0.001, **p<0.01, *p<0.05 and NS non significant.
Therapeutic study
Cholesterol and TGL were analysed in the heart sample of rats. The significantly (p<0.001) increased Cholesterol and TGL were observed in IPN-induced myocardial infarcted rats (Group II). Whereas MA of three different doses (Group III, Group IV and Group V) and standard (Group VI) treated rats showed significantly (p<0.001) decreased cholesterol and TGL levels. There was a dose-dependent change of cholesterol and TGL in Group III and Group IV (fig. 6). Lipid plays a prime role in CVD not only through hyperlipidemia and the development of atherosclerosis but also by modifying the composition, structure and stability of the cellular membrane [21]. Accumulation of TGL is one of the riskiest factors of CVD. Cholesterol homeostasis takes place when the body balances the synthesis rate and dietary intake with respect to the rate of catabolism and elimination [22]. Administration of IPN has been reported to elevate adenylate cyclase activity leading to increased cAMP formation. The significant rise observed in lipid profile of rats injected with IPN alone could be due to the increased lipid biosynthesis through cardiac AMP on IPN administration [23]. Post-treatment with MA showed a significant decrease in the levels of cholesterol and TGL when compared with IPN-induced rats. A similar effect was noticed by the ethanolic extract of Urtica parviflora Barman et al., [24]. Under anaerobic condition, the heart muscle could not oxidize the available fatty acids, which causes an elevation in the levels of these long-chain fatty acids acyl CoA derivatives [25]. Catecholamine serves as a lipolytic hormone on fat cells, which is mediated by cyclic AMP cascades activating adenylate cyclase and which in turn increase c-AMP formation [26]. c-AMP promotes lipolytic activity by activating c-AMP-dependent protein kinase, which phosphorylates hormone-sensitive lipase (HSL) resulting in the hydrolysis of steroid TGL by HSL [27]. The significant elevation noticed in the total cholesterol and TGL level in the serum and cardiac tissue in the IPN-induced rats could be due to the enhanced lipid biosynthesis by cardiac c-AMP. In the study of MA post-treated rats, the total cholesterol and triglyceride levels are reduced. The action of MA might be due to its capacity to increase biliary cholesterol secretion many folds in rats without altering the biliary output of the phospholipids and bile salts [28, 29]. MA has an adequate amount of phenolic compounds present in it, and it has been reported that extracts containing flavonoids have hypolipidemic effect [10].
In the heart sample of rats a significantly (p<0.001) increased FFA in IPN-induced myocardial infarcted rats (Group II) was noted. Whereas significantly (p<0.001) decreased FFA was noted in MA administrated rats of three different doses (Group III, Group IV and Group V) and standard (Group VI) groups of rats. It was found to be the dose-dependent change in Group III and Group IV (fig. 7). As same in the heart sample of rats a significantly (p<0.001) decreased phospholipids in IPN-induced myocardial infarcted rats (Group II) was noted. Whereas significantly (p<0.001) increased phospholipids was noted in MA administrated rats of three different doses (Group III, Group IV and Group V) and standard (Group VI) groups of rats. It was found to be a dose-dependent change in Group III and Group IV (fig. 8). The elevated FFA in IPN-induced myocardial infarcted rats might be also due to calcium overload. MA administration significantly reversed all these changes to maintain the normal fluidity and function of the myocardial membrane. Studies have reported that increased peroxidation of membrane phospholipids releases FFA via phospholipase A2 [30]. Thus elevated membrane degradation leads to decreased phospholipid concentration in the heart of IPN-induced rats. Post-treatment with MA for a period of two weeks for IPN-treated rats results in the restoration of the levels of FFA and phospholipid in the cardiac tissue.
Calcium level was increased significantly (p<0.001) in IPN-induced myocardial infarcted rats and decreased significantly (p<0.001) with MA of three different doses (Group III, Group IV and Group V) and standard (Group VI) rats bearing IPN-induced MI. There was a dose-dependent change in calcium in Group III and Group IV (fig. 9). The positive ionotropic effects of IPN are stimulated by c-AMP, when IPN bind with β-adrenergic receptor on cardiomyocyte and leads to the stimulation of the cellular enzyme adenylate cyclase which changes ATP to cAMP. As a result, cAMP activates cAMP dependent protein kinase, leads phosphorylation of calcium channels of sarcoplasma, which could paves the way for enhanced calcium influx [31]. Post-treated rats with MA showed an reduced calcium level which might be due to stabilizing membrane-bound ATPases or could be due to the existence of alkaloids, saponins and calcium antagonist in the formulation. The result of the present study was also supported by Akpanabiatu et al., [32].

Fig. 9: Effect of ma on calcium in heart of control and experimental rats
Data represents mean±SD of six animals in each group. Comparisons are made between “a” group II versus group I, “b” group II versus group III; “c” group II versus group IV; “d” group II versus group V; “e” group II versus group VI. Statistical comparisons were performed by one-way Anova followed by Tukey’s HSD test using SPSS Software. Statistical significance: ***p<0.001, **p<0.01, *p<0.05 and NS non significant.
The serum cytokine levels of TNFα, IL-6, IL-1α and IL-1β were increased significantly (p<0.001) after IPN-induced MI (Group II). All MA doses (Group III, Group IV and Group V) and standard (Group VI) post-treated rats were found have significantly reduced (p<0.001) TNFα, IL-6, IL-1α and IL-1β (fig. 10). Post-treatment with MA and standard arjunarishta ensures a significantly lower level of inflammatory cytokines such as TNFα, IL-6, IL-1α and IL-1β resulting from IPN-induced MI, as demonstrated by our study. MA controlled the elevation of cytokine level as shown in fig. 10. TNFα and IL-6 are proinflammatory cytokines involved in the synthesis of collagen and scar formation after acute MI [33, 34]. TNFα is not expressed in normal cardiomyocytes, but after MI, the anoxia and ischemia activate cardiomyocytes and myocardial mononuclear macrophages, which lead to the generation of large amounts of TNFα in the myocardium in the infarcted zone and infarction border zone [35]. After acute MI, the serum level of IL-6 gets increased. As elevated IL-6 and CRP levels coincide with peak cardiac troponin they could confirm the connection between inflammation and infarct size [36]. During myocardial ischemia, the serum levels of IL-1β are elevated and they cause the activation of the myofibroblasts involved in the cardiac remodeling and the alteration of systolic function [37, 38]. A reduction in IL-1β level in serum indicates a smaller affected area of the myocardial tissue. This explains the role of IL-1β in the pathophysiology of MI [39]. The expression of TNFα, IL-6 and IL-1β cytokines was also triggered by interleukin-α [40], whose release from the myocardial cells is stimulated by the hypoxia and the acidosis accompanying ischemia [41]. IL-1α produced from necrotic cardiomyocyte might serve as a signal implicated in the activation of the post-infarction inflammatory response that contributes to the adverse cardiac remodelling [42]. It has been suggested that the formation of constitutive IL-1α might extend ischemic myocardial injury by increasing the apoptosis of cardiomyocytes [43]. Administration of MA was proved to be effective in limiting the serum level of TNFα, IL-6, IL-1α and IL-1β in myocardial ischemia-reperfusion injury in rats [44].

Fig. 10: Effect of ma on cytokines–TNF α, IL-6, IL-1α and IL-1β in serum of control and experimental rats
Data represents mean±SD of six animals in each group. Comparisons are made between “a” group II versus group I, “b” group II versus group III; “c” group II versus group IV; “d” group II versus group V; “e” group II versus group VI. Statistical comparisons were performed by one-way Anova followed by Tukey’s HSD test using SPSS Software. Statistical significance: ***p<0.001, **p<0.01, *p<0.05 and NS non significant.
In accordance with the OECD guidelines for testing of drugs, TG 423 (Dec 2001–adopted), MA was found to be safe for oral administration and LD50 value was greater than 2000 mg/kg. The results obtained from this research investigation clearly emphasize the beneficial action of MA against IPN-induced MI in rats. Hence, this might be useful towards the development of a new cardio therapeutic tonic. Cardiac lipid profile studies along with calcium analysis provide evidence for the cardiotherapeutic activity of MA against IPN-induced MI in rats. Analysis of protein expressions with ELISA technique also provides a significant tool to determine MA’s efficacy. Throughout the experiment, a dose-fixation study was also done, and it is found that 400 mg/kg body weight of MA was found to be optimum dosage. The unique feature that distinguishes Arjunarishta from MA is that it is alcohol-free, since the preparation of Modified does not involve fermentation. Hence, this drug is recommended for all age groups.
The thank the organisation ‘Regenix Super Speciality Laboratories Pvt. Ltd.,’ Chennai, India for providing lab facility to conduct research work.
Nil
All the authors have contributed equally.
Authors declare that there is no conflict of interest.
Dreyer RP, Tavella R, Curtis JP, Wang Y, Pauspathy S, Messenger J, Rumsfeld JS, Maddox TM, Krumholz HM, Spertus JA, Beltrame JF. Myocardial infarction with non-obstructive coronary arteries as compared with myocardial infarction and obstructive coronary disease: outcomes in a medicare population. Eur Heart J. 2020;41(7):870-8. doi: 10.1093/eurheartj/ehz403, PMID 31222249.
Thygesen K, Alpert JS, Jaffe AS, Chaitman BR, Bax JJ, Morrow DA, White HD, Mickley H, Crea F, Van de Werf F, Bucciarelli-Ducci C, Katus HA, Pinto FJ, Antman EM, Hamm CW, De Caterina R, Januzzi JL, Apple FS, Alonso Garcia MA, Underwood SR, Canty JM, Lyon AR, Devereaux PJ, Zamorano JL, Lindahl B, Weintraub WS, Newby LK, Virmani R, Vranckx P, Cutlip D, Gibbons RJ, Smith SC, Atar D, Luepker RV, Robertson RM, Bonow RO, Steg PG, O’Gara PT, Fox KAA. Fourth universal definition of myocardial infarction. Kardiol Pol. 2018;76(10):1383-415. doi: 10.5603/KP.2018.0203. PMID 30338834.
Rona G, Chappel CI, Balazs T, Gaudry R. An infarct-like myocardial lesion and other toxic manifestations produced by isoproterenol in the rat. AMA Arch Pathol. 1959;67(4):443-55. PMID 13636626.
Aman U, Vaibhav P, Balaraman R. Tomato lycopene attenuates myocardial infarction induced by isoproterenol: electrocardiographic, biochemical and anti-apoptotic study. Asian Pac J Trop Biomed. 2012;2(5):345-51. doi: 10.1016/S2221-1691(12)60054-9, PMID 23569928.
Goldstein JL, Brown MS. Progress in understanding the LDL receptor and HMG-CoA reductase, two membrane proteins that regulate the plasma cholesterol. J Lipid Res. 1984;25(13):1450-61. doi: 10.1016/S0022-2275(20)34418-7, PMID 6397553.
Fleckenstein A. History of calcium antagonists. Circ Res. 1983;52(2 Pt 2):I3-16. PMID 6339106.
Paulus WJ. Cytokines and heart failure. Heart Fail Monit. 2000;1(2):50-6. PMID 12634874.
Pal SK, Shukla Y. Herbal medicine: current status and the future. Asian Pac J Cancer Prev. 2003;4(4):281-8. PMID 14728584.
Tang C, Wang X, Qin LQ, Dong JY. Mediterranean diet and mortality in people with cardiovascular disease: A meta-analysis of prospective cohort studies. Nutrients. 2021;13(8):2623. doi: 10.3390/nu13082623, PMID 34444786.
Santhosh Kumar B, Diwakar M. Sri Kamatchi Priya R, Shyama S, Subramaniam S. GC-Ms Anal ayurvedic med “modified arjunarishta”. Int J Curr Res Chem Pharm Sci. 2017;4(3):46-50.
Malloy HT, Evelyn KA. The determination of bilirubin with the photoelectric colorimeter. J Biol Chem. 1937;119(2):481-90. doi: 10.1016/S0021-9258(18)74392-5.
Gurr E. Staining animal tissues: practical and theoretical. London: Leonard Hill; 1962.
Rajadurai M, Prince PS. Preventive effect of naringin on isoproterenol-induced cardiotoxicity in wistar rats: an in vivo and in vitro study. Toxicology. 2007;232(3):216-25. doi: 10.1016/j.tox.2007.01.006, PMID 17289242.
Nugraheni K, Saputri FC. The effect of secang extract (Caesalpinia Sappan Linn) on the weight and histology appearance of white male Rats’ Hearts induced by isoproterenol. Int J App Pharm. 2017;9:59-62. doi: 10.22159/ijap.2017.v9s1.35_41.
Folch J, Lees M, Sloane Stanley GH. A simple method for the isolation and purification of total lipides from animal tissues. J Biol Chem. 1957;226(1):497-509. doi: 10.1016/S0021-9258(18)64849-5, PMID 13428781.
Parekh AC, Jung DH. Cholesterol determination with ferric acetate-uranium acetate and sulfuric acid-ferrous sulfate reagents. Anal Chem. 1970;42(12):1423-7. doi: 10.1021/ac60294a044.
Rice EW, Epstein MB, Witter RF, Platt HA. Triglycerides (’neutral fat’) in serum. Standard Methods of Clinical Chemistry. 1970;6:215-22. doi: 10.1016/B978-0-12-609106-9.50027-0.
Hron WT, Menahan LA. A sensitive method for the determination of free fatty acids in plasma. J Lipid Res. 1981;22(2):377-81. doi: 10.1016/S0022-2275(20)35381-5, PMID 7240964.
Bartlett GR. Colorimetric assay methods for free and phosphorylated glyceric acids. J Biol Chem. 1959;234(3):469-71. doi: 10.1016/S0021-9258(18)70227-5, PMID 13641242.
Fiske CH, Subbarow Y. The colorimetric determination of phosphorus. J Biol Chem. 1925;66(2):375-400. doi: 10.1016/S0021-9258(18)84756-1.
Panda VS, N SR. Evaluation of the cardioprotective activity of Ginkgo biloba and ocimum sanctum in rodents. Altern Med Rev. 2009;14(2):161-71. PMID 19594225.
Hooper L, Martin N, Abdelhamid A, Davey Smith G. Reduction in saturated fat intake for cardiovascular disease. Cochrane Database Syst Rev. doi: 10.1002/14651858.CD011737.
Gunjal MA, Shah AS, Wakade AS, Juvekar AR. Protective effect of aqueous extract of moringa oleifera Lam. stem bark on serum lipids, marker enzymes and heart antioxidants parameters in isoproterenol-induced cardiotoxicity in wistar rats. Indian J Nat Prod Resour. 2010;1(4):485-92.
Barman NR, Nandy S, Datta R, Kar PK. Cardioprotective effect of ethanolic extract of Urtica parviflora Roxb. against isoproterenol induced myocardial infarction in rats. Indian J Pharmacol. 2013;45(5):513-6. doi: 10.4103/0253-7613.117782, PMID 24130389.
Whitmer JT, Idell-Wenger JA, Rovetto MJ, Neely JR. Control of fatty acid metabolism in ischemic and hypoxic hearts. J Biol Chem. 1978;253(12):4305-9. doi: 10.1016/S0021-9258(17)34720-8, PMID 659417.
Mehra R, Aanchal KS, Kalsi SP, Gautam SP. Hypertension in relation to Immune system and way of life along with treatment. Int J Curr Pharm Sci. 2021;13(6):1-10. doi: 10.22159/ijcpr.2021v13i6.1907.
Morimoto SI, Sekiguchi M, Hiramitsu S, Uemura A, Nishikawa T, Hishida H. Contribution of cardiac muscle cell disorganization to the clinical features of hypertrophic cardiomyopathy. Heart Vessels. 2000;15(4):149-58. doi: 10.1007/s003800070016, PMID 11471653.
Thewles A, Parslow RA, Coleman R. Effect of diosgenin on biliary cholesterol transport in the rat. Biochem J. 1993;291(3):793-8. doi: 10.1042/bj2910793, PMID 8387778.
Nibbering CP, Groen AK, Ottenhoff R, Brouwers JF, vanBerge-Henegouwen GP, van Erpecum KJ. Regulation of biliary cholesterol secretion is independent of hepatocyte canalicular membrane lipid composition: a study in the diosgenin-fed rat model. J Hepatol. 2001;35(2):164-9. doi: 10.1016/s0168-8278(01)00125-8, PMID 11580137.
Wang H, Paulsen MJ, Hironaka CE, Shin HS, Farry JM, Thakore AD, Jung J, Lucian HJ, Eskandari A, Anilkumar S, Wu MA, Cabatu MC, Steele AN, Stapleton LM, Zhu Y, Woo YJ. Natural heart regeneration in a neonatal rat myocardial infarction model. Cells. 2020;9(1):229. doi: 10.3390/cells9010229, PMID 31963369.
Doss Va, Manju Vidhya Sakthikumar, Dharaniyambigai Kuberapandian. Evaluation of the anti-hypertrophic potential of piper betle in isoproterenol-induced cardiac hypertrophic rat models. Asian J Pharm Clin Res. 2019;12(7):286-90. doi: 10.22159/ajpcr.2019.v12i7.33588.
Akpanabiatu MI, Umoh IB, Udosen EO, Udoh AE, Edet EE. Rat serum electrolytes, lipid profile and cardiovascular activity on Nauclea latifolia leaf extract administration. Indian J Clin Biochem. 2005;20(2):29-34. doi: 10.1007/BF02867397, PMID 23105530.
Tian M, Yuan YC, Li JY, Gionfriddo MR, Huang RC. Tumor necrosis factor-α and its role as a mediator in myocardial infarction: a brief review. Chronic Diseases and Translational Medicine. 2015;1(1):18-26. doi: 10.1016/j.cdtm.2015.02.002.
Puhakka M, Magga J, Hietakorpi S, Penttilä I, Uusimaa P, Risteli J, Peuhkurinen K. Interleukin-6 and tumor necrosis factor alpha in relation to myocardial infarct size and collagen formation. J Card Fail. 2003;9(4):325-32. doi: 10.1054/jcaf.2003.38, PMID 13680554.
Chen Y, Zhang Q, Liao YH, Cao Z, Du YM, Xia JD, Yang H, Chen ZJ. Effect of tumor necrosis factor-α on neutralization of ventricular fibrillation in rats with acute myocardial infarction. Mediators Inflamm. 2011;2011:565238. doi: 10.1155/2011/565238, PMID 21584281.
A SR, Sethumadhavan R, Thiagarajan P. Impact of deleterious non-synonymous single nucleotide polymorphisms of cytokine genes on non-classical hydrogen bonds predisposing to cardiovascular disease: an in silico approach. Asian J Pharm Clin Res. 2017;10(11):214-9. doi: 10.22159/ ajpcr.2017.v10i11.19531.
Nagaraju CK, Dries E, Popovic N, Singh AA, Haemers P, Roderick HL, Claus P, Sipido KR, Driesen RB. Global fibroblast activation throughout the left ventricle but localized fibrosis after myocardial infarction. Sci Rep. 2017;7(1):10801. doi: 10.1038/s41598-017-09790-1, PMID 28883544.
Kawaguchi M, Takahashi M, Hata T, Kashima Y, Usui F, Morimoto H, Izawa A, Takahashi Y, Masumoto J, Koyama J, Hongo M, Noda T, Nakayama J, Sagara J, Taniguchi S, Ikeda U. Inflammasome activation of cardiac fibroblasts is essential for myocardial ischemia/reperfusion injury. Circulation. 2011;123(6):594-604. doi: 10.1161/Circulationaha.110.982777, PMID 21282498.
Pomerantz BJ, Reznikov LL, Harken AH, Dinarello CA. Inhibition of caspase 1 reduces human myocardial ischemic dysfunction via inhibition of IL-18 and IL-1β. Proc Natl Acad Sci USA. 2001;98(5):2871-6. doi: 10.1073/pnas.041611398, PMID 11226333.
Turner NA, Das A, Warburton P, O’Regan DJ, Ball SG, Porter KE. Interleukin-1α stimulates proinflammatory cytokine expression in human cardiac myofibroblasts. Am J Physiol Heart Circ Physiol. 2009;297(3):H1117-27. doi: 10.1152/ajpheart.00372.2009, PMID 19648252.
Van Tassell BW, Toldo S, Mezzaroma E, Abbate A. Targeting interleukin-1 in heart disease. Circulation. 2013;128(17):1910-23. doi: 10.1161/circulationaha.113.003199, PMID 24146121.
Lugrin J, Parapanov R, Rosenblatt Velin N, Rignault Clerc S, Feihl F, Waeber B, Müller O, Vergely C, Zeller M, Tardivel A, Schneider P, Pacher P, Liaudet L. Cutting edge: il-1α is a crucial danger signal triggering acute myocardial inflammation during myocardial infarction. J Immunol. 2015;194(2):499-503. doi: 10.4049/jimmunol.1401948, PMID 25505286.
Frangogiannis NG. Interleukin-1 in cardiac injury, repair, and remodeling: pathophysiologic and translational concepts. Discoveries (Craiova). 2015;3(1). doi: 10.15190/d.2015.33, PMID 26273700.
Liu K, Chen H, You QS, Ye Q, Wang F, Wang S, Zhang SL, Yu KJ, Lu Q. Curcumin attenuates myocardial ischemia-reperfusion injury. Oncotarget. 2017;8(67):112051-9. doi: 10.18632/oncotarget.23002, PMID 29340110.