1Amity Institute of Pharmacy, Amity University, Noida 201313, UP, India, 2Amity Institute of Applied Sciences, Amity University Noida 201313, U. P, India
Email: achandra3@amity.edu, sgarg2@amity.edu
Received: 15 Dec 2014 Revised and Accepted: 21 May 2015
ABSTRACT
Objective: Synthesis of silver nanoparticles (AgNPs) using N. arobor-tristis aqueous leaf extract with the aid of micro wave is being demonstrated here.
Methods: UV-visible spectrophotometer, dynamic light scattering (DLS), atomic force (AFM) and transmission electron microscopic (TEM) analysis was used to characterize AgNPs. Antioxidant activity was assessed using DPPH assay and antibacterial potential was measured using the well diffusion assay.
Results: AgNPs formation was completed after 120 sec of microwave exposure. The particles were crystalline and mostly spherical in shape. Antioxidant potential was proved through DPPH assay. AgNPs demonstrated significant antibacterial potential against both Gram negative (E. coli) and Gram positive (S. aureus).
Conclusion: The results show that AgNPs have suitable antioxidant & antibacterial activity and thus have potential to be employed as a therapeutic and/or cosmetic agent.
Keywords: Silver nanoparticles, UV-vis, DLS, AFM, Antioxidant, Antibacterial potential.
INTRODUCTION
Silver nanoparticles are nanoparticles of silver, i.e. silver particles of between 1 nm and 100 nm in size. Nanotechnology has grown tremendously over the past few years and has even ventured into the field of clinical medicine. Silver nanoparticles (Ag NPs) has attracted the most interests in terms of their potential application. Nano-size form from household paints [1] to artificial prosthetic devices has imparted significant effects on our daily lives. Since the nineteenth century, antimicrobial applications have been found in many silver-based compounds. Numerous physical, biological, and pharmaceutical applications are known in silver nanoparticles. In many public places, silver nanoparticles are being used as antimicrobial agents such as railway stations and elevators in China, and they have good antimicrobial action. Silver ions and silver-based compounds are highly toxic to microorganisms which include 16 major species of bacteria [2, 3]. Silver nanoparticles has a large surface area available for the microbe to be exposed to. Silver nanoparticles find use in many antibacterial applications.
Silver nanoparticles are used as catalysts, as optical sensors of zeptomole (10−21) concentration, in textile engineering, in electronics, in optics, in the medical field as a bactericidal and as a therapeutic agent. Silver ions can be employed in dental problem, composites; imparting anti-microbial property by coating medical devices; imparting anti-bactericidal property to water filters and air sprays, pillows, wet wipes, respirators, socks, shampoos, soaps, toothpastes, detergents, washing machines, and many other consumer products. It can also be used in bone fracture and wound dressings.
Silver nanoparticles can be synthesized by many ways. These include physical, chemical, and biological methods. There are so many physical and chemical methods, but these methods are expensive or use toxic substances which are major factors that make them less favored methods of synthesis. Biological methods of using plants or microbes are an alternate and feasible method to synthesize silver nanoparticles. Plant leaf extract Syzygium cumini, [4] basil, [5] Saraca indica, [6-8], Piper nigrum [9] and Arnebia nobilis [10] had been used for the synthesis of gold and AgNPs, which lead to formation of pure metallic nanoparticles of silver and gold and can be used directly.
This is the first reported study detailing the synthesis, characterization and therapeutic potential of green synthesized silver nanoparticles using Nyctanthes arbor-tristis leaf extract. The bitter and acrid leaves of Nyctanthes arbor-tristis (Night jasmine) were used to reduce the silver ion to silver nanoparticles. Further, rapid green synthesis of stable AgNPs was attempted in order to reduce the reaction time.
MATERIALS AND METHODS
Synthesis of silver nanoparticles
Nyctanthes arbor-tristis leaves were collected from Dayal Bagh, Agra and washed with deionized water to remove any impurities, dried in dark to completely remove the moisture and powdered and then sieved using a 20-mesh sieve to obtain uniform sized powder. 2g, 1g, 0.5g and 0.25g powder were added to four 500 ml Erlenmeyer flasks containing 100 ml sterile distilled water each and exposed to microwave for 3 min. Fibrous impurities were removed by filtration through Whatman filter paper to obtain clear extracts. For the reduction of Ag+ions, 20 ml of different concentration of aqueous N. arbor-tristis root extracts were added to 100 ml of 10−3 M aqueous solutions of AgNO3 (Qualigens, India) separately and all four solutions were exposed to microwave radiation at a fixed frequency of 2450 MHz and power of 450 W. Periodically, aliquots of the reaction solutions were removed and subjected to UV-visible (UV-vis) spectroscopy measurements. Phytochemical evaluations of N. Arortristis leaves extract were carried out to determine the constituents responsible in reduction of silver nanoparticles.
Characterization of silver nanoparticles
UV-Vis spectroscopy
The progress of AgNPs formation was monitored using UV-vis spectra by employing a UV-vis double beam spectrophotometer (Schimadzu 1800, Columbia, USA) operated at a resolution of 1 nm with optical path length of 10 mm.
Transmission electron microscopy (TEM)
The transmission electron microscopy (TEM) image of the sample was obtained using FEI Philips Morgagni 268D instruments operated at 100 kV. TEM samples of the aqueous suspension of silver nanoparticles were prepared by placing a drop of the suspension on carbon-coated copper grids and the films on the TEM grids were allowed to stand for 2 min, after which the extra solution was removed using a blotting paper and the grid was allowed to dry prior to measurement.
Dynamic light scattering (DLS)
Dynamic Light Scattering (DLS, Zetaseizer Nano S90 Malvern, Spectris, England) analyzes the velocity distribution of nanoparticle movement by measuring dynamic fluctuations of light scattering intensity caused by the Brownian motion of the nanoparticles. This technique yields a hydrodynamic radius, or diameter, which is calculated with the help of Stokes-Einstein equation from the aforementioned measurements. It gives a total measurement of the nanoparticles perpendicular to the light source at that instant.
Dynamic Light Scattering confirmed the size of silver nanoparticles. For the characterization method of Dynamic Light Scattering (DLS) the samples were kept in the liquid form. Before characterization of sample the particles were dispersed by ultrasonication.
Atomic force microscopy (AFM)
The surface and size morphology of the silver nanoparticles were observed using Atomic Force Microscopy (AFM, NT-MDT Solvern Nano, Arizona). The size distribution of the samples was characterized by the AFM technique. The sample in the liquid form was ultra sonicated for over an hour in order to disperse it well and a single drop was then spread evenly in the center of the small glass slide which was wiped with ethanol. The glass slide was heated in an oven for over 15 minutes at 80 °C to fix the sample. This study revealed the surface morphology along with the size of the nanoparticles formed.
X-ray diffraction (XRD)
Synthesized nanoparticles were centrifuged at 8000 rpm for 10 min and subsequently re-dispersed in de ionized water twice to get rid of any unbound biological molecules that were not responsible for bio-functionalization or capping. The pure residue was dried perfectly in an oven overnight at 60 °C. Powder was used for crystallinity study using Bruker X-ray diffractometer (D-2 Phase) with Cu K(a) radiation, Germany.
Free radical scavenging ability on 2, 2-diphenyl-2-picrylhydrazyl (DPPH)
Silver nanoparticles of different concentrations was mixed with methanolic solution containing DPPH radicals (0.008%). The mixture was mixed well and left to stand for 30 min and 60 min in the dark before measuring the absorbance at 517 nm against a blank [11]. Scavenging ability was calculated using the following equation:

Where I (%) is the inhibition percent, A blank is the absorbance of the control reaction (containing methanolic solution of DPPH) and A sample is the absorbance of the nanoparticles.
Analysis of antibacterial activity
Sterile nutrient agar medium was poured into sterile petri plates and allowed to solidify. The petri plates were incubated at 37 °C for 24 hours to check for sterility. The medium was seeded with the organism culture (1 ml) by pour plate method. Bores were made on the medium using sterile borer. 10, 20, 40 and 80 µg/ml of silver nanoparticles was added to the respective bores. The petri plates were kept in refrigerator at 4 °C for 30 min for diffusion. After diffusion the petri plates were incubated at 37 °C for 24 hours and zone of inhibition were observed and measured.
RESULTS AND DISCUSSION
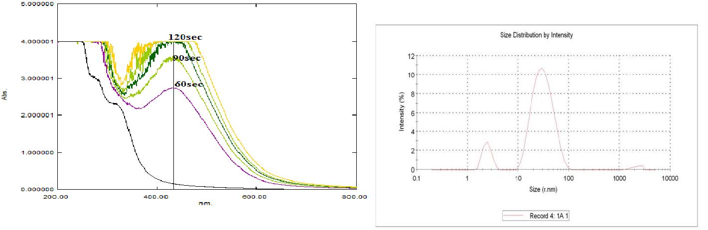
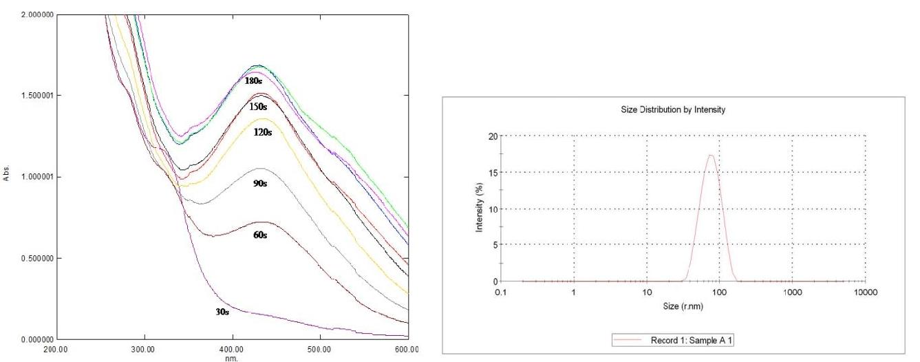
In aqueous solution of silver nitrate, different concentrations of N. arbor-tristis leaf extract were mixed. By measuring UV-vis spectrum [fig. 1(a,b,c & d)], the reduction of pure Ag+ions to Ag ° was monitored of the reaction media at regular intervals.

Fig. 1(a) & 2 (a): UV-Vis absorption spectra and DLS of green synthesized silver nanoparticles prepared with 0.02 gm/ml concentration of leaf extract

Fig. 1(b) & 2 (b): UV-Vis absorption spectra and DLS of green synthesized silver nanoparticles prepared with 0.01 gm/ml concentration of leaf extract
The colour of silver nanoparticles in all the flasks changed from light to dark brownish black, due to the excitation of the surface plasmon vibration in metal nanoparticles. UV-vis spectra were recorded of all the solutions as function of reaction time. The metal ions reduction occured very rapidly and the colour intensity of reaction mixture increased with increasing time of microwave exposure. Absorbance intensity increased steadily as a function of reaction time and it was observed that the surface plasmon peak occured at 422 nm. As expected silver nanoparticles were formed with all four concentrations however, the difference was observed in the time taken for complete formation of nanoparticles. 0.02g/ml leaf extract could synthesize silver nanoparticles within 120 seconds with the aid of microwave fig. 1(a) while other dilute concentrations of leaf extract required 180 seconds [Fig.1(b,c&d)]. DLS confirmed the size of nanoparticles, prepared by taking different concentrations of leaf extract, fig. 2 (a, b, c & d).

Fig. 1(c) & 2 (c): UV-Vis absorption spectra and DLS of green synthesized silver nanoparticles prepared with 0.005 gm/ml concentration of leaf extract

Fig. 1(d) & 2 (d): UV-Vis absorption spectra and DLS of green synthesized silver nanoparticles prepared with 0.0025 gm/ml concentration of leaf extract
Microwave assisted method offers a much faster method for synthesis as compared to the earlier reported conventional methods and even biological methods. The presence of phytoconstituents like carbohydrates, alkaloids and flavanoids was confirmed in N. arbor-tristis leaf by subjecting the leaf extracts to Molisch, Fehling, Benedict, Hager, Wagner and lead acetate test. TEM (fig. 3) and AFM (fig. 4) were used to confirm the particle shape & size. The studies revealed the presence of almost spherical shaped particles with size ranging from 15-20 nm.

Fig. 3: Transmission electron microscopy image of green synthesized silver nanoparticles
The X-ray diffraction (XRD) analysis showed diffraction peaks corresponding to fcc structure and crystallinity of silver nanoparticles. Intense peaks were observed at 38.30, 44.50, 64.60, and 77.50 (fig. 5), corresponding to 111, 200, 220, and 311 Bragg’s reflection, respectively (JCPDS, silver file no. 04-0783).

Fig. 4: AFM image of green synthesized silver nanoparticles
Antioxidant activity
Antioxidant activity refers to the inhibition of the oxidation of molecules by inhibiting the initiation step of the oxidative chain reactions and the formation of stable radicals, which are non-reactive. The colorimetric assay of silver nanoparticles synthesized from N. arbor-tristis leaf extract was performed to confirm the presence of antioxidant compounds capped on the AgNPs. The antioxidant activity was evaluated using DPPH assays and was found to increase with the increasing concentration of nanoparticles. The assay revealed the maximum antioxidant activity to be 87 % at 100µg/ml of AgNPs. The results of antioxidant assays are shown in fig. 6. The plant mediated nanoparticles exhibited effective radical scavenging activity. These experiments revealed that the antioxidant properties of AgPNs generated by the leaf extract has been retained possibly due to the capping on the AgNPs.

Fig. 5: XRD spectra of green synthesized silver nanoparticles

Fig. 6: Antioxidant activity of green synthesized silver nanoparticles of three replicates with s. d
Antibacterial activity
Zone of inhibition was observed for both Gram positive (Staphylococcus aureus) and Gram negative (E. coli) bacterial strains tested. The zone of inhibition increased in a dose dependent manner with increase in concentration of silver nanoparticles (table 1).
Table 1: Antibacterial activity of green synthesized silver nanoparticles
| Concentration (µg/ml) | Average zone of inhibition±SD (mm) | Average zone of inhibition±SD (mm) |
| S. aureus | E. coli | |
| 10 | 15.2±0.4 | 8.2±0.3 |
| 20 | 18.3±0.3 | 9.4±0.6 |
| 40 | 21.3±0.2 | 11.0±0.8 |
| 80 | 25.2±0.2 | 12.3±0.4 |
From the data it is inferred that the synthesized silver nanoparticles was effective for both type of microbes. Moreover, the zone of inhibition observed around Gram positive bacterial strains is found to be bigger size than Gram negative bacterial srain. Nano silver is more active towards Gram positive bacterial strain as compared to Gram negative and it was reasoned that factors other than membrane structure might be playing the role [12]. In a study, seven Apocynaceae members were studied for their antibacterial activity against ten pathogens, of which Plumeria alba showed efficient antibacterial activity and Rauvolfia tetraphylla showed moderate activity against most of the pathogens [13]. We have noticed that silver nanoparticles synthesized using N. arbor-tristis leaf extract produce sensitivities towards both E. coli and S. aureus (table 1).
CONCLUSION
The capability of forming silver nanoparticles using aqueous extract of N. arbor-tristis leaf with the aid of microwave has been demonstrated in this study. N. arbor-tristis leaf extract was used to carry out the study, which is environmentally benign and renewable & acts as a reducing and capping agents. Rapid green synthesis of AgNPs using N. arbor-tristis leaf extract with the aid of micro wave is a simple, fast and efficient route to produce spherical shaped nanoparticles within 120 sec. No chemical reagent or surfactant was required in this synthesis. Color change was observed due to surface Plasmon resonance during the reaction with the ingredients present in the plant root extract results in the formation of AgNPs which was confirmed by UV-vis, AFM, DLS and TEM.
Investigation of the antibacterial effect of nano sized silver colloidal solution against E. coli and S. aureus reveals efficacy of silver nanoparticles as a potential antimicrobial agent. This study suggests that the biosynthesized silver nanoparticles also possess potent antioxidant activity which was supported by antioxidant experiments involving DPPH. These nanoparticles might be useful as potential free radical scavengers toward the treatment of various diseases. In brief, the present study is very useful for throwing light on the biosynthesis of silver nanoparticles along with their antioxidant and anti-bacterial therapeutic potentials.
ACKNOWLEDGMENT
The authors acknowledge Amity University, Noida for providing the facility for carrying out this research work.
CONFLICT OF INTERESTS
Declared None
REFERENCES