School of Pharmacy, Bandung Institute of Technology, Bandung, Indonesia.
Email: ummi_rs@yahoo.com
Received: 16 Dec 2014 Revised and Accepted: 06 Jan 2015
ABSTRACT
Objective: The aim of this research was to develop a method of simultaneous analysis marker compounds in antihypertension jamu formulation using reverse phase high performance liquid chromatography (RP-HPLC).
Methods: Stationary phase, mobile phase, sample preparation and instrument condition were optimized.
Results: Analysis of marker compounds in anti hypertension jamu formulation using HPLC with reverse phase ODS C18 column (LiChroCART®, 125 x 4.6 mm, particle size of 5 µm) and gradient mobile phase of formic acid 1% and methanol could separate markers in 35 min at flow rate 2 mL/min. Four markers in antihypertension jamu formulation have been successfully analyzed simultaneously, were scopoletine, andrographolide, quercetin, and luteolin. The RSD values demonstrated the intra and inter-day precisions were less than 4% and 6.5% respectively and the recoveries around 93.45-114.42%, respectively. All calibration curves showed good linear correlation coefficient which of R > 0.995.
Conclusion: RP-HPLC method has been developed for simultaneous analysis of four markers in antihypertension jamu. The methods can be used to analyze antihypertension jamu formulation in the market.
Keyword: Antihypertension jamu formulation, Scopoletine, Andrographolide, Quercetin, Luteolin, HPLC.
INTRODUCTION
Analysis of markers in the mixture of herbal formulations is difficult. It is required sensitive and selective analysis method, because of the complexity and variability of chemical constituents in the herbal medicine. Quantitative determination of markers in herbal mixture preparation required optimum separation techniques, so the markers can be separated with the highest resolution and the least interferences from each other compounds [1].
The advancement in chromatography separation techniques makes it possible to quantify the chemical constituents in a mixture with comparatively little clean-up [1]. Particularly, high performance liquid chromatography (HPLC) with reversed phase stationary phase using gradient elution are most common for analyzing multiple of constituents present in medicinal plants and herbal preparations [2-4].
The usage of herbal medicine has become an alternative health treatment by community. Jamu is a traditional Indonesian herbal medicine that was used by experience [5]. The plants materials mixture of Morinda citrifolia fruits, Andrographis paniculata herbs, Persea americana leaves and Sonchus arvensis leaves are used in the formulation of antihypertension jamu. The acceptance of the herbal medicinal is still poor because of the lack of quality control. The analysis of marker compounds can be used to verify the composition in herbal medicine mixture products.
The methods have been developed for analyzing of marker compounds in a single plant. HPLC method had been developed for determination of rutin, quercetin, kaemferol in Brassica oleracea L. Var [6], Subramanian [7] exposed that quercetin and rutin in Aganosma dichotoma (Roth) K. Schum could be determined by HPLC. Study by Young [8] revealed that HPLC method could be used in simultaneous analysis of rutin, quercetin, luteolin, genistein, galangin and curcumin in propolis. The previous study demonstrated that HPLC method could be use for analyzing of glycosides, isoquercetin, quercitrin, quercetin and kaemferol in Hypericum japonicum Thunb [9], andrographolide in Andrographis paniculata herbs [10], scopoletine in Morinda citrifolia fruit [11].
The methods development for simultaneous analysis of markers scopoletine, andrographolide, quercetin and luteolin in herbal medicine formulation has not been done yet. The aim of this study was to develop for simultaneous analysis markers in antihypertension jamu formulation using RP-HPLC. The markers were scopoletine for Morinda citrifolia, andrographolide for Andrographis paniculata, quercetine for Persea americana and luteolin for Sonchus arvensis [5].
The method was validated on selectivity, linearity, precision, accuracy, limit of detection (LOD), and limit of quantification (LOQ) according to the International Conference on Harmonization (ICH) requirements [12].

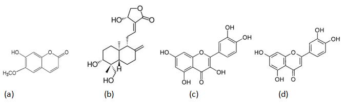
Fig. 1: The chemical structures of scopoletine (a), andrographolide (b), quercetin (c), luteolin (d)
MATERIALS AND METHODS
Materials
Analytical references of scopoletine, andrographolide, quercetin and luteolin were purchased from Sigma-Aldrich. All reagents, both for preparation of mobile phase and for the other procedure, were analytical grades.
Crude drug
The crude drug of Morinda citrifolia fruits, Andrographis paniculata herbs, Persea americana leaves, and Sonchus arvensis leaves were purchased from herbal store in Pasar Baru, Bandung, Indonesia.
Instrumentation
Analysis was performed on Shimadzu LC-20AD HPLC system equipped with an on line degasser DGU-20 AD, CTO 20A injection with 20 µL loop, SPD 20 A UV Vis detector. The separation was carried out using LiChoCART® column (125 x 4,6 mm, 5 µm particle size). The column was maintained at 30 oC throughout analysis and the UV detector was set at 350 nm for scopoletine and luteolin, 250 nm for andrographolide, and 370 nm for quercetin.
Preparation of extracts
Two hundred grams of each powder of crude drugs were extracted by reflux appartus with ethanol 96 % for two hours. The each resulting solution was evaporated using rotary evaporator.
Preparation of antihypertension jamu formulation
The formulation of antihypertension jamu formulation based on products that have been distributed in Indonesian market. A hundred mg extract of Morinda citrifolia, 50 mg extract of Andrographis peniculata, 200 mg extract of Persea americana and 100 mg extract of Sonchus arvensis were mixed. The combined extracts were diluted in to 25 mL of methanol and the solution was treated using ultrasonic for 30 min. The solution was filtered through a 0.45 µm PTFE membrane filter prior to HPLC analysis.
Preparation of standard solution
Stock solution of each compounds were prepared by dissolving standard compounds in methanol HPLC grade and diluted to the desired concentration. By using the stock solution, a series of mixed working standard solution were prepared in range concentration.
Validation parameter
The method was validated according to ICH guideline for selectivity, linearity, precision, accuracy, LOD, and LOQ.
RESULTS AND DISCUSSION
ODS C18 (LiChroCART®, 125 mm x 4.6 mm, particle size 5 µm) was selected as analytical column to perform the experiments. Research by using the longer columns (250 mm) gave the longer time of analysis. Mixture of formic acid and methanol was used as the mobile phase in gradient elution during analytical process (table 1). At the beginning, there were compared between 1% of formic acid-methanol and 5% formic acid-methanol as mobile phase for separating of marker compounds. The 5% of formic acid-methanol as mobile phase showed a poor separation between matrix and some peaks of analytes, and the peaks were not symmetrical. The flow rate was maintained at 2 mL/min, the injection volume was 20 µL, and the temperature was set at 30 °C. Based on this condition using 1% formic acid-methanol as mobile phase, all of the marker compounds could be separated within 35 min and showed a good resolution between matrix and analyte peaks. Optimization of an appropriate detection wavelength was really important to ensure precision and accuracy detection of markers. The scanned UV spectra of all compounds between 200-400 nm by photo diode array detector. Detection wavelength of the chromatograms was set in 350 nm for scopoletine and luteolin, 250 nm for andrographolide, and 370 nm for quercetin. It could be seen in fig. 2.
Table 1: Gradient conditions for HPLC
| Time (Min) | Pump A, 1 % formic acid (%) | Pump B, methanol (%) |
| 0 – 3 | 75 | 25 |
| 3 – 5,5 | 75 → 70 | 25 → 30 % |
| 5.5 – 15.5 | 70 | 30 |
| 15.5 – 18 | 70 →65 | 30 →35 |
| 18 – 30 | 65 | 35 |
| 30 – 35 | 75 | 25 |
| 35 | Stop |

Fig. 2: Scanning maximum wavelength of standards by PDA detector, (1) λ 250 nm, (2) λ 350 nm, (3) λ 370 nm
The HPLC method was validated by determining the selectivity, precision, linearity, LOD, LOQ, and accuracy. For qualitative purposes, the method was evaluated by determining the retention time and selectivity of marker compound [12-15]. The selectivity was checked by comparing HPLC chromatograms between mixture of the extracts and individual component of each extracts, which were shown in fig. 1, 2, 3, 4 and 5. This method had a good specificity [12], because it still could detect a substance even in a jamu environment which is very complex [16]. So, this method was valid to detect those substances in anti hypertension jamu.

Fig. 3: HPLC chromatogram of standard

Fig. 4: HPLC chromatogram of a mixture of extracts

Fig. 5: HPLC chromatogram of Morinda citrifolia extract

Fig. 6: HPLC chromatogram of Andrographis peniculata extract

Fig. 7: HPLC chromatogram of Persea americana extract

Fig. 8: HPLC chromatogram of Sonchus arvensis extract
The samples were spiked with four different amounts of standard compounds which were injected six times to evaluate the suitability system test. It could be seen at table 2, which shown that repeatability of area and retention time was good (RSD < 2.0 %). The resolution of each peaks in chromatogram, was showed good separation. It could be seen on the resolution (Rs), which was more than 1.5. Resolution more than 1.5 means that the two peaks are well separated [13]. The resolution for each peak to the other was shown in table 2.
For quantitative purpose, linearity, accuracy, precision, LOD and LOQ were evaluated [12-15]. The precision of the method was validated by repeatability, both intra and inter-day precision. The precision intra and inter-day assays were carried out on the same sample six times in a day and three assays per day for six days, respectively. Relative standard deviation (RSD) of the mean content for each compounds were calculated and resulting 1.78-3.93% for intra-day precision and 2.47-6.30% for inter-day precision, which was shown in table 3.
The content of four markers in antihypertension jamu was scopoletine (0.067%, w/w), andrographolide (5.969%, w/w), quercetin (0.040%, w/w), and luteolin (0.009 %, w/w). Linearity of the method was performed in concentration range of 40-160 %. Linear correlation was obtained between concentration and the peak area of four markers. Values of the regression coefficients (R) of the markers were higher than 0.995, which could be seen in table 4. The LOD and LOQ values respectively were 0.29 µg/mL and 0.974 µg/mL for scopoletine, 3.33 µg/mL and 11.11 µg/mL for andrographolide, 0.108 µg/mL and 0.359 µg/mL for quercetin, and 0.051 µg/mL and 0.171 µg/mL for luteolin. The recovery assays were carried out by adding known of the standard to known amounts of samples and comparing the determined amount of standard with the amount actually added. The recovery values were 93.45–114.42%, indicated a good accuracy [13]. It could be seen at table 5. Therefore, this method can be regarded as selective, accurate, and precise method.
Table 2: The suitability test for the scopoletine, andrographolide, quercetin, and luteolin
| Compound | Rt a(min) | RSD (%) | AuCa | RSD (%) | R1a | R2a | Tailinga | Na |
| Scopoletine | 4.35+0.01 | 0.19 | 128366+182 | 0.14 | 2.97+0.01 | 1.88+0.06 | 1.02+0.01 | 939.90+9.78 |
| Andrographolide | 15.95+0.03 | 0.18 | 1126334+6315 | 0.56 | 2.18+0.02 | 5.11+0.03 | 1.09+0.01 | 3094.40+50.62 |
| Quercetin | 21.32+0.03 | 0.16 | 102493+1761 | 1.72 | 5.11+0.03 | 3.66+0.04 | 1.10+0.06 | 7637.47+742.65 |
| Luteolin | 25.41+0.06 | 0.24 | 101465+1688 | 1.66 | 3.66+0.04 | 1.18+0.25 | 6369.31+119.36 |
aMean+SD (n=6), R1 = Resolution with previous compound, R2 = Resolution with afterward compound
Table 3: Precision of the inter-day and intra-day HPLC measurement for scopoletine, andrographolide, quercetin and luteolin
| Compound | Intra-daya | Inter-day b | ||
| Contents (%, w/w) | RSD (%) | Contents (%, w/w) | RSD (%) | |
| Scopoletine | 0.067+0.002 | 3.725 | 0.072+0.005 | 6.305 |
| Andrographolide | 5.969+0.112 | 1.876 | 6.003+0.149 | 2.474 |
| Quercetin | 0.040+0.001 | 1.784 | 0.040+0.001 | 2.725 |
| Luteolin | 0.009+0.0004 | 3.932 | 0.010+0.0003 | 2.793 |
aSample were analyzed six times a day, Mean+SD (n=6), bSample were analyzed three times a day for six day, Mean+SD (n=6)
Table 4: Regression parameters, linearity, limit detection (LOD), and limit of quantification (LOQ) of the proposed RP-HPLC method
| Compound | Range (µg/ml) | Regression equation | R | LOD (µg/ml) | LOQ (µg/ml) |
| Scopoletine | 1-6 | y = 35800x + 4084 | 0.9978 | 0.29 | 0.974 |
| Andrographolide | 50-200 | y = 9790x + 46102 | 0.9998 | 3.33 | 11.115 |
| Quercetin | 1-10 | y = 37567x + 13326 | 0.9999 | 0.108 | 0.359 |
| Luteolin | 0.3-0.9 | y = 167074x + 3251 | 0.9976 | 0.051 | 0.171 |
Table 5: Repeatibility and recovery study for scopoletine, andrographolide, quercetin, and luteolin
| Compound | Contents (µg) | Added amount (µg) | Recorded amounta (µg) | Recovery ratea (µg) | RSD (%) |
| Scopoletin | 1.88 | 0.98 | 2.91 ± 0.018 | 105.47± 1.86 | 1.76 |
| 2.19 | 1.22 | 3.47± 0.038 | 104.73 ± 3.08 | 2.94 | |
| 2.66 | 1.46 | 4.20 ± 0.050 | 105.27 ± 3.38 | 3.21 | |
| Andrographolide | 74.39 | 25.64 | 98.36 ± 0.634 | 93.45 ± 2.47 | 2.65 |
| 86.79 | 32.06 | 118.33 ± 1.006 | 98.38 ± 3.14 | 3.19 | |
| 105.39 | 38.47 | 143.94 ±1.108 | 100.21 ± 2.88 | 2.87 | |
| Quercetin | 3.00 | 1.61 | 4.65 ± 0.028 | 102.52 ± 1.76 | 1.72 |
| 3.50 | 2.01 | 5.54 ± 0.010 | 101.34 ± 0.48 | 0.48 | |
| 4.26 | 2.41 | 6.67± 0.025 | 99.86 ± 1.04 | 1.04 | |
| Luteolin | 0.29 | 0.19 | 0.50 ± 0.004 | 114.42 ± 2.36 | 2.07 |
| 0.34 | 0.23 | 0.58 ± 0.002 | 106.14 ± 0.78 | 0.73 | |
| 0.41 | 0.28 | 0.71 ± 0.001 | 109.50 ± 0.45 | 0.42 |
aMean+SD (n=3)
CONCLUSION
Reverse phase high performance liquid chromatography method was successfully developed for simultaneous analysis of marker scopoletine, andrographolide, quercetin, and luteolin in antihypertension jamu. The method was simple, efficient, sensitive, and can be used to analyze antihypertension jamu formulation in the market.
ACKNOWLEDGEMENT
Sincerely thanks to School of Pharmacy, Bandung Institute of Technology and National Agency Drug and Food Control, Bandar Lampung for providing the facility during this research.
CONFLICT OF INTERESTS
Declared None
REFERENCES
Patel RK, Patel VR, Patel MG. Development and validation of a RP-HPLC method for the simultaneous determination of embelin, rottlerin and ellagic acid in vidangadi churna. J Pharm Anal 2012;2(5):366-71.
Shams G. Development of HPLC fingerprint analysis of traditional diabetes herbal jamu diabetes plants materials. J Teknologi (Sci Eng) 2014;68(1):83-8.
Zheng L, Dong D. Development and validation of an HPLC method for simultaneous determination of nine active components in da-chai-hu-tang. Chin Med 2011;2(1):20-8.
Wang GL, Wei M, Wang J, Lu Y, Mahady GB, Liu D. High-performance liquid chromatography with photodiode array (HPLC-PDA) quality control of menoprogen, a traditional Chinese medicine (TCM) formula used for the management of menopause. Int J Med Plants Res 2013;2(1):146-51.
Kemenkes: Farmakope herbal indonesia. 1st ed. Jakarta, Kemenkes; 2009.
Ahmed MF, Rao AS. HPLC simultaneous determination of phenolic compounds in brassica olerocea l. var capitata by high-performance liquid chromatography. Int J Pharm Sci 2014;6(1):534-7.
Subramanian G, Meyyanathan SN, Karthik Y, Karunakaranair A, Palanisamy DS. Development and validation of HPLC method for the simultaneous estimation of quercetin and rutin in aganosma dichotoma (Roth) K. Schum. Int J Phar Sci 2014;6(1):606-8.
Yang L, Yan QH, Ma JY, Wang Q, Zhang JW, Xi GX. High performance liquid chromatographic determination of phenolic compounds in propolis. Trop J Pharm Res 2013;12(5):771.
Li J, Jiang B, Liu X, Zhang J, Chen X, Bi K. Simultaneous determination of five bioactive flavonoids in Hypericum japonicum thunb by high-performance liquid chromatography. Asian J Tradit Med 2007;2(2):75-81.
Aryani T. Pengujian validasi analisis kadar andrografolid secara kromatografi cair kinerja tinggi (KCKT) dengan eluasi gradien terhadap ekstrak herba sambiloto (Andrographis paniculata Ness). Berkas Penelitian Hayati 2005;11:73–6.
West BJ, Deng S. Thin layer chromatography methods for rapid identity testing of morinda citrifolia l. (Noni) fruit and leaf. Adv J Food Sci Technol 2010;2(5):298-302.
International conference on harmonization: Validation of analytical procedures: Text and Methodology Q2(R1); 1995. p. 3,7-13.
AOAC: Guidelines for single laboratory validation of chemical methods for dietary supplements and botanicals; 2002.
FDA: Reviewer guidance validation of chromatographic methods; 1994.
Health sciences authority: ASEAN guildelines for validation analytical Prosedurer; 2012.
Wisnuwardhani HA, Fidrianny I, Ibrahim S. Method development for simultaneous analysis of steroid and non steroid antiinflamatory substances in jamu pegal linu using TLC spectrophotodensitometri. Int J Pharm Pharm Sci 2013;5(4):749-53.