1Biotechnology Division, CSIR-North East Institute of Science and Technology, Jorhat 785006, 2Microbial Ecology Laboratory, Botany Department, Gauhati University, Guwahati 781014
Email: taruncbora@gmail.com
Received: 18 Dec 2014 Revised and Accepted: 10 Jan 2015
ABSTRACT
Objective: An attempt has been made to evaluate the optimal cultural conditions for obtaining high yields of bioactive metabolites.
Methods: A strain of actinobacteria was isolated from the soil sample of Kaziranga National Park of Assam. Strain was identified on the basis of biochemical test as well as 16SrDNA sequence. The strain was tested for antibacterial activity using agar well diffusion method and to enhance its growth and metabolite production, the strain was cultured at different carbon and nitrogen sources and at different pH, salinity and temperature.
Results: The strain was identified as Nocardia cyriacigeorgica. The secondary metabolites exhibited excellent antimicrobial activity against dreaded human pathogenic bacteria Staphylococcus aureus (MTCC 96), Bacillus subtilis (MTCC 441), Escherichia coli (MTCC 739) and Pseudomonas aeruginosa (MTCC 2453). The strain utilized glucose as good carbon source for growth and starch for metabolite production. Soybean meal and beef extract were the nitrogen sources for the elaboration of both growth and bioactive metabolites. The optimum temperature, salinity and pH for growth and bioactive metabolite production of the strain were recorded as 28±2oC, 1.5% and 7.5 respectively.
Conclusion: As our results showed the potency of N. cyriacigeorgica as an antibacterial agent under these optimal conditions, so further study can be carried out in this regard. This is the first report of production of antibacterial compound from this emerging pathogenic strain N. cyriacigeorgica.
Keywords: Bioactive metabolites, Nocardia cyriacigeorgica, Optimization, Pathogenic bacteria.
INTRODUCTION
Nocardia are Gram-positive, rod-shaped bacteria that are partially acid-fast, slow growing and ubiquitously found in soil and aquatic habitats [1]. Previous studies have reported that different pathways of getting infection of nocardia are generally through inhalation, percutaneous inoculation or nosocomial infection from environmental sources [2-4]. Immunocompromised individuals are mainly affected by nocardia which cause pulmonary or systemic nocardiosis, localised cutaneous and subcutaneous infections [5-7].
Although most of the nocardial strains are found to be pathogenic, but there are some species of nocardia which produce important antibiotics like Nothramicin and a new anthracycline antibiotic MJ896-43F17 [8]. A group of new cytotoxic antibiotics, brasiliquinones A, B and C was reported from the strain N. brasiliensis IFM 0089 [9]. It was also reported that a group of three new benzenoid compounds named as nocarasins A, B and C was isolated from N. brasiliensis IFM 0677 [10]. N. brasiliensis produces different types of antibiotics and immunosuppressive agents such as 32 membered macrolides with a tetrahydropyrone, 2-deoxypyranose and a novel tricyclic metabolite, brasilicardin A [11]. Erythromycin E and nargeninus were isolated from N. brasiliensis IFM 0466 and N. otitidiscaviarum IFM 0986 respectively [12]. Nocardia cyriacigeorgica is an emerging pathogen [13] and it was found out that it causes serious diseases in many areas like United States [14]. Nocardia cyriacigeorgica was first reported from a patient with chronic bronchitis [15]. As a part of our ongoing research on bioactive metabolites from rare actinobacterial strain, one promising strain with excellent antibacterial potential against some dreaded human pathogenic bacteria was identified as Nocardia cyriacigeorgica, isolated from soil samples of Kaziranga National Park of North East India.
In this communication, we described the phenotypic, chemotaxonomic characteristics, molecular identification of the strain and optimization of cultural parameters for enhancing the production of antibacterial compound from N. cyriacigeorgica strain.
MATERIALS AND METHODS
Producer strain
The actinobacterial strain KD-15 was isolated from soil samples of Kaziranga National Park of Assam, India by employing special isolation method [16]. The strain was maintained on streptomyces agar medium at 4˚C for further study.
Chemotaxonomic characterization of the producer strain
Isomers of diaminopimelic acid (DAP) in cell wall hydrolysates and whole cell sugars of N. cyriacigeorgica were determined by thin layer chromatography following the standard methods of MTCC [17].
16SrDNA sequencing and phylogenetic analysis of the strain
16SrRNA gene sequence analysis of this strain was completed for precise generic and species level identification. The identities of the organism were determined based on partial or nearly full length 16SrRNA gene sequence analysis. The genomic DNA of this isolate was extracted [18] and purity was assessed by measuring its optical density at 260/280 nm. The 16SrRNA gene was selectively amplified with the 16S partial PCR forward (5'-agagtttgatcctggctcag-3') and reverse (5'- acggctaccttgttacgactt-3') primers. The thermal cycler (Bio-Rad) used for amplification was programmed as: 94oC for 5 min, followed by 30 cycles of 94oC for 30 sec (denaturation), 55oC for 40 sec (annealing), 72oC for 1 min (extension), and a final extension of 72oC for 10 min to allow for extension of any incomplete products. The amplification products were purified by using gel extraction kits (Qiagen, Germany) and then DNA sequencing on both strands was directly performed by The VIMTA LABS LTD by using ABI 3130 (4 capillary) or 3730Xl (96 capillary) electrophoresis instruments. The 16SrRNA gene sequences of Nocardia used in the phylogenetic analysis were retrieved from NCBI Gene Bank. Phylogenetic and molecular evolutionary analyses were conducted using MEGA version 4 [19]. A phylogenetic tree was constructed by the Neighbour Joining method [20]. Tree topologies were evaluated by bootstrap analysis [21] based on resamplings of 1000 times of the neighbour joining (NJ) data set.
Growth pattern and in-vitro antibiosis
To study the growth pattern and antimicrobial profile, one week old culture of KD-15 was cultivated in SC broth (seed medium) at 28 ˚C for 24 h. To study the antimicrobial activity, the pure isolate was cultured in basal medium composed of 100 ml of (Glycerol 10 g, KNO3 2 g, NaCl 2 g, K2HPO4 2 g, MgSO4.7H2O 0.05 g, CaCO3 0.02 g, FeSO4.7H2O 0.01 g, Distilled water 1 l, pH 7.2) contained in 500 ml Erlenmeyer flasks. The fermentation process was allowed to run at 28 ˚C for 7 days at 200 rpm. Then culture broth was centrifuged (Sigma 3-30K) at 10,000 rpm for 10 min at room temperature and supernatant part was tested for antibacterial activity by using agar well diffusion method [22] against test pathogens Staphylococcus aureus (MTCC 96), Bacillus subtilis (MTCC 441), Escherichia coli (MTCC 739) and Pseudomonas aeruginosa (MTCC 2453) obtained from Microbial Type Culture Collection (MTCC) and Gene Bank, Institute of Microbial Technology (IMTECH), Chandigarh, India.
Optimization of culture conditions
Growth and bioactive metabolite production of the strain were optimized by using different cultural parameters viz., carbon and nitrogen source pH and temperature. Growth of the strain was measured in terms of biomass accumulation by taking the dry weight of the mycelium at 70±1˚C and expressed as mg/ml culture medium in all the experiments of the optimization study. To estimate the yield of bioactive metabolite, the culture filtrates harvested at regular intervals were extracted with chloroform and evaporated to dryness under vacuum at 45˚C. The residues thus obtained were dissolved in dimethyl sulphoxide (DMSO) at a concentration of 1000 μg/ml and tested for antimicrobial activity against the bacterial test pathogens.
Carbon and nitrogen supplement
To study the influence of carbon sources on cell growth and bioactive metabolites of the strain, the basal medium was supplemented with carbon sources of fructose, maltose, inositol, galactose, dextrose, glycerol, lactose, D-mannitol, starch, while the other ingredients of the medium remained constant. The carbon sources were sterilized separately through membrane filter and added just prior to inoculation.
Similarly, to study the influence of nitrogen sources on antibiotic yield, the basal medium was supplemented with inorganic [(NaNO3, NH4Cl, (NH4)2C2O4)] and organic [casein, beef extract, yeast extract, peptone, soya bean meal, urea] nitrogen sources. Here also nitrogen sources were sterilized by using membrane filter. It was seen that in NaNO3, (NH4)2C2O4) and urea no growth observed. So, other nitrogen sources except these three were taken for further studies.
Temperature and pH
The strain was inoculated into the basal medium supplemented with glycerol and (NH4)2SO4, then incubated in shaking condition (Kuhner) at 200 rpm for up to 15 days in various temperatures ranging from 10˚C to 50˚C and maintaining all other conditions at optimum levels. Influence of initial pH on growth and bioactive metabolite production of the strain was determined by adjusting the pH of production medium ranging from 4-11. The optimal pH achieved at this step was used for further study.
Salinity
The effect of salinity on growth and antimicrobial agent produced by KD-15 was carried out by culturing the strain in various NaCl concentrations, ranging from 0.5 to 2.5 in the basal media amended with 1 % glycerol. The biomass accumulation and bioactive metabolite production for each NaCl concentration was estimated as stated above.
Statistical analysis
All experiments were carried out three times, with three replicates each. The experimental data are expressed as mean ± SE. Two way analysis of variance were carried out for experiments on cell biomass and metabolite yield in different culture conditions to determine significant differences at 5 %.
RESULTS
Chemotaxonomic characterization of the producer strain
Cell wall contains major amounts of meso-diaminopimelic acid (meso-DAP), arabinose and galactose.
Phylogenetic analysis
The phylogenetic position of the strain was determined by amplifying 16SrRNA region and sequence of the strain was examined by BLAST analysis. The results revealed that the strain belongs to the genus Nocardia, the sub order Corynebacterineae of the family Nocardiaceae.
The 16SrRNA genome sequence of the strain showed 99 % similarity with that of N. cyriacigeorgica (Figure1), thereby the strain KD-15 was identified as N. cyriacigeorgica and the sequence were submitted to Genbank with an accession number JN545849.1.

Fig. 1: Neighbor-joining tree based on 16SrRNA gene sequences of representative Nocardia isolate and type strains of the genus showing phylogenetic relationship. The bar stands for 0.5 substitutions per nucleotide position
Growth pattern and bioassay
The growth pattern of N. cyriacigeorgica was studied on starch casein broth. Log phase of the strain extended from 24 h to 72 h. After that it exhibited stationary phase upto 168 h of incubation, and then declined. The secondary metabolites obtained from seven-day old culture showed promising antibacterial activity against the test bacterial pathogens.
Carbon sources
Among the carbon sources tested, glucose (2.26±.08 mg/ml) was found to be the best carbon source for biomass production while in case of bioactive secondary metabolites production starch (1.18±.05) was found to be more effective than glucose and other carbon sources (fig. 2). For antimicrobial activity also, starch was found to be significant against all the test pathogens compared to other carbon sources (fig. 3 and 4).
Nitrogen sources
Among all the nitrogen sources tested, soya bean meal served as the best nitrogen source for biomass as well as bioactive metabolite production with 2.8±.04 and 0.55±.01 mg/ml respectively (fig. 5). But it was observed that for antimicrobial activity, beef extract was found effective against all the test pathogens (fig. 6).

Fig. 2: Impact of carbon sources on growth pattern and production of bioactive metabolites by KD-15 strain
*Data on cell growth and metabolite yield were statistically analyzed by Two way ANOVA and found to be significant at 5%

Fig. 3: Plate showing zone of inhibition against S. aureus at different sources of carbon

Fig. 4: Impact of carbon sources on antibacterial activity of secondary metabolites produced by the strain KD-15

Fig. 5: Impact of nitrogen sources on growth pattern and production of bioactive metabolites by KD-15 strain
*Data on cell growth and metabolite yield were statistically analyzed by Two way ANOVA and found to be significant at 5%
Temperature and pH
Highest growth (2.34±.01 mg/ml) and metabolite production (0.89±.01 mg/ml) were observed at temperature of 280C (fig. 7). No growth was obtained at temperature 100C, 150C, 450C and 500C. Antimicrobial activity was also recorded highest at 280C against all test pathogens followed by 300C (fig. 8).

Fig. 6: Impact of nitrogen sources on antibacterial activity of secondary metabolites produced by the strain KD-15
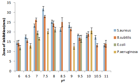
PH 7.5 was found to be optimum for growth (1.33±.06 mg/ml) as well as antimicrobial agent production (0.99±0.005 mg/ml) (fig. 9). Significantly no growth was observed at PH 6 while at other PH there was less growth and metabolite production compared to PH 7.5. For antimicrobial activity also, PH 7.5 was found to be significant against all the test pathogens compared to other PH (fig. 10).

Fig. 7: Impact of Temperature on growth pattern and production of bioactive metabolites by KD-15 strain
*Data on cell growth and metabolite yield were statistically analyzed by Two way ANOVA and found to be significant at 5%

Fig. 8: Impact of Temperature on antibacterial activity of secondary metabolites produced by the strain KD-15

Fig. 9: Impact of PH on growth pattern and production of bioactive metabolites by KD-15 strain
*Data on cell growth and metabolite yield were statistically analyzed by Two way ANOVA and found to be significant at 5%

Fig. 10: Impact of PH on antibacterial activity of secondary metabolites produced by the strain KD-15
Salinity
Optimum salt requirement for antibiotic production was examined in the improved medium containing starch and soybean meal supplemented with different salt concentration (0.5-2.5 %). Highest growth (4.93±0.32 mg/ml) and metabolite production (2.75±.02 mg/ml) were observed at 1.5% NaCl (fig. 11). For antimicrobial activity also, 1.5% NaCl was found to be significant against all the test pathogens (fig. 12).

Fig. 11: Impact of NaCl concentration on growth pattern and production of bioactive metabolites by KD-15 strain
*Data on cell growth and metabolite yield were statistically analyzed by Two way ANOVA and found to be significant at 5%

Fig. 12: Impact of NaCl concentration on antibacterial activity of secondary metabolites produced by the strain KD-15
DISCUSSION
As North-East India belongs to the Indo-Burma mega-biodiversity hot-zone [21], there is immense possibilities for exploration of novel bioactive metabolite from the untapped microbial wealth of this region. Isolation of rare actinomycetes like nocardia has become a need for natural product discovery [22, 23]. In this study, a rare actino bacterial strain identified as N. cyriacigeorgica was found to produce bioactive metabolite showing antagonistic effect against human bacterial pathogens such as S. aureus, B. subtilis, E. coli, P. aeruginosa and C. albicans.
Antibiotic formation usually occurs during the late growth phase of the producing microorganism. In media containing mixtures of rapidly and slowly used carbon sources, the former is used first to produce cells but little or no antibiotics are synthesized. After the rapidly assimilated compound is depleted, the ‘second-best’ carbon source is used for idiolite formation [24]. We observed that growth of N. cyricacigeorgica was highest using glucose as readily utilized carbon source while metabolite production was maximum when starch, the polymer of glucose was used as carbon source. In case of streptomyces, maximum antimicrobial activity was obtained when starch was used as carbon source [25]. Carbon and other energy sources are entirely used during growth and not used to produce antibiotic [26]. Component that is not entirely used during cells growth is more suitable for antibiotic production.
Nitrogen source of media has also great impact on growth and antibiotic production in microorganism. Our results indicated that organic nitrogen sources like soya bean meal, beef extract that are rich in amino acids significantly enhanced growth and antibiotic production of N. cyriacigeorgica strain. Previous study also explained that amino acids supplemented in media helped in primary metabolism by their carbon and may enter in secondary metabolism by their both carbon and nitrogen skeleton [27]. Optimum rates of antibiotic production were also recorded on the culture medium containing soyabean meal (1%) as nitrogen source by S. chattanoogensis and Thermomonospora sp (MTCC 3340) [28].
The effect of pH and temperature on growth and antimicrobial metabolites production by the strain was studied. The optimum pH for growth and antibiotic production was 7.5. Cultivation temperature generally affects metabolite biosynthesis. The organism had highest growth and produced high levels of antibiotic production when incubated at 280C-300C. Extreme pH and temperature were unfavorable for antibiotic production. So it can be concluded that both growth and antibiotic production occurs at a thermo and hydrogen ion regulated process and the strain was strictly mesophilic for secondary metabolite production [29]. The optimum temperature and pH for bioactive metabolite production of nocardia were recorded as 30˚C and 6.5 respectively [30].
Salt concentration has a profound effect on bacterial metabolism [31] as it exhibits specific ion and water binding properties of bacteria and its effect on the osmotic pressure to the medium [32]. In our study, 1.5% NaCl with starch and soybean meal as carbon and nitrogen source was found to be optimum for both growth and secondary metabolite production of this Nocardia strain. There are reports on the maximum production of bioactive metabolites when NaCl concentration was 1 % among the different minerals tested [29].
CONCLUSION
From our observation it was concluded that the addition of starch as carbon source, soybean meal (1 %), beef extract (1 %) as nitrogen source and NaCl (1.5 %) to the basal medium favoured the maximum production of antimicrobial agent by the strain KD-15 under the optimum pH 7.5 and temperature at 28±2 ˚C. Hence, further studies regarding the purification and characterization of potent bioactive metabolites produced by the strain are in progress. It was our first report that the pathogenic strain N. cyriacigeorgica can produce antibacterial antibiotic and this finding can help in near future in antibiotic research for finding a new novel compound.
ACKNOWLEDGEMENT
The authors wish to thank Council of scientific and industrial research (CSIR) for financial support and the authors are also thankful to Director, CSIR-NEIST, Jorhat for providing facilities for this work.
CONFLICT OF INTERESTS
Declared None
REFERENCES
Apostolou A, Bolcen SJ, Dave V, Jani N, Lasker BA, Tan CG, et al. Nocardia cyriacigeorgica infections attributable to unlicensed cosmetic procedures—an emerging public health problem? Clin Infect Dis 2012;55:251–3.
Exmelin L, Malbruny B, Vergnaud M, Provost F, Boiron P, Morel C. Molecular study of nosocomial nocardiosis outbreak involving heart transplant recipients. J Clin Microbiol 1996;34:1014-6.
Kachi S, Okazaki M, Takeda H, Igarashi H, Kobayashi O, Watanabe H, et al. Outbreak of Nocardia farcinica infection with the same pattern in randomly amplified polymorphic DNA analysis. J Hosp Infect 2006;62:502–6.
Wenger PN, Brown JM, McNeil MM, Jarvis WR. Nocardia farcinica sternotomy site infections in patients following open heart surgery. J Infect Dis 1998;178:1539-43.
Gordon RE, Barnett DA, Handerhan JE, Pang CHN. Nocardia coeliaca, Nocardia autotrophica, and the nocardin strain. Int J Syst Bacteriol 1974;24:54–63.
Gonzalez Ochoa A. Virulence of nocardiae. Can J Microbiol 1973;19(8):901–4.
Lechevalier MP, De bievre C, Lechevalier H. Chemotaxonomy of aerobic actinomycetes: phospholipid composition. Biochem Syst Ecol 1977;5:249-60.
Tsuda M, Sato H, Tanaka Y, Yazawa K, Mikami Y, Sasaki T, et al. Brasiliquiones A–C, a new cytotoxic benz [a] anthraquinone with an ethyl group at C-3 from actinomycete Nocardia brasiliensis. J Chem Soc Perkins Trans 1996;1:1773–5.
Momose I, Kinoshita N, Sawa R, Naganawa H, Iinuma H, Hamada M, et al. Nothramicina new anthracycline antibiotic from Nocardia sp. MJ896-43F17. J Antibiot 1998;51:130–5.
Tsuda M, Nemoto A, Komaki H, Tanaka Y, Yazawa K, Mikami Y, et al. Nocarasins A–C, and brasilinolide D, new metabolites from the actinomycete Nocardia brasiliensis. J Nat Prod 1999;62:1640–2.
Komatsu K, Tsuda M, Tanaka Y, Mikami Y, Kobayashi J. SAR studies of brasilicardin A for immunosuppressive and cytotoxic activities. Bioorg Med Chem 2005;13:1507–13.
Mikami Y, Yazawa K, Neomoto A, Komaki H, Tanaka Y, Grafe U. Production of erythromycin E by pathogenic Nocardia brasiliensis. J Antibiot 1999;52:201–2.
Millar BC, Moore JE. Emerging pathogens in infectious diseases: definitions, causes and trends. Rev Med Microbiol 2006;17:101–6.
Robert Schlaberg, Richard C Huard, Phyllis Della-Latta. Nocardia cyriacigeorgica, an emerging pathogen in the united states. J Clin Microbiol 2008;46:265–73.
Yassin AF, Rainey FA, Steiner U. Nocardia cyriacigeorgici sp nov. Int J Syst Evol Microbiol 2001;51:1419–23.
Kachuei R, Emami M, Mirnejad R, Khoobdel M. Diversity and frequency of Nocardia spp. in the soil of Isfahan province. Iran Asian Pac J Trop Biomed 2012;2(6):474-8.
MTCC Actinomycetes: Isolation, screening, identification and gene cloning in Streptomyces. Laboratory Manual. MTCC, IMTECH, Chandigarh; 1998. p. 94.
Kumar V, Bharti A, Gusain O, Bisht GS. An improved method for isolation of genomic DNA from filamentous actinomycetes. J Sci Eng Tech Mgt 2010;2:10-3.
Takahashi Y, Omura S. Isolation of new actinomycetes strains for the screening of new bioactive compounds. J Gen Appl Microbiol 2003;49:141-54.
Rusnak K, Troyanovich J, Mierzwa R, Chu M, Patel M, Weinstein M. An antibiotic with activity against gram-positive bacteria from the gentamicin-producing strain of Micromonospora purpurea. Appl Microbiol Biotechnol 2001;56:502–3.
Demain AL. Pharmaceutically active secondary metabolites of microorganisms. Appl Microbiol Biotechnol 1999;52:455–63.
Gramer A. Antibiotic sensitivity and assay tests. In: Collins CH, Lyne PM, editors. Microbiological methods. London: Butterworth and Co; 2008. p. 235.
Myers N, Mittermeier RA, Mittermeier CG, Gustavo AB, da Fonseca, Kent J. Biodiversity hotspots for conservation priorities. Nat 2000;403:853–8.
Hayakawa M, Yoshida Y, Limura Y. Selective isolation of bioactive soil actinomycetes belonging to the Streptomyces violaceusniger phenotypic cluster. J Appl Microbiol 2004;96:973-81.
Lazzarini A, Cavalette L, Toppo G, Marinelli F. Rare genera of actinomycetes as potential producers of new antibiotics. Ant Van Leeuwenhock 2000;78:399-405.
Sergio Sanchez, Adan Chavez, Angela Forero, Yolanda Garcıa-Huante, Alba Romero, Mauricio Sanchez, et al. Carbon source regulation of antibiotic production. J Antibiot 2010;1–18.
Mellouli L, Ben Ameur-Mehdi R, Sioud S, Salem M, Bejar S. Isolation, purification and partial characterization of antibacterial activities produced by a newly isolated Streptomyces sp. Us 24 strain. Res Microbiol 2003;154:345–52.
Decleva ML, Titus JA, Strohl WR. Nutrient effects on anthracycline production by Steptomyces peuceutius in a defined medium. Can J Microbiol 1985;31:287-94.
Nadia H Noaman, Abdel Fattah, M Khaleafa, Seham H Zaky. Factors affecting antimicrobial activity of Synechococcus leopoliensis. Microbiol Res 2004;159:395-402.
Gupte M, Kulkarni P. A study of anti fungal antibiotic production by Thermomonospora sp MTCC 3340 using full factorial design. J Chem Tech Biotechnol 2003;78:605-10.
Ripa FA, Nikkon F, Zaman S, Khondkar P. Optimal conditions for antimicrobial metabolites production from a new streptomces sp. RUPA-08PR Isolated from Bangladeshi Soil. Mycobiol 2009;37:211-4.
Kavitha A, Vijayalakshmi M. Cultural parameters affecting the production of bioactive metabolites by Nocardia levis MK-VL_113. J Appl Sci Res 2009;5:2138-47.
Korkeala H, Alanko T, Tiusanen T. Effect of sodium nitrate and sodium chloride on growth of lactic acid bacteria. Acta Vet Scand 1992;33:27–32.
Pelczar MJ, Chan ECS, Krieg NR. Microbiology: Concepts and Applications. 5th ed. USA: McGraw-Hill; 1993.