Phytochemistry Research Laboratory, Department of Pharmacy University of Asia Pacific, Dhaka, Bangladesh.
Email: shahriar@uap-bd.edu
Received: 19 Apr 2014 Revised and Accepted: 25 May 2014
ABSTRACT
Objective: The present study was done to evaluate in vivo anti-pyretic, neuropharmacological activity including open field and swimming test, gastrointestinal motility, anti-nociceptive and acute toxicity effect of different leaf extracts of Blumea lacera in Swiss albino mice following oral administration.
Methods: In-vivo antipyretic test of methanol, ethanol and chloroform extracts of Blumea lacera leaf was done brewer’s yeast method; neuropharmacological study was performed by open field test and swimming test, GI motility test was done by charcoal induced anti motility test, anti-nociceptive activity was tested by acetic acid induced writhing method and acute toxicity study was done by investigating mortality/morbidity status of test animal.
Results: In-vivo antipyretic activity shows methanol extracts at a dose of 400 mg/kg b. w., both the doses of ethanol extract and chloroform extract at a dose of 200 mg/kg b. w. produced significant (p<0.05) reduction of temperature in mice comparing to the standard drug diclofenac Na. In-vivo neuropharmacological activity study yields significant results when methanol 100 mg/kg, ethanol 200 mg/kg, chloroform 100 & 200 mg/kg extracts were administered to evaluate the rate of movement with time in a dose dependent manner when compared with the corresponding value of control group. In gastrointestinal motility test methanol extract at 250 mg/kg, ethanol extract at 250 & 500 mg/kg and chloroform 250 mg/kg doses significantly reduce GI motility when compared to standard drug loperamide. Statistically significant (p <0.001, p<0.02, p<0.05) results were found in in-vivo anti-nociceptive activity test for the 100 mg/kg chloroform, 100 mg/kg methanol and 200 mg/kg ethanol respectively when compared to standard diclofenac-Na. None of the extracts showed any significant in-vivo acute toxicity effect on mice.
Conclusion: This plants leaf extracts exhibit potent antipyretic acitivities; significant neuropharmacological activities and significant anti-nociceptive activity without inducing any discernible acute toxicity effect.
Keywords: Blumea lacera, In-vivo antipyretic activities, Anti-nociceptive activity, Neuropharmacological activities, Acute toxicity.
INTRODUCTION
The study of plants that exert beneficial pharmacological effects on animal and human body has attracted the attention of many researchers. In most of the traditional systems of treatment, the use of medicinal plant include the fresh or dried part, whole, chopped, powdered or an advanced form of the plant usually made through extraction with different solvents play a major role and constitute the backbone of the traditional medicine [1]. Recently, World Health Organization (WHO) estimated that 80% of people worldwide rely on herbal medicines partially for their primary health care. It has been recorded that about 450 to 500 plants growing or available in Bangladesh have therapeutic values [2, 3]. In Bangladesh, people living in the remote hilly areas, such as, ethnic communities rely mostly on herbal medicines. Bangladesh, country fertile deltaic land has a rich diversity of flora of medicinal plants scattered throughout the forests, crop fields, roadsides gardens and wastelands.
Blumea lacera (Asteraceae) is a plant of medicinal values and it is used extensively in unani, ayurvedi and homeopathic system of medicine. It is described in Ayurveda as bitter, astringent, acrid, thermogenic, errhine, anti-inflammatory, styptic, opthalmic, digestive, antihelminthic, liver tonic, expectorant, febrifuge, antipyretic, diuretic, deobstruant, and stimulant and antioxidant [4]. Essential oils from Blumea have been shown analgesic, hypothermic and tranquilizing activities. Blumea lacera is considered a valuable homoeopathic drug [5] use in the case of enuresis, neuralgia, headache, cold borne cough. The phytoconstituents separated from leaves possess stomachic, anti-spasmodic and diaphoretic properties [6]. The alcoholic extract of the plant showed marked anti inflammatory activity in carrageenin and bradykinin induced inflammation in rats [7]. Dried herb used as febrifuge; as astringent in hemorrhages; as deobstruent and stimulant. A root extract of Urena lobata and leaf extract of Blumea lacera is mixed together with sugar and taken for the treatment of spermatorrhoea. Essential oil from Blumea lacera has been shown analgesic, hypothermic, and tranquilizing activities [8]. So, it is highly relevant to investigate the in-vivo pharmacological activities of Blumea lacera. The purpose of our study was to investigate and evaluate the biological activities include in-vivo anti-pyretic activity, gastro-intestinal motility, analgesic activity through acetic acid induced writhing method, neuropharmacological activity and acute toxicity determination by different leaf plant extractives of Blumea lacera.
MATERIALS AND METHODS
Plant material collection and identification
Whole plant sample of Blumea lacera was collected from Mirpur, Dhaka, Bangladesh in January 2013. Then the plant sample was submitted to The National Herbarium of Bangladesh, Mirpur, Dhaka for its identification. One week later its voucher specimen was collected after its identification (Accession No. 38224).
Preparation of plant material
After cutting and slicing, the collected plant samples were dried in the sun as well as in a mechanical dryer at (60-70)0C. The dried sample was ground to coarse powder with a mechanical grinder and powdered sample was kept in clean closed glass container.
Preparation of Extracts
Soxhlet extractor was used for the extraction procedure. Plant material was extracted by three solvents- methanol, ethanol and chloroform. After extraction, methanol extract (ME), ethanol extract (EE) and chloroform extract (Ch-E) respectively were treated with rotor evaporator and kept in refrigerator for further use.
Preparing animals
For the experiment Swiss albino mice of either sex, 4-5 weeks of age, weighing between (12-30) gm were collected from animal resources department of ICDDR, B, Dhaka. Animals were maintained under standard environmental conditions (temperature: 27.0 ± 1.0° C, relative humidity: 55-65% and 12 hour light/ 12 hour dark cycle) and free access of feeds and water. The animals were acclimatized to laboratory condition for one week prior to experiments.
Antipyretic activity test
Antipyretic activity test was done by brewer’s yeast induced pyrexia model. The mice were injected with brewer’s yeast. Due to the presence of pyrogenic substances inside the body, pyrexia/fever occurred in the animals. All Albino Swiss mice were randomly divided into 8 groups containing 5 mice in each group and fasted overnight before the experiment with free access to water. The normal body temperature of each mouse was measured rectally with the digital thermometer at predetermined intervals and recorded. Then fever was induced according to the method described by Smith and Hambourger, 1935 [10]. After measuring the basal rectal temperature by digital thermometer, animals were injected subcutaneously with 10 ml/kg of 20% w/v brewer’s yeast. Mice were then kept separately in separate cages for 18 hours. Rectal temperatures of the mice were recorded again after 18 hours of brewer’s yeast injection. Mice showing increase of temperature of at least 0.5° to 1° C were selected for the experiment only [11]. Control solution (0.9% NaCl), standard drug (diclofenac sodium 50 mg/kg), and sample solutions of 200 mg/kg and 400 mg/kg of all the extracts were administered orally. Rectal temperature was recorded after at 1hr. Intervals for 3hr after the extract/drug administration. Finally the loss of temperature is measured in % reduction according to the following formula [12].
Neuropharmacological study
Open field test
According to Gupta et al., 1971 [13] with slight modification, open field test was performed to monitor behavioral responses in mice that are placed in a novel and bright area. Rodents tend to stay away from brightly illuminated areas. The experiment also assesses a range of anxiety-induced, locomotion activity and exploratory behaviors. Each group of mice was administered orally with test drug and different extracts of Blumea lacera according to the literature. The open field apparatus is made of hardboard (60 cm x 60 cm squares alternatively) and wall was 40 cm in height. Blue lines drawn on the floor and it was divided into 36 squares (10 cm x 10 cm square alternatively) colored black and white. The four middle squares were marked as the center square. The number of squares visited by the mice and the number of center squares entries was calculated for two minutes at 0, 30, 60, 90 & 120 minutes subsequent to oral administration of the experimental crude extracts.
Forced swimming test (FST)
According to Porsolt et al., 1977 [14] with slight modification swimming test was performed. Mice were randomly divided into eight groups where five mice in each group. The forced swim test was carried out on mice individually forced to swim in an open cylindrical water tank apparatus (30 cm height x 20 cm diameter), containing 15 cm height of water at 25±1°C temperature. Each group of mice was administered orally with test drug and different extracts of Blumea lacera according to the literature. The total duration of immobility during 5 minute swimming tests was recorded after 30 minute administrations of drug or extract. Water should be changed between each data collection to maintain water temperature (25±1°C). Each mouse was considered to be immobile when it ceased struggling and remained floating motionless in the water, making only those movements necessary to keep its head above. The duration of immobility was recorded. Decrease in the duration of immobility during the FST was taken as a measure of anti-depressant activity.
Gastrointestinal motility test
The gastrointestinal motility test was performed according to Hérida & Maria, 2004 [15] with slight modification where suitable and necessary. Firstly, all the mice were kept in food deprivation for 3 hours but only accessible to water. The mice were divided in 8 groups, each group containing 5 mice (5 x 8 = 40 mice). All the mice were weighed and kept separated using separate cage. Control solution (5 ml/kg), standard solution (5 mg/kg), sample solutions of 250 mg/kg and 500 mg/kg of all the extracts were administered by oral gavages. The time of this dose administration is considered zero reading. 90 min later, 0.3 ml of charcoal suspension was administered to all the mice. 60 min later, mice were provided with free access to food. The mice were observed at 5 min intervals until feces with charcoal were eliminated (maximum time of observation was 450 min). Charcoal was observed on the feces using normal light when it was easily visible, or using a microscope to help the identification of the black spots. The results were based on the time for the charcoal to be eliminated.
Anti-nociceptive study (acetic acid induced writhing test)
The acetic acid writhing test in mice as described by Koster et al., 1959 [16], was employed with slight modification. Mice were divided into eight groups containing five mice in each group. The first group was given 10 ml/kg of 1% Tween 80 i. p. and served as control. Group 2 was served as standard where diclofenac sodium has given to mice as dose of 50 mg/kg of body weight. Groups 3, 4 received methanol extract of leaf of B. lacera 100 mg/kg and 200 mg\kg of body weight. Groups 5, 6 received ethanol extract of leaf of B. lacera 100 mg/kg and 200 mg/kg of body weight. Groups 7, 8 received chloroform extract of leaf of B. lacera 100 mg/kg and 200 mg/kg of body weight. Thirty minutes later each mouse was injected i. p. with 0.7% acetic acid at doses of 10 ml/kg of b. w. Full writhing was not always completed by the mice. Accordingly, two half writhing was considered as one full writhing. The no. of writhing responses were recorded for each mouse during a subsequent 5 min period after 15 min i. p. administration of acetic acid and the mean abdominal writhing for the each group was obtained and recorded. The percentage inhibition of writhing was calculated using following equation:
% inhibition = [1 – (no. of writhing of standard or sample/ no. of writhing of control)] × 100
Acute toxicity test
The acute toxicity test in mice as described by Ecobichon, 1997 [17] was employed with slight modification. Mice were kept fasting for 1-2 hours but water was provided and were divided into 9 groups containing 5 mice in each group. All mice were weighed and kept separated using separate cage. The test samples i. e. methanol, ethanol and chloroform extracts were administered orally at different doses of 500 mg/kg, 1000 mg/kg, and 2000 mg/kg of body weight of mice. After administration of the extract solutions mortality or sign of any toxicity was observed for one hour and kept under observation for 1 week.
Statistical analysis
Data was expressed as Mean ± SEM (Standard error of Mean). The results were analyzed statistically by ANOVA followed by Dunnet’s test. Results below p<0.05 and p<0.01 are considered statistically significant.
RESULTS AND DISCUSSION
Antipyretic test
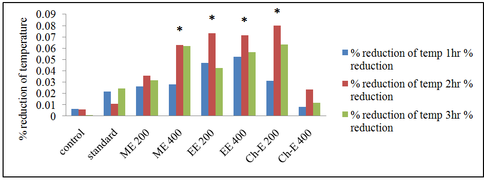
The results of Anti-pyretic test of Blumea lacera leaf extracts using brewer’s yeast induced pyrexia in mice have been shown in table 1. In this study it is found that the higher dose (400 mg/kg b. w) of methanol and ethanol extracts (200 & 400 mg/kg b. w.) shows significant level of lowering pyrexia from an elevated level as it is seen in table 1. It is also observed from table 1 that chloroform extract shows significant lowering of basal temperature at 200 mg/kg b. w dose level. In fig. 1 it is seen that higher dose (400 mg/kg b. w.) of Methanol extract, both doses of ethanol extract (200 & 400 mg/kg b. w.) and chloroform extract at dose of 200 mg/kg b. w showed maximum reduction of temperature. From that table we can see that, methanol extracts at a dose of 400 mg/kg b. w., both the doses of ethanol extract and chloroform extract at a dose of 200 mg/kg b. w. Produced significant reduction of temperature after two hours of administration.
Table 1: Effects of various leaf extracts Blumea lacera using brewer’s yeast induced pyrexia
Groups |
Doses mg/kg b. w |
Brewer’s yeast induced temp (◦F) |
After dose temp.(◦F) at |
||
1hr |
2hr |
3hr |
|||
Control |
10 ml/kg |
95.96±0.669 |
95.34±0.782 |
95.4±0.769 |
95.44±0.563 |
Diclofenac Na |
50 |
96.4±0.912 |
94.28±1.341 |
95.32±0.788 |
94.02±1.197 |
Methanol Extract |
200 |
98.68±1.202 |
96.02±0.815 |
95.08±0.840 |
95.54±1.227 |
400 |
100.04±0.186* |
97.24±0.722 |
93.7±0.566 |
95.32±0.867 |
|
Ethanol Extract |
200 |
100.5±0.328* |
95.74±0.514 |
93.1±0.896 |
96.22±0.849 |
400 |
99.16±1.228 |
93.88±1.222 |
92.02±0.603* |
93.48±0.572 |
|
Chloroform Extract |
200 |
99.76±0.963* |
96.62±0.591 |
91.7±0.770* |
93.38±1.309 |
400 |
96.04±0.318 |
95.24±0.798 |
93.74±0.620 |
94.9±1.011 |
|
Values are mean ± SEM (n=6), * (p< 0.05), ** (p< 0.01), *** (p< 0.001) significantly different when compared with the corresponding value of standard group, done by independent sample t-test.

Fig. 1: Comparative study of % reduction of temperature using leaf extracts of B. lacera
In the present study, methanol, ethanol and chloroform extract showed antipyretic activities in mice. So it can be said that more of the active principles responsible for the antipyretic activity might be available in these three extracts. Brewer’s yeast-induced fever is called pathogenic fever. Its etiology includes production of prostaglandins, which set the thermo-regulatory center at a lower temperature [18]. So inhibition of prostaglandin synthesis could be the possible mechanism of antipyretic action as that of acetylsalicylic acid [19]. Alpayci, 2012 [20] suggested that there are several mediators or multi-processes underlining the pathogenesis of fever. Inhibition of any of these mediators may bring about anti-pyresis. As to how they interfere with prostaglandin synthesis, further studies need to be carried out. Though this study could hint about the onset and duration of action of the extracts of the plants studied, further investigation is required to determine their pharmacokinetic profiles. The fact that neither toxicity nor lethality was observed at any dose of both extracts explains the wide safety margin of the extracts within the doses range. This observation also hints that the LD50 of the extracts is much higher than the highest dose level employed.
Neuropharmacological study
Open field test
Test results for different extracts of Blumea lacera for open field test (movement), Open Field test (standing), Open Field test (center) and Open Field test (Stool) are presented in Table 2, 3, 4 and 5 respectively.
Table 2: Effect of different extracts of Blumea lacera in open field test (Movement).
| Group | Doses (mg/kg) | -30 mins | +30 mins | +60 mins | +90 mins | +120 mins |
| Control | 10 ml/kg | 205.8±12.54 | 176±13.49 | 136.2±12.69 | 122.2±13.79 | 108±13.80 |
| Std (Clonazepam) | 2 | 177.4±22.33 | 154±17.87 | 102±14.17 | 72.6±14.77 | 62.2±12.89 |
| Methanol Extract | 100 | 124.2±19.39* | 94.6±13.45* | 57.4±15.00* | 42.6±13.31* | 34.2±12.43* |
| 200 | 142.2±11.77 | 111.6±16.39 | 100.4±16.86 | 80.6±13.03 | 61.6±9.17 | |
| Ethanol Extract | 100 | 151±17.64 | 117.4±14.23 | 91.4±19.99 | 60±18.60 | 45.8±14.42 |
| 200 | 123±7.24* | 91.8±7.27* | 63.6±11.77* | 47.6±12.72* | 34.4±13.06* | |
| Chloroform Extract | 100 | 140.8±17.44* | 108.8±7.02* | 68±17.32* | 54.2±12.97* | 40±11.60* |
| 200 | 125.8±15.60* | 99.8±14.50* | 58.8±9.25* | 41.6±9.24* | 27.2±6.57* |
Values are mean ± SEM (n=6), * (p< 0.05), ** (p< 0.01), *** (p< 0.001) significantly different when compared with the corresponding value of standard group, done by independent sample t-test.
Table 3: Effect of different extracts of Blumea lacera in open field test (Frequency of standing)
| Group | Doses (mg/kg) | -30 mins | +30 mins | +60 mins | +90 mins | +120 mins |
| Control | 11.4±0.51 | 15.2±1.24 | 19.4±1.21 | 21.4±0.75 | 20.8±1.07 | |
| Std (Clonazepam) | 2 | 12±1.58 | 15.4±1.78 | 17.2±1.36 | 11.6±3.71 | 10.8±3.25 |
| Methanol Extract | 100 | 13.6±0.93 | 19.8±2.8 | 14.4±5.07 | 11.2±2.90 | 7.6±2.44 |
| 200 | 21.8±1.16 | 20.8±2.35 | 21.4±1.94 | 19±1.14 | 17±1.97 | |
| Ethanol Extract | 100 | 17.6±1.29 | 19±0.55 | 17.8±2.15 | 15.2±2.44 | 15.2±3.55 |
| 200 | 17.6±1.66 | 20.2±1.46 | 11.2±3.14 | 12.8±3.48 | 9.6±3.26 | |
| Chloroform Extract | 100 | 17±2.43 | 16±2.79 | 13.4±2.80 | 11.2±3.07 | 9.4±3.01 |
| 200 | 16.2±0.49 | 18±1.34 | 16.8±3.04 | 12.8±1.32 | 11.4±2.69 |
Values are mean ± SEM (n=6), * (p< 0.05), ** (p< 0.01), *** (p< 0.001) significantly different when compared with the corresponding value of standard group, done by independent sample t-test.
Table 4: Effect of different extracts of Blumea lacera in open field test (Center).
| Group | Doses (mg/kg) | -30 mins | +30 mins | +60 mins | +90 mins | +120 mins |
| Control | 6±0.63 | 5±0.77 | 3±0.84 | 2.6±1.43 | 0.2±0.2 | |
| Std (Clonazepam) | 2 | 2.2±0.66 | 2.6±0.87 | 0.4±0.4 | 1.6±0.81 | 0.2±0.2 |
| Methanol Extract | 100 | 4±2.17 | 2.4±1.17 | 1.2±0.58 | 0.8±0.8 | 1.2±0.8 |
| 200 | 5±1.22 | 3.8±2.42 | 3±1.64 | 4±2.61 | 0±0 | |
| Ethanol Extract | 100 | 3±1.58 | 2±2 | 3.8±2.22 | 3.2±1.98 | 1±0.77 |
| 200 | 2.6±1.4 | 1.2±1.2 | 0±0 | 0±0 | 0±0 | |
| Chloroform Extract | 100 | 2.4±0.69 | 2.4±1.17 | 1±0.45 | 0.4±0.24 | 0±0 |
| 200 | 2±0.55 | 0.8±0.8 | 0.8±0.49 | 0.8±0.58 | 0±0 |
Values are mean ± SEM (n=6), * (p< 0.05), ** (p< 0.01), *** (p< 0.001) significantly different when compared with the corresponding value of standard group, done by independent sample t-test.
Table 5: Effect of different extracts of Blumea lacera in open field test (Stool)
| Group | Doses (mg/kg) | -30 mins | +30 mins | +60 mins | +90 mins | +120 mins |
| Control | 0.83±0.68 | 0±0 | 0±0 | 0±0 | 0±0 | |
| Std (Clonazepam) | 2 | 0.83±0.68 | 0±0 | 0±0 | 0±0 | 0.17±0.37 |
| Methanol Extract | 100 | 1.33±1.11 | 0.17±0.37 | 0.33±0.47 | 0±0 | 0.5±0.76 |
| 200 | 0.5±0.76 | 0.33±0.47 | 0±0 | 0±0 | 0.33±0.47 | |
| Ethanol Extract | 100 | 0.66±0.47 | 0.33±0.47 | 0±0 | 0±0 | 0.33±0.47 |
| 200 | 1±1 | 0±0 | 0±0 | 0±0 | 0.17±0.37 | |
| Chloroform Extract | 100 | 1.12±0.98 | 0.17±0.37 | 0.33±0.47 | 0±0 | 0.17±0.37 |
| 200 | 1±1.14 | 0.17±0.37 | 0.17±0.37 | 0.33±0.47 | 0.67±1.49 |
Values are mean ± SEM (n=6), * (p< 0.05), ** (p< 0.01), *** (p< 0.001) significantly different when compared with the corresponding value of standard group, done by independent sample t-test.
From table 2, it is observed that methanol 100 mg/kg, ethanol 200 mg/kg, chloroform 100 & 200 mg/kg extracts significantly decrease the rate of movement with time in a dose dependent manner when compared with the corresponding value of control group. It is also seen in table 3, 4 & 5 that these extracts decrease the frequency of standing, entrance into center and stool count at the same time. So it can be said that methanol, ethanol & chloroform extracts of Blumea lacera have the ability to relieve stress and had an anxiolytic effect on the rodents. Inhibition of such behaviors is indicative of centrally acting depressant or sedatives [21].
Many reports have validated open field tests as useful measures of emotional activity [22, 23, and 24] for Turku aggressive mice; others have not found differences in open field activity despite difference in other anxiety measures e. g, MHC-congenic mice [25]. Nevertheless, the open field test remains a standard behavioral assay reported in the literature [26]. The standard open field test is commonly used to assess locomotor, exploratory and anxiety like behavior in laboratory animals (rats/mice) [27]. The open field test is designed to examine responses of mice or rats to a new and unfamiliar environment (novel environment). Rodents demonstrate anxiety, fear and curiosity when placed in a new environment [28]. In response to the novel environment, the rodents tend to explore the surrounding. The exploratory capacity might be considered to be an index of anxiety although it is difficult to separate it from motor anxiety [28]. However, rodents are also fear to go to the open and illuminated space which is clearly demonstrated by their rearing, grooming, defecation, locomotor and so on. These parameters are well utilized to assess anxiety and fear in rodents.
Swimming test
The result of different leaf extracts of Blumea lacera in mice in forced swimming test is represented by table 6. During the test the ethanol extract at doses of 100 & 200 mg/kg & chloroform extract at doses of 100 & 200 mg/kg of body weight shortened the immobility period in comparison with control & exhibited a dose dependent antidepressant activity. A significant (p<0.05, p<0.01) decrease in duration of immobility was observed as compared to that of control. The ethanol extract at the dose of 100 mg/kg & chloroform extract 100 mg/kg of body weight showed more significant result (p<0.01) similar to that of standard drug imipramine. The result shows that methanol extract of Blumea lacera does not pose any antidepressant activity.
Table 6: Effect of different extracts of Blumea lacera in forced swimming test
| Group | Doses (mg/kg) | Duration of Immobility (s) |
| Control (1% Tween 80) | 10 ml/kg | 102±5.22 |
| Standard (Imipramine) | 10 | 18.33±3.57** |
| Methanol Extract | 100 | 67.5±4.42 |
| 200 | 95.5±4.62 | |
| Ethanol Extract | 100 | 22.33±9.05** |
| 200 | 44.83±7.82* | |
| Chloroform Extract | 100 | 18±3.92** |
| 200 | 35.67±7.60* |
Values are mean ± SEM (n=6), * (p< 0.05), ** (p< 0.01), *** (p< 0.001) significantly different when compared with the corresponding value of standard group, done by independent sample t-test.
Forced swimming test was designed by Porsolt et al., 1977 [14] as a primary screening test or antidepressants. When rodents are forced to swim to in a confined place, they tend to become immobile after vigorous activity (struggling). This inescapable stressful situation can be evaluated by assessing different stress [14]. The development of immobility when the rodents are placed in an inescapable container of water reflects the cessation of persistent escape directed behavior [29]. The CNS depressant effect of the extracts may be attributed to chemical constitute other than flavonoids and alkanoids because flavonoids are responsible for the decrease in immobile phase in the swim test [30] and so does alkaloid as well [31].
Gastro-intestinal motility test
The gastro-intestinal motility test results are shown in table 7. In this, the methanol extract at 250 mg/kg, ethanol extract at 250 & 500 mg/kg and chloroform 250 mg/kg body weight doses, significantly and dose dependency decreased the propulsion of charcoal meal through the gastrointestinal tract by about 19.50%, 17.71%, 25.67% and 26.04% respectively with respect to the control group. Methanol extract 250 & Chloroform extract of 250 mg/kg had shown more significant results (p<0.01) compare to control group. But anti-motility effect of the extract of methanol 500 mg/kg was not prominent compared to the control.
Table 7: Effect of different extracts of Blumea lacera on Gastro-intestinal motility test
| Group | Doses (mg/kg) | Charcoal defecation time (min) | % Inhibition of Mean Defecation Time |
| Control (0.9% NaCl) | 5 ml/kg | 89.2±5.49 | - |
| Standard (Loperamide) | 5 | 138.2±4.55*** | 35.46 |
| Methanol Extract | 250 | 110.8±4.00** | 19.50 |
| 500 | 91.8±13.20 | 2.84 | |
| Ethanol Extract | 250 | 108.4±5.61* | 17.71 |
| 500 | 120±10.59* | 25.67 | |
| Chloroform Extract | 250 | 120.6±6.49** | 26.04 |
Values are mean ± SEM (n=6), * (p< 0.05), ** (p< 0.01), *** (p< 0.001) significantly different when compared with the corresponding value of standard group, done by independent sample t-test.
Loperamide is an opioid-receptor agonist and acts on the μ-opioid receptors in the myenteric plexus of the large intestine. It works by decreasing the activity of the myenteric plexus. This increases the amount of time substances stay in the intestine, allowing for more water to be absorbed out of the fecal matter. As remarkable anti-motility effect of Methanol extract 250, Ethanol extract 250 & 500 and Chloroform extract 250 mg/kg revealed that this drug caused a significant decrease in gut motility, compared with the effect produced by normal saline.
Acetic acid induced writhing test
The test results for acetic acid induced writhing test are represented in fig. 2. Here, methanol extracts at doses of 100 & 200 mg/kg of body weight produced 32.02% & 54.3% writhing inhibition, the ethanol extracts at doses of 100 & 200 mg/kg of body weight produced 46.86% & 30.3% writhing inhibition and the chloroform extracts at doses of 100 & 200 mg/kg of body weight produced 39.42% & 28.01% writhing inhibition in test animals respectively. The results were statistically significant (p <0.001, p<0.01, p<0.05) and was comparable to the control group. The doses of methanol 200, ethanol 100 & 200 and chloroform 100 mg/kg showed more significant results (p<0.001) when compared to control group whereas methanol 200 mg/kg showed the highest inhibition (54.3%) which is even higher than standard drug (33.73%).
The analgesic effects of the ethanol, methanol & chloroform extract of Blumea lacera leaves were investigated in this study. Acetic acid writhing test was used for the analgesic effect, because of its sensitivity that could give different grades of injurious stimuli in chemically induced tissue damage [32]. Similarly, the acetic acid induced writhing has been used to evaluate analgesic effects of drugs and the response is thought to be mediated by peritoneal mast cells, acid sensing ion channels and the prostaglandin pathways [33] The acetic acid induced writhing allows the acid to act via central mechanisms and motor performance of the animal [35,36]. Therefore, the different crude extract of Blumea lacera leaves has a significant inhibition in the duration of the writhing in each mouse. The intra-peritoneal injection of acetic acid produces an abdominal writhing response due to sensitization of chemo-sensitive nociceptors by prostaglandins. Increase level of protanoids as well as lipoxygenase products has been found in the peritoneal fluid after the injection of the acetic acid. The analgesic effect of any plant extract may therefore be due to either its action on visceral receptors sensitive to acetic acid, to the inhibition of the production of algogenic substances or the inhibition at the central level of the transmission of painful message [36].

Fig. 2: Effect of different extracts of Blumea lacera in acetic acid induced writhing test
Values are mean ± SEM (n=6), * (p< 0.05), ** (p< 0.01), *** (p< 0.001) significantly different when compared with the corresponding value of standard group, done by independent sample t-test.
Acute toxicity test
In the time of investigation of acute toxicity none of the extracts showed any sign of toxicity in the period of one week observation which is shown in table 8. This particular result is in accordance with other studies done previously [37] described that oral administration of ethanolic extract of leaves of Blumea lacera produce no visible signs of toxicity.
Table 8: Result of acute toxicity test
| Group | Administered substance | Doses (mg/kg of b. w) | Toxic effect |
| 1 | Methanol extract | 500 | None |
| 2 | 1000 | None | |
| 3 | 2000 | None | |
| 4 | Ethanol extract | 500 | None |
| 5 | 1000 | None | |
| 6 | 2000 | None | |
| 7 | Chloroform extract | 500 | None |
| 8 | 1000 | None | |
| 9 | 2000 | None |
CONCLUSION
In this study, it can be concluded that, Blumea lacera leaf extracts of respective three solvents (methanol, ethanol and chloroform) show significant level of anti-pyretic effect where 200 mg/kg dose of ethanol extract & chloroform extract and 400 mg/kg dose of methanol extract & ethanol extract shows significant level of % reduction of temperature. In neuropharmacological study, methanol & chloroform extracts at lower dose (100 mg/kg) and ethanol & chloroform extracts at higher doses (200 mg/kg) shows anxiolytic effect in an open field test. In swimming test of neuropharmacological study, ethanol and chloroform extracts of Blumea lacera leaf exhibits significant anti-depressant activity. In GI motility test, of methanol, ethanol and chloroform extracts exhibit remarkable anti-motility effect where significant decrease in gut motility observed. In acetic acid-induced writhing test for anti-nociceptive activity investigation all of the extracts show very significant result where methanol extract 200 mg/kg shows highest inhibition of writhing. None of the solvent extract of Blumea lacera had shown any sign of toxicity in acute toxicity test during one week observation period. Our current work is suggestive to future works on Blumea lacera with a consideration of compound isolation for particular activity and develop lead compound for therapeutic use.
CONFLICT OF INTERESTS
Declared None.
REFERENCES