1Department of Pharmaceutics, RAK College of Pharmaceutical Sciences, RAK Health and Medical Sciences University, Ras AlKhaimah, United Arab Emirates.
Email: sarheed@rakmhsu.ac.ae
Received: 22 Dec 2014 Revised and Accepted: 15 Jan 2015
ABSTRACT
Objectives: Folic acid is a water-soluble B vitamin that is naturally present in some foods such as dark green leafy vegetables and dairy products, added to others such as fortified breads, and available as a dietary supplement. In a study performed in the United States, out of nine multivitamin products, only three products met US Pharmacopeia (USP) standard for folic acid dissolution. The aim of this study is to evaluate the dissolution profile of folic acid supplements in the United Arab Emirates according to the USP standards.
Methods: Two commercial brands were collected from the market that are commonly prescribed. Water and citrate buffer (pH 6.0) were used as dissolution media.
Results: Both products passed the dissolution testing of releasing the required amount of drug substance (75%) within 60 minutes. Also, both products contain an over age of up to 150% of the labeled amount to ensure the availability of the claimed amount.
Conclusion: The study indicates that dissolution test is well established, reproducible, reliable and valuable tool for characterizing a drug product at different stages in its lifecycle. The use of citrate buffer showed a significant change in the release of folic acid from the tablets.
Keywords: In vitro equivalence, Folic acid, Dissolution, Overage, USP.
Folic acid is a water-soluble B vitamin that is naturally present in some foods such as dark green leafy vegetables and dairy products, added to others such as fortified breads, and available as a dietary supplement. It acts as a coenzyme in the synthesis of nucleic acid and metabolism of amino acids[1]. Folate insufficiency in pregnant women was reported to increase the incidence of neural tube defects (NTDs)[2]. Folic acid is available in supplement preparation in a dose ranges from 400 mcg-5 mg because 50% folate in food naturally is bioavailable[2, 3]. While 85% of supplemental folic acid is bioavailable when taken with food and nearly 100% bioavailable when consumed without food [2-4].
Food and Nutrition Board (FNB) identified that for 1 microgram of dietary folate equivalents is equal to 0.5 mcg folic acid from dietary supplements taken on an empty stomach [4]. So the dissolution profile of folic acid tablets is important to achieve the required bioavailability. The dissolution test requirement in the US Pharmacopeia will be met if at least 75% of the labeled content of folic acid is dissolved in 1 hour [5].
In a study performed in the United States, out of nine multivitamin products, only three products met US Pharmacopeia (USP) standard for folic acid dissolution [6]. Another study in the UK, 11 folic acid commercial preparations were evaluated under British Pharmacopeia specifications, and only 7 brands passed the dissolution test requirements [7].
Folic acid was reported to lose about 10.5% of its activity when multivitamin tablet stored in plastic containers for at 24.85°C and 75% relative humidity [8].
To overcome the issues of stability and poor dissolution, manufacturers employed a well-established technique of including “overages” to ensure that the claimed levels are still met provided that they are within the safety level for the vitamin [8, 9]. Typically folic acid overages range from about 10 to 40%.
The aim of this study is to evaluate the dissolution profile of folic acid supplements in the United Arab Emirates. The study was conducted according to the USP standards using the two dissolution media as described in the pharmacopeia.
Two brands were collected from the market that are commonly prescribed. One brand is a multivitamin supplement (formulation 1) had a labelled dose of 400 µg with 25 µg of vitamin B12 and the second brand (formulation 2) has a labelled dose of 5 mg of folic acid. They were purchased from a local pharmacy in Ras Al Khaimah, United Arab Emirates.
Reagents citric acid monohydrate hydrochloric acid, sodium hydroxide, sodium citrate dehydrate were of analytical grade and purchased from Sigma-Aldrich (UK).
Water and citrate buffer (pH 6.0) were used as dissolution media as specified in the United States Pharmacopoeia [10].
Citrate buffer 0.05 M (pH 6.0) was prepared by mixing 9.5 mL of 0.1 M citric acid monohydrate and 40.5 mL of 0.1 M sodium citrate dihydrate in a 100-mL volumetric flask, diluting with water to volume, mixing, and adjusting to a pH of 6.0 by using either 0.1 M hydrochloric acid or 0.1 M sodium hydroxide solution [10].
Pure folic acid powder (Folic Acid USP, Sigma–Aldrich, UK) was dissolved in water or citrate buffer 0.05 M (pH 6.0) and then diluted with the dissolution medium to make a series of standard calibration solutions of different concentrations for the development of a calibration curve using UV spectrophotometer at 282 nm[11].
According to the USP, each dissolution medium was heated to about 41°C and then filtered under vacuum through a 0.45-µm membrane into a suitable filtering flask equipped with a stirring device. Further, the flask was sealed and the vacuum continued with stirring for additional five minutes. The temperature of dissolution medium does not fall below 37 °C prior the initiation of the test.
In vitro dissolution was carried out via USP Apparatus 2, paddle type (Copley, UK) at a speed of 75 rpm in 900 mL of the USP dissolution media mentioned above and maintained at 37 ± 0.5 °C using a water bath fitted with a variable speed stirrer and heater (Erweka DT 600, Frankfurt, Germany). The selection of paddle rotation speed is based on the dissolution method of folic acid in the United States Pharmacopoeia [10].
Samples of 5 mL were taken manually at 5, 10, 20, 30, 45 and 60, 75, 90 and 120 min and replaced with an equal volume of fresh medium to maintain a constant dissolution volume. The samples were filtered through 0.8 micrometer syringe filter, and the absorbance was measured at 282 nm using a UV spectrophotometer (Shimadzu UV-1800 spectrophotometer). Each profile is an average of six individual tablets.
Results are expressed as mean ± S. D. for replicate samples. The statistically significant difference between the groups was determined by one-way analysis of variance (ANOVA) using statistical software (Version 17; Minitab Inc., Coventry, UK). Statistical significance was considered at a level of p≤ 0.05.
Folic acid is an important water-soluble vitamin as it involves in the DNA and RNA synthesis. There are many reports shows problems in its release from tablets due to the role of excipients and pH [12, 13]. These issues raised a concern about supplements containing folic acid sold in the market. There are no reports on assessing the in vitro equivalence of folic acid supplements in the United Arab Emirates. table 1 represents excipients contained in both products.
Table 1: Excipients contained in the evaluated products
| Excipient | Evaluated Product |
| Cellulose | 1 |
| Magnesium stearate | 1 |
| Stearic acid | 1, 2 |
| Maize starch | 2 |
| Colloidal silicon dioxide | 2 |
| Microcrystalline cellulose | 2 |
| Lactose spray dried | 2 |
| Talc (fine powder) | 2 |
Dissolution testing involved dissolving the tablets under controlled conditions. The amount of drug dissolved was represented as the percentage of folic acid. The two formulations passed the USP test of dissolution. The USP requires the product release 75% of its claimed labelled amount with 60 minutes.
As shown in table 2 both products contained overage of folic acid in excess of that is stated in the claim by up to 150%. Although, there are no harmful effects associated with folic acid excess, but this may interfere with some drugs or vitamins in the body [14].
Table 2: The percentages of the dissolution rate of 100% of the expected dissolution rate at 60 min
| Formulation | % of drug dissolved at 60 min | 95% Confidence interval | p value |
| 1 (H2O) | 93.10 | (65-122) | 0.1 |
| 1(Citrate) | 127.90 | (86-167) | |
| 2 (H2O) | 101.47 | (92-111) | 0.01 |
| 2 (Citrate) | 115.72 | (109-123) |
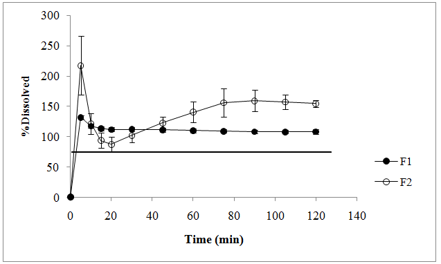
Fig.1 and 2 show the dissolution profile of formulation 1 and 2 in water and citrate buffer (pH=6.0)respectively. Both products pass the USP requirement for the dissolution test requirement of folic acid in both media.

Fig. 1: Dissolution profiles of formulation 1 (F1) and formulation (F2) in water (n=6±SD). The solid line represents 75% of dissolved drug
A USP adopted the use of citrate buffer pH=6.0 as an alternative dissolution media to improve folic acid dissolution based on a study initiated by Council for Responsible Nutrition (CRN). In this study, the use of citrate buffer showed an improved dissolution behavior of folic acid from tablets of formulation 2 (p ≤ 0.05) compared to water as shown in fig. 2. However, formulation 1 did not show significant change in the dissolution profile in citrate buffer (p ≥0.05).
This difference in the dissolution behavior might be attributed the excipients composition of the two products. As shown in table 1. In addition to that the formulation 1 contains vitamin B12 which may influence the release and the solubility properties of folic acid. Also, the particle or the surface of the particle may also play a role.
The in vitro dissolution data can be used to predict the in vivo bioavailability. The results of this study showed that both products can perform well in the body after administration.

Fig. 2: Dissolution profiles of formulation 1 (F1) and formulation (F2) in citrate buffer (pH=6.0) (n=6±SD). The solid line represents 75% of dissolved drug
The aim of this study was to evaluate the in vitro equivalence of folic acid to meet the USP standards. Both products passed the dissolution testing of releasing the required amount of drug substance (75%) within 60 minutes. The study indicates that the dissolution test is well established, reproducible, reliable and valuable tool for characterizing a drug product at different stages in its lifecycle. The use of citrate buffer showed a significant change in the release of folic acid from the tablets. Also, both products contain an over age of up to 150% of labeled amount to ensure the availability of the claimed amount.
ACKNOWLEDGMENT
The authors express their gratitude to the Vice Chancellor of RAK Medical & Health Sciences University and the Dean of RAK College of Pharmaceutical Sciences for the encouragement and facilities provided. The authors also would like to thank Mr. Mohammad Quamrul Islam for the assistance.
CONFLICT OF INTERESTS
Declared None
REFERENCES