Int J Pharm Pharm Sci, Vol 7, Issue 3, 19-27Review Article


SULFONES: AN IMPORTANT CLASS OF ORGANIC COMPOUNDS WITH DIVERSE BIOLOGICAL ACTIVITIES

IRSHAD AHMAD*, SHAGUFTA*

Department of Mathematics and Natural Sciences, School of Arts and Sciences, American University of Ras Al Khaimah, Ras Al Khaimah, UAE.
Email: iahmad@aurak.ae

Received: 18 Dec 2014 Revised and Accepted: 10 Jan 2015


ABSTRACT

Sulfones have been studied broadly for various biological activities primarily as anti-inflammatory, antimicrobial, anticancer, anti-HIV, antimalarial, and anti-inflammatory. The review focused on the biological activity of various sulfones on different therapeutic targets. The aim of this review is to summarize the biological significance of sulfones, giving a comprehensive scenario and offer prospective in the development of new sulfone derivatives as therapeutic agents.

Keywords: Sulfone, Therapeutic agents, Biological activity.


INTRODUCTION

Sulfones are one of the members of organo sulfur compounds. Sulfones are S, S-dioxides of ether and represented by general structural formula R-S(O)2-R’, where R and R’ are organic groups. The chemistry of sulfones has been explored due to their importance as synthetic intermediates for the production of a wide range of chemically and biologically active molecules. Sulfones are widely used as solvents, polymers, and biopharmaceutical agents. Several drug molecules containing sulfone groups are used for the treatment of leprosy, dermatitis herpetiformis, and tuberculosis. Researchers have also determined many therapeutic activities of sulfone containing compounds, including antibacterial, antifungal, antimalarial, cysteine protease inhibitor, anti-HIV, anti-proliferative, anti-cancer, protein phosphatase methylesterase-1 inhibitors, thyroid receptor antagonist, 11β-hydroxy steroid dehydrogenase type 1 inhibitors, M1 positive allosteric modulators, cyclic nucleotide-gated channel agonist, EPAC2 antagonist, anti-inflammatory activity, PI3K/Akt/mTOR signaling pathways inhibitors, γ-secretase inhibitors, β-lactamase inhibitors and gelatinase inhibitors. In this review, we will briefly summarize the various sulfones reported in the literature over the past two decades and furthermore focus will be on the biological and pharmaceutical applications of these compounds.

Sulfones- anti-inflammatory activity

A series of 5-aryl-3-alkylthio-1,2,4-triazoles and corresponding sulfones (Fig.1) were synthesized and evaluated for their anti-inflammatory-analgesic activity by Tozkoparan et al.[1]. Many compounds of this series displayed potential anti-inflammatory-analgesic activity with minimum ulcerogenic risk.

In comparison to alkyl thio analogues the corresponding alkyl sulfones derivatives were reported as more potent anti-inflammatory-analgesic agents.

Fig. 1

Hwang et al. in 2011 reported a new series of molecules by combining diarylpyrazole, a COX-2 pharmacophore and urea; a soluble epoxide hydrolase (sEH) phramacophore (Fig. 2) and reported their inhibitory activity on both Cox-2 and sEH in vitro and in vivo [2].

Fig. 2

Shaaban  et al. synthesized 21 analogues of 4,5-dihydrothieno[3,2-e][1,2,4]triazolo[4,3-a]pyrimidine-2-carboxamide series (Fig.3) and reported their biological activity as anti-inflammatory and analgesic agents [3]. The compounds were evaluated for their anti-inflammatory activity by using acute and subacute model with diclofenec Na as reference. The results revealed that the sulfonyl analogues exhibited better anti-inflammatory activity, then its corresponding sulfanyl analogues. Further to rationalize the biological results the methyl and benzyl sulfonyl analogues with high anti-inflammatory activity was docked on human COX-2.

Fig. 3

Sulfones-antimicrobial activity

Curti et al. reported the one pot-microwave synthesis of sulfone derivatives in water [4]. The modified microwave irradiation method provided the desired product in 30 min and with good yields. These compounds were evaluated for their antibacterial and antifungal activity and few sulfone derivatives (Fig.4) of this series depicted promising antimicrobial activity.

Fig. 4

Dixit et al. have synthesized a series of fluorinated 10H-Phenothiazines and their sulfone derivatives (Fig.5). The compounds were tested for antimicrobial activity and all the compounds showed good to moderate results [5].

Fig. 5

Kumar et al. reported the efficient and selective oxidation of sulfide into sulfoxides and sulfones (Fig. 6) and their in vitro antibacterial activities against Staphylococcus aureus, Bacillus cereus, Escherichia coli, Pseudomonas aeruginosa and antifungal activities against Aspergillusniger and Candida albicans [6].

Fig. 6

Pilyugin et al. synthesized a series of bis-(2-arylcarbonylamino-1H-benzimidazol-5-yl) sulfones (Fig.7) by reacting the corresponding substituted benzoyl chloride with sodium cyanamide to afford N-cyanobenzamide and further treating the prepared N-cyanobenzamide with 3,3’,4,4’-tetraaminodiphenyl sulfone in acid medium [7]. The synthesized compounds were screened for fungicidal activity.

Fig. 7

Stecoza et al. reported the synthesis, characterization and antimicrobial activity of derivatives of 6,11-dihydrodibenzo[b,e] thiepin 5,5 dioxide [8]. These cyclic sulfones (Fig.8) exhibited significant antimicrobial activity, with MICs values ranging from 15.6 μg/ml to 250 μg/ml.

Fig. 8

Barbuceanu et al. [9] reported the antimicrobial activity of a series of S-alkylated 1,2,4-triazoles (Fig.9) which were synthesized by alkylation of sulfone bearing compound i. e. 5-{4-[(bromophenyl)-2,4-dihydro-3H-1,2,4-triazole-3-thiones with various alkylating agents such as ethyl bromide, phenacyl bromide and ethyl chloroacetate. These compounds were evaluated by using different standard microorganism and showed promising results in comparison to parent triazoles and ampicillin.

Fig. 9

Kudryavtsev et al. reported the in vitro inhibitory activity of the Staphylococcus aureus sortase SrtA transpeptidase by aseries of cis-5-phenyl prolinates [10]. In these compounds the fourth position of the pyrrolidine ring was functionalized by electron withdrawing groups such as vinyl sulfone (Fig.10) and nitrile group. The compounds were synthesized by performing 1,3-dipolar cycloaddition reaction of an arylamino ester with divinylsulfone and acrylonitrile. Compounds inhibited S. aureus sortase Srt A irreversibly by modification of enzyme Cys 184 and thus shows promising future as antibacterial and antivirulence agent.

Fig. 10

Low et al. synthesized sulfone-containing analogues (Fig.11) of taurine-based chloroamines and explored their structure activity relationship for antimicrobial activity against Escherichia coli, Staphylococcus aureus and Candida albicans [11]. The stability of these compounds in aqueous solution was maintained by incorporating quaternary ammonium or sulfonate group.

Fig. 11

A series of phthalyl substituted aryl sulphones (fig. 12) was synthesized from phthalimide and evaluated for their antibacterial and antifungal activity by Soni et al. [12]. The compounds were screened against the pathogenic strains E. coli, S. aureus and S. typhii for antibacterial activity and against A. niger, Penicillium sp. and C. albicans for antifungal activity.

Fig. 12

Guruswamy et al. synthesized β-hydroxy benzimidazolyl sulfones (Fig.13) containing 7-piperazine fluoroquinolones by doing selective oxidation in the presence of ammonium molybdate catalyzed H2O2. The antimicrobial activity of synthesized compounds was evaluated against different bacteria and fungi strains and many of the compounds showed significant activity [13].

Fig. 13

Synthesis of a series of 2,5- disubstituted 1,3,4-oxadiazoles by cyclocondensation of aromatic carboxylic acids with arylsulfonyl propanehydrazide were done by Kumar et al. [14]. Several compounds showed promising antimicrobial activity (fig. 14).

Fig. 14

Wani et al. in 2014 synthesized diaryl sulfones (Fig.15) by reacting aromatic substrate and aromatic sulphonyl chlorides in the presence of anhydrous aluminum chloride and screened them for antibacterial activity, individually, and in combination with trimethoprim [15]. They performed the QSAR study and identified the physicochemical parameter/s contributing towards the antibacterial activity of diaryl sulfones.

Fig. 15

Sulfones- anti HIV activity

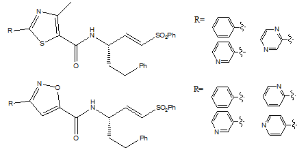
Meadows et al. reported a series of vinyl geminal disulfones (Fig.16) as HIV-1 inhibitors [16]. To analyze the effect of structure on inhibitory mechanism a range of compounds bearing different ring substituents was synthesized by reacting bis-phosphonate reagent and an appropriate aromatic aldehyde under Horner-Emmons-Wadsworth reaction conditions. Inhibitors possessing electron withdrawing substituents or no substituents on the aromatic rings displayed promising cytotoxicity and antiviral activity.

Fig. 16

Sulfones- antiproliferative activity

Usera et al. synthesized trifluoromethyl, methyl and isopropyl sulfone analogues of 1α,25-dihydroxyvitamin D3 (fig. 17) and reported their comparison of in vitro antiproliferative activities and in vivo calcemic activities [17]. By comparing their in vitro antiproliferative activities, it was evident that trifluoromethylsulfone analogue showed the maximum whereas methyl sulfone analogue minimum activity and their antiproliferative activity increases in the following order CH3<t-Bu≅i-Pr<CF3. In comparison to calcemic t-butyl sulfone analogue the methyl sulfone and triflorimethyl sulfone showed desirable low calcemic levels.

Fig. 17

Barbosa et al. replaced the alkene spacer group between the two aromatic rings of antitubulin agent combretastatin A-4 by sulfide spacer using the coupling reaction between iodobenzene and thio phenol [18]. The further sulfide group was oxidized to sulfoxide and sulfone using m-CPBA. The compounds (Fig.18) were evaluated for antiproliferative and antitubulin activity and comparative study with CA4 for inhibitory effect on cell growth, tubulin polymerization, and the binding of [3H]colchicine to tubulin were also reported.

Fig. 18

Cohen et al. reported the antiproliferative activity of sulfonyl derivatives of 5-nitro-1,3-thiazole series [19]. The compounds were synthesized by reacting 4-chloromethyl-2-methyl-5-nitro-1,3-thiazole with different sulfinate anions in water and under microwave irradiation. The promising antiproliferative activity was observed for these compounds (Fig.19) towards the HepG-2 cell lines in comparison to the CHO cell lines.

Fig. 19

Sulfones- anticancer activity

Al-Said et al. synthesized sulphonyl compounds bearing biologically active 1,3-dihydropyridine, chromene and chromenopyridine moieties [20]. These compounds (Fig.20) were evaluated against human breast cell line (MCF7) by using dextrorubicin as reference drug and exhibited potential anticancer activity. Docking study of these compounds on the active site of farnesyltransferase and arginine methyl transferase were performed and results provided the support in understanding the mechanism of action of these compounds as anticancer agents.

Fig. 20

Sulfones- antimalarial activity

Rosenthal et al. have synthesized 6 dimeric trioxane sulfones in 5-6 step from the natural trioxaneartemisinin [21]. These series of compounds (Fig.21) showed promising activity in malaria infected mice and were effectively and selectively cytotoxic to cancer cell lines.

Fig. 21

Capela et al. prepared a series of artemisinin-dipeptidyl vinyl sulfone hybrid molecules by combining dipeptidyl vinyl sulfone and artemisinin cores and screened them for antiplasmodial activity and falcipain-2 inhibition [22]. These compounds (Fig.22) displayed potent antiplasmodial activity in the range of 2 to 5 nM (IC50) against a panel of Plasmodium falciparum chloroquine-sensitive and multidrug-resistant strains and additionally in thelow micromolar range were able to inhibit falcipain-2.

Fig. 22

Lee et al. identified several sulfonyl compounds as antimalarial agents by targeting the fatty acid biosynthesis enzyme, β-ketoacyl-acyl carrier protein synthase III (PfKASIII). Two classes of compounds, i.e. benzene-sulfonyl-naphthalenes and benzene-sulfonyl-benzenes (Fig.23) displayed potency to inhibit PfKASIII and parasite growth [23].

Fig. 23

Sulfones- cysteine protease inhibitors

Shenai et al. have reported the inhibition of the Plasmodium falciparum cysteine proteases falcipain-2, falcipain-3, and parasite development by 39 new peptidyl vinyl sulfones (Fig.24) and established their structure-activity relationships (SAR) [24].

The compounds were synthesized by using Horner-Wads-worth-Emmons reaction and standard peptide coupling conditions.

Fig. 24

Chen et al. in 2008 used the major cysteine protease of Trypanaosoma cruzi to design and synthesize conformationally constrained inhibitors for the treatment of Chaga’s disease [25]. Vinyl sulphone containing macrocyclic trypanosomal cysteine protease inhibitors (Fig.25) were synthesized by using a ring closing metathesis reaction. These compounds were evaluated against cruzain and rhodesain, a closely related cysteine protease.

Fig. 25

In 2008, Brak et al. identified a new class of nonpeptidic inhibitors of cruzain [26]. The 2,3,5,6-tatrafluorophenoxymethyl ketone (Fig.26) was reported as apotent irreversible inhibitor that completely eradicates T. cruzi parasites in cell culture. Further to convert the most efficient substrates to inhibitors several pharmacophores such as vinyl sulfone, β-chloro vinyl sulphone, acyl- and aryloxymethyl ketone were explored. The β-chloro vinyl sulphone pharmacophore led to the key mechanistic insight and resulted in the development of nonpeptidic inhibitors.

Fig. 26

In 2013, Chen et al. reported that WRR 483 (Fig.27), an analog of K11777(a potent inhibitor of cruzain), an effective cysteine protease inhibitor with trypanocidal activity in cell culture and animal model. The crystal structure of WRR 483 bound to cruzain provided the evidence that its mode of action is by targeting the active site of cruzain [27].

Fig. 27

Bryant et al. discovered the two new classes of non-peptidic vinyl sulfone (Fig.28) that inhibit cysteine protease in vitro and inhibit the growth of T. brucei parasites in culture. The co-crystal structure of non peptidic vinyl sulfone inhibitor bound to cruzain reveals the importance of targeting S2 and S3 subsites of parasite cysteine proteases [28].

Fig. 28

Sulfones- protein phosphatase methylesterase-1 (pme-1) inhibitors

The reports suggest that the serine hydrolase protein phosphatase methylesterase-1 (PME-1) is involved in the regulation of the methyl esterification state of protein phosphatase 2A (PP2A) and thus can act as an attractive therapeutic target for cancer and Alzheimer's disease. Bachovchin et al. synthesized a series of compounds of sulfonyl acrylonitrile scaffold (Fig.29) and reported their selective PME-1 inhibitory activity [29].

Fig. 29

Sulfones- thyroid receptor antagonist

Hwang et al. in 2011 reported the methylsulfonylnitrobenzoates (MSNB's) (Fig. 30A) as a new class of thyroid receptor antagonist that inhibit the interaction of the thyroid hormone with its coactivators by irreversibly modifying cysteine 298 of thyroid hormone receptor [30]. In a further study, they synthesized series of 5-carboxamide-sulfonylnitrophenylthiazoles (SNPTs) and 4-carboxamide-SNTPs (Fig.30B) by replacing the ester linkage of MSNBs with a thiazole moiety and evaluated them for antagonism toward thethyroid receptor-coactivators [31].

Fig. 30A


Fig. 30B

Sulfones- 11β-hydroxysteroid dehydrogenase type 1 inhibitors

During the last decade the pharmaceutical companies were highly interested in the development of small molecules as selective inhibitors of 11-β-Hydroxysteroid Dehydrogenase Type 1(HSD 1) for the treatment of type 2 diabetes, obesity and other metabolic disorders. X. Su et al. synthesized series of adamantly ethanone pyridyl derivatives (Fig.31) by linking pyridyl ring to an adamantly ethanones, through sulfur, oxygen, sulfoxide, sulfoneand amide linker [32]. These compounds were evaluated for their inhibitory activity against human and mouse11β-HSD1. Adamantyl ethanone pyridyl derivatives with sulfone linker were identified as potent and selective inhibitors of human and mouse 11β-HSD1.

Fig. 31

Sulfones- M1 positive allosteric modulators

G-protein coupled receptors (GPCRs) family members’ muscarinic acetylcholine receptors (mAChRs) contain five subtypes known as M1 –M5. All five subtypes are considered as therapeutic targets for various peripheral and CNS pathologies. Reid et al. reported several compounds on the novel indole scaffold bearing sulfone group (Fig.32) as M1 positive allosteric modulator (PAM) [33].

One of the compounds of this series, ML169 showed potent, selective and brain penetrant M1 PAM activity and in vitro results demonstrate promising brain to plasma ratio in comparison to prototypical M1 PAM, BQCA.

Fig. 32

Sulfones- cyclic nucleotide-gated channel agonist

The Cyclic nucleotide-gated (CNG) channels play very important role in olfactory sensory neurons and retinal photoreceptors. Changes in the concentration of cyclic nucleotide due to odorant and light produce electric signals that are transmitted to the brain. Continuous efforts are being made to develop pharmacological agents in order to explain the role of CNG channels in cellular signaling. In this regard Strassmaier et al. designed and synthesized several cGMP derivatives by doing a modification at N-1 and N-7 position [34]. Their results displayed that the two novel sites of cGMP i.e. N1 and N7 (Fig. 33) are acquiescent for further variation in order to develop novel CNG channel agonist and to understand the cGMP and CNG channels interactions.

Fig. 33

Sulfones- EPAC2 antagonist

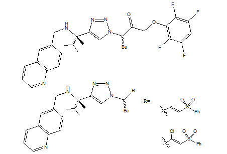
EPAC represents two isoforms of exchange protein directly activated by cAMP i.e. EPAC1 and EPAC2 and are involved in number of intracellular processes and are promising targets for the development of new therapies for human disorders such as diabetes, heart disease and cancer. H. Chenet al. designed and synthesized several analogues on three different scaffolds i.e. i) diarylsulfone scaffold using Friedal-Crafts sulfonylation, Suzuki coupling and Mitsunobu reactions ii) N,N-diarylamines iii) arylsulfonamides and reported their potency, selectivity towards EPAC-2 and established structure activity relationship [35]. Through hit to lead optimization process these compounds (Fig.34) exhibited potent and selective antagonist activity for EPAC-2.

Fig. 34

Sulfones- PI3K/Akt/mTOR signaling pathways inhibitors

The PI3K/Akt/mTOR signaling pathways are really important in cancer biology due to their involvement in the regulation of cell growth, proliferation and survival, angiogenesis and therefore offer an attractive therapeutic target for tumor growth inhibition [36].

Fig. 35

A series of novel 2-arylamino-3-(arylsulfonyl) quinoxalines (Fig.35) was synthesized as PI3Kα inhibitors by Wu et al. in 2011 [37]. Most of the targeted compounds of this series displayed favorable cytotoxicities and excellent cellular potencies.

Finlay and his group in 2012 reported the synthesis and structure activity relationship study of a series of sulfonyl-morpholino-pyrimidines (Fig.36) as selective mTOR kinase inhibitors [38].

To increase the mTOR potency and selectivity over PI3K two libraries of compounds was prepared by changing the pyridyl moiety and by using different substituents on sulfone moiety. Introduction of 5-indole and urea moiety increases the mTOR inhibition in both enzyme and cellular assays.

Fig. 36

In 2012, Liu et al. restricted the movement of the sulphonylside chain through the design and synthesis of conformationally restricted cyclic sulfones(Fig.37) and reported their potency and selectivity asmTOR kinase inhibitors [39]. One of the compounds of this series PF-05139962 showed significant mTOR inhibition, more than 500 fold selectivity against PI3Kα, cellular potency and in vitro ADME profile.

Fig. 37

Sulfones- γ-secretase inhibitors

Shaw et al. reported the synthesis of 3,4-fused cyclohexyl sulfones (Fig.38). The compounds of this series were reported as potent γ-secretase inhibitors [40]. Structure activity relationship was established for these series of compounds and result provided the compounds with significantly reduced brain Aβ in transgenic mouse study and therefore exhibited potential as possible treatments for Alzheimer’s disease.

Fig. 38

Sulfones- β-lactamase inhibitors

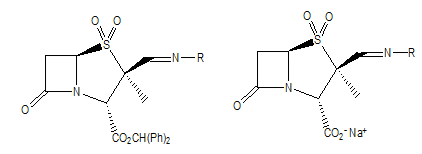
The main mechanism behind the bacterial resistance to β-lactam antibiotics is β-lactamase production. One of the strategies to overcome β-lactamase mediated resistance is to use suicide inhibitors that inhibit β-lactamase. Settietal. synthesized series of 2β-alkoxycarbonylpenicillanic acid sulfone derivatives (Fig.39) by modifying the C (2) carbon atom of penamsulfone as broad spectrum β-lactamase inhibitors with increased cephalosporinase activity [41].

Fig. 39

Phillips et al. have synthesized a series of new penamsulfone derivatives (Fig.40) enclosing a 2β-substituted-oxyimino and -hydrazine substituents and reported their β-lactamase inhibitory activity against class A and C β-lactamases enzymes [42]. The oxime containing penamsulfones showed promising activity against Escherichia coli TEM-1 and Klebsiella pneumonia cefotaximase (CTX-1) enzymes, however displayed moderate activity against Pseudomonas aeruginosa 46012 cephalosporinase. In comparison to this 2β-substituted hydrazone derivatives exhibited very less activity against these enzymes. The inhibitors of this series were able to enhance the antibacterial activities of piperacillin (PIP) and ceftazidime (CAZ) mostly against TEM-1 and CTX-1 producing bacterial strains.

Fig. 40

In order to understand the mechanism of action of known inhibitors and to obtain more potent compounds, 6β-(hydroxymethyl) penicillanic acid sulfone (6β-HM-sulfone) (Fig.41) was designed and synthesized by Papp-Wallace et al. in 2012 [43]. The sulfone was tested against isolates expressing the class A TEM-1 β-lactamase and clinically important variant of the AmpC cephalosporinase of Pseudomonas aeruginosa, PDC-3. 6β-HM-sulfone inhibited TEM-1 with an IC50 of 12 ± 2 nM and PDC-3 with an IC50 of 180 ± 36 nM.

Fig. 41

Sulfones- gelatinase inhibitors

The enzymes gelatinases are family members of matrix metelloproteinases (MMPs) and have been associated with many pathological and physiological functions, including cancer and cardiovascular diseases. SB-3CT is considered as potent and selective gelatinase inhibitors both in vitro. To support the mechanistic study of this inhibitor Lee et al. performed the conformational analysis of SB-3CT and its two methyl substituted (Fig.42) by using x-ray crystallography and molecular dynamics simulation [44]. In 2009, they reported that thiirane ring act as a caged thiol and unmasked selectively in the active site of gelatinases [45].

Fig. 42

Further to improve metabolic stability and to support mechanistic study, α-methyl variants of SB-3CT (fig. 43) were synthesized and evaluated as potent gelatinases inhibitors [46]. Introduction of methyl group α to the sulfonyl moiety prohibited the oxidation at that position as well as prevented the hydroxylation of the terminal phenyl ring. These compounds showed the ability to inhibit MMP-2, MMP-9 and MMP-14 and thus considered important for cancer progression.

Fig. 43

In 2011 Gooyit et al. reported the selective water soluble gelatinase inhibitor pro drugs (fig. 44) with promising pharmacokinetic properties and thus making them suitable for intravenous administration in the treatment of acute gelatinase-dependent diseases [47].

Fig. 44

CONCLUSION

As far as my information this is the first review in last two decades, where various biological activities of sulfone derivatives have been summarized. It is evident from this review that sulfone group is having diversified application and immense potentiality. Sulfone group has attracted much attention in medicinal chemistry and provided numerous potent sulfone derivatives for different therapeutic targets. We can conclude that this review will provide complete knowledge to the researchers about the biological importance of sulfone derivatives, which further help in the design and synthesis of more number of sulfone derivatives with strong effect in the development of drug candidates for many fatal diseases.

ACKNOWLEDGEMENT

The authors appreciate the financial support provided by School of Graduate Studies and Research, American University of Ras Al Khaimah through seed grant funded project No. AAS/003/15 and AAS/004/14.

CONFLICT OF INTERESTS

Declared None

REFERENCES

  1. Tozkoparan B, Kupeli E, Yesilada E, Ertan M. Preparation of 5-aryl-3-alkylthio-l,2,4-triazoles and corresponding sulfones with antiinflammatory–analgesic activity. Bioorg Med Chem 2007;15:1808-14.
  2. Hwang SH, Wagner KM, Morisseau C, Liu J-Y, Dong H, Wecksler AT, et al. Synthesis and structure-activity relationship studies of urea-containing pyrazoles as dual inhibitors of cyclooxygenase-2 and soluble epoxide hydrolase. J Med Chem 2011;54(8):3037-50.
  3. Shaaban OG, Rizk OH, Bayad AE, El-Ashmawy IM. Synthesis of some 4,5-dihydrothieno[3,2-e][1,2,4]triazolo[4,3-a] pyrimidine-2-carboxamides as anti-inflammatory and analgesic agents. Open Med Chem J 2013;7:49-65.
  4. Curti C, Laget M, Carle AO, Gellis A, Vanelle P. Rapid synthesis of sulfone derivatives as potential anti-infectious agents. Eur J Med Chem 2007;42:880-4.
  5. Dixit Y, Dixit R, Gautam N, Gautam DC. Synthesis of bioactive fluorinated 10H-phenothiazines and their sulfone derivatives. E-J Chem 2008;5(S1):1063-8.
  6. Kumar ABVK, Rao KSVK, Chandra MS, Subha MCS, Choi YL. Synthesis and antimicrobial evaluation of sulfides, sulfoxides, and sulfones. J Korean Soc Appl Biol Chem 2009;52(1):34-9.
  7. Pilyugin VS, Kuznetsov SL, Sapozhnikov YE, Chikisheva GE, Kiseleva GV, Vorob’eva TP, et al. Synthesis and fungicidal activity of bis(2-arylcarbonylamino-1H-benzimidazol-5-yl) sulfones. Russ J Gen Chem 2008;78(3):446-50.
  8. Stecoza CE, Caproiu MT, Draghici C, Chifiriuc MC, Dracea NO. Synthesis, characterization and antimicrobial activity evaluation of some new derivatives of 6,11-dihydrodibenzo[b,e]thiepin 5,5-dioxide. Rev Chem (Bucuresti) 2000;60(2):137-41.
  9. Barbuceanu S, Almajan GL, Saramet I, Draghici C, Socoteanu R, Barbuceanu F. New S-alkylated 1,2,4-triazoles incorporating diphenylsulfone moieties with potential antibacterial activity. J Serb Chem Soc 2009;74(10):1041-9.
  10. Kudryavtsev KV, Bentley ML, McCafferty DG. Probing of the cis-5-phenyl prolinescaffold as a platform for the synthesis of mechanism-based inhibitors of the Staphylococcus aureussortase Srt Aisoform. Bioorg Med Chem 2009;17(7):2886-93.
  11. Low E, Kim B, Francavilla C, Shiau TP, Turtle ED, O’Mahony DJR. Structure stability/ activity relationship of sulfone stabilized N, N-dichloroamines. Bioorg Med Chem Lett 2011;21:3682-5.
  12. Soni S, Seth M, Sah P. Synthesis and in-vitro antimicrobial evaluation of some novel phthalyl substituted aryl sulphones and sulphonamides. Res J Pharm Biol Chem Sci 2012;3(1):898-907.
  13. Guruswamy B, Arul RK, Chaitanya MVSRK, Darsi SSPK. Synthesis and biological evaluation of novel β‐hydroxybenzimidazolylsulfonefluoroquinolones by selective oxidation using ammonium molybdate catalyzed H2O2. Eur J Chem 2013;4(4):329-35.
  14. Kumar LV, Naik PJ, Naveen M, Chandrasekhar T, Reddy AB, Penchalaiah N, et al. Synthesis and biological evaluation of some new 2,5-disubstituted 1,3,4-oxadiazoles from 3-(arylsulfonyl) propanehdrazides. Ind J Chem 2014;53B:208-11.
  15. Wani A, Mahajan S. Synthesis, antibacterial activity and preliminary QSAR studies of diarylsulfones. Am J Pharm Tech Res 2014;4(1):1058-66.
  16. Meadows DC, Sanchez T, Neamati N, North TW, Gervay-Hague J. Ring substituent effects on biological activity of vinyl sulfones as inhibitors of HIV-1. Bioorg Med Chem 2007;15(2):1127-37.
  17. Usera AR, Dolan P, Kensler TW, Posner GH. Novel alkyl side chain sulfone 1α,25-dihydroxyvitamin D3 analogs: a comparison of in vitro antiproliferative activities and in vivo calcemic activities. Bioorg Med Chem 2009;17(15):5627-31. b) Usera AR, Dolan P, Kensler TW, Posner GH. Antiproliferative, low-calcemic, fluorinated sulfone analogs of 1α,25-dihydroxyvitamin D3:chemical synthesis and biological evaluation. Bioorg Med Chem 2007;15(16):5509-18.
  18. Barbosa EG, Bega LAS, Beatriz A, Sarkar T, Hamel E, Amaral MS, et al. A diaryl sulfide, sulfoxide, and sulfone bearing structural similarities to combretastatin A-4. Eur J Med Chem 2009;44(6):2685-88.
  19. Cohen A, Crozet MD, Rathelot P, Azas N, Vanelle P. Synthesis and promising in vitro antiproliferative activity of sulfones of a 5-nitrothiazole series. Mol 2013;18:97-113.
  20. Al-Said MS, Ghorab MM, Nissan YM. Dapson in heterocyclic chemistry, part VII: synthesis, molecular docking and anticancer activity of some novel sulfonylbiscompounds carrying biological active 1.3-dihydropyridine, chromene and chromenopyridine moieties. Chem Cent J 2012;6:64.
  21. Rosenthal AS, Chen X, Liu JO, West DC, Hergenrother PJ, ShapiroT A, et al. Malaria-infected mice are cured by a single oral dose of new dimerictrioxane sulfones which are also selectively and powerfully cytotoxic to cancer cells. J Med Chem 2009;52(4): 1198-203.
  22. Capela R, Oliveira R, Gonçalves LM, Domingos A, Gut J, Rosenthal PJ, et al. Artemisinin-dipeptidyl vinyl sulfone hybrid molecules: design, synthesis and preliminary SAR for antiplasmodial activity and falcipain-2 inhibition. Bioorg Med Chem Lett 2009;19(12):3229-32.
  23. Lee PJ, Bhonsle JB, Gaona HW, Huddler DP, Heady TN, Kreishman-Deitrick M, et al. Targeting the fatty acid biosynthesis enzyme, β-ketoacyl-acyl carrier protein synthase III (PfKASIII), in the identification of novel antimalarial agents. J Med Chem 2009;52(4):952-63.
  24. Shenai BR, Lee BJ, Alvarez-Hernandez A, Chong PY, Emal CD, Neitz RJ, et al. Structure-activity relationships for inhibition of cysteine protease activity and development of Plasmodium falciparum by peptidyl vinyl sulfones. Antimicrob Agents Chemother 2003;47(1):154-60.
  25. Chen YT, Lira R, Hansell E, McKerrow JH, Roush WR. Synthesis of macrocyclictrypanosaomal cysteine protease inhibitors. Bioorg Med Chem Lett 2008;18(22):5860-63.
  26. Brak K, Doyle PS, McKerrow JH, Ellman JA. Identification of a new class of nonpeptidic inhibitors of cruzain. J Am Chem Soc 2008;130(20):6404-10.
  27. Chen YT, Brinen LS, Kerr ID, Hansell E, Doyle PS, McKerrow JH, et al. In vitro and in vivostudies of the trypanocidal properties of WRR-483 against Trypanosomacruzi. PLoS 2010;4(9):e825.
  28. Bryant C, Kerr ID, Debnath M, Kenny KHA, Ratnam J, Ferreira RS, et al. Novel non-peptidicvinylsulfones targeting the S2 and S3 subsites of parasite cysteine proteases. Bioorg Med Chem Lett 2009;19(21):6218-21.
  29. Bachovchin DA, Zuhl AM, Speers AE, Wolfe MR, Weerapana E, Brown SJ, et al. Discovery and optimization of sulfonylacrylonitriles as selective, covalent inhibitors of protein phosphatase methylesterase-1. J Med Chem 2011;54(14):5229-36.
  30. Hwang JY, Huang W, Arnold LA, Huang R, Attia RR, Connelly M, et al. Methylsulfonylnitrobenzoates, a new class of irreversible inhibitors of the interaction of the thyroid hormone receptor and its obligate coactivators that functionally antagonizes thyroid hormone. J Biol Chem 2011;286:11895-908.
  31. Hwang JY, Attia RR, Zhu F, Yang L, Lemoff A, Jeffries C, et al. Synthesis and evaluation of sulfonylnitrophenylthiazoles (SNPT's) as thyroid hormone receptor-coactivator interaction inhibitors. J Med Chem 2012;55(5):2301-10.
  32. Su X, Pradaux-Caggiano F, Vicker N, Thomas MP, Halem H, Culler MD, et al. Adamantylethanonepyridyl derivatives: potent and selective inhibitors of human 11β-hydroxysteroiddehydrogenase type 1. Chem Med Chem 2011;6:1616-29.
  33. Reid PR, Bridges TM, Sheffler DJ, Cho HP, Lewis LM, Days E, et al. Discovery and optimization of a novel, selective and brain penetrant M1 positive allosteric modulator (PAM): the development of ML169, an MLPCN Probe. Bioorg Med Chem Lett 2011;21(9):2697-701.
  34. Strassmaier T, Karpen JW. Novel N7-and N1-substituted cGMP derivatives are potent activators of cyclic nucleotide-gated channels. J Med Chem 2007;50(17):4186-94.
  35. Chen H, Tsalkova T, Chepurny OG, Mei FC, Holz GG, Cheng X, et al. Identification and characterization of small molecules as potent and specific EPAC2 antagonists. J Med Chem 2013;56(3):952-62.
  36. Welker ME, Kulik G. Recent synthesis of PI3K/Akt/mTOR signaling pathway inhibitors. Bioorg Med Chem 2013;21(14):4063-91.
  37. Wu P, Su Y, Liu X, Zhang L, Ye Y, Xu J, et al. Synthesis and biological evaluation of novel 2-arylamino-3-(arylsulfonyl)quinoxalines as PI3Kα inhibitors. Eur J Med Chem 2011;46:5540-8.
  38. Finlay MRV, Buttar D, Critchlow SE, Dishington AP, Fillery SM, Fisher E, et al. Sulfonyl-morpholino-pyrimidines: SAR and development of a novel class of selective mTOR kinase inhibitor. Bioorg Med Chem Lett 2012;22:4163-8.
  39. Liu KK.-C, Bailey S, Dinh DM, Lam H, LiC, Wells PA, et al. Conformationally-restricted cyclic sulfones as potent and selective mTOR kinase inhibitors. Bioorg Med Chem Lett 2012;22:5114-7.
  40. Shaw D, Best J, Dinnell K, Nadin A, Shearman M, Pattison C, et al. 3,4-Fused cyclohexylsulfones as c-secretase inhibitors. Bioorg Med Chem Lett 2006;16:3073-7.
  41. Setti EL, Reddy NAV, Phillips OA, Czajkowski DP, Atchison K, Atwal H,  et al. Synthesis and β-lactamase inhibitory activity of 2β-alkoxycarbonylpenicillanic acid sulfones. J Antibiotics 1996;49(9):944-6.
  42. Phillips OA, Reddy AVN, Setti EL, Spevak P, Czajkowski DP, Atwal H, et al. Synthesis and biological evaluation of penamsulfones as inhibitors of b-lactamases. Bioorg Med Chem 2005;13:2847-58.
  43. Papp-Wallace KM, Bethel CR, Gootz TD, Shang W, Stroh J, Lau W, et al. Inactivation of a class A and a class C β-lactamase by 6β-(hydroxymethyl)penicillanic acid sulfone. Biochem Pharmacol 2012;83(4):462-71.
  44. Nottingham M, Bethel CR, Pagadala SRR, Harry E, Pinto A, Lemons ZA, et al. Modification of the C6-substituent of penicillin sulfones with goal of improving inhibitor recognition and efficacy. Bioorg Med Chem Lett 2011;21(1):387-93.
  45. Lee M, Hesek D, Shi Q, Noll BC, Fisher JF, Chang M, et al. Conformational analyses of thiirane-based gelatinase inhibitors. Bioorg Med Chem Lett 2008;18(10):3064-7.
  46. Forbes C, Shi Q, Fisher JF, Lee M, Hesek D, Llarrull L, et al. Active site ring-opening of a thiirane moiety and picomolar inhibition of gelatinases. Chem Biol Drug Des 2009;74(6):527-34.
  47. Gooyit M, Lee M, Hesek D, Boggers B, Oliver AG, Fridman R, et al. Synthesis, kinetic characterization and metabolism of diastereomeric 2-(1-(4-phenoxyphenylsulfonyl)ethylthiiranes as potent gelatinase and MT1-MMP inhibitors. Chem Biol Drug Des 2009;74(6):535-46.
  48. Gooyit M, Lee M, Schroeder VA, Ikejiri M, Suckow MA, Mobashery S, et al. Selective water-soluble gelatinase inhibitor prodrugs. J Med Chem 2011;54(19):6676-90.