
School of Pharmacy ITB Indonesia
Email: ilma_nugrahani@fa.itb.ac.id
Received: 29 Dec 2014 Revised and Accepted: 10 Sep 2015
ABSTRACT
Objective: Hydrate transformation influence physical properties of the active pharmaceutical ingredients (APIs) such as solubility and stability. This research aimed to analyzed the hydrate transformation of sodium sulfacetamide and neomycin sulphate after grinding and storing the ground materials in the high humidity, using FTIR. The analysis supported by the other common solid characterization instruments, such as: Differential Thermal Analysis (DTA), Differential Scanning Calorimetry–Thermal Gravimetry Analysis (DSC-TGA), Karl Fischer Titration (KFT) and Powder X-Ray Diffraction (PXRD).
Methods: Hydrate tgransformation usually is studied using common solid analysis instruments: DTA, DSC-TGA, (KFT) and PXRD. The FTIR commonly is used as qualitative methods for analyse the hydrates. In this research; the instrument, was tried to be used to evaluate hydrate transformation of sodium sulfacetamide and neomycin sulphate after grinding and storing in the high humidity, quantitatively; due to its simplicity and availability widely. Firstly, the raw material of sodium sulfacetamide and neomycin sulphate were characterized by FTIR, besides DTA-DSC, PXRD, and KFT. Using FTIR, the hydrate’s vibration spectra of both antibiotics was determined qualitative and quantitatively. The calibration curves were composed from a series of each antibiotic concentrations in KBr plats, then AUC (area under the curve) of derivative spectra was plotted against the concentrations. Next, the antibiotics were ground and sampled periodically, then that were measured with FTIR. Ground samples afterward were stored in the humidity (71 and 99% RH). Data collected were used to analyze the hydrate change/transformation, which were confirmed with thermal analysis (DTA-TGA-DSC), KFT, and PXRD.
Results: The hydrate spectra water of sodium sulfacetamide was observed at 3382–3455 cm-1 clearly, but neomycin sulphate hydrate spectra could not be seen clearly. This phenomenon predicted was caused by its high hygroscopic properties, which brought much water covered the compound surface then disturbed the measurement. Thermogram and KFT result showed that sodium sulfacetamide and neomycin sulphate lost their hydrate after 180 min grinding, but after storage in 71 and 99 % RH, the hydrates were restored back. The diffractogram showed the change of ground neomycin sulphate from amorphous became to crystalline.
Conclusion: Based on the data, FTIR can be used as a proper alternative method or complementary analysis instrument for hydrate transformation for sodium sulfacetamide after grinding and storing in the high humidity, but cannot be applied to neomycin sulphate because of its high hygroscopicity. There were not changes of sodium sulfacetamide after ground and stored in high humidity, meanwhile neomycin sulphate changed from amorphous became to a crystalline.
Keywords: Sodium sulfacetamide, Neomycin sulphate, Hydrate, Transformation, FTIR.
© 2016 The Authors. Published by Innovare Academic Sciences Pvt Ltd. This is an open access article under the CC BY license (http://creativecommons.org/licenses/by/4.0/)
INTRODUCTION
Hydrate means a crystal of substance, which contains less or more from one water molecules in its crystal lattice [1, 2]. In pharmaceutical industry along the process of drug manufacturing; the hydrate will be exposed in many environmental conditions. The active ingredients can be treated by process which involved the thermal and mechanical energy, such as: milling, spraying, granulation. The the product could be distributed and stored in the variate conditions. These treatments can cause the hydrate transformation. As known, as the consequence, change of hydrate will change the dose of a drug substance. Furthermore, the hydrate structure can affect the API properties such as solubility, stability and dissolution rate, finally it will totally affect the bioavailability of the drugs/active substances. Moreover, releasing of hydrate that followed by destruct of lattice crystal can affect their chemical stability [3-7]. Therefore, the results from this study are expected to provide important information about the physicochemical and stability of sodium sulfacetamide and neomycin sulphate, which found in its hydrate form. Finally, this solid analysis can identify an optimal API crystal form, which is suitable for formulation development, manufacture and storage.
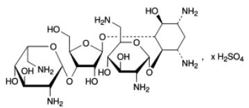
Some active ingredient, especially antibiotics have been reported can be reduced their water hydrate by grinding [8, 9]; then the water can be back again with storage in the high humidity chambers [10]; so in this research mechanical grinding and storing in high humidity were used as a treatment model for observe and study the hydrate transformation. There have many classes of antibiotics. Sodium sulfacetamide is a sulfonamide class of antibiotics, and neomycin sulphate is an amino glycoside class of antibiotics with the structure as described in fig. 1. Both of antibiotic have hydrate form [11, 12].
![]() |
![]() |
(A) |
(B) |
Fig. 1: Structure of Sodium Sulfacetamide (A) and Neomycin Sulphate (B)
In general, the study of hydrate structure is performed by thermal analysis and PXRD. Thermal analysis such as DSC/TGA is used to study the properties of materials as they change with temperature. PXRD is a scientific technique using X-ray on powder or microcrystalline samples for structural characterization of materials [1-7]. FTIR as a method of analysis of hydrate is still not widely used. In this research, FTIR was used as both the qualitative and quantitative method. Some researches about hydrate change had been reported, but mostly were qualitative methods, whereas compared to thermal analysis and PXRD, FTIR is a method which is relatively faster, simpler, and easier to use, and also available more widely [13-17].
MATERIALS AND METHODS
Firstly, characterizations of raw materials were conducted by comparing the raw materials with the literature, identification of solid material sulfacetamide sodium, and neomycin sulphate by FTIR with KBr plate method, DSC-TGA, PXRD, DTA and KFT. Then, quantitative determination approach absorbance hydrate by FTIR. Grinding of samples was done for 180 min using Retsch Mortar Grinder RM 100 and analysis the samples using FTIR with KBr plate method, TGA, PXRD and Karl Fischer titration. Next, the grinding samples were storage in high humidity and analysis the samples using FTIR with KBr plate method, and the results at the 72 h with PXRD, TGA and KFT.
Materials
Sodium sulfacetamide (PT. Brataco), neomycin sulphate (PT. Otto),KBr (Merck, Product No.1049070500), silica gel (Sakura) as absorbent in the desiccator, NaCl and KCl.
Instrumentation
The small vial bottles, spatula, 2 desiccators to dry storage and return of hydrate at 71% RH and 99% RH, analytical balance (Mettler Toledo AG104, SF ITB), automatic grinder (Retsch mortar RM100, SF ITB), mortar and grinder, FTIR spectroscopy (Jasco FTIR–4200, SF ITB), KBr drying oven, DSC–TGA, PXRD, and DTA (Mettler Toledo FP 90, UNAIR), Karl Fischer titration (Karl Fischer titration 701, SF ITB).
Initial characterization of raw materials
Initial characterization of solid material of sodium sulfacetamide and neomycin sulphate was performed by FTIR with KBr plate method, DSC–TGA, PXRD, DTA and KFT.
FTIR analysis performed on samples in powder form was mixed homogenous with KBr weight ratio of 1:100. Then inserted into the disc mold and compressed under 20 psi using a hydraulic presser. Discs mounted on the holder, and the spectrum measured at wave numbers 4000–400 cm-1 using FTIR spectroscopy-4200 and Jasco Spectra Manager II software. PXRD analysis performed using the following conditions: Cu anode, 40 kV voltage, 30 mA current, slit width of 0.2 inch. Data were collected with a scanning mode 0.2–0.5 ° per min with 2Ө scanning range: 5–40 °.
Analysis performed by using DSC–TGA/DTA weighing 3–7 mg samples in a cup then put into special aluminium for analysis. Sample heated with heating rate 10 °C/min under nitrogen gas stream. Heat flow measurements carried out at a temperature of 30–350 °C.
Water contents of samples were analyzed by KFT, by weighing 25 mg of samples and put inside the Karl Fischer drying oven at a predetermined temperature for a period of time. The waters in the samples were vaporized and carried by dry oxygen-free nitrogen into a reaction vessel with methanol. The methanol traps the water which is titrated to an end point with a Karl Fischer reagent to determine the water amount present.
Quantitative determination approach absorbance hydrate on FTIR
Quantification of peak hydrate samples was done by using the same sample preparation with the initial identification with KBr plate method. KBr was made permanent weight of 100 mg, whereas samples made in various weights, e. g.: 0.8, 0.9, 1.1, 1.2 and 1.3 mg. Each weight of the sample was measured three times to observe the precision of the instrument. FTIR hydrate spectrum from the samples was derived using Spectra Manager II Software. Then the value of the parameter linearity, limit of detection, limit of quantification and precision were set.
Grinding
Grinding the sodium sulfacetamide and neomycin sulphate was conducted for 180 min using a Retsch Mortar Grinder RM100 with pressure settings on the mode 1, the pressure of (1 x 108 N/m2). The sampling of sodium sulfacetamide were done at 0, 30, 60, 90, 120, 150 and 180 min grinding and then all of samples were characterized by FTIR in KBr plate.
Grinding sample evaluation results
The evaluation to sodium sulfacetamide and neomycin sulphate were performed after grinding for 60 and 180 min using DSC-TGA, PXRD and KFT.
Grinding sample storage in high humidity
Samples after grinding for 180 min were stored in two desiccators, each containing a saturated NaCl solution at 71% RH and a saturated KCl solution at 99% RH. Sampling was done on storage at 0, 8, 24, 48, and 72 h.
Evaluations of grinding sample storage in the high humidity
Evaluations of ground sodium sulfacetamide after storage at 0, 8, 24, 48, and 72 h were using FTIR with KBr plate method. The result after 72 h storage also was evaluated with PXRD and TGA.
Evaluations of grinding neomycin sulphate after storage under 71 and 99 % RH were conducted at 0, 8, 24, 48, and 72 h, using TGA. The result after 72h storage then was evaluated with PXRD and KFT.
![]() |
![]() |
Fig.2: Sodium Sulfacetamide Crystalline Powder (left) and Neomycin Sulphate Powder (right)
RESULTS
Characterization of raw materials
As shown in fig. 2, sodium sulfacetamide is crystalline powder whereas neomycin sulphate is yellowish-white powder. Neomycin sulphate is hygroscopic. Even in the absence of light, it is gradually degraded on exposure to a humid atmosphere, the decomposition being faster at higher temperatures.
Then, the samples were characterized by FTIR which shows the following results (fig. 3).
Fig.3: IR Spectrum of sodium sulfacetamide
Fig.4: IR Spectrum of Neomycin Sulphate
Initial characterization using DTA yielded the thermogram which showed dehydration of sodium sulfacetamide at 164 °C (fig. 5) and neomycin sulphate at 94.9 °C (fig. 6) thoroughly.
Fig.5: DTA Thermogram of sodium sulfacetamide
Fig.6: DTA Thermogram of neomycin sulphate
Initial characterization using PXRD showed the diffraction of crystalline-sodium-sulfacetamide in fig. 7, and amorphous-neomycin-sulphate in fig. 8 as follows:
Fig.7: PXRD Diffractogram of sodium sulfacetamide
Sodium sulfacetamide diffractogram had the high intensities at 2Ө: 13, 15, 27, 29, 30, 42 °, which showed that this compound is a crystalline (fig. 7). Conversely, diffractogram of neomycin sulphate in fig. 8 below showed an amorphous pattern.
Fig.8: PXRD Diffractogram of neomycin sulphate
Quantitative Determination Approach Absorbance Hydrate on FTIR
Each measurement was repeated three times and calculated the mean of absorbance values. The measurement results listed in table 1 and fig. 9 below:
Table 1: FTIR spectrum precision measurement of sodium sulfacetamide
Number of measurements |
1 |
2 |
3 |
4 |
5 |
6 |
Absorbance |
1.806 |
1.806 |
1.807 |
1.805 |
1.808 |
1.809 |
Fig.9: FTIR Calibration graph of sodium sulfacetamide absorbance in different weights
Evaluationsafter grinding
Sodium sulfacetamide was ground using Retsch Mortar Grinder RM100, under the pressure of 108 N/m2. After that, this ground solid compounds were evaluated every 30 min by FTIR and plotted against to their IR derivative absorbance, yielded a calibration curve as shown in fig. 10:
Fig.10: Absorbance of sodium sulfacetamide versus grinding time
Next, the change of sodium sulfacetamide crystal was confirmed by PXRD and TGA, which resulted diffractogram as shown in fig. 11 and the thermogram in fig. 12.
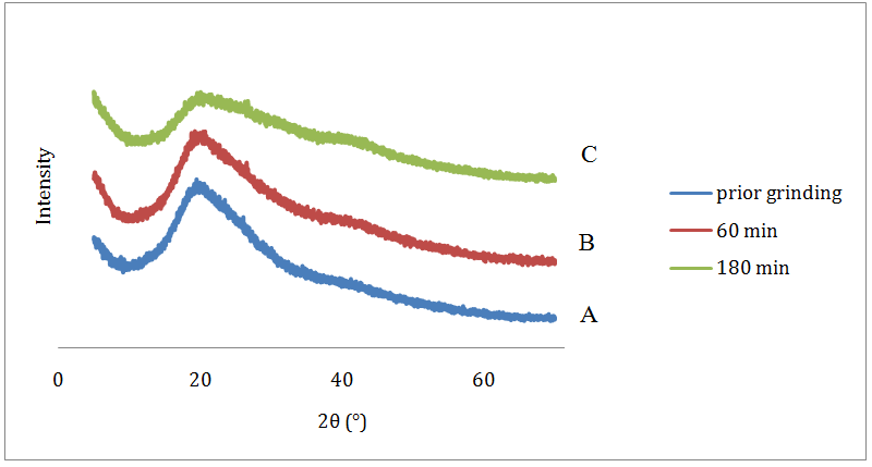
Fig.11: Sodium sulfacetamide diffractograms: prior grinding (A), after grinding for 60min (B), after grinding for 180min(C)
Fig.12: TGA thermogram of sodium sulfacetamide after grinding for 180min
Afterwards, neomycin sulphate also ground using ball mill with the pressure of 108 N/m2, then evaluated by PXRD and TGA, yielded the results as follows (fig. 13 and 14):
Fig.13: PXRD Diffractogram of neomycin sulphate:prior grinding (A), after grinding for 60min (B), and after Grinding for 180min(C)
Fig.14: TGA Thermogram of neomycin sulphate after grindingfor 180min
Evaluations after storage in high humidity
The ground samples for 180 min were stored in humidity 71% RH and 99% RH (±26 °C) was performed to observe the possibility of hydrate returning into the lattice of ground materials.
The curves of derivative AUC absorbance hydrate versus time of storage of sulfacetamide sodium monohydrate in both humidity are shown in fig. 15 and fig. 16.
Fig.15: IR Absorbance of Sodium Sulfacetamide versus Time of Storage in 71% RH
Fig.16: IR Absorbance of Sodium Sulfacetamide versus Time of Storage in 99%RH
To convince the analysis, it had been conducted the PXRD (fig. 17 and 18) and TGA (fig. 19 and 20) analysis to the ground sample after storage in 71 and 99% RH for 72 h with yields as follows:
Fig.17: PXRD Diffractogram of Sodium Sulfacetamide: prior Grinding (A), after Grinding for 180 min (B); Ground Sample for 180 min after stored at 71%RH for 72h (C)
Fig.18: PXRD Diffractogram of Sodium Sulfacetamide: prior Grinding (A), after Grinding for 180 min (B); Ground Sample for 180 min after Stored at 99%RH for 72h (C)
Fig.19: TGA Thermogram of Sodium Sulfacetamide after Grinding for 180min and Stored in 71%RH for 72h
Fig.20: TGA Thermogram of Sodium Sulfacetamide after Grinding for 180min and Stored in 99%RH for 72h
Ground neomycin sulphate also was stored in high humidity 71% RH and 99% RH for 72 h and evaluated by TGA and PXRD. The results of PXRD are shown in fig. 21 and fig. 22 as follows:
Fig.21: PXRD Diffractogram of Neomycin Sulphate:prior Grinding (A), after Grinding 180min (B); Ground Sample after Storedat 71%RH for 72h (C)
Fig.22: PXRD Diffractogram of Neomycin Sulphate:prior Grinding (A), after Grinding 180min (B), Ground Sample after Storedat 99%RH for 72h (C)
Next, TGA thermograms of ground neomycin sulphate after were stored in high humidity 71 and 99% RH are shown in fig. 23 and fig. 24 below:
Fig.23: Ground Neomycin Sulphate Hydration Curve, after Storage in 71%RH for 72h
Fig.24: Ground Neomycin Sulphate Hydration Curve after Storage in 99% RH for 72 h
DISCUSSION
Result from the initial characterization by using FTIR of sodium sulfacetamide showed the hydrate spectra at the wave-number 3382–3455 cm-1 (fig. 3). The area shows the typical peak in the OH stretch of water [15]. The spectrum in sodium sulfacetamide monohydrate looked like two peaks coincide. On the other side, neomycin sulphate is a hygroscopic compound, so it tends to attract and hold water molecules from the surrounding environment. Even in the absence of light, it was gradually will be degraded on exposure to a humid atmosphere; moreover, the decomposition being faster at higher temperatures. Thus, in fig. 4 the hydrate is shown at the area 3100–3600 cm-1, in a very small curve (red circle signed).
DTA thermogram of sodium sulfacetamide in fig. 5 shows the endothermic curve at 164 °C meanwhile neomycin sulphate at 94.9 °C (fig. 6), indicated the dehydration of each solid compound. To support these data, KFT was done to determine the water content of samples. The results showed that sodium sulfacetamide was a di-hydrate because contained two molecules water in its crystal lattice. The KFT of neomycin sulphate measured the water content was 4.89 %. By doing calculation, there were 0.0679 mmol in 25 mg of neomycin sulphate or equivalent with 2.72 mol water, or also a di-hydrate.
Then, diffractogram in fig. 7 shows the high intensity peaks, which indicates the crystalline form of sodium sulfacetamide hydrate; meanwhile, neomycin sulphate hydrate is an amorphous substance (fig. 8) [17-19].
Next, FTIR was explored to observe the hydrate transformation after grinding and storage. For this purpose, the ability of the method should be validated. Firstly, a calibration curve of hydrate of sodium sulfacetamide was arranged. The curve showed the value of a regression coefficient (R) was 0.998, which fulfilled the linearity of FTIR assay validation (fig. 9) [10,20,21]. The calculation of the SD (standard deviation) obtained: linear regression residuals (S y/x) was 2.205 x 10-3 and regression coefficient of variance (Vx0) was 0.2947. The calculation of limit of detection calculated as 0.9188 mg, and limit of quantification was 3.0628 mg.
Precision instrument was determined by setting the value of the relative standard deviation (% RSD). The yield of calcultaion was 0.08 %, which less than 2. Thus,the result of measurements of different weight of sodium sulfacetamide with FTIR was considered met with the parameters of linearity, precision, range and specificity [10,20,21]. In conclusion; FTIR method can be used to quantify the change of hydrate in sodium sulfacetamide.
Furthermore, the experiment with FTIR was used to study the change of hydrate after grinding and storage. Fig. 10 shows the linear relationship between absorbance sodium sulfacetamide and the length of time grinding. The absorbances decreased as long as sodium sulfacetamide grinding time, indicated the reduction of water as in the hydrate was occurred, and finally, after grinding for 180 min just left a very small peak at wave number 3382–3455 cm-1.
Firstly, it was studied the influence of grinding on the loss of hydrate. After grinding, the substance was re-evaluated with PXRD, thermal analysis (DSC, DTA), KFT, instead FTIR. PXRD diffractogram in fig. 11 shows that the grinding caused sodium sulfacetamide became more amorphous. Intensity of the peaks at the same position 2θ ( °) seems decrease, compared to the prior grinding sample.
Next, TGA thermogram in fig. 12 shows a new peak after grinding of sodium sulfacetamide 180 min. The mass decreased to 7.07%. By doing calculation, the number of mol of water was 0.998 mol, which almost equal with one mol water.
After grinding for 180 min, the water content of neomycin sulphate was analyzed by KFT, and the yield was 3.38 %, equal with 1.8 mol water. This result was almost similar to result of TGA which showed 1.9 mol water. So, this can be concluded that, after grinding for 180 min, the mol of water decreased. PXRD diffractogram in fig. 13 shown the ground neomycin sulphate became more amorphous with lower intensity, compared to the prior grinding. The peaks still visible but the intensity was reduced. This indicates that no change in crystal structure of neomycin sulphate [1-4,9]. The data also confirmed with TGA thermogram in fig. 14, which shows the decreasing of the water in the hydrate lattice.
FTIR results showed that the storage of sodium sulfacetamide at 71% RH (fig. 15) and 99% RH (fig. 16) caused the increasing of absorbance of water. The waters did not restore back to the original but from the result, but it just increased. It can be predicted, that to return to the original absorbance the crystal needs time more than 72 h.
PXRD diffractogram of sodium sulfacetamide after storage at 71% RH is shown in fig. 17, while in 99% RH is shown in fig. 18. These diffractograms shows that the crystallinity of ground sodium sulfacetamide increased after 72 h. However, the crystal need more time to restore back the waters into an original/previous hydrate form. From these data, it can be concluded that grinding pressure of 108 N/m2 changed the crystal lattice, but did not destruct it at all. However, after the storage, the hydrate restored back to its previous form, gradually.
TGA thermogram in fig. 19 shows that the ground sodium sulfacetamide stored in 71% RH after 72 h increased its mass to 5.70 %. The number of mol of water in sodium sulfacetamide became 0.8 mol. Meanwhile, the storage in 99% RH after 72 h (fig. 20), caused the mass change into 6.35% or reached about 1 mol of water. The water did not totally been restored back to the original form (2 mol water). However, it was still increasing until the last of sampling time, described that the restoring back to its original hydrate form needs more time.
At the same time, after storage in high humidity, the stability of neomycin sulphate showed some changes, especially on its diffractogram. However, the hydrate peak still cannot be seen by using FTIR. The typical peak of OH stretch of water hydrate at the region 3100-3600 cm-1 [15] did not appear. The fingerprint in the spectrum still the same with the prior grinding which indicates, the grinding pressure 108 N/m2 did not change the chemical structure of neomycin sulphate. The reason is that neomycin sulphate is a very hygroscopic compound, which attends to attract the water from the surrounding, much more when it is put in the high humidity.
PXRD diffractogram of neomycin sulphate after storage in the 71and 99% RH humidity (fig. 21 and fig. 22) showed that the amorphous form of neomycin sulphate changed to crystalline form after the storage in both RH. Crystallinity of neomycin sulphate after stored in 99% RH for 72 h was higher than the storage in 71% RH humidity.
TGA results plotted in the hydration curve against time storage in 72% RH (fig. 23) and 99% RH (fig. 24) show the increasing of the neomycin sulphate’s mass after storage, gradually. From the thermogram, it can be estimated that the hydrate was restoring back to its original form. After 72 h stored in 71% RH, the water content became 8.25 %, higher than before (7.85 %). By calculation, the amount of water in previous hydrate form was about 2.8 mol. After the storage in the 99% RH humidity for 72 h were done, the mass increased to 12.33%, or equivalent with 4.2 mol water or very higher water’s proportion.
From KFT result of the ground neomycin sulphate, it was shown that storage in 71% RH for 72 h, caused the water content increasing from 5.15 to 7%, equal with 2.9 mol water; which was similar to the TGA measurement yield. In 99% RH, the mol of water in neomycin sulphate was 3.9 mol, almost same with TGA result, also. From these experiments, it could be concluded that after storage in high humidity, the mol of water will be increasing and restored back into the neomycin sulphate lattice in higher proportion.
Finally, all of data proved that grinding can release the part of hydrate’s water of sodium sulfacetamide and neomycin sulphate. However, the storage in high humidity will restore back the water into the lattice. Furthermore, sodium sulfacetamide after grinding and storage became more amorphous; moreover, for neomycin sulphate, it can change its crystal structure.
CONCLUSION
Besides PXRD and thermal analysis, the transformation of hydrates of sodium sulfacetamide after grinding and storage in high humidity can be observed by FTIR in the area of 3382-3455 cm-1, qualitative and quantitatively. The quantitative method shows the good validity. On the other hand, despite the hydrate transformation of neomycin sulphate can be characterized by PXRD and thermal analysis clearly, but it cannot be observed by FTIR properly, because the water covers its surface due to its very high hygroscopicity property. Grinding of sodium sulfacetamide and neomycin sulphate for 180 min under a pressure of 108 N/m2 caused the number of mol of water was decreasing; the form of the sodium sulfacetamide changed to be more amorphous. Whereas, the amorphous form of neomycin sulphate did not change after the grinding; but after stored in high humidity, this substance changed to a crystalline.
CONFLICT OF INTERESTS
Declared NoneREFERENCES