1Department of Biochemistry, NSS College, Nilamel, Kollam, Kerala, India 691535, 2Hashim's Institute of Life Science (HILS), Karyavattom, Thiruvananthapuram, Kerala, India 695581
Email: dranilaleelamma@gmail.com
Received: 26 Aug 2022, Revised and Accepted: 20 Sep 2022
ABSTRACT
Objective: In this study, we aimed to isolate a polyphenolic compound from a polyphenolic-rich fraction from Emblica officinalis fruits and also study its effect on adenosine diphosphate (ADP) and collagen-induced in vitro platelet aggregation.
Methods: The polyphenolic-rich fraction was prepared by 80% methanolic extraction. The residue was extracted successively with hexane, benzene, ethyl acetate and n-butanol. Ethyl acetate residue was selected for column chromatography because of its high polyphenolic content. It was subjected to repeated column chromatography of series with different eluents of increasing polarity. A brown amorphous powder was obtained from ethyl acetate: methanol (7:3) fraction. This sample was subjected to UV-visible spectrum, IR spectrum, 1H NMR, 13C NMR and electrospray mass spectrum (ES-MS) studies for its structural elucidation.
Results: A compound, 5, 7, 4'-trihydroxy 3'-methoxy isoflavanone was identified from polyphenolic rich ethyl acetate: methanol (7:3) fraction separated from the 80% methanolic extract of Embica officinalis fruits by repeated column chromatography. Yield of the compound was 421.05 mg/kg. This compound exhibited antiplatelet activity well comparable with that of quercetin.
Conclusion: The present study proved that the isolated compound 5, 7, 4'-trihydroxy 3'-methoxy isoflavanone exerts a significant inhibitory activity on ADP and collagen-induced in vitro platelet aggregation, which can be considered as an effective remedy for alleviating complications of cardiovascular diseases.
Keywords: Polyphenolic compound, Emblica officinalis, In vitro platelet aggregation, Quercetin, Isoflavanone
© 2022 The Authors. Published by Innovare Academic Sciences Pvt Ltd. This is an open access article under the CC BY license (https://creativecommons.org/licenses/by/4.0/)
DOI: https://dx.doi.org/10.22159/ijpps.2022v14i11.46212. Journal homepage: https://innovareacademics.in/journals/index.php/ijpps.
INTRODUCTION
The understanding of the structure and function of natural products has been important for biologists and organic chemists, especially those having a history of biological characteristics. Biochemists have the incredibly rewarding and fascinating task of discovering how nature manages the synthesis and breakdown of such compounds. Indeed, the natural metabolites of plants and animals are used for the maintenance of their own homeostasis. These metabolites may be useful in protecting the organism against predators or environmental hazards. Human have learned to harvest and process some of them for therapeutic uses. The biological properties-bioavailability, antioxidant activity, and specific interactions with cell receptors and enzymes are related to the chemical structure of polyphenols [1]. It is, therefore, essential to know the chemical nature of the main polyphenols ingested, their dietary origin, the amounts consumed in different diets, their bioavailability and the factors controlling their bioavailability. Chromatographic studies have assisted greatly in confirming the heterogeneity of the composition of the tannin extracts and, in some cases, the simple polyphenols, present in small amounts, have been identified [2].
As it is difficult to obtain evidence for the presence of polyphenolic compounds, hydrolysable and nonhydrolyzable, monomeric or polymeric, it is reasonable to suppose that the potential activity is the effect of the total polyphenolic compounds present in the flavonoid-rich extract. Although physiological processes of polymerization among the various flavonoid compounds themselves and with other members of the phenolic groups are not well defined, we cannot exclude the possibility of the formation of condensed products derived from precursors of the flavan-3-ol and of flavan-3, 4-diol and other types of polyphenolic compounds with which the flavonoids (condensed tannins) could form condensed products [3].
Plant extracts and phenolic compounds have a spectrum of anti-inflammatory, anticancer, anti-aging, antibacterial, and antiviral actions in addition to protecting against oxidative stress and inflammation brought on by airborne particulate matter. Additionally, phenolic compounds' chemical and biological connections to cardiovascular disease have been discussed [4]. Polyphenols are reducing agents, and together with other dietary reducing agents, such as vitamin C, vitamin E and carotenoids, referred to as antioxidants, protect the body's tissues against oxidative stress and associated pathologies such as cancers, coronary heart disease and inflammation [5, 6]. In recent years improved understanding of the pharmacological properties of individual flavonoid compounds has led to the development of flavonoid drugs. Many fruits and vegetables are a rich source of polyphenolic compounds. It has been demonstrated that phenolic compounds have antiplatelet aggregation properties and have a beneficial influence on the management of CVD, exerting strong antioxidant, anti-inflammatory, anticancer, cardioprotective, antihyperglycemic, and antibacterial activities [7]. Emblica officinalis Gaertn. (Family–Euphorbiaceae) also known as Phyllanthus emblica, is commonly known as ‘Amla’ in Hindi and ‘Indian gooseberry’ in English. It is reported to possess bioactive compounds like tannins, flavonoids, saponins, terpenoids, ascorbic acids and many other compounds which are confirmed to have diverse pharmacological activities like antimicrobial, antioxidant, anti-inflammatory, radio-protective, hepatoprotective, antitussive, immunomodulatory, hypolipedemic and many other activities [8]. Platelet function must be well controlled to avoid thrombotic events [9]. In fact, platelet hyperactivity is becoming more and more associated with the onset and progression of a number of CVDs, including atherosclerosis, thrombosis, peripheral artery disease, myocardial infarction, and ischemic stroke [10]. The present study was aimed to investigate the effects of purified compound from Emblica officinalis at different concentrations on in vitro platelet aggregation induced by ADP and collagen in platelet-rich plasma.
Chemicals and plant material
All chemicals, including organic solvents, were purchased from Merk Groups, chemical company and all biochemicals, including quercetin, ADP etc. were purchased from Sigma Chemical Company St Louis, USA. The plant material, Emblica officinalis fruits, were bought from the local market and were authentically identified by Dr. Valsaladevi, Curator, Department of Botany, University of Kerala. The specimen was deposited in the herbarium of the Department of Botany, University of Kerala (Voucher No: KUBH 3480).
PART A: Isolation and characterization
Ground-dried fruits of Emblica officinalis were extracted with hot 80% methanol thrice [11]. The combined extract was evaporated to dryness and the residue was dissolved in water and extracted successively with hexane, benzene, ethyl acetate and n-butanol. The respective extracts were evaporated in a vacuum yielding residues from hexane, benzene, ethyl acetate, and n-butanol. Ethyl acetate residue was selected for column chromatography because of its high polyphenolic content [12]. It was subjected to successive column chromatography with eluents such as hexane, chloroform, ethyl acetate, and methanol mixtures in increasing polarity and repeated column chromatography of series (ethyl acetate: methanol, 7:3) yielded a brown amorphous powder. Yield of the compound was 421.05 mg/kg.
PART B: In vitro study on antiaggregatory activities of isoflavanone from Emblica officinalis
The effect of the purified compound from Emblica officinalis on both ADP and collagen-induced platelet aggregation was compared with quercetin, a known antiplatelet flavonoid [13].
In vitro platelet aggregation studies
Platelet-rich plasma (PRP) was prepared by centrifugation (1000 rpm for 5 min) of blood collected from normal aspirin-free blood bank donors. 1.5 ml of acid citrate dextrose was used as anticoagulant for every 8.5 ml of blood. Platelet-rich plasma (PRP) was prepared by a low centrifugal force (600 rpm) for 15 min. Platelet-poor plasma (PPP) was prepared by centrifugation at 3000 rpm for 15 min. 1 ml PRP was taken into siliconized glass cuvettes and were incubated at 37 °C for 5 min. The purified compound is dissolved in 1% DMSO and added to the platelets to produce a final concentration of 10, 20, 30, 40, and 50 µg in 1 ml system. The aggregation was induced by adding adenosine diphosphate (ADP, 10µM) and collagen (5μg/ml) to PRP, respectively three minutes after the addition of flavonoids. Platelet aggregation was measured using a platelet aggregometer (540 Vs-Chronolog dual channel aggregation analyzer) by optical method [14]. Percentage of aggregation was monitored for 7 min. Platelet-poor plasma was used as the reference standard. To eliminate the effect of solvent on aggregation, platelet rich plasma with 1%DMSO was used as the control. The percentage inhibition of platelet aggregation was calculated as:
![]()
Each sample was measured in triplicate.
Data analysis
Statistical significance was determined by one-way Analysis of Variance (ANOVA) in SPSS 20.0 package. IC50 was determined by probit analysis in SPSS 20.0 package. The data given in tables and figures are the average of the values from the number of replicates specified in the respective tables and figure±SEM and differences are considered significant at a P level<0.05.
RESULTS
Compound characterization
The examination of the UV-visible spectrum of the compound (fig. 1) in methanol showed a broad low-intensity band with λ max at 274 nm. Markham [15] has tabulated the characteristic absorption maxima of flavonoids and shows that flavan, flavonol and isoflavone absorb in this region. However, the colour reactions exclude the former two possibilities, thus providing an indication that the compound may be an isoflavone. Analysis of UV spectrum indicated the presence of free hydroxyl groups at positions 5-and 7-(bathochromatic shifts with aluminium chloride and fused sodium acetate, respectively. The IR spectrum of the compound in KBr disc (fig. 2) showed broad bands centered at 3392 cm–1, which indicates the presence of O-H groups in the molecule. A strong peak is observed at 1697 cm–1, which is assignable to the stretching vibration of a C =O group.

Fig. 1: UV-visible spectrum of the compound isolated from Emblica officinalis

Fig. 2: IR spectrum of the compound isolated from Emblica officinalis
1H NMR (300 MHz) spectrum taken in DMSO-d6 (fig. 3) showed a singlet of three hydrogens at δ 3.8 due to a MeO group. Apart from this, the only other peaks that were seen in the aromatic region appeared as a multiplet in the region δ 7.0-7.5. The scale expansion of this region showed that there is a doublet at δ 7.4 due to one hydrogen, another at δ 7.3 due to another hydrogen, an unresolved multiplet centered at δ 7.26 due to two hydrogens, followed by another multiplet in the region δ 7.0-7.18 due to three hydrogens. The enolic or phenolic hydrogens were not seen because of chemical exchange with the water in the solvent used. The 13C NMR (fig. 4) confirmed the presence of a methoxy substituent.

Fig. 3: 1H NMR spectrum of the compound isolated from Emblica officinalis

Fig. 4: 13C NMR spectrum of the compound isolated from Emblica officinalis
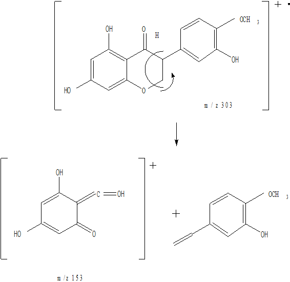
The electrospray mass spectrum (ES-MS) [fig. 5] showed a [M+H]+peak at 303. This indicates that the compound has a molecular mass of 302.

Fig. 5: ES-Mass spectrum of the compound isolated from Emblica officinalis
On the basis of these spectral data and the reports from the literature on similar systems, the following structures A and B are suggested.

Structure A

Structure B
It appears that on the basis of 1H NMR spectral data, the structure B is more probable. This assumption is based on the observation that in the 1H NMR, there appears to be no hydrogen that are shielded by the presence of an ortho methoxy as well as a ortho hydroxy group in the benzene ring attached to the C-3 of the isoflavone ring. Thus the structure of the compound presently isolated from Emblica officinalis is tentatively assigned to be structure B (C16H14O6).

5, 7, 4'-trihydroxy 3'-methoxy isoflavanone
This structure is further confirmed by a highly favored retro Diels-Alder fragmentation seen in the electrospray mass spectrum (ES-MS), which shows a peak at 153 that is the base peak of the spectrum. Such a peak can be arising from the following fission pathway.

Effect of quercetin and isoflavanone on ADP-induced platelet aggregation (fig. 6)
The percentage inhibition of platelet aggregation induced by ADP was found to be 70.25±3.52% and 68.48±3.23% for isolated compounds isoflavanone and quercetin, respectively at a concentration of 50µg/ml. The concentration required to inhibit aggregation by 50% (IC 50) is 29.2204 ± 3.05 µg/ml for isoflavanone from Emblica officinalis and 37.4351 ± 2.45 µg/ml for quercetin (table 1). On comparing the IC50 values, a significantly lower concentration of isoflavanone is required to produce 50% inhibition when compared with quercetin. The inhibition was in a concentration-dependent manner in both cases.

Fig. 6: Effect of quercetin and isoflavanone on ADP-induced platelet aggregation, values expressed as mean±SEM for n = 3
Effect of quercetin and isoflavanone on collagen-induced platelet aggregation (fig. 7)
The percentage inhibition of platelet aggregation induced by ADP was found to be 69.75±3.13% and 65±3.5% for isolated compound isoflavanone and quercetin, respectively at a concentration of 50µg/ml. IC 50 is 36.9448 ± 3.05 µg/ml for isoflavanone from Emblica officinalis and 36.589 ± 2.45 µg/ml for quercetin (table 1) and there was no significant difference between the isolated compound and quercetin. The inhibition observed was in a concentration-dependent manner.
Table 1: IC50 values for quercetin and isoflavanone for ADP and collagen-induced platelet aggregation
| Samples | IC50 (µg/ml) for ADP induced platelet aggregation | IC50 (µg/ml) for collagen-induced platelet aggregation |
| Quercetin | 37.4351 ± 2.45 | 36.589 ± 2.45 |
| Isoflavanone | 29.2204 ± 3.05* | 36.9448 ± 3.05 |
*Indicates values significantly lower than standard (n=3, p<0.05).

Fig. 7: Effect of quercetin and isoflavanone on Collagen-induced platelet aggregation, values expressed as mean±SEM for n = 3
DISCUSSION
Structural elucidation studies on the flavonoid compounds from Emblica officinalis indicate the presence of 5, 7, 4’-trihydroxy 3’-methoxy isoflavanone as the major component. Biological activities of this compound was evaluated by in vitro studies which gave the best results comparable to the effects of a flavonoid, quercetin. Flavonoids inhibit platelet activation by interfering simultaneously with several biochemical pathways, as platelets are likely to be exposed in vivo to stimulation by several agents acting through different mechanisms [16]. On evaluating the results of the experiments on platelet aggregation, the following observations have been made. 5, 7, 4’-trihydroxy 3’-methoxy isoflavanone revealed a significant lower value for ADP-induced platelet aggregation when compared with standard quercetin, which shows the isolated compound is more effective in inhibiting platelet aggregation. IC50 values of isolated compound 5, 7, 4’-trihydroxy 3’-methoxy isoflavanone for collagen-induced platelet aggregation were well comparable with standard quercetin, of which the inhibitory action is well documented [17, 18]. Janssen et al. [19] found that 2500 mmol/l of flavonol quercetin significantly inhibited collagen and ADP-induced platelet aggregation in platelet-rich plasma and washed platelets by approximately 80-97%. Flavonoids have been shown to have a number of antithrombotic actions [20, 21] Both in vitro incubation and oral supplementation with select flavonoid fractions isolated from purple grape juice (PGJ) decrease platelet aggregation, increase platelet-derived NO release, and decrease superoxide production [22]. Due to their anti-platelet activity, the consumption of bioactives derived from plant foods, particularly flavonoids, has shown antithrombotic and cardiovascular protective effects [5, 23]. The isolated flavonoids from propolis exhibited dose-dependent inhibitory effects on platelet aggregation induced by different agonists, including ADP and collagen [24]. The involvement of platelets in atherosclerosis has been demonstrated by recent research, and substances that block platelet function are of major interest [25, 26]. In our highly industrial and technological society, the pharmaceutical industry had been disrupting the ancient relationship between man and plants. However there is already a decided swing back to the old ways. People are beginning to take a greater interest in herbs and their uses, and grandmother’s remedies are coming into their own again. Rediscovery of old truths and integration of the traditional medical system with new technology can generate wonderful drugs without any side effects.
CONCLUSION
In the current investigation, the isolated compound 5, 7, 4'-trihydroxy 3'-methoxy isoflavanone from Emblica officinalis fruit is proved to have anti-platelet activity and can be used to control cardiovascular diseases. However, more research is required to establish the compound's mode of action and effectiveness in reducing platelet aggregation.
ACKNOWLEDGEMENT
Thanks are due to RSIC, Lucknow for IR, UV, NMR, Mass spectra analysis.
FUNDING
Nil
AUTHORS CONTRIBUTIONS
All the authors have contributed equally.
CONFLICT OF INTERESTS
The authors declare that they have no conflict of interest
REFERENCES
Tapiero H, Tew KD, Ba GN, Mathe G. Polyphenols: do they play a role in the prevention of human pathologies? Biomed Pharmacother. 2002;56(4):200-7. doi: 10.1016/s0753-3322(02)00178-6, PMID 12109813.
Bloor SJ. Overview of methods for analysis and identification of flavonoids. Methods Enzymol. 2001;335:3-14. doi: 10.1016/s0076-6879(01)35227-8, PMID 11400379.
Es-Safi NE, Ghidouche S, Ducrot PH. Flavonoids: hemisynthesis, reactivity, characterization and free radical scavenging activity. Molecules. 2007;12(9):2228-58. doi: 10.3390/12092228, PMID 17962740.
Rahman MM, Rahaman MS, Islam MR, Rahman F, Mithi FM, Alqahtani T. Role of phenolic compounds in human disease: current knowledge and future prospects. Molecules. 2021;27(1):233. doi: 10.3390/molecules27010233, PMID 35011465.
Sharifi-Rad M, Anil Kumar NV, Zucca P, Varoni EM, Dini L, Panzarini E. Lifestyle, oxidative stress, and antioxidants: back and forth in the pathophysiology of chronic diseases. Front Physiol. 2020;11:694. doi: 10.3389/fphys.2020.00694, PMID 32714204.
Dubois Deruy E, Peugnet V, Turkieh A, Pinet F. Oxidative stress in cardiovascular diseases. Antioxidants (Basel). 2020;9(9): 864. doi: 10.3390/antiox9090864, PMID 32937950.
Sharifi Rad J, Quispe C, Zam W, Kumar M, Cardoso SM, Pereira OR. Phenolic bioactives as antiplatelet aggregation factors: the pivotal ingredients in maintaining cardiovascular health. Oxid Med Cell Longev. 2021;2021:2195902. doi: 10.1155/ 2021/2195902, PMID 34447485.
Hasan MR, Islam MN, Islam MR. Phytochemistry, pharmacological activities and traditional uses of Emblica officinalis: a review. Int Curr Pharm J. 2016;5(2):14-21. doi: 10.3329/icpj.v5i2.26441.
Raghavendra RH, Naidu KA. Spice active principles as the inhibitors of human platelet aggregation and thromboxane biosynthesis. Prostaglandins Leukot Essent Fatty Acids. 2009;81(1):73-8. doi: 10.1016/j.plefa.2009.04.009, PMID 19501497.
Meshkini A, Tahmasbi M. Antiplatelet aggregation activity of walnut hull extract via suppression of reactive oxygen species generation and caspase activation. J Acupunct Meridian Stud. 2017;10(3):193-203. doi: 10.1016/j.jams.2017.02.007, PMID 28712479.
Mann P, Tofern B, Kaloga M, Eich E. Flavonoid sulfates from the convolvulaceae1Part 7 in the series “Phytochemistry and Chemotaxonomy of the Convolvulaceae”. Phytochemistry. 1999;50(2):267-71. doi: 10.1016/S0031-9422(98)00502-0.
Anila L. Antioxidant action of flavonoids from Mangifera indica and Emblica officinalis in hypercholesterolemic rats. Food Chem. 2003;83(4):569-74. doi: 10.1016/S0308-8146(03)00155-9.
Zaragoza C, Monserrat J, Mantecon C, Villaescusa L, Alvarez Mon MA, Zaragoza F. Binding and antiplatelet activity of quercetin, rutin, diosmetin, and diosmin flavonoids. Biomed Pharmacother. 2021;141:111867. doi: 10.1016/j.biopha. 2021.111867, PMID 34229245.
Roest M, Sixma JJ, Wu YP, Ijsseldijk MJW, Tempelman M, Slootweg PJ. Platelet adhesion to collagen in healthy volunteers is influenced by variation of both α2β1 density and von willebrand factor. Blood J Am Soc Hematol. 2000;96(4):1433-7.
Markham KR. Techniques of flavonoid identification. Academic press; 1982.
Lanza F, Beretz A, Stierle A, Hanau D, Kubina M, Cazenave JP. Epinephrine potentiates human platelet activation but is not an aggregating agent. American Journal of Physiology-Heart and Circulatory Physiology. 1988;255(6):H1276-88. doi: 10.1152/ajpheart.1988.255.6.H1276.
Hubbard GP, Wolffram S, Lovegrove JA, Gibbins JM. Ingestion of quercetin inhibits platelet aggregation and essential components of the collagen‐stimulated platelet activation pathway in humans. J Thromb Haemost. 2004;2(12):2138-45. doi: 10.1111/j.1538-7836.2004.01067.x, PMID 15613018.
Russo P, Tedesco I, Russo M, Russo GL, Venezia A, Cicala C. Effects of de-alcoholated red wine and its Phenolic fractions on platelet aggregation. Nutr Metab Cardiovasc Dis. 2001;11(1):25-9. PMID 11383321.
Janssen K, Mensink RP, Cox FJ, Harryvan JL, Hovenier R, Hollman PC. Effects of the flavonoids quercetin and apigenin on hemostasis in healthy volunteers: results from an in vitro and a dietary supplement study. Am J Clin Nutr. 1998;67(2):255-62. doi: 10.1093/ajcn/67.2.255, PMID 9459373.
Bojic M, Debeljak Z, Medic Saric M, Tomicic M. Interference of selected flavonoid aglycons in platelet aggregation assays. Clin Chem Lab Med. 2012;50(8):1403-8. doi: 10.1515/cclm-2011-0960, PMID 22868805.
Gaspar RS, da Silva SA, Stapleton J, Fontelles JLL, Sousa HR, Chagas VT. Myricetin, the main flavonoid in syzygium cumini leaf, is a novel inhibitor of platelet thiol isomerases PDI and ERp5. Front Pharmacol. 2019;10:1678. doi: 10.3389/fphar.2019.01678, PMID 32116678.
Freedman JE, Loscalzo J. Platelet–monocyte aggregates: bridging thrombosis and inflammation. Circulation. 2002;105(18):2130-2. doi: 10.1161/01.cir.0000017140.26466.f5, PMID 11994242.
Olas B. A review of in vitro studies of the anti-platelet potential of citrus fruit flavonoids. Food Chem Toxicol. 2021;150:112090. doi: 10.1016/j.fct.2021.112090, PMID 33636212.
Zhang YX, Yang TT, Xia L, Zhang WF, Wang JF, Wu YP. Inhibitory effect of propolis on platelet aggregation in vitro. J Healthc Eng. 2017;2017:3050895. doi: 10.1155/2017/3050895, PMID 29129989.
Sharifi Rad J, Quispe C, Shaheen S, El Haouari M, Azzini E, Butnariu M. Flavonoids as potential anti-platelet aggregation agents: from biochemistry to health-promoting abilities. Crit Rev Food Sci Nutr. 2021:1-14. doi: 10.1080/ 10408398.2021.1924612.
Freynhofer KM, Bruno V, Wojta J, Huber K. The role of platelets in athero-thrombotic events. Curr Pharm Des. 2012;18(33):5197–214.