
1Department of Animal Biology, School of Biology, College of Science, University of Tehran, Tehran, Iran, 2Department Nouroscience, Shahid Beheshti University, Tehran, Iran
Email: hsepehri@khayam.ut.ac.ir
Received: 31 Dec 2014 Revised and Accepted: 22 Aug 2015
ABSTRACT
Objective: Apoptosis or programmed cell death is a physiological process in which cells die. Many cancer chemical drugs induce apoptosis to omit cancer cells. Since prostate cancer is one of the most common cancers among men, it is important to develop some natural ways to stop it. Plant derivatives are capable of inducing apoptosis in cancer cells. Pectin, a carbohydrate-rich compound of plant cells, is one of these derivatives which show apoptotic effects on cancer cells. Here, we studied the effect of apple pectin (AP) to induce apoptosis in human prostate cancer cells.
Methods: The cellular viability was investigated with MTT, cell cycle analysis and AO/EB double staining. The amount of NO release was determined and apoptosis was studied through western blotting of the proteins which takes part in the cell death pathway.
Results: The results indicated that AP strongly suppressed Du145 cells proliferation. It also caused significant increase of NO release compared with control group. Treatment by different concentrations of AP led to the enhancement of active caspase-3 levels and Bax/Bcl2 Ratio.
Conclusion: These finding suggest that AP has the potential to induce apoptosis in prostate cancer cells (DU145) through increasing the release of NO which may be related to the mitochondrial apoptosis pathway.
Keywords: Apple pectin, Apoptosis, DU145 cells, Nitric oxide.
© 2016 The Authors. Published by Innovare Academic Sciences Pvt Ltd. This is an open access article under the CC BY license (http://creativecommons.org/licenses/by/4.0/)
INTRODUCTION
Nowadays, natural nutrient compounds are used as therapeutic factors to treat various diseases. The use of dietary carbohydrates in cancer therapy and arresting metastasis is in progress [1]. Pectin as a natural polysaccharide exists in all higher plant cell walls and plays a number of key roles in the growth and development of the plants [2]. Prostate cancer is the most prevalent malignant cancer in men and the second cause of death in the world [3].
Previous studies have shown that pectin can inhibit metastasis and tumor progression without toxicity in various types of cancer [4, 5]. In addition, our previous studies on apple pectin (AP) showed that AP can promote rat pituitary cells (GH3/B6) toward apoptosis [6]. Nitric oxide is an important cellular signaling molecule which is synthesized from L-arginine by a group of enzymes named NOS (Nitric oxide synthase) [7]. NOSs are divided in to three kinds; eNOS (endothelial NOS), nNOS (neuronal NOS) and inducible (iNOS) [8]. NO has proapoptotic as well as antiapoptotic effects [9].
As a proapoptotic modulator, NO can induce cytotoxicity in tumor cells, macrophages and thymocytes by activating the mitochondrial apoptotic pathways [10]. It happens because of the interaction between NO and the mitochondrial electron transfer chain which leads to the generation of superoxide, which induces cytochrome C release through mitochondrial membrane; and production of proxy nitrit [11].
NO leads to the increase of Bax protein expression which in turn leads to the increase of Bax/Bcl2 ratio in cardiomyocytes, cardiac fibroblasts and vascular smooth muscles [12-14]. It can also inhibit the cell cycle progression program and the opportunity of repairing and resuming cell cycle [15]. Furthermore, it causes the accumulation of p53 protein, up regulation of P21, arrest of cell cycle and finally activation of caspase signaling pathway [16]. In this study, we examined the role of NO in human prostate cancer cells and whether apple pectin would induce apoptosis in prostate cancer cells via NO release.
MATERIALS AND METHODS
Culture condition
Human prostate cancer cells (DU145) obtained from NCBI (National Cells Bank of Iran) were cultured in RPMI1640 Medium (Gibco), supplied with 10% fetal bovine serum (FBS) and antibiotics (Penicillin 100 unite/ml, Streptomycin 100 µl/ml) in humidified atmosphere (95% humidity) at 37 °C with 5% CO2 and pH=7. Cells media were changed once weekly. The cells in passage 2-6 were used for testing.
Cell viability assay (MTT assay)
MTT assay is a chemical method for assessing cell viability which is determined through the reduction of tetrazolium MTT ((3-[4, 5-dimethylthiazol-2-yl]-2, 5-diphenyl tetrazolium bromide) in viable cells by the action of mitochondrial succinate dehydrogenase enzymes which produce in soluble purple formazan crystals. The crystals were solubilized in dimethyl sulphoxide (DMSO) and the absorbance was measured. 2×104 cells were incubated with different concentrations of AP (Fluka) in 96-well plates. After 24h, cell viability was assessed by MTT absorbance dye evaluation via Biotek ELX800 microplate reader at 570 nm.
Acridine orange/Ethidium bromide (AO/EB) double staining
Apoptosis percentage of DU145 cells were determined with AO/EB staining morphologically. The cells were treated with different concentrations of AP (0.5, 1, 1.5, mg/ml) in a 12-well plate for 24h. The cells were detached with try sin-EDTA and washed with cold Phosphate Buffer Saline (PBS). Then, the mixture of AO/EB was added to the cells at room temperature and the cells were observed by fluoresce microscope (Ziess) after 5 min. Untreated cells were used as control samples.
Measurement of nitric oxide release
The level of nitrite (NO2-) was determined in the condition media by means of the Griess reagent (Naphthylethi-enediamin (NED) and sulfanilamide solution). DU145 cells were incubated with different concentrations of AP (0.5, 1, 1.5 mg/ml) in 24-well plates. After 24h of incubation, 50 µl of the cell supernatant was picked up and an equal volume of sulfanilamide was added. After shaking in dark at room temperature for 10 min, 50 µl of NED was added to the mixture and shaken for another 10 min. The optical density of the samples was measured using Biotek ELX800 microplate reader at 490 nm.
Western blot analysis
Detection of Bax and Bcl2 level and Caspase 3 activation in the cells extracts was done through western blot test. Du145 cells were exposed to different concentrations of AP (0.5, 1, 1.5 mg/ml). After 24 h, the cells were lysed in lysis buffer (Tris (75.773 mg), Sodium dodecyl sulfate (200 mg), Glycerol 10% (1cc), phenyl methane sulfonyl fluoride (2 mg). Cells extracts were then harvested and the total protein concentration was determined and electrophoresed in 12.5% SDS-page gel; it was then transferred to poly vinidene fluoride (PVDF) membrane. The membrane was then blocked and probed with specific antibodies against Bax, Bcl2 and caspase 3. Finally, the anti body-peptide complexes were detected with an ECL detection kit (Amersham Bioscience, USA). The relative abundance of each band was qualified by using Image J software and the expressions of genes were normalized to β-actin.
Cell cycle analysis
DU145 cells were detached with Trypsin-EDTA after being treated with different concentrations of AP for 24h. The cells were washed with PBS and fixed in ethanol 70% for 2h at 4 °C in the dark. The cells were incubated in a master mix (Propidiumiodied 40 µl, PBS 950 µl and RNAase 10 µl) at 37 °C for 30 min. The percentage of DNA content of the cells was analyzed with flow cytometry technique using FL-3 filter.
Data analysis
All data are represented as the mean±SD. Comparison between groups was made by one-way analysis of variance (ANOVA) followed by a specific post-hoc test to analyze the difference. The statistical significance was achieved when P<0.05 (*P<0.05, **P<0.01 and ***P<0.001).
RESULTS
Effect of AP on cell viability
To investigate the effect of AP on DU145 cells viability, cells were treated with different doses of AP for 24 and 48h. As shown in figure1, after 24h a dose-dependent inhibition of cells viability was observed with the increase of AP concentration. Doses of 1, 1.5 and 3 mg/ml of AP demonstrated the most effective inhibition of cells viability (p<0.001). The same results were obtained in 48h incubation, but the results did not show any significant effect for24h (fig. 1).
Fig. 1: Cell viability of DU145 cells was determined by MTT assay. Cellsˈviabilitysignificantlydecreasedafter treating with different concentrations of AP after 24h. (n=3, P<0.05=*, P<0.001=***)
Acridine orange (AO)/Ethidium bromide (EB) double staining
AO as a vital dye stains both live and dead cells, while EB only stains cells that have lost their membrane integrity. Live cells appear uniformly green; early apoptotic cells contain bright green dots; late apoptotic cells emit orange lights; and necrotic cells are stained dark red or brown. From these data, it was obvious that AP decreased the number of live cells in a dose-dependent manner (0.5, 1, 1.5 mg/ml). In addition, some cells showed apoptotic characterizations such as DNA fragmentation. In this condition, the number of necrotic cells was low, suggesting that AP causes cell death (fig. 2, fig. 3).
Fig. 2: Morphological evaluation of DU145 treated with AP for 24h. a) 0.5 mg/ml of AP, b) 1 mg/ml of AP, c) 1.5 mg/ml of AP. The arrows show apoptotic cells (10x)
Fig. 3: Percentage of apoptotic cells increased significantly after treating cells by AP for 24h. The increase was 21% for 0.5 mg/ml, 39.33% for 1 mg/ml and 42% for 1.5 mg/ml of AP in comparison with control. (n=3, P<0.001=***)
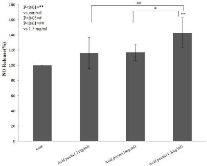
Apple pectin increases NO production
The amount of NO product in condition media of DU145 cells was determined with griess reagent. DU145 cells were treated with AP and NO production was determined after 24h. During this period, NO level increased significantly in cells media compared to the control group (fig. 4). NO level in cells treated with 1.5 mg/ml of AP was 45% versus control group. In this group, cells viability decreased significantly too. Besides, NO level in 1.5 mg/ml group was significantly higher than 0.5 mg/ml and 1 mg/ml groups.
Fig. 4: NO level in DU145 cells after AP treatment. 0.5 and 1 mg/ml of APdid not increase NO production after 24h, while 1.5 mg/ml of AP significantly increased NO level in comparison with control. (P<0/01=** n=3 vs control), (P<0/05=#, P<0/01=## vs 1/5 mg/ml)
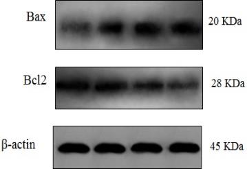
AP increased Bax expression and simultaneously decreased Bcl2 Protein level in DU145 cells
Bcl2 as an ant apoptotic protein has a negative role in apoptosis and prevents cells from entering death pathways.
A)
B)
Fig. 5: A) Bax/Bcl2 ratio in DU145 cells in the presence of AP (0.5,1 and 1.5 mg/ml). B) Densities of Bax/Bcl2 ratio. The bands are normalized to β-actin levels. The means of 3 experiments showed significant differences from control. (P<0.01=**, P<0.001=***)
However, Bax is a proapoptotic regulator and expeditecellsentery into apoptotic process. AP (0.5, 1, 1.5 mg/ml) caused significant increase in Bax/Bcl2 ratio in the cells after 24h.
This showed that AP induced apoptosis in DU145 cells via Bax expression, while Bcl2 expression was down regulated. As shown in fig. 5, the Bax/Bcl2 ratio increased 4.43 fold at 1.5 mg/ml of AP compared to control group. In 1 mg/ml and 0.5 mg/ml of AP the increase of Bax/Bcl2 ratio was 1.51 fold and 1.26 fold respectively compared with the control group. This pattern could show the ability of AP to induce apoptosis in DU145 cells (fig. 5).
Caspase 3 expressions and activation were up regulated with AP in DU145 cells-In apoptosis process, caspase family plays important roles. These enzyme family proteins cleave and take part in an apoptosis process. Among this family, Caspase 3 is more important as it cleaves PARP-1 (Poly [ADP-ribose] Polymerase 1). It has been previously found that PARP-1 activity is required for the later events of apoptosis. We measured the level of caspase 3 in the presence of AP (Fig.6).
AP could significantly up regulate caspase 3 while the expression of procaspase 3 significantly decreased compared to the control group. As shown in fig. 6, AP up regulated caspase 3 expressions. Decrease of procaspase3 levels in the treated cells with 0.5 mg/ml, 1 mg/ml and 1.5 mg/ml of AP were 34/1%, 38/05% and 51/21% compared to the control group respectively. The increase of caspas3 levels was 1/16, 1/56 and 1/94 fold for 0/5, 1 and 1/5 mg/ml respectively in comparison with the control group.
A)
B)
Fig. 6: Bands of procaspase 3, caspase 3 and β-actin were shown after AP treatment. B) Densities of corresponding bands were measured after normalization to β-actin band. Desitometry was significantly different from control. (n=3, P<0.001=***)
Cell cycle analysis in the presence of AP
Cell cycle is divided into M phase (Mitosis) and inter-phase. To study the effect of AP on cell cycle, flow cytometry analysis was done. The cells were treated with different concentrations of AP for 24h and then the distribution of cell cycle in different phases was investigated. The results showed that the the number of cells increased in Sub-G1 region which indicates the existence of more apoptotic cells in the presence of AP. Cell cycle arrest increased in higher concentration of AP, as compared with the control group (fig. 7).
Fig. 7: The effect of AP on cell cycle in DU145 cells. The apoptotic cells in Sub-G1 region are shown in the presence of AP
DISSCUTION
The current study was done to examine whether AP is able to induce apoptosis in prostate cancer cells, DU145. Apoptosis plays an important role in cancer therapy, and the efficiency of anticancer drugs is related to their ability to induce apoptosis [17]. It has recently been reported that a group of complex polysaccharides, pectin, exhibit anti apoptotic properties [18]. Pectins are associated with prometastatic regulatory proteins such as Gal 3 on cancer cells [19]. The main sources of pectin are apple (Apple pectin) and citrus (Citrus pectin) [20]. In some cases, AP and Citrus pectin (CP) were modified in different conditions, and then applied as anticancer materials [21]. In this study, we used apple pectin (AP) in its intact form to investigate whether it could induce apoptosis in DU145 cells. We had found, in our previous studies, that AP and CP increased NO level in cancer cell lines, while the cells showed apoptotic properties [6]. We supposed that pectin could induce apoptosis in cancer cells via increasing NO level. To investigate this, we cultured prostate cancer cells, DU145 in the presence of different concentrations of AP. Since both MTT test and AO/EB morphological analysis showed the decrease of live cells in the presence of AP, we concluded that AP is capable of increasing cell death rate in DU145 cells in a dose-dependent manner. These data are in line with our previous data which had shown that AP induced apoptosis in GH3/B6 cells [6]. In addition, another report showed that while citrus pectin inhibited primary tumor growth and directed cancer cells, such as colon cells, to apoptosis; it did not have any cytotoxic effect on normal HUVEC cells [4, 22]. The same paper by Wang et al. 2010 reported that modified citrus pectin induces apoptosis in prostate cancer cells PC3 and LNCap [23]. To explore the apoptosis pathway, we documented that AP caused Bcl2 inhibition and Bax activation following the activation of caspase cascade. Finally, the activation of Caspase 3 indicated that AP activated the intrinsic pathway of apoptosis. Taken together, these results suggest that DU145 prostate cancer cells exposure to AP leads to the increase of apoptosis and reduction of tumor growth. The same data were reported by Jun Yan et al. in 2010 who showed that MCP (modified citrus pectin) caused increasing expression of Caspase 3 in PC3 cells [24].
In the cell cycle analysis, AP induced cell death by increasing in Sub-G1 area. The difference between the results of cell cycle analysis and cell viability assay is due to the different parameters measured in each assay. Cell cycle assay distinguishes dead cells from arrested cells. Therefore, while cell viability only shows the death of cells, G0/G1 arrest is shown in cell cycle analysis. Furthermore, it has been shown that AP induces NO release in DU145 cells. NO plays various physiological functions and has both pro apoptotic and anti apoptotic role in apoptosis, according to its concentration. It has been reported that high production of it might be a reason for apoptosis.
In many cell types, i NOS is an is form of NOS which synthesize NO [25]. Since NO level increased in the presence of AP, we can suggest that AP is capable of up regulating i NOS in prostate cancer cells. NO accumulation occurs in response to i NO S up regulation and accelerates apoptosis. It seems that further studies should be done to measure i NOS level in cancer cells in the presence of AP or other pectin products.
In conclusion, our study showed that AP possess apoptotic properties, though it could inhibit cancer cell growth and induce apoptosis. In addition, AP has the potential to up regulate i NOS in cancer cells because it was found to increase NO level in prostate cancer cells and acted as a pro apoptotic agent.
ACKNOWLEDGMENT
This work was supported in part by the grant from the Tehran university college of science.
CONFLICT OF INTERESTS
Declared None
REFERENCES