Laboratory of Nutrition Physiology and Food Safety, University of Oran
Email: gourine_hanane@hotmail.com
Received: 01 Jan 2015 Revised and Accepted: 28 Jan 2015
ABSTRACT
Objective: Investigate the effect of symbiotic on the recovery of bowel atrophy and bacterial translocation (BT) induced by protein malnutrition (PM) in rats.
Methods: Rats were fed protein-deficient diet (maize) or the standard diet (standard rat chow) for 15 days. On day 10, rats fed with the protein-deficient diet were subdivided into three groups for reconstitution with protein-rich diet and Symbiotic. Milk-MTZ group, received milk+Metronidazole for 5 days and Symbiotic group, fed with some diet and probiotics-oligofructosaccharide for 5 days. Body weight was monitored daily, and all animals were sacrificed on day 15, and intestinal microflora and bacterial translocation (BT) to mesenteric lymph nodes (MLN) were evaluated. Histological studies were carried out to evaluate villi length and intra epithelial lymphocyte (IEL) infiltration.
Results: Our results show the symbiotic group (n=6) having the greater gain in body weight (12% increase) than milk-MTZ-fed group (n=6, 0.61 % increase). Overgrowth of Enterobacteria in protein-deficient diet rats was higher than in controls (p<0.0001); whereas, significantly decreasing in symbiotic fed group (p<0.0001). There was no significant difference in bacterial translocation between rats fed protein-deficient diet and those fed symbiotic rich diet. However, gut mucosa recovery was greater in symbiotic group (49.24 %).
Conclusion: Our data suggests that symbiotic-rich diet induces an important gain in weight and leads to better recovery of gut mucosa, but without altering bacterial translocation rate induced by the protein-deficient diet.
Keywords: Protein malnutrition, Symbiotic, Bacterial translocation, Gut mucosa atrophy, Wistar rats.
INTRODUCTION
Protein malnutrition is a nutritional problem that can induce not only the disruption of the normal ecology of microflora [1] particularly strict anaerobes [2] but also is known to affect anatomical barriers (mucosa and epithelium), secretory substances such as lysozymes, IgA, and mucus [3]. Under these conditions, intestinal mucosal barrier function appears to be impaired or overwhelmed, allowing indigenous bacteria or endotoxin within the gastrointestinal tract to reach systemic organs and tissues, a process termed bacterial translocation [4].
In general, the antibiotics like Metronidazole are used for treatment of infections susceptibly caused by protein malnutrition such as protozoan diseases [5]. However, re feeding rapidly restores the morphology and function of an intestine resulting in repair of gut atrophy and normalization of intestinal permeability [6-8]. Milk and milk products represent important sources of dietary proteins for humans, so it suggests its potential use in the renutrition process [9]. Currently, one of the new concepts of disease treatment is symbiotic. It is defined as product containing prebiotic(s) and probiotic(s) which have potentially beneficial applications [10] and can improve the host health [11]. Considering that the intestinal atrophy due to malnutrition is rapidly reverted with a proteic supplement, it could be hypothesized that symbiotics's implementation together with proteic supplement could lead to a better recovery of the atrophic gut. Therefore, an experimental study focusing on the relationship between symbiotic and the intestinal trophism during renutrition is warranted. Herein, we propose to investigate the effects symbiotics addition to a milk diet under anti biotherapy on body weight gain, and the recovery of the gut mucosa atrophy in an animal model of protein malnutrition.
MATERIALS AND METHODS
Twenty-four young Wistar rats (125 to 135 g) were kept in a laboratory environment of light-and-dark cycles and divided randomly into 4 groups: Control group (n = 6) fed with standard rat show (SARL la ration Bouzaréah–Alger) (table 1) for 15 day; the malnourished (PM) group (n = 6) received only maize (Diet poly-deficient in essential amino acids) (EPE Group Avicole de l’Ouest, Mostaganem, Algeria; table 2) for 10 days. The others animals (n = 18), after 10 days of malnutrition were renutrished with milk (Célia® Caron, France) (renutrition diet rich in proteins and Vitamins; table 3) for 5 days and were divided into two groups: Milk-MTZ group (n = 6) was fed with milk plus 1 ml/g of Metronidazole (HIKMA Pharmaceuticals, Jordanie) or Symbiotic group (n = 6) received same diet supplemented with daily administration of 109CFU of: Lactobacillus acidophilus, Lactobacillus casei, Lactobacillus rhamnosus, Bifidobacterium breve and oligofructosaccharide (FOS) in lyophilisat of 390 mg (SAFETYNAT Limited Epps Building-Bridge Road, France). This quantity was put in suspension in 2 ml of sterile water and given via orogastric feeding tube. All animals had free access to water.
The body weights of all groups were registered daily. At the end of the experiment, the animals were sacrified and put down in sterile condition. Mesenteric lymph node (MLN) and caecum were taken for microbiologic culturing [4]. The MLN and caecum samples were mixed with an equal quantity of sterile salt solution, homogenized and seeded with 100 µl calibrated pipette on Drigalski agar plates, and further incubated for 24 h at 37 °C.
The over growth of microorganisms in caecum and bacterial translocation in MLN was determined by Gram coloration. A growth between 30 and 300 colony-forming units per gram was taken as positive culturing. Bacterial translocation was defined as the presence of Gram-enteric bacteria.
During necropsy, one cm distal to the ileocecal valve was collected and fixed in formalin at 10% for 24-48h, routinely processed, embedded in paraffin and stained with haematoxylin and eosin for light microscopic examination. The measurements of villi length were made using an optical microscope equipped with a micrometer. Villi length was expressed in µm. They were expressed as number of intraepithelial lymphocytes per100 enterocytes.
Statistical analysis
All data are expressed as mean±standard error (SE). Statistical analysis was performed using Student’s t-tests with p<0.05 as the minimal level of significance and n represents the number of independent experiments performed.
Table 1: Standard diet rats (SARL la ration Bouzaréah–Algiers)
| Analytical components | Gross products¶Rough fat content¶Crude fiber¶Moisture¶Rough ashes¶Insoluble ashes in HCl ¶ | 23 %0, 43 %4 %12 %5, 5 %2 % |
| Mineral substances | PhosphorusManganeseCalciumIron.SodiumCopperPotassiumZincMagnesiumIodize | 5900 mg/kg90 mg/kg3300 mg/kg240 mg/kg1900 mg/kg30 mg/kg6700 mg/kg83 mg/kg2000 mg/kg3 mg/kg |
| Vitamins | Vit AVit D3Vit EVit B1Vit B2Vit B3Vit K3 Folic acidcholine | 7500 UI/kg1500 UI/kg30 mg/kg7 mg/kg6.5 mg/kg16.5 mg/kg2.5 mg/kg0.5 mg/kg1600 mg/kg |
Table 2: composition of maize (EPE Group Avicole de l’Ouest, Mostaganem, Algeria)
| Humidity | Protein | Grease | Ashes | Fiber | Carbonhydrate | Calories |
| 12.2 | 8.4 | 4.5 | 1.1 | 1.3 | 73.9 | 370 |
Values are expressed in % per gram
Table 3: Composition of milk (Célia® Caron, France)
| Elements | /100 g of powder | Elements | /100g of powder |
| Calories | 482 kcal | Vitamin D3 | 350 UI |
| Proteins | 15 g | Vitamin E | 6.8 UI |
| Carbohydrate | 56 g | Vitamin K1 | 39 µg |
| Lipids | 22 g | Vitamin B1 | 300 µg |
| Iron | 9.2 mg | Vitamin B2 | 1 mg |
| Magnesium | 63 mg | Vitamin B6 | 340 µg |
| Zinc | 4.9 mg | Vitamin B12 | 2 µg |
| Calcium | 705 mg | Vitamin C | 70 mg |
| Phosphore | 504 mg | Folique acid | 100 µg |
| Manganese | 58 µg | Pantothenic acid | 3 mg |
| Copper | 340 µg | Biotine | 11 µg |
| Iodize | 68 µg | Choline | 35 mg |
| Sodium | 235 mg | Taurine | 31 mg |
| Potassium | 700 mg | Carnitine | 14 mg |
| Chlorinate | 504 mg | Inositol | 23 mg |
| Vitamin A | 1700 UI | Niacine | 5.5 mg |
Results
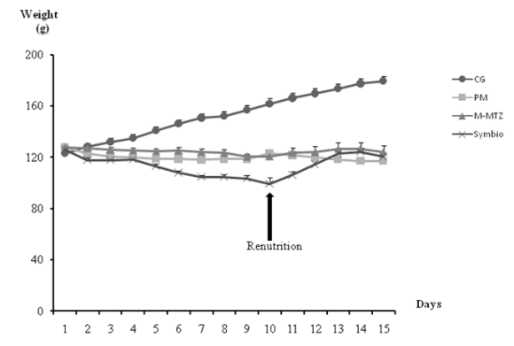
The mean weight of animals of malnutrition group was reduced 25 % when compared to that observed in the control group whose weight increased during 10-days period (123.67g±2.29 to 161.78±4.45; p<0.0001). During renutrition phase (5 days), weight gains were 0.61% in Milk-MTZ (123.55±4.1 g to 124.32±4.74 g) and (12%) in Symbiotic group (106.08±2.66 g to 120.3±2.94 g). The oral supplementation with symbiotic induces a significant increase in body weight. However, body weight in the control group was significantly higher than that in the two renutrition groups throughout the experiment. These findings are shown in fig. 1.
The overgrowth of Enterobacteria in the caecum was increased significantly in PM group compared to control group (p<0.0001), whereas the Enterobacteria count decreased significantly in Symbiotic group compared to PM group (p<0.0001). On the other hand, the level of BT to MLN did not show any significant difference in groups Milk-MTZ and Symbiotic compared to PM group. These results were illustrated in table 4.

Fig. 1: Body weight of rats during malnutrition and renutrition phase
Values are given as mean±SE (standard error) from six independent measurements.
CG: Control group, PM: Protein malnutrition group, M-MTZ: Milk+metronidazole group, Symbiotic: milk+metronidazole+symbiotic group.
Table 4: Levels of Enterobacteria in the ceacum and MLN (Log CFU/g content)
| Variables | CG (n = 6) | PM (n = 6) | M-MTZ (n = 6) | Symbiotic (n = 6) |
| Ceacum | 5.3±0.07 | 7.29±0.05*** | 7.39±0.02 | 6.03±0.09*** |
| MLN | 0 | 0.55±0.24 | 1.36±0.45 | 1.09±0.49 |
Values are given as mean±SE (standard error) from six independent measurements.
CG: Control group, PM: Protein malnutrition group, M-MTZ: Milk+metronidazole group, Symbiotic: milk+metronidazole+symbiotic group, *** p<0.0001 PM vs CG. *** P<0.0001 Symbiotic vs PM.
After malnutrition period an important diminution of villus length was observed compared to control group (15.14±0.61 µm vs 42.02±0.77 µm; p<0.0001)(fig. 2: a, b). When rats were renourished, a marked recovery in the intestinal epithelium was seen (fig. 3: a, b).

Fig. 2: Observation under optical microscope of histological samples of ileocecal valve colored to hematoxilin-eosin (x 25)
a: Control group. Fed with standard rat show for 15 days. b: Protein malnutrition group. Received only maize for 10 days

Fig. 3: Observation under an optical microscope of histological samples of ileocecal valve colored to hematoxilin-eosin (x 25)
a: Milk-metronidazol group. Rats treated with milk+metronidazol during 5 consecutive days of refeeding, b: Symbiotic group. Rats treated with milk+metronidazol+symbiotic during 5 consecutive days of refeeding
The percentage of reestablishment was 22.84% in Milk-MTZ and greater in Symbiotic group (49.24%). However, the number of IEL in PM group was significantly higher than that in control group (p<0.0001). Compared to PM group, both renutrition groups did not present a significant difference on ILE values (p<0.1)(table 5). The findings of villus length can be seen in (fig. 4) and ILE number in (fig. 5).

Fig. 4: Villus length (μm) in all groups during malnutrition and renutrition phase
Values are given as mean±SE (standard error) from six independent measurements.
CG: Control group, PM: Protein malnutrition group, M-MTZ: Milk+metronidazole group, Symbio: milk+metronidazole+symbiotic group, *** p<0.0001 PM vs CG. ** p<0.001 M-MTZ vs PM. *** p<0.0001 Symbiotic vs PM.

Fig. 5: IEL number (IEL/100 enterocytes) in all groups
Values are given as mean±SE (standard error) from six independent measurements, CG: Control group, PM: Protein malnutrition group, M-MTZ: Milk+metronidazole group, Symbiotic: milk+metronidazole+symbiotic group, *** p<0.0001 PM vs CG, ** p<0.0001 M-MTZ vs CG, *** p<0.0001 Symbiotic vs CG.
Table 5: Villus length (μm) and ILE number (ILE/100 epithelial cells) in all groups
| Variables | CG (n = 6) | PM (n = 6) | M-MTZ (n = 6) | Symbiotic (n = 6) |
| Villus length | 42.02±0.77 | 15.14±0.61*** | 24.74±0.85†** | 35.84±0.93*** |
| ILE | 15.83±0.6 | 23.16±0.91*** | 21.66±1.17 | 22.66±0.49 |
Values are given as mean±SE (standard error) from six independent measurements, CG: Control group, PM: Protein malnutrition group, M-MTZ: Milk+metronidazole group, Symbiotic: milk+metronidazole+symbiotic group, *** p<0.0001 PM vs CG. ** p<0.001 M-MTZ vs PM. *** p<0.0001 Symbiotic vs PM.
Discussion
Malnutrition induced by dietary restriction produces series of metabolic changes that lead to a reduction in body weight and altered of digestive system [12, 13]. In our study, protein malnourished rats showed significant loss in their body weight. However, during re-nutrition phase, both groups presented a significant increase of weight and weight gain was greater in the group receiving symbiotic. Effectively, it has been shown that the use of symbiotic was associated with greater gain of body weight in children under anti-biotherapy [14].
Our results confirmed that malnutrition alone can induce some alterations such as intestinal bacterial overgrowth that could promote BT [15]. Effectively, protein malnutrition decreased the level of Lactobacillus, strict anaerobes and thus producing overgrowth of Enterobacteria in the cæcum [15, 2]. On the other hand, an experimental study on malnourished mice showed that a high level of endotoxin increased the incidence of BT [16]. According to another data obtained from in-vivo BT animal-model, both bacterial overgrowth and bacterial pathogenic determinants seem to be major predisposing factors for the induction of BT [17].
In our study, only the group received symbiotic decreased the Enterobacteria count in the cæcum. This finding according with studies which showed that some Lactobacillus strains and Bifidobacterium strains can reduce the Enterobacteria count in the cæcum and colon [18, 19]. In addition previous human and rat studies showed that not only FOS increases densities of bifido-bacteria and lactobacilli, but also stimulates growth of Enterobacteria [20] or has not effect [21]. However, In vivo in humans, the absence of a protective effect of a probiotic (L. plantarum 299V) on bacterial translocation [22] has been confirmed by the same team and using the same methodology for a symbiotic combining L. acidophilus lactis Bb12, S. thermophilus, L. bulgaricus with an oligo fructose [23], in both these studies the median administration period was respectively 9 to 12 days before surgery and 5 to 4 days after surgery. According to these results, we can deduce in our study that 5 days of re-feeding phase is short to reduce BT in the group which received a symbiotic.
The aim of this study was to evaluate the influence of protein malnutrition and diets of re-nutrition on gut mucosa morphology. Our results showed that protein malnutrition induced a reduction in intestinal epithelial cell proliferation and mucosal atrophy. According to literature these alterations have a profound effect on brush-border enzymatic activity [24] and mucosal mass and mucosal integrity [25].
The amount of food consumed and quality of dietary nitrogen play a key role malnourished patients recovery [26, 7, 27, 28]. Milk and milk products represent important sources of dietary proteins for humans, and these proteins are known to serve as a source of biologically active peptides. It was well demonstrated that the presence of a number of growth factors and hormones in the milk of various species including human and bovine, have beneficial effects on the host and so it suggests its potential use in the re-nutrition process [29, 30, 9, 31]. The results of our study suggest that milk diet restores the morphology and function of the gut in malnourished rats. However, this re-establishment was greater in the group receiving the symbiotic for 5 days.
Indeed, Allori et al. [32], demonstrated that structural and ultra-structural gut modifications in malnourished mice showed a slight improvement 7 days after treatment with nonfat milk, and for 14 and 21 days after re-nutrition, the mice showed normal intestinal villi, whereas the additional feeding with a probiotic (Lactobacillus casei) for two consecutive days, after different periods of re-nutrition, yielded an earlier improvement (7 days).
However, a comparative study between yoghourt and milk showed that 5 days of feeding were the optimal dose for improving gut barrier function and mucosal immune system in a malnutrition model [33]. These results suggest that the period of re-nutrition play also an important role in reestablishment and amelioration of gut mucosa.
Not only the enhanced mucosal trophism was found in studies involving probiotics in the re-nutrition diet [34, 32, 13, 35] but also the restoration of goblet cells was too [36]. These results are most probably due to enhanced short chain fatty acids (SCFA) formation induced by probiotics [37]. SCFA is the best fuel for the colonocyte and directly trophic for the colonic mucosa [38].
Within the normal intestinal epithelium there is a large population of leucocytes, which are mostly accounted by lymphocytes (intraepithelial lymphocytes). It has been proposed the IEL have a number of different roles including: surveillance of the intestinal epithelial layer for the detection of microbial pathogens; removal of damaged or transformed epithelial cells; maintenance of epithelial integrity via secretion of trophic factors important for epithelial cell growth and differentiation; and the regulation of local cell mediated or humoral immune responses [39].
In contrast with Gendrel et al. [40], we have found a higher intraepithelial lymphocyte counts in PM group. We hypothesise that this represents a response to the occurrence of BT, and challenges previous claims that BT occurs secondary to a reduction in local immune responsiveness. Effectively, Woodcock et al. [41], has found a significant increase in immune function in the small bowel mucosa of patients in whom bacterial translocation has been shown to occur. Their findings infer that other factor than intestinal mucosal immunity must be important in the promotion of BT. The most likely of these is bacterial overgrowth within the gut lumen.
Conclusion
The overall results of this study showed that the addition of symbiotics in re-feeding phase positively influences and results in prompt recovery of the gut atrophy associated with protein malnutrition.
ACKNOWLEDGEMENT
This research was supported by the Ministry of Higher Education and Scientific Research (MESRS)
CONFLICT OF INTERESTS
Declared None
References