
1Department of Pharmaceutical Analysis, School of Pharmaceutical Sciences, Lovely Professional University, Jalandhar Delhi G. T. Road, Phagwara (Punjab) 144411, 2Department of Pharmaceutical Chemistry, Shreeyash Institute of Pharmaceutical Education and Research, Aurangabad (MS) 431010
*Email: mangeshsghodke@gmail.com
Received: 25 Jul 2022, Revised and Accepted: 21 Dec 2022
ABSTRAC
In general, heterocyclic compounds are rich in pharmacologically active chemicals. Among them are anti-inflammatory, antitubercular, anti-HIV, antimalarial, antidiabetic, anticonvulsants, analgesics, antihypertensive, antifungal, anticancer, antidepressant, antioxidant, and antimicrobial compounds. Due to their wide range of activity in the fields of drug design, Heterocycles occupy a salient place in chemistry. One of the most hopeful heterocycles found in natural and synthetic sources is the indole scaffold which possesses variety of biological activity, including anti-inflammatory, antitubercular, anti-HIV, antimalarial, antidiabetic, anticonvulsants, analgesics, antihypertensive, antifungal, anticancer, antidepressant, antioxidant, and antimicrobial, etc. This review aimed to highlight the synthetic perspective on the development of indole-based analogs. This study aimed to offer clear information on the current development of indoles as anticonvulsant, anticancer, and anti-inflammatory agents.
Keywords: Indole, Antiviral, Anticonvulsant, Anti-inflammatory, Analgesic, Antimicrobial and anticancer
© 2023 The Authors. Published by Innovare Academic Sciences Pvt Ltd. This is an open access article under the CC BY license (https://creativecommons.org/licenses/by/4.0/)
DOI: https://dx.doi.org/10.22159/ijpps.2023v15i3.46727. Journal homepage: https://innovareacademics.in/journals/index.php/ijpps.
In recent years Nitrogen-containing heterocyclic compounds analogues and derivatives are presented in numerous drug molecules due to their useful biological and pharmacological properties. Indole and its derivatives are used in organic synthesis. They are used in evaluating a new product that possesses different physical activities such as anticonvulsant [1], anti-HIV [2], anti-tubercular [3], antidiabetic [4], antimalarial [5], antimicrobial [6-9], anticancer [10-13], antioxidant [14], antifungal [15], anti-inflammatory [16] etc.
Having molecular formula of C8H7N, indole is an aromatic heterocyclic organic compound in which benzene ring is fused with pyrrole ring having a variety of biological applications in medicinal chemistry (fig. 1)

Fig. 1: Biological application of Indole nucleus in medicinal chemistry
So far, very few review reports presented synthetic, medicinal perspectives and structural activity relationship (SAR) of indole analogues evaluated for anti-inflammatory, anti-HIV, antitubercular, antimalarial, anticonvulsant, antidiabetic, antihypertensive, analgesics, and antidepressant, etc. Therefore, in this review, we emphasized the various synthetic methods of indole-based analogues along with techniques used in synthesis and any special catalyst used synthetically. We hope this review will provide substantial guidance to carry out further research on this scaffold to mitigate numerous diseases. We aimed to compile the information on various indole derivatives by collecting the various research journals published from different scientific resources (e. g., Science Direct, Google Scholar).
Synthetic strategy for anticonvulsant agent synthesis
Rajarshi Nath and co-workers synthesised indoline derivatives of functionalized aryloxadiazole amine and benzothiazole acetamide and evaluated for anticonvulsant activity [17]. A series of N-(substituted benzothiazole-2-yl)-2-(2,3-dioxoindolin-1-yl)acetamide (4a-i) and substituted-[3-((5-phenyl-1,3,4-oxadiazole-2-yl)imino) indolene-2-one] (5a-f) were designed, synthesized and evaluated for anticonvulsant activities using different models such as maximal electroshock test (MES), subcutaneous pentylenetetrazole (scPTZ) seizures and neurotoxicity by motor impairment model in mice. (4a-e). In the synthesis of 4(a-i), derivatives were synthesized by using DMF and sodium hydride (NaH). 5(a-f) derivatives were synthesized when 5-substituted phenyl oxadiazole-2-amine (0.01 mol) (8a-d) dissolved in absolute ethanol, an equimolar amount of isatin/5-substituted isatin in 5 ml glacial acetic acid and 3-5 drop HCl were added. Compound N-(5-chlorobenzo[d]thiazol-2-yl)-2-(2,3-dioxoindolin-1-yl) acetamide (4a) has shown significant anticonvulsant activity against both MES and scPTZ screens and emerged as the most effective anticonvulsant compound with a median dose of 35.7 mg/kg (MES ED50), 88.15 mg/kg (scPTZ ED50) and toxic dose (TD50) was found to be>500 mg/kg.

Fig. 2: Synthetic route for the synthesis of title compound (4a-i)

Fig. 3: Synthetic route for the synthesis of title compound (5a-f)
Violina T. Angelova and co-workers synthesized novel indole-based aroyl hydrazones and evaluated them as anticonvulsant agents [18].
To an ethanolic solution of appropriate hydrazides 2a-i, a stirred solution of 5-methoxyindole-3-carboxaldehyde 1 (2.0 mmol) in abs. Ethanol was added and refluxed for 2–3 h. When compared with melatonin (ED50 = 160.3 mg kg−1, PI>1.87), two compounds, 3e (2-furyl) and 3f (2-thienyl), showed a higher potency in the maximal electroshock (MES) test (ED50 = 50.98 mg kg−1, PI>5.88) and (ED50 = 108.7 mg kg−1; PI>2.76) respectively, The compounds 3c, 3e, 3f and 3i suppressed psychomotor seizures in the 6 Hz test, and 3c was the most potent with higher ED50 = 13.98 mg kg-1 and PI of>21.46 compared to that of melatonin (ED50 = 49.76 mg kg−1 and PI of>6.03) in mice. In this, not a single compound displayed neurotoxicity in the rota-rod test. The novel melatonin derivatives exerted weak cytotoxic effects, while 3f showed the lowest hepatoxic results comparable to positive control melatonin in rats.

Fig. 4: The synthetic route to the preparation of the target compounds (3a-i)
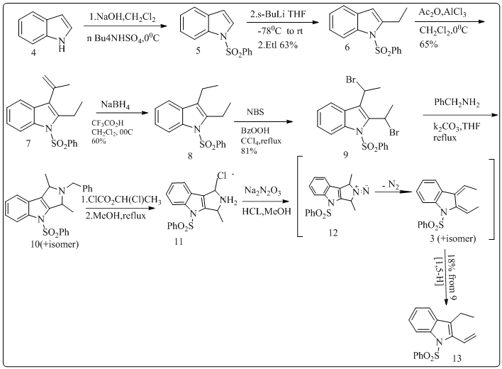
Alison Rinderspacher et al. reported the synthesis of the generation of a novel indole-2,3-quinodimethanes via the deamination of 1,2,3,4-tetrahydropyrrolo[s3,4-b]indoles [19]. In this, cannabinoid two receptor (CB2) agonists based on 1, 2, 3, 4-tetrahydropyrrolo [3, 4-b] indole and benzimidazole scaffolds have shown high binding affinity toward CB2 receptor and good selectivity over cannabinoid one receptor (CB1).

Fig. 5: Deamination of 1, 2, 3, 4-tetrahydropyrrolo [3, 4-b] indole (11) leading to 3-ethyl-1-(phenylsulfonyl)-2-vinylindole (13)

Fig. 6: Synthesis of 2-ethyl-1(phenylsulfonyl)-3-vinylindole (14)

Fig. 7: Deamination of pyrrole [3,4-b] indole 22 leading to 2,3-dihydro to 2,3-dimethylene-1-(phenylsulfonyl)indole(17) and dimer 24

Fig. 8: Synthesis of p-benzoquinone indole-2,3-quinodimethane 17 adduct 25
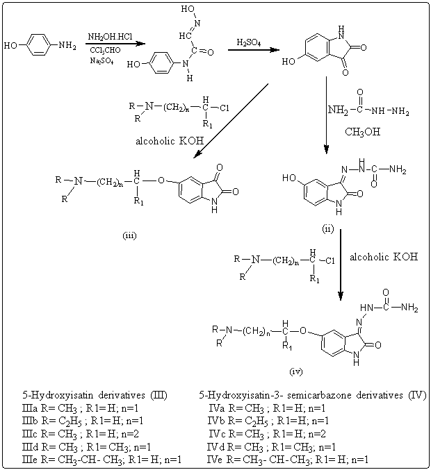
Konda Swathi et al. synthesized 5-[2(3)-di alkyl amino alkoxy] indole 2, 3-di-one derivatives [20]. Good antiepileptic activity and less neurotoxicity compared to phenytoin were shown by 5-[2-dimethyl amino ethoxy] Indole 2, 3dione and 5-[2-dimethyl amino ethoxy] Indole 2-one, 3-semicarbazone (IVa). The study aimed to study the relationship between seizure activities and altered the monoamines such as noradrenaline (NA), dopamine (DA), and serotonin (5-HT) in the forebrain of rats in MES seizure models. In the MES model, the study of compound (IVa) (100 mg/kg) showed significantly restored decreased levels of brain monoamines such as Noradrenaline, Dopamine and 5-Hydroxy Tryptamine. Thus, this study suggests that the study of IVa increased the monoamines in rat brains, which may be decreased the susceptibility to MES-induced seizure in rats.

Fig. 9: Synthesis of 5-hydroxyisatin derivatives (III) and 5-hydroxyisatin-3-semicarbazone derivatives (III)
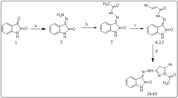
Deweshri R. Kerzare et al. Developed novel indole‐linked pyrazoles as anticonvulsant agents [21]. They have synthesized3‐{2‐ [1‐acetyl‐5‐(substituted phenyl) ‐4,5‐dihydropyrazol‐3‐yl] hydrazinylidene} ‐ 1,3‐dihydro‐2H ‐indol‐2‐ones(24–43) and evaluated for the maximal electroshock test, antidepressant and antianxiety activities. An ED50 of 13.19 mmol/kg, a TD50 of 43.49 mmol/kg, and a high protective index of 3.29 exhibited by 3‐ {2[1‐acetyl‐5‐ (4‐chlorophenyl) ‐4, 5‐dihydro pyrazol‐3‐yl] hydrazinylidene} ‐1, 3‐dihydro‐ 2H‐indol‐ 2‐one (25), when compared with the standard drug diazepam. Molecular docking studies were also performed at the active site of the GABAA receptor and the MAO‐A enzyme. Potent compounds exhibiting docking scores of −1.5180 and 0.7458 for the GABAA receptor and MAO‐A, respectively, confirm the binding of the molecule with pharmacological evaluation.

Fig. 10: Synthesis of the target compounds 24–43. Reagents and conditions: (a) NH2NH2. H2O 99%, abs. methanol, reflux, 1 hr; (b) (CH3CO)2O, glacial acetic acid, reflux, 1 hr; (c) abs. EtOH, Ar–CHO, NaOH 10%, stir, 8–10h, r. t.; (d) dry EtOH,NH2NH2. H2O 99%, CH3COOH, reflux, 6–8h
Asif Husain et al. synthesised Indolo-Imidazolone Hybrid Molecules and evaluated for anticonvulsant activity [22]. The present study shows the anticonvulsant potential of the indolo-imidazolone derivatives (4a-g and 5a, b). Among the newer derivatives two compounds, 1-(2-hydroxyethyl)-2-phenyl-4-[(2-phenylindolin-3-yl) methylene]-1H-imidazol 5(4H)-one (5a) and 1-(2-aminoethyl)-2-phenyl-4-[(2-phenylindolin-3-yl) methylene]-1H-imidazol-5(4H)-one (5b) emerged as lead compounds. Compound having 2-hydroxyethyl or 2-aminoethyl in 1-position of imidazolone ring increased the anticonvulsant activity of the indole-imidazoles.

Fig. 11: Synthesis of indole derivatives
Saeed Emami et al. synthesized isatin-aroyl hydrazones (5a-e and 6a-e) and evaluated them as highly potent anticonvulsant agents [23]. MES and PTZ models of epilepsy in mice have shown that most compounds had no effect on chemically induced seizures at the higher dose of 100 mg/kg but showed significant protection against electrically induced attacks at the lower amount of 5 mg/kg. N-methyl analogs found to have 100% protection at 5 mg/kg 6a and 6e are the most effective compounds. They have determined the protein binding and lipophilicity (log P) of the selected compounds (6a and 6e). The safety profile of compounds on the neuronal and hepatic cells indicated by 6a and 6e against SH-SY5Y and Hep-G2 cell lines when a cytotoxic study was carried out.

Fig. 12: Synthesis of isatin-hydrazone derivatives 5a-e and 6a-e
Synthetic strategy for anticancer agent synthesis
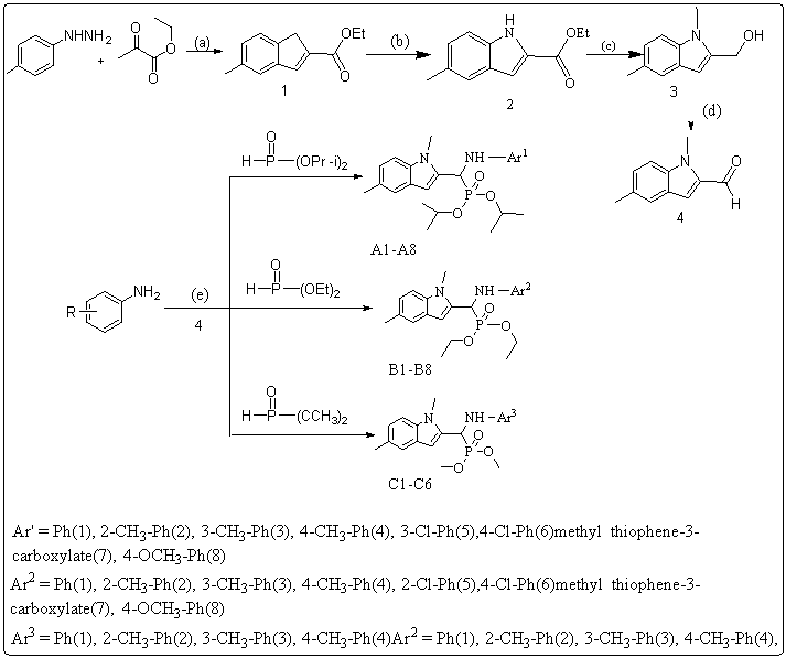
Huicheng Cheng and Jiaoli Ma et al. synthesized novel indole derivatives containing α-amino phosphonate moieties and evaluated them for antitumor activity [24]. The MTT method was used to evaluate in vitro cytotoxic activity for novel compounds, revealing that most target compounds exhibited moderate to high antitumor activities against HepG2 and MGC-803. Among them, compound C5(IC50= 34.2μM) demonstrated more potent inhibitory activities against HepG2 compared with 5-fluorouracil (IC50= 78.7μM). It is noteworthy that compound B7(IC50= 35.7lM) displayed higher inhibitory activities against MGC-803 than that of 5-fluorouracil (IC50= 82.0μM).

Fig. 13: Synthetic route of target compounds. Reagents and conditions: (a) CH3SO3H, EtOH, 80 °C; CH3SO3H, CH3COOH, 115 °C,85% for two steps; (b and c) CH3I, NaH, anhydrous THF, 0 °C to r. t.; NaBH4, CaCl2, anhydrous EtOH, r. t. to 50 °C, 79% for two steps; (d) MnO2,CH2Cl2, r. t., 61%; (e) anhydrous PhCH3, reflux, 45–88%
Zhang-Xu He et al. synthesized novel thiosemicarbazone-indole derivatives and biologically evaluated them as targeting prostate cancer cells [25]. They introduced the benzamide group into the linker and found it beneficial to anticancer activity and selectivity. PC3, EC109, DU-145, MGC803, and MCF-7 against these tumor cells, most of the compounds displayed moderate to high anticancer activities. Strong antiproliferative potency and high selectivity toward PC3 cells with the IC50 value of 0.054 μM, compared with normal WPMY-1 cells with an IC50 value of 19.470 μM, was shown by compound 16f. Compound 16f could significantly suppress prostate cancer cells (PC3, DU-145) growth and colony formation in a dose-dependent manner. Derivative 16f induced G1/S cycle arrest and apoptosis, which may be related to ROS accumulation due to the activation of the MAPK signaling pathway. Molecule 16f could effectively inhibit tumor growth through a xenograft model bearing PC3 cells and had no evident toxicity in vivo.

Fig. 14a: Reagents and conditions: (a) (1) CS2, TEA, EtOH, rt; (2) Boc2O, DMAP, EtOH, rt; (b) hydrazine hydrate, DCM, rt; (c) 5-methylpicolinaldehyde, acetic acid, EtOH, rt

Fig. 14b: Reagents and conditions: (a) EDCI, HOBT, DCM, rt; (b) (1) CS2, TEA, EtOH, rt; (2) Boc2O, DMAP, EtOH, rt; (c) hydrazine hydrate, DCM, rt; (d) 5-methylpyridine-2-carbaldehyde, acetic acid, EtOH, rt
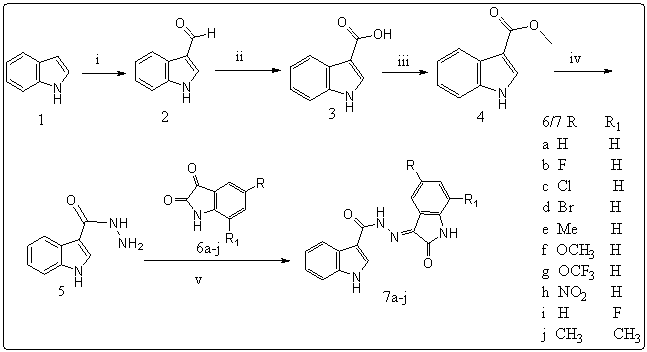
Wagdy M. Eldehna et al. developed 2-indolin-3-ylidene-indole-3-carbohydrazide derivatives as novel apoptotic and anti-proliferative agents [26]. Mitochondrial anti-apoptotic Bcl2 and BclxL proteins are over-expressed in multiple tumor types and have been involved in the progression and survival of malignant cells. They have developed a series of novel isatin–indole conjugates (7a-j and 9a-e) as potential anticancer Bcl2 and BclxL inhibitors. The progression of the two examined colorectal cancer cell lines was significantly inhibited by all of the prepared compounds with IC50 ranges132–611 nM compared to IC50¼ 4.6 mmol for 5FU, against HT-29 and IC50 ranges 37–468 nM compared to IC50¼ 1.5 mmol for 5FU, against SW-620. Selective cytotoxicity against both cell lines with high safety to normal fibroblast (HFF-1) was exhibited by selected compounds 7c and 7g. Compounds 7c and 7g induced apoptosis and inhibited Bcl2 and BclxL expression in a dose-dependent manner. Here the high potency and selective cytotoxicity suggested that conjugates 7c and 7g could be a starting point for further optimization to develop novel pro-apoptotic and antitumor agents for colon cancer.

Fig. 14c: Reagents and conditions: (a) EDCI, HOBT, DCM, rt; (b) H2, Pt-C, MeOH, rt; (c) (1) CS2, TEA, EtOH, rt; (2) Boc2O, DMAP, EtOH, rt; (d) hydrazine hydrate, DCM, rt; (e) appropriate aldehyde or ketone, acetic acid, EtOH, rt

Fig. 15a: Synthesis of target 2-oxindolin-3-ylidene-indole-3-carbohydrazide 7a-j; (i) DMF/POCl3/reflux 8 h, (ii) KMnO4/Acetone/Stirring at rt. 12 h, (iii) Dry methanol/H2SO4 (Cat.)/reflux 7 h, (iv) hydrazine hydrate/methanol/reflux 4 h, (v) Glacial acetic acid/reflux (5–7) h

Fig. 15b: Synthesis of target N-substituted 2-oxindolin-3-ylidene-indole-3-carbohydrazide9a-e; (i) R-Br/DMF/K2CO3/KI (Cat.)/reflux 5 h, (ii) Glacial acetic acid/reflux (5–7) h
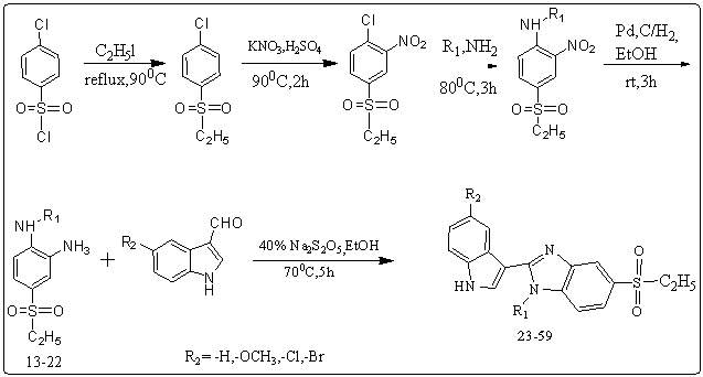
Ozlen Konu et al. synthesized novel indole-benzimidazoles and evaluated them for their anticancer/antiestrogenic activities [27]. This study synthesized novel ethylsulfonyl indole-benzimidazole derivatives by substituting the first (R1) and fifth (R2) positions of benzimidazole and indole groups, respectively. The antiproliferative property of indole-benzimidazoles was more similar between the estrogen (E2) responsive cell lines MCF-7 and HEPG2 compared to the Estrogen Receptor negative (ER-) cell line MDA-MB-231. R1: p-fluorobenzyl group members were selected as lead compounds for their potent anticancer effects and moderate structural affinity to ER. Selected compounds (R1: p-fluorobenzyl: 48, 49, 50, 51; R1:3, 4-difluoro benzyl: 53) microarray expression profiling and gene enrichment analyses (GSEA) helped to determine the similarly modulated cellular signalling pathways among derivatives. Moreover, they identified known compounds with significantly similar gene signatures to 51 via queries performed in the LINCS database; and further transcriptomics comparisons were made using public GEO datasets (GSE35428, GSE7765, GSE62673). Results strongly show that these novel indole-benzimidazoles can modulate ER target gene expression and dioxin-mediated aryl hydrocarbon receptor and amino acid deprivation-mediated integrated stress response signalling in a dose-dependent manner.

Fig. 16: Synthesis of new indole-benzimidazoles (23–59)
Bahaa G. M. Youssif et al. synthesized novel indole-2-carboxamides and pyrazine [1, 2-a] indol-1(2H)-ones as potential anticancer agents affecting the reactive oxygen species production [28]. Compounds 5d and 5e were the most potent samples with higher inhibitory activities (IC50 values 3.3 and 1.4 µM, respectively) than the reference acetylsalicylic acid (IC50 = 9.7 µM). Results for the determination of potential antioxidant properties of the synthesized compounds showed that compounds 5d and 5e containing pyrazino[1,2-a] indol-1-one backbone were the most excellent and even comparable to Trolox. Compounds 3d-f and 5d-f with the least IC50 values in the MTT assay were tested against known anticancer targets EGFR, BRAF, and Tubulin. They have also performed a histopathological and immunohistochemical study to determine the consequence of exposure to the chronic low dose of chlorpyrifos on the testis of male mice. The results show that these effects can be facilitated by co-treatment with the most active antioxidant compounds, 5d and 5e.

Fig. 17: Synthesis of the target 3-benzylpyrazino [1,2-a] indol-1(2H)-ones 5a-g. Reagents and reaction conditions: (a) BOP, DIPEA, DCM, rt, overnight, 89-95%; (b) Dess-Martin, DCM,0 °C to rt, 5h; (c) PTSA, toluene, reflux, overnight, 50-60%
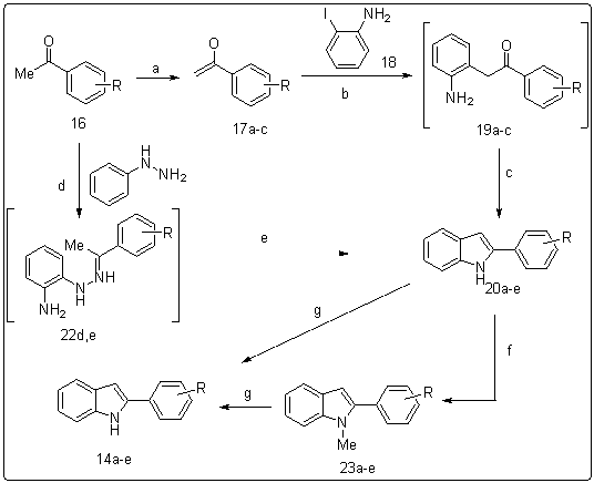
Claudio C. Silveira et al. synthesized 3-thiocyanate-1H-indoles carrying diversification at positions N-1, C-2, and C-5 of the heterocyclic core were synthesized; their antiproliferative activity against four human cancer cell lines (HL60, HEP-2, NCI-H292, and MCF-7) was evaluated as potential anticancer agent employing doxorubicin as the positive control [29]. Indole, N-methyl indole, and 2-(4-chlorophenyl)-N-methyl indole were demonstrated to be essentially inactive. In contrast, several of their congener 3-thiocyanate-1H-indoles displayed good to excellent potency levels (IC50 6 mmol) while being non-hemolytic. N-Phenyl-3-thiocyanate-1H-indole and 1-methyl-2-(4-chlorophenyl)-3-thiocyanate-1H-indole showed good to high potency against all the cell lines. On the other side, the N-(4-chlorophenyl)-, 2-(4-chlorophenyl)-, and 2-phenyl-3-thiocyanate-1H-indole derivatives were slightly less active against the test cell lines. These results suggest that the indole-3-thiocyanate can be suitably decorated to afford highly cytotoxic compounds. The substituted indole can be a useful scaffold for more potent compounds.

Fig. 18: Reagents and conditions: a) KtBuO, DMSO, r. t., 15 min; b) 2-iodoaniline; c) hv (254 nm, 400 W), r. t., 3 h (R ¼ 4-H, 4-Me, 4-MeO); d) PhNHNH2, AcOH (cat.), EtOH, Reflux, 6 h; e) 1. PPA, 80 °C, 30 min; 2. 1 M NaOH (R ¼ 3-CF3, 4-Cl); f) 1. KOH, DMSO, r. t.; 2. MeI, r. t.; g) NH4SCN, oxone, MeOH, r. t. 0.3-1 h
Domenico Iacopetta et al. synthesized new indole and pyranoindole derivatives and evaluated them for anticancer and antioxidant properties [30]. Different breast cancer cell lines, such as MCF-7 and MDA-MB231, cervical cancer cells line HeLa and Ishikawa endometrial cancer cell line, were used for evaluation. Among the compounds under study, 7 exhibited good antitumor activity on the HeLa cell line (IC50 = 3.6±0.5), leading to cell death by apoptosis due to the inhibition of tubulin polymerization, which confirmed that the compound could clarify its function in a similar way to Vinblastine, a well-known inhibitor of tubulin polymerization. Furthermore, to suggest a possible relationship between anticancer effects and to investigate the antioxidant properties, DPPH and ABTS tests were performed, together with fluorescence assays on 3T3-L1 cells.

Fig. 19a: Reagents and conditions: (i) NaH 60% oil dispersion, CH3I, DMF, 0 °C rt, 1 h (81%)

Fig. 19b: Reagents and conditions: (i) pent-2-ynoic acid (for compounds 5 and 8, 48% and 40%, respectively) or es-2-ynoic acid (for compounds 6 and 9, 42% and 11%, respectively) or phenyl propionic acid (for compounds 7 and 10, 40% and 34%, respectively), DCC, DMAP, CH2Cl2/DMF (10:1), rt, 4 h; (ii) PtCl4, 1,4-dioxane/1,2-dicloroethane (1:1), reflux, 5 h (55%, 16% and 62%, for 10, 11 and 13, respectively)
Synthetic strategy for anti-inflammatory agent synthesis
Huajun Zhao et al. synthesized and 4-indole-2-arylaminopyrimidine derivatives as anti-inflammatory agents for acute lung injury [31]. Compounds 6c and six h showed superior activity, and the inhibition rate of IL-6 and IL-8 release ranged from 62% to 77% and from 65% to 72%, respectively. The infiltration of inflammatory cells into lung tissue was extensively reduced by using compound 6h (20 mg/kg) in the ALI mice model. In addition, the inflammatory response was inhibited by using compound 6h through inhibiting phosphorylation of p-38 and ERK in the MAPK signalling pathway, which resulted in a protective effect on ALI. The synthesized six h showed good anti-inflammatory activity in vitro and in vivo.

Fig. 20: Synthetic route of 4-indolyl-2-arylaminopyrimidine derivatives, Reagents and conditions: (a) AlCl3, DME, 80 °C; (b) p-TsOH•H2O, 1,4-dioxane, 105 °C; (c) Fe, NH4Cl, EtOH/H2O, 100 °C; (d) various secondary amines, K2CO3, DMSO, 90 °C; (e) EtOH/HCl, r. t.; (f) various acyl chlorides, DCM, 0 °C-r. t.; (g) NaN3, DMF, 90 °C
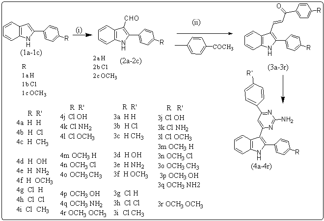
Rajashree S Chavan et al. synthesized some novel indole derivatives and evaluated them for analgesic and anti-inflammatory activities [32]. Various derivatives of 3-(2-aminopyridine-4-yl) indoles viz. 4-(4-substituted phenyl)-6-(2-(4-substituted phenyl)-1H-indol-3-yl) pyrimidine-2-amine (4a-4r) were synthesized by cyclization of (3-(4-substituted phenyl)-1-(2-(4-substituted phenyl)-1H-indol-3-yl) prop-2-en-1-one) of indole with guanidine hydrochloride in the presence of sodium isopropoxide.

Fig. 21: Synthesis of the pyrimidines; Reagent and conditions: (i) anhydrous DMF, POCl3; (ii) piperidine, ethylene glycol, reflux; (iii) guanidine HCl, Sodium isopropoxide, reflux
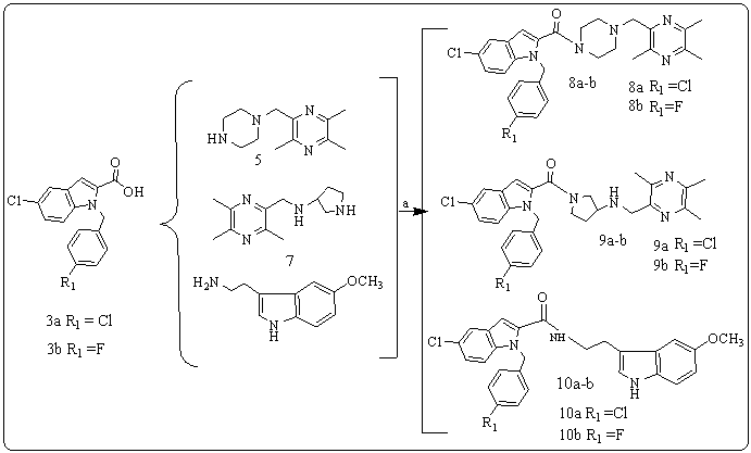
Jiaming Li et al. synthesized novel indole-2-amide and evaluated it as an anti-inflammatory agent with dual inhibition of COX and 5-LOX [33]. Compounds 8a, 10b, 12h, and 12l showed marked anti-inflammatory activity in 2, 4-Dinitrofluorobenzenethe (DNFB)-induced mice auricle edema model. Further, compounds 8a, 10b, and 12h exhibited potential in vitro COX-2 inhibitory activity (IC50 ¼ 21.86, 23.3, and 23.21 nM, respectively), while the reference drug celecoxib was 11.20 nM. The most promising compound, 10b was, exhibited the highest selectivity for COX-2 (selectivity index (COX-1/COX-2) ¼ 17.45) and moderate 5-LOX inhibitory activity (IC50 ¼ 66 nM), which comparable to positive controlled zileuton (IC50 ¼ 38.91 nM). In addition, the test results reveal that compounds 10b and 12h had no significant cytotoxic activity on normal cells (RAW264.7). Further, at the active sites of the COX-1 and COX-2 co-crystals, 3b and 4l showed higher binding forces in the molecular docking study, which is constant with the results of in vitro experiments. These results confirmed that these compounds had the dual inhibitory activity of COX/5-LOX, providing clues for further searching for safer and more effective anti-inflammatory drugs.

Fig. 22a: Synthetic pathways for compounds 1-3; Reagents and conditions: (a) SOCl2, Methanol, 75 °C; (b) Appropriate benzyl, NaH, DMF, rt; (c) NaOH, alcohol, 75 °C

Fig. 22b: Synthetic pathways for compounds 5-7; Reagents and conditions: (a) piperazine, CH2Cl2, rt; (b) 1-Boc-3-amino pyrrolidine, THF, reflux; (c) TFA, CH2Cl2, rt

Fig. 22c: Synthetic pathway for compounds 8a-b, 9a-b, 10a-b; Reagents and conditions: (a) EDCI, HOBT, TEA, DMF, rt

Fig. 22d: Synthetic pathway for compounds 12a-n, Reagents and conditions: (a) EDCI, HOBT, TEA, DMF, rt
Konstantin A. Kochetkov et al. synthesized new physiologically active (2-oxoimidazolidin-5-yl) indoles [34]. Boron trifluoride-catalyzed amido alkylation of indole derivatives with 5-hydroxy-1-phenylimidozolidin-2-one affords new biheterocycles with a direct C–C bond. Among them, 3-or 2-(2-oxoimidazolidin-5-yl) indoles manifest anti-inflammatory activity with relatively low toxicity.

Fig. 23: Reagents and conditions: i, LiAlH4, THF, 20 °C; ii, BF3·Et2O, THF, 20 °C
Andrew B. Hughes et al. synthesized indole glucosinolates and evaluated them as having anti-inflammatory activity [35]. The nitronate and nitro vinyl methods to synthesize indole glucosinolates (GLs) have been investigated. The results were applied to generally the most prevalent natural indole glucosinolates to synthesize 4-methoxyglucobrassicin (MGB) and neo-glucobrassicin (NGB) in moderate overall yield for the first time. The anti-inflammatory activity of the synthetic indole GLs was determined by inhibition of TNF-a secretion in LPS-stimulated THP-1 cells. The data explain that glucobrassicin (GB) exhibited higher activity than another synthetic indolyl GLs.

Fig. 24a: Synthesis of 1-methoxyindole-3-carbaldehyde 1 following Somei’s method

Fig. 24b: Synthesis of 3-(nitroethyl)indoles

Fig. 24c: Coupling of 14 with 3-(nitrovinyl)indoles

Fig. 24d: Sulfation and de-O-acetylation
The literature reveals that indole and its derivatives has diverse biological potential, and the easy synthetic routes for synthesis have taken the attention of chemists, pharmacologists and researchers. Indole and its derivatives having anticancer and anticonvulsant activities are the most encouraging activities for pharmacists. By the present scenario, it can be concluded that indole and its derivatives have great potential, which remains to be disclosed till date and this literature helps the new researcher to find out new derivatives because of having details about experimental data.
Nil
All the authors have contributed equally.
Declared none
Praveen C, Ayyanar A, Perumal PT. Practical synthesis, anticonvulsant, and antimicrobial activity of N-allyl and N-propargyl di(indolyl)indolin-2-ones. Bioorg Med Chem Lett. 2011;21(13):4072-7. doi: 10.1016/j.bmcl.2011.04.117, PMID 21621411.
Dousson C, Alexandre FR, Amador A, Bonaric S, Bot S, Caillet C. Discovery of the aryl-phospho-indole IDX899, a highly potent anti-HIV non-nucleoside reverse transcriptase inhibitor. J Med Chem. 2016;59(5):1891-8. doi: 10.1021/acs.jmedchem.5b01430, PMID 26804933.
Stec J, Onajole OK, Lun S, Guo H, Merenbloom B, Vistoli G. Indole-2-carboxamide-based MmpL3 inhibitors show exceptional antitubercular activity in an animal model of tuberculosis infection. J Med Chem. 2016;59(13):6232-47. doi: 10.1021/acs.jmedchem.6b00415, PMID 27275668.
Nomura S, Yamamoto Y, Matsumura Y, Ohba K, Sakamaki S, Kimata H. Novel indole-N-glucoside, TA-1887 as a sodium glucose cotransporter 2 inhibitor for the treatment of type 2 diabetes. ACS Med Chem Lett. 2014;5(1):51-5. doi: 10.1021/ml400339b, PMID 24900773.
Yadav RR, Khan SI, Singh S, Khan IA, Vishwakarma RA, Bharate SB. Synthesis, antimalarial and antitubercular activities of meridianin derivatives. Eur J Med Chem. 2015;98:160-9. doi: 10.1016/j.ejmech.2015.05.020, PMID 26005918.
Gomha SM, Riyadh SM. Synthesis under microwave irradiation of [1,2,4]triazolo[3,4-b] [1,3,4]thiadiazoles and other diazoles bearing indole moieties and their antimicrobial evaluation. Molecules. 2011;16(10):8244-56. doi: 10.3390/molecules16108244, PMID 21959297.
Samosorn S, Tanwirat B, Muhamad N, Casadei G, Tomkiewicz D, Lewis K. Antibacterial activity of berberine-Nor A pump inhibitor hybrids with a methylene ether linking group. Bioorg Med Chem. 2009;17(11):3866-72. doi: 10.1016/j.bmc.2009.04.028, PMID 19419877.
Oliva B, Miller K, Caggiano N, O’Neill AJ, Cuny GD, Hoemann MZ. Biological properties of novel antistaphylococcal quinoline-indole agents. Antimicrob Agents Chemother. 2003;47(2):458-66. doi: 10.1128/AAC.47.2.458-466.2003, PMID 12543644.
Biswal S, Sahoo U, Sethy S, Kumar H, Banerjee M. Indole: the molecule of diverse biological activities. Asian J Pharm Clin Res. 2012;5(1):1-6.
Prudhomme M. Biological targets of antitumor indolocarbazoles bearing a sugar moiety. Curr Med Chem Anticancer Agents. 2004;4(6):509-21. doi: 10.2174/1568011043352650, PMID 15579016.
Brancale A, Silvestri R. Indole, a core nucleus for potent inhibitors of tubulin polymerization. Med Res Rev. 2007;27(2):209-38. doi: 10.1002/med.20080, PMID 16788980.
Weng JR, Tsai CH, Kulp SK, Chen CS. Indole-3-carbinol as a chemopreventive and anti-cancer agent. Cancer Lett. 2008;262(2):153-63. doi: 10.1016/j.canlet.2008.01.033, PMID 18314259.
Dixit A, Pathak D, Sharma G. Synthesis and biological evaluation of novel indole derivatives for anticancer and antitubercular activity. Asian J Pharm Res Dev. 2014:141-5.
Estevao MS, Carvalho LC, Ribeiro D, Couto D, Freitas M, Gomes A. Antioxidant activity of unexplored indole derivatives: synthesis and screening. Eur J Med Chem. 2010;45(11):4869-78. doi: 10.1016/j.ejmech.2010.07.059, PMID 20727623.
Zhang MZ, Jia CY, Gu YC, Mulholland N, Turner S, Beattie D. Synthesis and antifungal activity of novel indole-replaced streptochlorin analogues. Eur J Med Chem. 2017;126:669-74. doi: 10.1016/j.ejmech.2016.12.001, PMID 27936445.
Verma M, Tripathi M, Saxena A, Shanker K. Antiinflammatory activity of novel indole derivatives. Eur J Med Chem. 1994;29(12):941-6. doi: 10.1016/0223-5234(94)90193-7.
Nath R, Shahar Yar MS, Pathania S, Grover G, Debnath B, Akhtar MJ. Synthesis and anticonvulsant evaluation of indoline derivatives of functionalized aryl oxadiazole amine and benzothiazole acetamide. J Mol Struct. 2021;1228:129742. doi: 10.1016/j.molstruc.2020.129742.
Angelova VT, Rangelov M, Todorova N, Dangalov M, Andreeva Gateva P, Kondeva Burdina M. Discovery of novel indole-based aroyl hydrazones as anticonvulsants: pharmacophore-based design. Bioorg Chem. 2019;90:103028. doi: 10.1016/j.bioorg.2019.103028, PMID 31220672.
Rinderspacher A, Gribble GW. The generation of indole-2,3-quinodimethanes from the deamination of 1,2,3,4-Tetrahydropyrrolo[3,4-b]indoles. Molecules. 2020;25(2):261. doi: 10.3390/molecules25020261, PMID 31936442.
Swathi K, Sarangapani M. Evaluation of the anti-epileptic effect of new indole derivatives by estimation of biogenic amines concentrations in rat brain. Genes Dis. 2016;2017:39-48.
Kerzare DR, Menghani SS, Rarokar NR, Khedekar PB. Development of novel indole‐linked pyrazoles as anticonvulsant agents: A molecular hybridization approach. Arch Pharm. 2021;354(1):e2000100. doi: 10.1002/ardp.202000100, PMID 32909304.
Husain A, Ahmad A, Al-Abbasi F, Khan S. Synthesis and anticonvulsant activity of indolo-ımidazolone hybrid molecules. J Org Chem. 2015;1:23-8.
Emami S, Valipour M, Kazemi Komishani FK, Sadati Ashrafi F, Rasoulian M, Ghasemian M. Synthesis, in silico, in vitro and in vivo evaluations of isatin aroylhydrazones as highly potent anticonvulsant agents. Bioorg Chem. 2021;112:104943. doi: 10.1016/j.bioorg.2021.104943, PMID 33964578.
Ma J, Li J, Guo P, Liao X, Cheng H. Synthesis and antitumor activity of novel indole derivatives containing α-aminophosphonate moieties. Arabian Journal of Chemistry. 2021;14(8):103256. doi: 10.1016/j.arabjc.2021.103256.
He ZX, Huo JL, Gong YP, An Q, Zhang X, Qiao H. Design, synthesis and biological evaluation of novel thiosemicarbazone-indole derivatives targeting prostate cancer cells. Eur J Med Chem. 2021;210:112970. doi: 10.1016/j.ejmech.2020.112970, PMID 33153765.
Eldehna WM, Abo-Ashour MF, Al-Warhi T, Al-Rashood ST, Alharbi A, Ayyad RR. Development of 2-oxindolin-3-ylidene-indole-3-carbohydrazide derivatives as novel apoptotic and anti-proliferative agents towards colorectal cancer cells. J Enzy Inhib Med Chem. 2021;36(1):320-9. doi: 10.1080/14756366.2020.1862100.
Karadayi FZ, Yaman M, Kisla MM, Keskus AG, Konu O, Ates-Alagoz Z. Design, synthesis and anticancer/antiestrogenic activities of novel indole-benzimidazoles. Bioorg Chem. 2020;100:103929. doi: 10.1016/j.bioorg.2020.103929, PMID 32464404.
Youssif BGM, Abdelrahman MH, Abdelazeem AH, Abdelgawad MA, Ibrahim HM, Salem OIA. Design, synthesis, mechanistic and histopathological studies of small molecules of novel indole-2-carboxamides and pyrazino[1,2-a]indol-1(2H)-ones as potential anticancer agents effecting the reactive oxygen species production. Eur J Med Chem. 2018;146:260-73. doi: 10.1016/j.ejmech.2018.01.042, PMID 29407956.
Fortes MP, da Silva PB, Da Silva TG, Kaufman TS, Militao GC, Silveira CC. Synthesis and preliminary evaluation of 3-thiocyanate-1H-indoles as potential anticancer agents. Eur J Med Chem. 2016;118:21-6. doi: 10.1016/j.ejmech.2016.04.039, PMID 27116711.
Iacopetta D, Catalano A, Ceramella J, Barbarossa A, Carocci A, Fazio A. Synthesis, anticancer and antioxidant properties of new indole and pyranoindole derivatives. Bioorg Chem. 2020;105:104440. doi: 10.1016/j.bioorg.2020.104440, PMID 33217633.
Chen T, Wei Y, Zhu G, Zhao H, Zhang X. Design, synthesis and structure-activity relationship studies of 4-indole-2-arylaminopyrimidine derivatives as anti-inflammatory agents for acute lung injury. Eur J Med Chem. 2021;225:113766. doi: 10.1016/j.ejmech.2021.113766, PMID 34425313.
Chavan RS, More HN, Bhosale AV. Synthesis, characterization and evaluation of analgesic and anti-inflammatory activities of some novel indoles. Trop J Pharm Res. 2011;10(4):463-73. doi: 10.4314/tjpr.v10i4.12.
Huang Y, Zhang B, Li J, Liu H, Zhang Y, Yang Z. Design, synthesis, biological evaluation and docking study of novel indole-2-amide as anti-inflammatory agents with dual inhibition of COX and 5-LOX. Eur J Med Chem. 2019;180:41-50. doi: 10.1016/j.ejmech.2019.07.004, PMID 31299586.
Sviridova LA, Protopopova PS, Akimov MG, Dudina MS, Melnikova EK, Kochetkov KA. Synthesis of new physiologically active (2-oxoimidazolidin-5-yl)indoles. Mendeleev Commun. 2020;30(3):347-9. doi: 10.1016/j.mencom.2020.05.029.
Vo QV, Trenerry C, Rochfort S, Wadeson J, Leyton C, Hughes AB. Synthesis and anti-inflammatory activity of indole glucosinolates. Bioorg Med Chem. 2014;22(2):856-64. doi: 10.1016/j.bmc.2013.12.003, PMID 24360830.