Dr Rafiq Zakaria Campus, Y. B. Chavan College of Pharmacy, Aurangabad 431001 (MS) India
Email: jnsangshetti@rediffmail.com
Received: 02 Jan 2015 Revised and Accepted: 26 Jan 2015
ABSTRACT
Objective: The aim of the present work was to design and synthesize hybrid quinoline-4-yl-oxadiazoles/oxathiadiazole derivatives and evaluate them for in vitro antifungal activity against human disease causing pathogens.
Methods: The compounds 5(a-d), 6(a-d) and 7(a-d) were efficiently synthesized in good yields. The synthesized compounds were characterized using 1H NMR, 13C NMR and Mass spectra. The synthesized compounds were screened for in vitro antifungal activity and minimum inhibitory concentration (MIC) values were determined using standard agar method. Molecular docking study was performed against fungal enzyme P450 cytochrome lanosterol 14α-demethylase using V Life MDS 4.3 software.
Results: The synthesized compounds had shown good to moderate in vitro antifungal activity. The compound 6a (MIC range = 15-25 µg/ml) from 1,2,3,5-oxathiadiazole-2-oxide series showed most potent activity amongst the synthesized compounds when compared with standard clotrimazole (MIC range = 12.5-25 µg/ml). The molecular docking study of synthesized compounds showed good binding interactions against active site of fungal enzyme P450 cytochrome lanosterol 14α-demethylase.
Conclusion: The results of in vitro antifungal activity and molecular docking study revealed that the synthesized compounds have potential antifungal activity and can be further optimized and developed as a lead compound.
Keywords: Quinoline, Oxadiazole, Oxathiadiazole, Antifungal activity, Molecular docking study, P450 cytochrome lanosterol 14α-demethylase.
INTRODUCTION
The resolute appearances of fungal infections followed by the expansion of several resistant fungal strains against clinically used antifungal arsenal have urged medicinal communities to look for new incorporations into the current armamentarium. Severe chances of fungal infections among immunosuppressive individuals due to the HIV infection, cancer treatments and organ transplantations [1-3] actuated additional urgency to generate new antifungal agents. Availability of the few classes of antifungal drugs restricts the choice of implementing doses to the patients, and a long term administration of these drugs is progressively associating with multi-drug resistant emergence [4]. Fluconazole, clotrimazole, ketoconazole, itraconazole, posaconazole and some other azole class of drugs are currently used as antifungal management [5]. However, their treatment failures were witnessed by the medical communities [6]. Therefore, development of new chemical scaffolds with novel structural features will be the remarkable breakthroughs.

Fig. 1: Design of hybrid quinoline-4-yl-oxadiazoles/oxathiadiazoles having similar structural configuration as that of clotrimazole
Quinoline is versatile nucleus and reported for wide range of biological activities. Quinoline derivatives have been also reported for antifungal activity [7-10]. Other heterocycles like oxadiazole [11, 12] and oxathiadiazole [13] have been also explored for antifungal activity. Based on these reports, we have coupled the quinoline nucleus with oxadiazole or oxathiadiazole rings to design novel hybrid quinoline-4-yl-oxadiazoles/oxathiadiazole derivatives. The novel compounds were designed in a way that the compounds should have similar structural configuration with that of clotrimazole (fig. 1).
Based on above facts and in continuation of our research for identification of bioactive agents [14, 15] in the present study, we have designed and synthesized hybrid quinoline-4-yl-oxadiazoles/oxathiadiazole derivatives. The novel synthesized compounds were evaluated for in vitro antifungal activity. We have also performed the molecular docking study against fungal enzyme P450 cytochrome lanosterol 14α-demethylase.
MATERIALS AND METHODS
Chemicals used were purchased from commercial sources and used without further purification. The melting points were determined in open capillary tubes and are uncorrected. The homogeneity of the compounds was monitored by ascending thin layer chromatography (TLC) on silica gel-G (Merck) coated aluminum plates, visualized by iodine vapor. 1H NMR and 13C NMR spectra were recorded on a 400 MHz Varian-Gemini spectrometer and chemical shift reported in parts per million (ppm), using tetramethylsilane (TMS) as internal standard. Mass spectra were taken with Micromass-QUATTRO-II of WATER mass spectrometer.
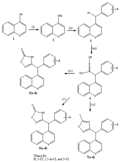
Synthesis of N'-hydroxy-2-phenyl-2-(quinolin-4-yl) acetimida -mides (4)
With the view of objectives, we have started synthesis with 4-hydroxyl quinoline (1) as a starting material, which is available commercially. This 4-hydroxyl quinoline has been methylated using dimethyl sulphate to get 4-methoxy quinoline (2). This 4-methoxy quinoline compound on treatment with substituted phenylacetonitrile in presence of sodium hydride gave nitrile compound (3). The nitrile compound (3) on treatment with hydroxylamine hydrochloride gave amidoxime compound (4) (Scheme 1) [16].
Synthesis of 3-(phenyl(quinolin-4-yl)methyl)-1,2,4-oxadiazol-5(4H)-ones 5(a-d)
Amidoxime compounds (4) (0.1 mmol) were refluxed in presence of carbonyldiimidazole (CDI) (0.1 mmol) using tetrahydrofuran (15 mL) as solvent for about 10-11 h. The completions of reactions were monitored by thin layer chromatography (TLC). After completion of reactions, the reaction mixtures were concentrated to get desired compounds 5(a-d). The solid products formed were filtered, dried and recrystallized from ethanol.
3-(Phenyl(quinolin-4-yl)methyl)-1,2,4-oxadiazol-5(4H)-one (5a)
1H-NMR (400 MHz, DMSO-d6) δ ppm: 4.30 (s, 1H, CH), 7.29-8.60 (m, 11H, Aromatic), 8.50 (s, IH, NH); 13C-NMR (100 MHz, DMSO-d6) δ ppm: 56.52, 122.94, 124.01, 125.26, 126.90, 127.75, 128.92, 129.07, 131.25, 135.73, 140.70, 148.84, 152.55, 158.30, 166.45; ES-MS m/z: 304.34 [M+H+].
3-((3-Chlorophenyl)(quinolin-4-yl)methyl)-1,2,4-oxadiazol-5(4H)-one (5b)
1H-NMR (400 MHz, DMSO-d6) δ ppm: 4.60 (s, 1H, CH), 7.07-8.69 (m, 10H, Aromatic), 8.62 (s, IH, NH); 13C-NMR (100 MHz, DMSO-d6) δ ppm: 58.10, 122.33, 124.82, 125.91, 126.71, 127.15, 127.96, 128.79, 129.40, 132.21, 134.87, 136.54, 143.72, 149.18, 153.42, 160.20, 165.25; ES-MS m/z: 338.85 [M+H+].
3-((2,5-Dichlorophenyl)(quinolin-4-yl)methyl)-1,2,4-oxadiazol-5(4H)-one (5c)
1H-NMR (400 MHz, DMSO-d6) δ ppm: 4.72 (s, 1H, CH), 7.33-8.65 (m, 9H, Aromatic), 8.53 (s, IH, NH); 13C-NMR (100 MHz, DMSO-d6) δ ppm: 52.15, 122.48, 125.18, 126.13, 127.21, 128.10, 129.15, 130.12, 131.02, 131.98, 132.84, 142.52, 145.23, 148.57, 150.28, 159.35, 167.42; ES-MS m/z: 373.98 [M+H+].
3-((2-Chlorophenyl)(quinolin-4-yl)methyl)-1,2,4-oxadiazol-5(4H)-one (5d)
1H-NMR (400 MHz, DMSO-d6) δ ppm: 4.51 (s, 1H, CH), 7.19-8.53 (m, 10H, Aromatic), 8.59 (s, IH, NH); 13C-NMR (100 MHz, DMSO-d6) δ ppm: 55.80, 122.45, 124.71, 125.89, 126.72, 127.58, 127.81, 128.65, 129.89, 131.42, 141.53, 144.84, 149.62, 150.42, 159.53, 165.13; ES-MS m/z: 338.69 [M+H+].
Synthesis of 3-(phenyl(quinolin-4-yl)methyl)-1,2,3,5-oxathia -diazole-2(4H)-oxides 6(a-d)
The mixture of amidoxime compounds (4) (0.1 mmol), triethylamine (3 equivalents) and SOCl2 (10 equivalents) were stirred in dichloromethane (DCM) (15 mL) at ice-cold conditions (0-5 oC) for about 1.5-2 h. The completions of reactions were monitored by thin layer chromatography (TLC). After completion of reactions, the solid products formed were filtered, dried and recrystallized from ethanol.
3-(Phenyl(quinolin-4-yl)methyl)-1,2,3,5-oxathiadiazole-2(4H)-oxide (6a)
1H-NMR (400 MHz, DMSO-d6) δ ppm: 2.15 (s, 1H, NH), 4.33 (s, 1H, CH), 7.20-8.40 (m, 11H, Aromatic); 13C-NMR (100 MHz, DMSO-d6) δ ppm: 55.15, 122.99, 124.35, 125.29, 126.68, 127.50, 128.86, 129.10, 129.92, 131.15, 135.25, 141.84, 148.18, 150.54, 166.98; ES-MS m/z: 324.41 [M+H+].
3-((3-Chlorophenyl)(quinolin-4-yl)methyl)-1,2,3,5-oxathiadiazole-2(4H)-oxide 6(b)
1H-NMR (400 MHz, DMSO-d6) δ ppm: 2.54 (s, 1H, NH), 4.13 (s, 1H, CH), 7.21-8.57 (m, 10H, Aromatic); 13C-NMR (100 MHz, DMSO-d6) δ ppm: 55.60, 122.40, 124.60, 125.13, 126.45, 127.29, 127.90, 128.50, 129.65, 130.05, 134.53, 136.60, 140.58, 148.20, 150.92, 166.87; ES-MS m/z: 358.45 [M+H+].
3-((2,5-Dichlorophenyl)(quinolin-4-yl)methyl)-1,2,3,5-oxathia -diazole-2(4H)-oxide 6(c)
1H-NMR (400 MHz, DMSO-d6) δ ppm: 2.58 (s, 1H, NH), 4.85 (s, 1H, CH), 7.30-8.40 (m, 9H, Aromatic); 13C-NMR (100 MHz, DMSO-d6) δ ppm: 50.40, 122.25, 124.30, 126.75, 127.19, 127.75, 129.28, 129.95, 130.02, 130.98, 132.54, 141.55, 146.25, 148.15, 150.45, 166.49; ES-MS m/z: 393.73 [M+H+].
3-((2-Chlorophenyl)(quinolin-4-yl)methyl)-1,2,3,5-oxathiadiazole-2(4H)-oxide 6(d)
1H-NMR (400 MHz, DMSO-d6) δ ppm: 2.15 (s, 1H, NH), 4.71 (s, 1H, CH), 7.15-8.75 (m, 10H, Aromatic); 13C-NMR (100 MHz, DMSO-d6) δ ppm: 51.08, 121.95, 124.35, 126.05, 126.79, 127.12, 127.98, 128.75, 129.98, 131.79, 141.75, 144.59, 148.02, 150.75, 167.03; ES-MS m/z: 358.94 [M+H+].
Synthesis of 5-methyl-3-(phenyl(quinolin-4-yl)methyl)-1,2,4-oxadiazoles 7(a-d)
Amidoxime compounds (4) (0.1 mmol) were refluxed in presence of acetic anhydride (15 mL) for about 9-11 h. The completions of reactions were monitored by thin layer chromatography (TLC). After completion of reactions, the reaction mixtures were concentrated to get desired compounds 7(a-d). The solid products formed were filtered, dried and recrystallized from ethanol.
5-Methyl-3-(phenyl(quinolin-4-yl)methyl)-1,2,4-oxadiazole (7a)
1H-NMR (400 MHz, DMSO-d6) δ ppm: 2.59 (s, 3H, CH3), 5.30 (s, 1H, CH), 7.25-8.55 (m, 11H, Aromatic); 13C-NMR (100 MHz, DMSO-d6) δ ppm: 15.53, 44.52, 122.15, 124.53, 125.78, 126.68, 127.39, 128.24, 129.03, 129.84, 138.70, 140.98, 148.76, 150.86, 159.55, 176.67; ES-MS m/z: 302.59 [M+H+].
3-((3-Chlorophenyl)(quinolin-4-yl)methyl)-5-methyl-1,2,4-oxadiazole (7b)
1H-NMR (400 MHz, DMSO-d6) δ ppm: 2.47 (s, 3H, CH3), 5.63 (s, 1H, CH), 7.11-8.75 (m, 10H, Aromatic); 13C-NMR (100 MHz, DMSO-d6) δ ppm: 15.89, 44.31, 122.56, 124.54, 125.79, 126.89, 127.09, 127.88, 128.60, 129.39, 130.91, 134.52, 138.06, 142.18, 148.93, 151.76, 160.84, 175.53; ES-MS m/z: 336.80 [M+H+].
3-((2,5-Dichlorophenyl)(quinolin-4-yl)methyl)-5-methyl-1,2,4-oxadiazole (7c)
1H-NMR (400 MHz, DMSO-d6) δ ppm: 2.48 (s, 3H, CH3), 5.47 (s, 1H, CH), 7.39-8.33 (m, 9H, Aromatic); 13C-NMR (100 MHz, DMSO-d6) δ ppm: 17.52, 39.21, 122.13, 124.11, 126.39, 127.05, 127.85, 128.10, 129.32, 130.15, 130.85, 132.36, 132.75, 139.50, 141.47, 148.15, 150.87, 159.78, 177.54; ES-MS m/z: 371.59 [M+H+].
3-((2-Chlorophenyl)(quinolin-4-yl)methyl)-5-methyl-1,2,4-oxa -diazole (7d)
1H-NMR (400 MHz, DMSO-d6) δ ppm: 2.35 (s, 3H, CH3), 5.55 (s, 1H, CH), 7.09-8.50 (m, 10H, Aromatic); 13C-NMR (100 MHz, DMSO-d6) δ ppm: 16.42, 44.40, 122.05, 124.25, 125.79, 126.59, 127.05, 127.93, 128.09, 129.53, 130.49, 135.59, 139.48, 143.25, 149.11, 152.55, 159.40, 178.23; ES-MS m/z: 336.55 [M+H+].
In vitro antifungal activity
All the synthesized compounds were screened for in-vitro antifungal activity. The antifungal activity was evaluated against five human pathogenic fungal strains such as C. albicans (NCIM3471), F. oxysporum (NCIM1332), A. flavus (NCIM539), A. niger (NCIM1196) and C. neoformans (NCIM576) which are often encountered clinically, and were compared with standard clotrimazole. Minimum inhibitory concentration (MIC) values were determined using standard agar method [17].
Molecular docking study
The 3D model structure of cytochrome P450 lanosterol 14α-demethylase of C. albicans was built using homology modeling. Amino acid sequence of enzyme was obtained from the Universal Protein Resource (http: //www. uniprot. org/) (Accession Code: P10613) and sequence homologous was obtained from Protein Data Bank (PDB) using Blast search. Based on the result of blast search, we used the crystal structure of human lanosterol 14α-demethylase (CYP51) with azole as a template for homology modeling (PDB ID: 3LD6). The VLifeMDS 4.3 ProModel was used for modeling of the 3D structure of protein based on the amino acid sequences of a close homologue. Alignment of amino acid sequence of CA-CYP51 (P10613) and human CYP51 (3LD6_B) is shown in fig. 2. The Blosum-62 matrix was used with a gap penalty of 1. The model was then energy minimized using the MMFF94 force field [18]. Manual inspection was made to ensure the conserved motifs and loops were correctly aligned. The quality of generated C. albicans lanosterol 14α-demethylase model was assessed by using the well-validated program likes PROCHECK [19] and its structural validation is shown in fig. 3. The further structural superimposition was performed to know the structural coordinate of target protein and RMSD value was found within standard range of 0.997607 Å. The ProModel was used to identify all the cavities present in the protein and ranks them based on their size.

Fig. 2: Alignment of amino acid sequence of CA-CYP51 (P10613) and human CYP51 (3LD6_B)

Fig. 3: Ramchandran Plot for structural validation
The synthesized compounds 5(a-d), 6(a-d) and 7(a-d), and standard drug clotrimazole were docked against homology built cytochrome P450 lanosterol 14α-demethylase of C. albicans. The 2D structures of synthesized compounds and standard drugs were drawn using VLife2Draw 1.0 and converted to 3D confirmations. The conformers thus obtained, were optimized (MMFF) till they reached a RMS gradient energy of 0.001 kcal/mol. Å. The genetic algorithm (GA) docking of the conformers of each molecule, into the lanosterol 14α-demethylase (CYP51) modeled protein was done by positioning with the active site of cavity 1. The complexes were then minimized using the MMFF method, till they reached an RMS gradient of 0.1 kcal/mol/. Å. The above procedures were performed using the VLife MDS 4.3 package [20]. The binding energy in kcal/mol or the ligand–receptor interaction energy obtained after docking the ligands into the enzyme active site can be defined as:
E = InterEq + InterEvdW + IntraEq + IntravdW + IntraEtor
Where,
InterEq: Intermolecular electrostatic energy of complex,
InterEvdW: Intermolecular vdW energy of complex,
IntraEq: Intramolecular electrostatic energy of ligand,
IntraEvdW: Intramolecular vdW energy of ligand and
IntraEtor: Intramolecular torsion energy of ligand.
RESULTS AND DISCUSSION
Chemistry
The synthetic protocols employed for the synthesis of hybrid quinoline-4-yl-oxadiazoles/oxathiadiazole derivatives 5(a-d), 6(a-d) and 7(a-d) are presented in Scheme 1. The purity of the synthesized compounds was checked by TLC and melting points were determined in open capillary tubes melting point apparatus and are uncorrected. The physical data of the synthesized compounds are presented in table 1. The data obtained from 1H NMR, 13C NMR and Mass spectra confirmed the proposed structures. The products were obtained in good yield (88-91 %).
Scheme 1: Synthesis of titled compounds. Reagents and conditions: (i) Dimethyl sulphate, reflux; (ii) Substituted phenylacetonitrile, NaH (60% in mineral oil), THF, 70 °C, 50 min; (iii) Hydroxylamine hydrochloride, Sodium bicarbonate, methanol, reflux, 12 h; (iv) CDI, Tetrahydrofuran, reflux, 10-11 h; (v)) DCM, TEA (3 equivalent), SOCl2 (10 equivalent), 0-5 oC, 1.5-2 h; (vi) Acetic anhydride, reflux, 9-11 h
Table 1: Physical data for synthesized compounds 5(a-d), 6(a-d) and 7(a-d).
| Entry | R | Mol. formula | Time | Yield (%) | Melting point (0C) | Rf |
| 5a | H | C18H13N3O2 | 10 h | 91 | 128-130 | 0.60 |
| 5b | 3-Cl | C18H12ClN3O2 | 11 h | 90 | 164-166 | 0.62 |
| 5c | 2,5-di-Cl | C18H11Cl2N3O2 | 11 h | 91 | 168-170 | 0.71 |
| 5d | 2-Cl | C18H12ClN3O2 | 10 h | 90 | 158-160 | 0.58 |
| 6a | H | C17H13N3O2S | 2 h | 88 | 138-140 | 0.55 |
| 6b | 3-Cl | C17H12ClN3O2S | 1.5 h | 90 | 132-134 | 0.63 |
| 6c | 2,5-di-Cl | C17H11Cl2N3O2S | 2 h | 91 | 190-192 | 0.65 |
| 6d | 2-Cl | C17H12ClN3O2S | 2 h | 90 | 202-204 | 0.58 |
| 7a | H | C19H15N3O | 11 h | 88 | 194-196 | 0.50 |
| 7b | 3-Cl | C19H14ClN3O | 9.5 h | 91 | 144-146 | 0.55 |
| 7c | 2,5-di-Cl | C19H13Cl2N3O | 9 h | 90 | 156-158 | 0.62 |
| 7d | 2-Cl | C19H14ClN3O | 10 h | 88 | 150-152 | 0.65 |
In vitro antifungal activity
The synthesized compounds were screened for in vitro antifungal activity. The data obtained are presented in table 2. The results of in vitro antifungal activities showed that synthesized compounds have moderate to good antifungal activity. Comparison of antifungal activity of compounds with that of antifungal drug clotrimazole (MIC = 12.5 μg/ml), showed that compounds 5a (MIC = 30 μg/ml) and 6a (MIC = 25 μg/ml) had shown some significant antifungal profile against C. albicans. None of the synthesized compounds (MIC range = 25-90 μg/ml) had shown comparable antifungal activity with that of clotrimazole ((MIC = 12.5 μg/ml) against C. albicans. Compound 6a (MIC = 25 μg/ml) had shown equipotent activity and compound 7b had shown significant antifungal activity against F. oxysporum when compared with clotrimazole (MIC = 25 μg/ml).
Compound 5a (MIC = 12.5 μg/ml) was equipotent with that of clotrimazole (MIC = 12.5 μg/ml) against A. flavus. Compounds 5c (MIC = 30 μg/ml), 6a (MIC = 15 μg/ml) and 6b (MIC = 30 μg/ml) had shown moderate antifungal activity against A. flavus when compared with clotrimazole (MIC = 12.5 μg/ml). All the synthesized compounds (MIC range = 25-150 μg/ml) were found less active against A. niger when compared with clotrimazole (MIC = 12.5 μg/ml). Compounds 6a (MIC = 25 μg/ml) and 7c (MIC = 37.5 μg/ml) were found to have some significant activity against A. niger when compared with clotrimazole (MIC = 12.5 μg/ml). Compounds 6a and 7c (MIC = 25 μg/ml) were found to be equipotent when compared with clotrimazole (MIC = 25 μg/ml) against C. neoformans. Compound 6a (MIC range = 15-25 μg/ml) was found to be most active amongst synthesized compounds and had shown broad spectrum of antifungal activities.
Table 2: In vitro antifungal activity of synthesized compounds 5(a-d), 6(a-d) and 7(a-d).
Entry |
Minimum inhibitory concentration (MIC) values in μg/mla (Mean± SD b) |
||||
C. albicans |
F. oxysporum |
A. flavus |
A. niger |
C. neoformans |
|
5a |
30± 1.52 |
100± 6.13 |
12.5± 0.95 |
100± 8.75 |
150± 7.75 |
5b |
60± 3.75 |
100± 5.86 |
50± 2.15 |
100± 8.24 |
90± 6.35 |
5c |
50± 3.40 |
60± 3.82 |
30± 1.85 |
* |
* |
5d |
90± 4.36 |
100± 7.15 |
35± 1.94 |
47.5± 3.15 |
150± 8.50 |
6a |
25± 1.27 |
25± 1.47 |
15± 1.10 |
25± 1.45 |
25± 1.20 |
6b |
50± 2.59 |
60± 3.79 |
30± 2.14 |
* |
* |
6c |
90± 4.48 |
100± 8.14 |
35± 2.18 |
47.5± 3.19 |
150± 7.50 |
6d |
90± 5.24 |
* |
65± 3.56 |
* |
100± 5.54 |
7a |
50± 3.12 |
65± 4.15 |
50± 4.08 |
150± 9.47 |
70± 5.20 |
7b |
50± 2.87 |
30± 1.98 |
40± 3.23 |
40± 2.20 |
25± 1.29 |
7c |
60± 3.78 |
70± 4.86 |
45± 3.21 |
37.5± 2.15 |
40± 2.10 |
7d |
50±2.15 |
65± 4.13 |
50± 3.90 |
150± 8.75 |
70± 3.35 |
Clotrimazole |
12.5± 0.55 |
25± 1.45 |
12.5± 0.62 |
12.5± 0.35 |
25± 0.95 |
a Values are the average of three readings; b SD: Standard deviation; * No activity was observed up to 200 μg /ml


Fig. 4: Docking of compounds 5a, 6a, 7b and clotrimazole. Ligands are shown in red color. Hydrogen bonds are shown in green color. Hydrophobic bonds are shown in sky blue color
Structure-activity relationship of synthesized compounds 5(a-d), 6(a-d) and 7(a-d) revealed that scaffold containing quinoline and 1,2,4-oxadiazol-5-one/1,2,3,5-oxathiadiazole-2-oxide/1,2,4-oxadiazole rings had shown considerable antifungal activity. From 1,2,4-oxadiazol-5-one series 5(a-d), compound 5a bearing unsubstituted phenyl ring showed promising activity. Compounds 5b, 5c and 5d bearing chlorine atoms at phenyl ring showed decrease in antifungal activities. From 1,2,3,5-oxathiadiazole-2-oxide series 6(a-d), compound 6a bearing unsubstituted phenyl ring was found to be most active amongst the synthesized compounds. Substitution of chlorine atoms at phenyl ring (6b, 6c and 6d) led to decrease in antifungal activities. Compound 6d bearing 2-Cl at phenyl ring was found to be least active amongst the synthesized compounds. From 1,2,4-oxadiazole series, substitution of 3-Cl (7b) was most favorable for antifungal activities. Compound 7c bearing 2,5-di-Cl at phenyl ring had shown decrease in activity.
Molecular docking study
The synthesized compounds and standard drug (clotrimazole) were docked into the active site of cytochrome P450 lanosterol 14a-demethylase of C. albicans using VLifeMDS 4.3 software package to understand the binding interactions. The data obtained from docking study is presented in table 3. The docking results indicated that compounds held in the active pocket by forming the hydrophobic interactions with amino acid residues LYS156, TRP239, LEU310, ALA311, ILE377, MET378, ILE379, MET380, MET381, PHE442, GLY443, HIS447, CYS449, ILE450, and MET487. The compounds had shown hydrogen bonding interaction with amino acid residues TYR131, TYR145, MET378, ILE379, ARG382, PHE442, GLY443, ALA444, and CYS449. The compounds had shown good binding energy i. e. -78.37 to -54.76 kcal/mol. The binding interactions of compounds 5a, 6a and 7b (most active compounds from each series) and standard clotrimazole has been given in fig. 4. The compounds 5a (-72.43 kcal/mol), 6a (-78.37 kcal/mol) and 7b (-76.90 kcal/mol) had shown good binding energy. These compounds had fitted well into the hydrophobic pocket. On the basis of activity data and docking result, it was found that compound 5a, 6a and 7b had potential to inhibit cytochrome P450 lanosterol 14a-demethylase of C. albicans.
Table 3: Docking statics of synthesized compounds aga1inst lanosterol 14α-demethylase (CYP51) modeled protein
| Entry | Docking score | Hydrogen bonding interactions | Hydrophobic bonding interactions |
| 5a | -72.43 | 2 (MET378, ILE379) | 14 (ILE377, MET378, ILE379, MET487) |
| 5b | -62.30 | 2 (TYR 145) | 6 (LYS156, ILE377, HIS447) |
| 5c | -61.67 | 2 (TYR131) | 8 (ILE377, ILE379, MET381) |
| 5d | -66.96 | 1 (CYS449) | 6 (ALA311, ILE377, CYS449, ILE450) |
| 6a | -78.37 | 1 (TYR131) | 2 (ILE377) |
| 6b | -68.29 | 3 (TYR 131, ARG382) | 4 (ILE377, HIS447) |
| 6c | -65.07 | 0 | 8 (LEU310, ALA311, ILE377) |
| 6d | -68.06 | 2 (TYR145) | 4 (ILE377, MET380, HIS447) |
| 7a | -54.76 | 0 | 8 (ILE377, MET380, PHE442, CYS449) |
| 7b | -70.90 | 0 | 11 (TRP239, ILE377, MET381, MET487) |
| 7c | -64.22 | 3 (PHE442, GLY443, ALA444) | 7 (MET380, PHE442, GLY443, HIS447, CYS449) |
| 7d | -66.53 | 1 (ILE379) | 7 (ILE377, MET487, |
| Clotrimazole | -62.51 | 0 | 2 (ILE377) |
CONCLUSION
In conclusion, synthesis and antifungal activity of a novel hybrid quinoline-4-yl-oxadiazoles/oxathiadiazole derivatives 5(a-d), 6(a-d) and 7(a-d) have been presented. The compounds have been synthesized efficiently and well characterized using 1H NMR, 13C NMR and Mass spectra. The synthesized compounds have been screened for in vitro antifungal activities against human disease causing pathogens. The compounds had shown good to moderate antifungal activity. The compound 6a (MIC range = 15-25 µg/ml) from 1,2,3,5-oxathiadiazole-2-oxide series showed most potent activity amongst the synthesized compounds when compared with standard clotrimazole (MIC range = 12.5-25 µg/ml). The docking studies of synthesized compounds with lanosterol 14α-demethylase (CYP51) modeled protein showed good binding interactions and formed various hydrophobic interactions with active site residues. The results of in vitro antifungal activity and molecular docking study revealed that the synthesized compounds have potential antifungal activity and can be further optimized and developed as a lead compound.
ACKNOWLEDGMENT
The author JNS is grateful to University Grant Commission, New Delhi for the Major Research Project [F.39-175/2010 (SR)]. The authors are thankful to Mrs. Fatma Rafiq Zakaria, Chairman, Maulana Azad Educational Trust and Principal, Y. B. Chavan College of Pharmacy, Dr. Rafiq Zakaria Campus, Aurangabad 431001 (MS) India for providing the laboratory facility.
CONFLICT OF INTERESTS
The authors confirm that this article content has no conflicts of interest.
REFERENCES