Int J Pharm Pharm Sci, Vol 7, Issue 4, 27-38Review Article


A PHYTOCHEMICAL, ETHNOMEDICINAL AND PHARMACOLOGICAL REVIEW OF GENUS DIPTEROCARPUS

MUHAMMAD SHAHZAD ASLAM*, MUHAMMAD SYARHABIL AHMAD, AWANG SOH MAMAT

School of Bioprocess Engineering, University Malaysia Perlis, Kompleks Pusat Pengajian, Jejawi 3, 02600 Arau, Perlis, Malaysia.
Email: Muhammad.shahzad.aslam@hotmail.com

Received: 03 Jan 2015 Revised and Accepted: 29 Jan 2015


ABSTRACT

Dipterocarpus are the third largest and most diverse genus among Dipterocarpaceae. They are well-known for timber, but less acknowledged for its medicinal importance. Phytochemically genus Dipterocarpus has reported to contain resin, coumarin and dammar. The Resveratrol class of compounds is one of the major chemical constituent in this genus. Generally, the bark of Dipterocarpus is presumed to be the most active. Dipterocarpus species showed Anti-AIDS, cytotoxic, anti-inflammatory, anti-bacterial, anti-fungal and anti-oxidant activities. Therapeutically important species in this genus are Dipterocarpus obtusifolius Teijsm ex Miq because it may have cured against AIDS. We document number of species in this genus, their synonyms, distribution around the World, traditional names, ethnomedicinal uses, isolated compounds, chemical structure, chemical nature of isolated compounds, pharmacological reports and explain the relationship between isolated compounds from this genus and their therapeutic use.

Keywords: Dipterocarpus, Cytotoxicity, Anticancer, Anti-AIDS, Resveratrol.


INTRODUCTION

Natural products, including plants, animal and microorganism have been the basis of treatment of human diseases. Indigenous people derived therapeutic materials from thousands of plants. The World Health Organization (WHO) estimates that up to 80 percent of people still rely mainly on traditional remedies such as herbs for their medicines [1]. We observed that several Dipterocarpus species in the last half of the twentieth century have become renowned for timber, which is the most important economic product from dipterocarp but it results in the loss of our Natural flora. We still have not explored non-timber forest product that has much impact on an economy of the rural people and forest dwellers of Malaysia. Dipterocarpus has been traditionally a source of dammar, resin, nuts and camphor. Several phytochemical, ethnopharmacological and chemotaxonomy literatures are available for the species present in genus, but it is not documented yet that is beneficial for the future researchers.

These reviews will cover all literature data on the phytochemical ethnobotanical and pharmacological activities. Table 1 gives you a brief overview of Genus Dipterocarpus.

Botany

Dipterocarpus commonly known as "keruing" reported at least a genus of 75 species and is the third largest, after Shorea (150) and Hopea (100) from 16 genera in the plant family Dipterocarpaceae [2]. It exists in the tropical forest of dense evergreen or mixed dense forests. Dipterocarpus alatus is commonly found in Thailand, Cambodia, Laos, Vietnam, Philippines [3]. Dipterocarpus baudii occur in Cambodia; Indonesia (Sumatera); Malaysia; Myanmar; Thailand; Vietnam [4].

Dipterocarpus chartaceous which is also known as Dipterocarpus skinneri exsist in Peninsular Malaysia, Thailand [5]. Dipterocarpus dryobalanops is one of famous species in genus Dipterocarpus and found in Indonesia (Sumatera); Malaysia (Peninsular Malaysia, Sabah, Sarawak) [6]. Dipterocarpus globosus is native to Brunei Darussalam; Indonesia (Kalimantan); Malaysia (Sarawak) [7, 8]. Dipterocarpus gracilis is indigenous to Bangladesh; India (Andaman Is., Arunachal Pradesh, Assam, Tripura); Indonesia (Jawa, Kalimantan, Sumatera); Malaysia (Peninsular Malaysia); Myanmar; Philippines; Thailand [9, 10].

Dipterocarpus retusus is another major species in this genus which occur in China (Yunnan); India (Arunachal Pradesh, Assam, Manipur, Meghalaya, Nagaland, Tripura, West Bengal); Indonesia (Jawa, Lesser Sunda Is., Sumatera); Malaysia (Peninsular Malaysia); Myanmar; Thailand; Vietnam [11, 12]. List of Species with distribution of plant and their synonyms are mentioned in table 2.

Ethnomedicinal uses of dipterocarpus

Although Dipterocarpus is renowned for timber purposes, but it has some medicinal use. Bark of Dipterocarpus alatus is used to treat Rheumatism, diseases of the liver, and to stimulate appetite in cattle. It has some common names in different languages such as Gurjun(Eng.); keruing, kruen (Fr.); gurjin (Ind.); mai yang (Laos); yang-na (Thai.); dau nooc (Viet.); yang, keruing (trade names) [13, 14]. Bark of Dipterocarpus dryobalanops commonly known as Borneo Camphor, Camphor Tree, Malay Camphor, or Sumatran Camphor is used in medicine in preparation of tooth paste, powder, diaphoretic and antiseptic, hysteria, dysmenorrhea [15-18]. Dispterocarpus co-status is used in the treatment of ulcer Its traditional names as follows chhë tiël niëng, chhë tiël bangkuëy, niëng daèng krâhâm (Cambodia,Thailand,Vietnam) [19, 20]. Dipterocarpus gracilis which is known as keriung-kesat in Malay is It is used as antiseptic for gonorrhoea and urinary disease [20, 21]. Dipterocarpus Indicus, Dipterocarpus turbinatus along with Dipterocarpus alatus is used for rheumatism. Some plants are traditionally phytotoxic such as Dipterocarpus turbinatus. Dipterocarpus turbinatus is also used to treat Gonorrhoea, gleets, ulcer, ringworm and skin diseases [22-26]. Dipterocarpus tuberculatus is traditionally used to treat various inflammatory symptoms. We found a common observation that most use part of the plant is bark. All the species with their common names, part use and their traditional use are mentioned in table 3.

Chemical compounds isolated from genus dipterocarpus

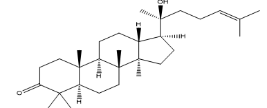
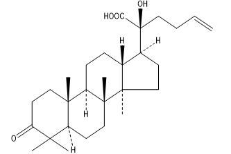
Most of the chemical constituents isolated from genus Dipterocarpus is from the bark of the plant. It is an important source of resins such as oleoresin, Dammars and camphor. The chemical nature of these constituents is sesquiterpenes, triterpenes (Resveratrol trimers, tetramer oligomer) and coumarin derivatives.

Chemical constituents isolated from Dipterocarpus baudii consist of Caryophyllene (1), humulene (2), caryophyllene oxide, humulene epoxide-II (3) clovane-diol (4), humulene epoxide-III (5), caryophyllenol-I (6), caryophyllenol-II (7). Dipterocarpus confertus possess β-sitosterol (8), betulinic acid (9), cinnamic acid (10),α-viniferin (11), betulinat acid, 5-hydroxy-2-Methoxy benzoate (12).

Table 1: Brief overview of genus Dipterocarpus

Order Species Order Species Order Species
A Dipterocarpus affinisDipterocarpus alatusDipterocarpus angulatusDipterocarpus applanatusDipterocarpus apterus D Dipterocarpus dyeriDipterocarpus dryobalanops H Dipterocarpus hasseltiiDipterocarpus helicopteryxDipterocarpus hirtus
B Dipterocarpus balsamiferusDipterocarpus basilanicusDipterocarpus baudiiDipterocarpus blancoiDipterocarpus borneensisDipterocarpus bourdillonii E Dipterocarpus elongatusDipterocarpus eurhynchusDipterocarpus eurynchioidesDipterocarpus exilis I Dipterocarpus indicusDipterocarpus insignisDipterocarpus insularisDipterocarpus intricatus
C Dipterocarpus caudatusDipterocarpus camphorusDipterocarpus camellatusDipterocarpus cancanusDipterocarpus chartaceusDipterocarpus cinereusDipterocarpus concavusDipterocarpus condorensisDipterocarpus confertusDipterocarpus conformisDipterocarpus cordatusDipterocarpus coriaceusDipterocarpus cornutusDipterocarpus costulatusDipterocarpus cuspidatus F Dipterocarpus fusiformis J Dipterocarpus jourdainii
G Dipterocarpus geniculatusDipterocarpus gibbosusDipterocarpus glabrigemmatusDipterocarpus glandulosusDipterocarpus globosusDipterocarpus gracilisDipterocarpus grandiflorus K Dipterocarpus kerriiDipterocarpus kunstleriDipterocarpus kutaianus
L Dipterocarpus lamellatusDipterocarpus lasiopodusDipterocarpus littoralisDipterocarpus lowii

Order Species Order Species
M Dipterocarpus malaanonanDipterocarpus macrorrhinusDipterocarpus megacarpusDipterocarpus microcarpusDipterocarpus mundus R Dipterocarpus retusus Dipterocarpus rigidus Dipterocarpus rotundifolius
N Dipterocarpus nobilisDipterocarpus nudus S Dipterocarpus sarawakensis Dipterocarpus scaber Dipterocarpus semivestitus Dipterocarpus sublamellatus
O Dipterocarpus oblongifoliusDipterocarpus oblongusDipterocarpus obtusifoliusDipterocarpus ochraceus Dipterocarpus orbicularis T Dipterocarpus teres Dipterocarpus thorelii Dipterocarpus thurifer
P Dipterocarpus pachyphyllus Dipterocarpus palembanicus Dipterocarpus palosapis Dipterocarpus parviflorus Dipterocarpus penangianus Dipterocarpus pentagonus Dipterocarpus perakensis Dipterocarpus plagatus Dipterocarpus polyspermus Dipterocarpus prismaticus Dipterocarpus pseudofagineus V Dipterocarpus verrucosus
W Dipterocarpus warburgii
Z Dipterocarpus zeylanicus 

Table 2: Dipterocarpus Species, synonyms and distribution around the World

Species Synonyms Distribution Reference
Dipterocarpus alatus Dipterocarpus philippinensisDipterocarpus gonopterus Dipterocarpus incanusDipterocarpus lemesleiDipterocarpus unesbi It is a tropical forest tree, of dense evergreen or mixed dense forests, common in Thailand, Cambodia, Laos and Vietnam. This species have also been found in the Philippines [3]
Dipterocarpus baudii Dipterocarpus duperreana Dipterocarpus scortechinii Cambodia; Indonesia (Sumatera); Malaysia; Myanmar; Thailand; Viet Nam [4]
Dipterocarpus chartaceus Dipterocarpus skinneri Malaysia (Peninsular Malaysia); Thailand [5]
Dipterocarpus dryobalanops Dipterocarpus teres Dryobalanops camphora Dryobalanops junghuhnii Dryobalanops sumatrensis Dryobalanops vriesii Pterigium teres Shorea camphorifera Dryobalanops aromatic Indonesia (Sumatera); Malaysia (Peninsular Malaysia, Sabah, Sarawak) [6, 56]
Dipterocarpus globosus Dipterocarpus beccarii Dipterocarpus beccarianus Brunei Darussalam; Indonesia (Kalimantan); Malaysia (Sarawak) [7, 8]
Dipterocarpus gracilis Dipterocarpus andamanicus Dipterocarpus angustialatusDipterocarpus bancanus Dipterocarpus fulvus Dipterocarpus hispidus Dipterocarpus pilosus Dipterocarpus schmidtii Dipterocarpus marginatusDipterocarpus schmidtii Dipterocarpus skinneri Dipterocarpus turbinatus var. andamanicus King Dipterocarpus van-der-hoevenii Dipterocarpus velutinus Dipterocarpus vernicifluus Bangladesh; India (Andaman Is., Arunachal Pradesh, Assam, Tripura); Indonesia (Jawa, Kalimantan, Sumatera); Malaysia (Peninsular Malaysia); Myanmar; Philippines; Thailand [9, 10]
Dipterocarpus retusus Dipterocarpus austroyunnanicus Dipterocarpus luchunensis Dipterocarpus macrocarpus Dipterocarpus mannii Dipterocarpus occidentoyunnanensis Dipterocarpus pubescens Dipterocarpus spanoghei Dipterocarpus tonkinensis Dipterocarpus trinervis China (Yunnan); India (Arunachal Pradesh, Assam, Manipur, Meghalaya, Nagaland, Tripura, West Bengal); Indonesia (Jawa, Lesser Sunda Is., Sumatera); Malaysia (Peninsular Malaysia); Myanmar; Thailand; Viet Nam [11, 12]
Dipterocarpus acutangulus Dipterocarpus helicopteryx SlootenDipterocarpus tawaensis Slooten Malaysia: Sarawak, Borneo, Elphinstone Province, British North Borneo [54, 55]
Dipterocarpus gibbosus Dipterocarpus humeratusDipterocarpus ursinus ----- [57]
Dipterocarpus glandulosus Dipterocarpus scabridus Sri Lanka [58, 59]
Dipterocarpus grandiflorus Dipterocarpus griffithii Dipterocarpus motleyanus Dipterocarpus pterygocalyx Mocanera grandiflora India (Andaman Is.); Indonesia (Sumatera); Malaysia (Peninsular Malaysia, Sabah); Myanmar; Philippines; Singapore; Thailand; Viet Nam [60]
Dipterocarpus hasseltii Dipterocarpus balsamiferus Dipterocarpus lampongus Dipterocarpus pentagonus Dipterocarpus quinquegonus Dipterocarpus subalpinus Dipterocarpus tampurau Indonesia (Bali, Jawa, Kalimantan, Sumatera); Malaysia (Peninsular Malaysia, Sabah); Philippines; Thailand; Viet Nam [61, 62]
Dipterocarpus insularis Dipterocarpus angustifolius Dipterocarpus artocarpifolius Dipterocarpus costatusDipterocarpus parvifolius Bangladesh; Cambodia; India (Andaman Is.); Lao People's Democratic Republic; Malaysia (Peninsular Malaysia); Myanmar; Thailand; Viet Nam [63]
Dipterocarpus jourdainii Dipterocarpus laevisDipterocarpus turbinatus C. F. Gaertn Bangladesh; Cambodia; India (Andaman Is., Arunachal Pradesh, Assam, Manipur, Meghalaya, Tripura); Lao People's Democratic Republic; Myanmar; Thailand; Viet Nam [64]
Dipterocarpus oblongifolius Dipterocarpus pulcherrimus Dipterocarpus stenopterus Malaysia; Thailand [65, 66]
Dipterocarpus obtusifolius Dipterocarpus obtusifolius Teijsm. ex Miq. subspecies cuspidatus C. E. C. Fisch.Dipterocarpus obtusifolius Teijsm. ex Miq. subspecies glabricalyx SmitinandDipterocarpus obtusifolius Teijsm. ex Miq. subspecies subnudus Ryan & KerrDipterocarpus obtusifolius Teijsm. ex Miq. subspecies vestitus (Wall. ex Dyer) SmitinandDipterocarpus punctulatus PierreDipterocarpus vestitus Wall. ex Dyer Brunei Darussalam; Cambodia; Lao People's Democratic Republic; Malaysia; Myanmar; Thailand; Viet Nam [67]
Dipterocarpus tuberculatus Dipterocarpus cordatus Dipterocarpus grandifolius Cambodia; India; Lao People's Democratic Republic; Myanmar; Thailand; Viet Nam [68]

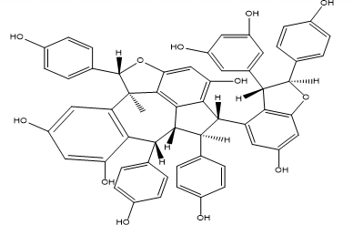
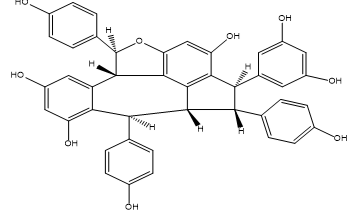
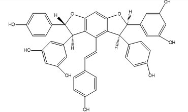
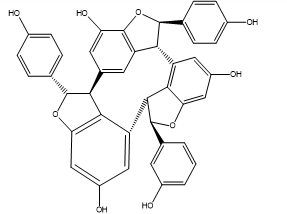
Dipterocarpus dryobalanops is the most important species containing Bergenin (13), malaysianol A (14), laevifonol (15), ampelopsin E (16), α-viniferin (11), ε-viniferin(17), diptoindonesin A (18), diptoindonesin B (19), vaticanol B (20) vaticanol C (21), flexuasol A (22), Oleanolic acid acetate (23), Hedragonic acid (24), dryobalanonoloic acid (25), dryobalanolide (26), Dryobalanone (27), dammarenediol-II (28), Erythrodiol (29), dipterocarpol (30), ocotillol-II. Dipterocarpus elongates comprise of Laevifonol (15), α-viniferin (11), vatikanol A (31), bergenin (13), dan 4’-O-metilgalokatecin (32). Dipterocarpus grandiflorus include Grandiphenols A (33), B, C (34) and D (35).

Dipterocarpus hasseltii encompass Diptoindonesin E, ε-viniferin (17), laevifonol (15), α-viniferin (11), vaticanol B (20), hopeaphenol (36), coumarin (37), scopoletin

Dipterocarpus pilosus as Dipterocarpus dryobalanops is another important species that possess Caryophyllene (1), humulene (2), caryophyllene oxide, humulene epoxide-II (3) clovane-diol (4), humulene epoxide-III (5), caryophyllenol-I (6), caryophyllenol-II (7), Dipterocarpol (30), dammara-20,24-dien-3-one, dammara-24-ene-3,20-diol, ocotillone-II, ocotillol-II hollongdione, dipterocarpolic acid, asiatic acid (40), 2α-hydroxyursolic acid (44) All the chemical constituents and their chemical nature present in the genus is enlist in table 4 and 5.

Table 3: Dipterocarpus species with their common names, part use and their traditional uses

Species Common names Part use Traditional uses Reference
Dipterocarpus alatus Gurjun(Eng.); keruing, kruen (Fr.); gurjin (Ind.); mai yang(Laos); yang-na (Thai.); dau nooc (Viet.); yang, keruing (trade names). Bark Used in Rheumatism, diseases of the liver, and to stimulate appetite in cattle [3, 13]
Dipterocarpus dryobalanops Borneo Camphor, Camphor Tree, Malay Camphor, or Sumatran Camphor Bark It is used in medicine in preparation of tooth pase, powder, diaphoretic and antiseptic, hysteria, dysmenorrhoea [15, 16, 17, 18]
Dispterocarpus costatus Chhë tiël niëng, chhë tiël bangkuëy, niëng daèng krâhâm (Cambodia,Thailand, Vietnam) Bark It is used in the treatment of ulcer [19, 20]
Dipterocarpus gracilis keriung-kesat (Malay) - It is used as antiseptic for gonorrhoea and urinary disease [20, 21]
Dipterocarpus Indicus Arayangili, Vavangu, Kakka, Vella-ayani, Karanjili, Kalpayin (Malayalam) - It exists in west coast, tropical and evergreen forest India used as an application of rheumatism [20, 69]
Dipterocarpusturbinatus Chhë tië: l dâ: ng(Cambodia,Thi, Veitnam; gurjan (India), gurjun, gurgina; Chinese jie bu luo xiangGarjan (Bangali) Leave and stem Gonorrhoea, gleets, rheumatism,ulcer, ringworm and skin diseases.Ethnomedicinally toxic plant [22, 23, 24, 25, 26, 70, 71]
Dipterocarpus tuberculatus Gurjun tree (Eng) - Traditionally used to treat various inflammatory symptoms [72, 73]

Table 4: List of Chemical constituents in genus Dipterocarpus

Species Part Use Chemical constituents Reference
Dipterocarpus alatus Bark Oleoresin [27]
Dipterocarpus confertus Stem Bark β-sitosterol (8), betulinic acid (9), cinnamic acid (10),α-viniferin (11), betulinat acid, 5-hydroxy-2-Methoxy benzoate (12) [28, 29]
Dipterocarpus dryobalanops Stem Bark Bergenin (13), malaysianol A (14), laevifonol (15), ampelopsin E (16), α-viniferin (11), ε-viniferin(17), diptoindonesin A (18), diptoindonesin B(19), vaticanol B (20) vaticanol C (21), flexuasol A (22), Oleanolic acid acetate (23), Hedragonic acid (24), dryobalanonoloic acid (25), dryobalanolide (26), Dryobalanone (27), dammarenediol-II (28), Erythrodiol (29), dipterocarpol (30), ocotillol-II [1, 13][30][31][32][95]
Dipterocarpus elongatus - Laevifonol (15), α-viniferin (11), vatikanol A (31), bergenin (13), dan 4’-O-metilgalokatecin (32) [33]
Dipterocarpus grandiflorus - Grandiphenols A (33), B, C (34) and D (35) [34, 35]
Dipterocarpus zeylanicus - 2α,3β,23α-trihydroxyurs-12-en-28-oic and 2α,3β-dihydroxyurs-12-en-28-oic acids [34]
Dipterocarpus hasseltii Tree Bark Diptoindonesin E, ε-viniferin (17), laevifonol (15), α-viniferin (11), vaticanol B (20), hopeaphenol (36), coumarin (37), scopoletin (38). [36]
Dipterocarpus verrocosus α-Viniferin (11) [37]
Dipterocarpus tuberculatus Stem Bark Phenolic acid derivatives, β-sitosterol (8), bergenin (13) [38]
Dipterocarpus hispidus BarkTimber Betulinic acid (9), dipterocarpol (30), dammarenediol, ocotillone (39)Dipterocarpol (30) asiatic acid (40) [39, 20]
Dipterocarpus turbinatus - Borneol (41) [40]
Dipterocarpus kerrii - α-gurjunene (42), gamma-gurjunene (43), gamma-gurjunenol [41, 42]
Dipterocarpus retusus Tree Bark ε-viniferin (17), α-viniferin (11), vaticanol A (31), scopoletin (38), bergenin (13) [43]
Dipterocarpus pilosus Bark Caryophyllene (1), humulene (2), caryophyllene oxide, humulene epoxide-II (3) clovane-diol (4), humulene epoxide-III (5), caryophyllenol-I (6), caryophyllenol-II (7), Dipterocarpol (30), dammara-20,24-dien-3-one, dammara-24-ene-3,20-diol, ocotillone-II, ocotillol-II hollongdione, dipterocarpolic acid, asiatic acid (40), 2α-hydroxyursolic acid (44) [44, 45]
Dipterocarpus obtusifolius Stem 3-oxo-20-hydroxy-30α-methyl,17(29)α-epoxy-28-norlupane, 3-oxo-20-hydroxy-30β-methyl-17(29)α-epoxy-28-norlupane, 3,20-dioxo-28,29-norlupan-17α-ol,27-demethyl-20(S)-dammar-23-ene-20-ol-3,25-dione, and 3-epi-cecropic acid. [46]
Dipterocarpus verrucosus Stem Bark Laevifonol (15), α-viniferin (11), vaticanol B (20) [53, 54]

Table 5: List of Chemical nature of Compounds isolated in genus Dipterocarpus

Chemical Nature Compounds present
Sesquiterpenes Caryophyllene (1), humulene (2), caryophyllene oxide, humulene epoxide-II (3) clovane-diol (4), humulene epoxide-III (5), caryophyllenol-I (6), caryophyllenol-II (7),α-gurjunene, gamma-gurjunene, gamma-gurjunenol
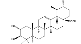
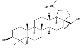
Triterpene Betulinic acid (9), Oleanolic acid acetate (23), Hedragonic acid (24), Oleanolic acid acetate (23), Hedragonic acid (24), dryobalanonoloic acid (25), dryobalanolide (26), Dryobalanone (27), dammarenediol-II (28), Erythrodiol (29), dipterocarpol (30), ocotillol-II, Asiatic acid (40), 2α-hydroxyursolic acid (44).
Oligostilbenoid Laevifonol (15), ampelopsin E (16), α-viniferin (11), diptoindonesin A (18), ε-viniferin (17), α-viniferin (11), vaticanol A
Coumarin compounds Scopoletin (38), bergenin (13)
Resveratrol Compounds Bergenin (13), malaysianol A (14), laevifonol (15), ampelopsin E (16), α-viniferin (11), ε-viniferin(17), diptoindonesin A (18), diptoindonesin B(19), vaticanol B (20) vaticanol C (21), flexuasol A (22), (−)-hopeaphenol, grandiphenols A, B, C and D, ampelopsin E(16), diptoindonesin A, bergenin
Phytosterol β-sitosterol (8)

1 2 3
4 5 6
7 8 9
10 11 12
13 14
15 16
17 18
19 20
21 22
23 24
25 26
27 28
29 30
31 32
33 34
35 36
37 38
39 40
41 42
43 44
Fig. 1: List of Chemical constituents isolated from genus Dipterocarpus

Pharmacological activities

Most of the species in this genus are cytotoxic in nature but some are anti-inflammatory, Anti-fungal, anti-bacterial, anti-oxidant and even Anti-Aids. The most important species in this genus are Dipterocarpus obtusifolius Teijsm ex Miq because scientists report that it may have cured against AIDS. A composition comprising Melastoma villosum Lodd., Dipterocarpus obtusifolius Teijsm ex Miq., Lyophyllum aggregatum, Dictyophora indusiata, pu-erh tea, mentha and stevia, in a dry weight ratio of 2-5: 2-5: 1-4: 1-4: 1-4: 0.5-2: 0.5-2, respectively is the constituents used in the formulation. The inventive anti-AIDS agent was provided for 24 AIDS cases to be taken twice a day, said agent having been extracted in hot water of 90-100° C for 40 minutes. Periodical blood drawings were carried out during the intake period to measure the concentration level of HIV antigen RNA. Dipterocarpus turbinatus, Dipterocarpus hasseltii, Dipterocarpus retusus, Dipterocarpus obtusifolius and Dipterocarpus converts are cytotoxic and may have used against cancer cell. Detail enlists in table 6.

Table 6: List of Pharmacological activities reported

Species Pharmacological properties Application Activity Part used Reference
Dipterocarpus tuberculatus Anti-Inflammatory In-vitro and In-Vitro Ethanol extract strongly suppresses in vitro macrophage-mediated inflammatory responses and in-vivo acute gastritis Bark [31]
Dipterocarpusverrucosus Antibacterial and antioxidant In-Vitro The result indicated that α-viniferin, resveratrol trimer from Dipterocarpus verrucosus gave moderate activity towards antibacterial and antioxidant values. Bark [37]
Dipterocarpus confertus Cytotoxicity Murin Cell P388 leukemia Isolated compound of Dipterocarpus confertus (sinamat and acid betulinat) showed very active with IC50each the size of 2.25 and 5.1 pg / mL. Stem Bark [42]
Dipterocarpus retusus Cytotoxic activity Murine leukaemia P-388 cells ε-Viniferin, α-viniferin and vaticanol A showed cytotoxic activity against murine leukaemia P-388 cells with their IC50 values were 7,8; 17,5 and 27,0 µg/ml, respectively. Bark [43]
Dipterocarpus obtusifolius Cytotoxic Human cancer cell lines It were found to be cytotoxic against human cancer cell lines. Stems [46]
Dipterocarpus verrucosus Biological Activities In-Vitro Biological activities of the compounds were evaluated against six strains of bacteria; Pseudomonas aeruginosa, Klebsiella pneunomonia, Salmonella paratyphi, Bacillus subtilis, Stapylococcus aureus and E. coli by disc diffusion method while antioxidant were evaluated by DPPH, TPC, FTC and TBA. The DPPH radical scavenger test showed that tetramer gave a better result (36.6%) as compared to the dimmer and trimmer. TPC evaluations showed that the tetramer and dimer contain the same amount of phenolics which is 616.15mg/g of GAEs while trimer displayed lower amount of 340mg/g of GAEs. FTC and TBA methode revealed that the trimer showed better inhibition among the others with the value of 77.77 and 86.47% each. Antibacterial activity, trimer resveratrol with concentration of 50mg/ml showed to be the most active with inhibition toward Stapylococcus aureus (8.8 mm), Pseudomonas aeruginosa (8.5 mm) and E. coli (17 mm). Stem bark [47, 48, 49, 50, 51, 52]
Dipterocarpus kerrii Anti-fungal In-vitro Fungicidal Tree Resin [72]
Dipterocarpusturbinatus Cytotoxic Activity Human Breast cancer cell line(MDA-MB-231) It has shown activity against Human Breast cancer cell line (MDA-MB-231) Bark and leave [74]
Dipterocarpus hasseltii Cytotoxic Activity Murine leukemia P-388 cells. A Chemical constituent hopeaphenol shows strongly inhibited murine leukemia P-388 cells. Bark [75]
Dipterocarpus obtusifolius Teijsm ex Miq Anti-AIDS Clinical trial for measuring the anti-AIDS effect A composition comprising Melastoma villosum Lodd., Dipterocarpus obtusifolius Teijsm ex Miq., Lyophyllum aggregatum, Dictyophora indusiata, pu-erh tea, mentha and stevia, in a dry weight ratio of 2-5: 2-5: 1-4: 1-4: 1-4: 0.5-2: 0.5-2, respectively. The inventive anti-AIDS agent was provided for 24 AIDS cases to be taken twice a day, said agent having been extracted in hot water of 90-100° C for 40 minutes. Periodical blood drawings were carried out during the intake period to measure the concentration level of HIV antigen RNA Fruit [76]

Table 7: List of chemical constituents with Pharmacological properties

Chemical Constituents Pharmacological properties Reference
Betulinic acid Antiretroviral, antimalarial, anti-inflammatory, Anticancer agent [77]
beta-caryophyllene Beta-caryophyllene was shown to be a selective agonist of cannabinoid receptor type-2 (CB2) and to exert significant cannabimimetic antiinflammatory effects in mice. [78]
humulene Anti-inflammatory effects in mammals. It produces similar effects to dexamethasone, and was found to decrease the edema formation caused by histamine injections. Humulene produced inhibitory effects on tumor necrosis factor-α (TNFα) and interleukin-1 β (IL1B) generation in carrageenan-injected rats. [79, 80]
β-Caryophyllenol β-Caryophyllenol has showed Inhibitory Effect of on Airway Inflammation and Elimination of Asthmatic Models in Guinea Pigs [81]
α-viniferin It has been shown to inhibit acetylcholinesterase [82]
Bergenin It shows a potent immunomodulatory effect [83]
laevifonol Anti-oxidant, Cytotoxic and Anti-bacterial actvity [84]
ampelopsin The compound is credited with hepatoprotective effects observed in rodents [85]
ε-Viniferin It shows a human cytochrome P450 enzymes inhition activity [86]
Oleanolic acid acetate Hepatoprotective, and exhibits antitumor and antiviral properties [87]
dammarenediol-II Antiviral activity against Herpes simplex virus types I and II in Vitro [88]
Erythrodiol Antiproliferative and apoptotic activity in HT‐29 human adenocarcinoma cells [89]
Coumarin Reported coumarin activity includes anti-HIV, anti-tumor, anti-hypertension, anti-arrhythmia, anti-inflammatory, anti-osteoporosis, antiseptic, and analgesic. It is also used in the treatment of asthmaand lymphedema [90, 91, 92, 93]
Scopoletin Use of scopoletin to inhibit the production of inflammatory cytokines through inhibition of the IκB/NF-κB signal cascade in the human mast cell line HMC-1 [94]

CONCLUSION AND DISCUSSION

Dipterocarpus belong to southeast Asia mainly Malaysia, Indonesia, Thialand, Philippines. Although it is well-known for timber purposes, but it has some medicinal importance. It comprises resins, dammar and camphor. In the past Dipterocarpus was the main source of camphor, but now there are many alternative sources such as Cinnamomum camphora and pinene. Dipterocarpus consist of important chemical constituents such as Resveratrol, which appeared to prevent the development of mammary tumors in animal models; however, it had no effect on the growth of existing tumors. It slowed the growth of neuroblastomas [94]. Coumarin also comprise pharmacological activity such as anti-HIV, anti-tumor, anti-hypertension, anti-arrhythmia, anti-inflammatory, anti-osteoporosis, antiseptic, and analgesic. It is also used in the treatment of asthma and lymphedema[86, 87, 88, 89]. A clinical trial has shown that Dipterocarpus obtusifolius possess Anti-HIV property which can further be evaluated in isolation of novel compound. As most of the species in this genus are cytotoxic in nature so we can isolate new drugs against different types of cancer. For example Isolated compounds from the Bark of Dipterocarpus retusus (ε-Viniferin, α-viniferin and vaticanol) showed cytotoxic activity against murine leukaemia P-388 cells [41]. Similarly isolated compounds of Dipterocarpus confertus (sinamat and acid betulinat) showed cytotoxicity from the stem bark [42]. All documented data from the genus Dipterocarpus conclude that there are 75 species in this genus and we haven’t explored the flora yet. With increased deforestation, we are losing Dipterocarps as it is a major source of timber in South east Asia. Most of the species are in critical danger of extinction.

We can isolate novel compounds against anticancer, Anti-Aids, Anti-inflammatory from remaining species and existing species. This will lead to develop large series of structural analogs of an initial lead compound and tested as part of a structure-activity relationship study. It will preserve for the future generation.

CONFLICT OF INTERESTS

None

REFERENCES

  1. Tripathi L, Tripathi JN. Role of biotechnology in medicinal plants. Trop J Pharm Rew 2003;2:243-53.
  2. Ashton PS. Dipterocarpaceae. In: CGGJ Van Steenis ed. Flora Malesiana, Series 1, Spermatophyta. Martinus Nijhoff Pulishers, The Hague; 1982;9:237–552.
  3. Joker D, Luu NDT. Dipterocarpus alatus. Seed Leaflet; 2002. p. 53.
  4. Ashton P. Dipterocarpus baudii. The IUCN red list of threatened species. Version 2014. Available from: www. iucnredlist. org.
  5. Ashton P. Dipterocarpus chartaceus. The IUCN red list of threatened species. Version 2014.1. www. iucnredlist. org; 1998.
  6. Ashton P. Dryobalanops aromatica. The IUCN red list of threatened species. Version 2014.1. www. iucnredlist. org; 1998.
  7. Ashton P. Dipterocarpus globosus. The IUCN red list of threatened species. Version 2014.1.www.iucnredlist.org; 1998.
  8. Theplantlist. org. Dipterocarpus glandulosus Thwaites—The Plant List. Available from: http://www.theplantlist.org/tpl/record/kew-2772165. [Accessed 6 Jul. 2014].
  9. Ashton P. Dipterocarpus gracilis. The IUCN red list of threatened species. Version 2014.1. www.iucnredlist.org; 1998.
  10. Theplantlist. org. Dipterocarpus gracilis Blume—The Plant List. Available from: http://www.theplantlist. org/tpl1.1/record/kew-2772168. [Accessed 8 Jul. 2014].
  11. Ashton P. Dipterocarpus retusus. The IUCN red list of threatened species. Version 2014.1.www.iucnredlist.org; 1998.
  12. Theplantlist. org. Dipterocarpus retusus Blume—The Plant List. Available from: http://www.theplantlist.org/tpl1.1/record/kew-2772239. [Accessed 8 Jul. 2014].
  13. Pauline DYP. Plants Used in Cambodia, self-published, printed by Imprimerie Olympic, Phnom Penh; 2000.
  14. Wibowo A, Ahmat N, Hamzah AS, Ismail NH, Ahmad R, Jaafar FM. Resveratrol oligomers from the stem bark of Dryobalanops aromatica. Biochem Syst Ecol 2012;40:62-4.
  15. Zipcodezoo. com. Dryobalanops aromatica (Borneo Camphor) 2014. Available from: http://zipcodezoo. com/Plants/D/Dryobalanops_aromatica [Accessed 10 Jul. 2014].
  16. Agarwal VS. Econmoic plants of india. Kailash Prakashan, Calcuta; 1986.
  17. Symington CF. Malayan forest record No. 16. Forest Research Institute: Kepong, Kuala Lumpur; 1943.
  18. Ashton PS. In: Van Steenis, CGGJ Ed. Flora Malesiana, Series 1, vol. 9. Martinus Nijhoff Pulishers: The Hague; 1982. p. 237.
  19. Pauline DYP. Plants used in cambodia, self-published, printed by Imprimerie Olympic, Phnom Penh; 2000.
  20. Appanah S, Turnbull JM. A review of dipterocarps: taxonomy, Ecology, and Silviculture. CIFOR; 1998.
  21. Faridah Hanum, Van der Maesen LJG. eds. Plant Resources of South-East Asia (PROSEA). USDA, ARS, National Genetic Resources Program. Germplasm Resources Information Network-(GRIN): National Germplasm Resources Laboratory, Beltsville, Maryland; 1989.
  22. URL: http: //www.ars-grin.gov/cgi-bin/npgs/html/stdlit. pl?Pl%20Res%20SEAs (10 July 2014).
  23. Pauline DYP. Plants Used in Cambodia, self-published, printed by Imprimerie Olympic, Phnom Penh; 2000.
  24. Sharma BD. Flora of India; 1993.
  25. Craker LE, Simon JE. Herbs, spices, and medicinal plants; 1986–1987.
  26. Progress of medical science, Treatment of Gonorhœa. British Medical Journal; 1865.
  27. Flora of China Editorial Committee.
  28. Flora of China 13. Science Press & Missouri Botanical Garden Press, Beijing & St. Louis; 2007. p. 1–548.
  29. Ankarfjard R. Ïmpacts from tapping oleoresin from dipterocarpus alatus on trees and timber value in LAO PDR. Econ Bot; 2000.
  30. Muhtad, Indrayudha P, Wibowo A, Yen KH. Cytotoxic activity of secondary metabolites from the bark of dipterocarpus confertus sloot. J Adv Chem 2014;9(1):1861-5.
  31. Yudha PI. Pengembangan senya wa senya wa hasil isolaso yang bersifat sitotokik dari ekstrak metanol kulit batang keruing pungguh (Dipterocarpus confertus Sloot) sebagai agen fitoterapi antikanker: Kajian Toksisitas (Doctoral dissertation, LPPM UMS); 2009.
  32. Wibowo A, Ahmat N, Hamzah AS, Sufian AS, Ismail NH, Ahmad R, et al. Malaysianol A, a new trimer resveratrol oligomer from the stem bark of Dryobalanops aromatica. Fitoterapia 2011;82(4):676–81.
  33. Cheung HT. Constituents of dipterocarpaceae resins. Part II. Structure of dryobalanone from Dryobalanops aromatica. J Chem Soc C: Organic 1968;2686-9.
  34. Wibowo A, Ahmat N, Hamzah A. Oligostilbenoids from the stem bark of Dryobalanops aromatica. Planta Med 2011;77(12):9.
  35. Achmad SA, Latip J, Pos JAYT, Pabelan I, Alam KPKOB, Kimia D. Lima senya wa fenolik dari kulit kayu Dipterocarpus elongatus (Dipterocarpaceae) dan sifat sitotoksiknya sititoksiknya terhadap sel murin leukemia P-388.
  36. Ito T, Tanaka T, Iinuma M, Nakaya KI, Takahashi Y, Sawa R, et al. Two New Resveratrol (=5‐[(1E)‐2‐(4‐Hydroxyphenyl) ethenyl] benzene‐1, 3‐diol) Tetramers with a tetrahydrofuran ring from dipterocarpus grandiflorus. Helv Chim Acta 2004;87(2):479-95.
  37. Ito T, Abe N, Oyama M, Tanaka T, Murata J, Darnaedi D, et al. Two novel resveratrol trimers from Dipterocarpus grandiflorus. Helv Chim Acta 2009;92(6):1203-16.
  38. Hakim EH, Juliawaty LD, Syah YM, Achmad SA, Latip J, Ghisalberti EL. Cytotoxic resveratrol oligomers from the tree bark of Dipterocarpus hasseltii. Fitoterapia 2006;77(7):550-5.
  39. Zain WZWM, Ahmat N, Norizan NH, Nazri NAAM. The evaluation of antioxidant, antibacterial and structural identification activity of trimer resveratrol from Malaysia’s Dipterocarpaceae. Aust J Basic Appl Sci 2011;5(5):926-9.
  40. Juntagoot T, Kanokmedhakul K, Kanokmedhakul S. Chemical constituents and biological activities from dipterocarpus tuberculatus roxb. The 23rd National Graduate Research Conference, Rajamangala University of Technology Isan; 2011. p. 22-3.
  41. Bandaranayake WM, Gunasekera SP, Karunanayake S. Terpenes of Dipterocarpus and Doona species. Phytochem 1975;14(9):2043-8.
  42. Hattori A. Camphor in the Edo era-camphor and borneol formedicines. Yakushigaku Zasshi 2000;35:49-54.
  43. Richardson DP, Messer AC, Greenberg S, Hagedorn HH, Meinwald J. Defensive sesquiterpenoids from a dipterocarp (Dipterocarpus kerrii). J Chem Ecol 1989;15(2):731-47.
  44. Richardson DP, Messer AC, Newton BA, Lindeman NI. Identification and preparation of antiinsectan dienols from Dipterocarpus kerrii tree resins. J Chem Ecol 1991;17(3):663-85.
  45. Muhtadi M, Hakim EH, Syah YM, Juliawaty LD, Achmad SA, Said IM, et al. Tiga senyawa oligostilbenoid dari kulit batang dipterocarpus retusus blume (Dipterocarpaceae). J Mat Sains 2009;10(4):137-43.
  46. Gupta AS, Dev S. Studies in sesquiterpenes—XLVI: Sesquiterpenes from the oleoresin of Dipterocarpus pilosus: Humulene epoxide—III, caryophyllenol—I and caryophyllenol—II. Tetrahedron 1971;27(3):635-44.
  47. Gupta AS, Dev S. Studies in sesquiterpenes—XLVI: Sesquiterpenes from the oleoresin of Dipterocarpus pilosus: Humulene epoxide—III, caryophyllenol—I and caryophyllenol—II. Tetrahedron 1971;27(3);635-44.
  48. Khiev P, Kwon OK, Song HH, Oh SR, Ahn KS, Lee HK, et al. Cytotoxic terpenes from the stems of dipterocarpus obtusifolius collected in cambodia. Chem Pharm Bull 2012;60(8);955-61.
  49. Barry AL, Coyle MB. Methods of measuring zones of inhibition with the Bauer-Kirby disk susceptibility test. J Clin Microbiol 1979;10:885–9.
  50. Blois MS. Antioxidant determinations by the use of a stable free radical. Nat 1958;181:1199–200.
  51. Velioglu YS, Mazza G, Gao L, Oomah BD. Antioxidant activity and total phenolics in selected fruits, vegetables, and grain products. J Agric Food Chem 1998;46:4113–7.
  52. Osawa T, Namiki M. A novel type of antioxidant isolated from leaf wax of Eucalyptus leaves. Agric Biol Chem 1981;45(3):735–9.
  53. Kikuzaki H, Nakatani N. Antioxidant effects of some ginger Constituents. J Food Sci 1993;58:1407–10.
  54. Zain WZWM, Ahmat N, Norizan NH, Nazri NAAM. The evaluation of antioxidant, antibacterial and structural identification activity of trimer resveratrol from Malaysia’s Dipterocarpaceae. Aust J Basic Appl Sci 2011;5(5):926-9.
  55. Bandaranayake WM, Gunasekera SP, Karunanayake S. Terpenes of dipterocarpus and doona species. Phytochem 1975;14(9):2043-8.
  56. Ashton P. Dipterocarpus costatus. The IUCN Red List of Threatened Species. Version 2014.1. www. iucnredlist. org; 1998.
  57. The Plant List. Version 1.1. Published on the Internet. Available from: http: //www.theplantlist.org. [Accessed 19th September].
  58. Plants. jstor.org. JSTOR | Global Plants: Home. [online] Available from: http://plants.jstor.org. [Accessed 20 Sep. 2014].
  59. Ashton PS. Dryobalanops aromatica Gaertn. In Soepadmo E, Saw LG, Chung RCK Tree Flora of Sabah and Sarawak. (free online from the publisher, lesser resolution scan PDF versions) 5. Forest Research Institute Malaysia; 2004. p. 129,131.
  60. Theplantlist. org. Dipterocarpus humeratus Slooten—The Plant List. Available from: http: //www.theplantlist.org/tpl/record/kew-2772178 [Accessed 6 Jul. 2014].
  61. Ashton P. Dipterocarpus glandulosus. The IUCN Red List of Threatened Species. Version 2014.1. www.iucnredlist.org; 1998.
  62. Theplantlist. org. Dipterocarpus glandulosus Thwaites—The Plant List. Available from: http://www.theplantlist. org/tpl/record/kew-2772165. [Accessed 6 Jul. 2014].
  63. Ashton P. Dipterocarpus grandiflorus. The IUCN Red List of Threatened Species. Version 2014.1. wwwiucnredlist.org; 1998.
  64. Ashton P. Dipterocarpus hasseltii. The IUCN Red List of Threatened Species. Version 2014.1.www.iucnredlist.org; 1998.
  65. Theplantlist. org. Dipterocarpus hasseltii—The Plant List. Available from: http: //www. theplantlist. org/tpl1.1/record/kew-2772173. [Accessed 9 Jul. 2014].
  66. Ashton P. Dipterocarpus costatus. The IUCN Red List of Threatened Species. Version 2014.1. www.iucnredlist.org; 1998.
  67. Ashton P. Dipterocarpus turbinatus. The IUCN Red List of Threatened Species. Version 2014.1. www.iucnredlist.org; 1998.
  68. Ashton P. Dipterocarpus oblongifolius. The IUCN Red List of Threatened Species. Version 2014.1. www.iucnredlist.org; 1998.
  69. Theplantlist. org. Dipterocarpus oblongifolius—The Plant List. Available from: http://www.theplantlist.org/tpl1.1/record/kew-2772209. [Accessed 9 Jul. 2014].
  70. Ashton P. Dipterocarpus obtusifolius. The IUCN Red List of Threatened Species. Version 2014.1. www.iucnredlist.org; 1998.
  71. Ashton P. Dipterocarpus tuberculatus. The IUCN Red List of Threatened Species. Version 2014.1.www.iucnredlist.org; 1998.
  72. India Biodiversity Portal. Dipterocarpus indicus Bedd. Available from: http://indiabiodiversity.org/species/show/10919. [Accessed 10 Jul. 2014].
  73. Bandaranayake WM. Traditional and medicinal uses of Mangroves. Mangroves Salt Marshes 1998;2:133–48.
  74. Lin Y, Yi Z, Zhao Y. Chinese dai medicine colorful illustrations. Yunnan Nationality Press, Kunming; 2003.
  75. Yang WS, Lee BH, Kim SH, Kim HG, Yi YS, Htwe KM, et al. Dipterocarpus tuberculatus ethanol extract strongly suppresses in vitro macrophage-mediated inflammatory responses and in vivo acute gastritis. J Ethnopharmacol 2013;146(3):873-80.
  76. USDA, ARS, National Genetic Resources Program. Germplasm Resources Information Network-(GRIN) [Online Database]. National Germplasm Resources Laboratory, Beltsville, Maryland. Available from: http: //www.ars-grin.gov/cgi.bin/npgs/html/taxon. pl?446747(10 July 2014).
  77. Akter R, Uddin SJ, Grice ID, Tiralongo E. Cytotoxic activity screening of Bangladeshi medicinal plant extracts. J Nat Med 2014;68(1):246-52.
  78. Hakim EH, Juliawaty LD, Syah YM, Achmad SA, Latip J, et al. Cytotoxic resveratrol oligomers from the tree bark of Dipterocarpus hasseltii. Fitoterapia 2006;77(7);550-5.
  79. Tani MUS. Patent No. 7,638,146. Washington, DC: US Patent and Trademark Office; 2009.
  80. Chowdhury AR, Mandal S, Mittra B, Sharma S, Mukhopadhyay S, Majumder HK. Betulinic acid, a potent inhibitor of eukaryotic topoisomerase I: identification of the inhibitory step, the major functional group responsible and development of more potent derivatives. Med Sci Monit 2002;8(7):254–65.
  81. Gertsch J, Leonti M, Raduner S. Beta-caryophyllene is a dietary cannabinoid. Proc Natl Acad Sci USA 2008;105(26):9099–104.
  82. Passosa GF, Fernandesa ES, da Cunhaa FM. Anti-inflammatory and anti-allergic properties of the essential oil and active compounds from Cordia verbenacea. J Ethnopharmacol 2007;110(2):323–33.
  83. Fernandes ES, Passos GF, Medeiros R, da Cunha FM, Ferreira J, Campos MM, et al. Anti-inflammatory effects of compounds alpha-humulene and (-)-trans-caryophyllene isolated from the essential oil of Cordia verbenacea. Eur J Pharmacol 2007;569(3):228–36.
  84. Zhou CL, Qian ZY. Inhibitory Effect of beta-Caryophyllenol on Airway Inflammation and Elimination OFR of Asthmatic Models in Guinea Pigs. Pharm Biotechnol 2006;13(5):373.
  85. Hyun SS, Young KS, Yong LK, Jung PM, Hun KJ, Kim PJH, et al. (+)-α-Viniferin, a Stilbene Trimer from Caragana chamlague, Inhibits Acetylcholinesterase. Biol Pharm Bull 2002;25:125.
  86. Nazir N, Koul S, Qurishi MA, Taneja, SC, Ahmad SF, Bani S, et al. Immunomodulatory effect of bergenin and norbergenin against adjuvant-induced arthritis—A flow cytometric study. J Ethnopharmacol 2007;112(2):401–5.
  87. Johari ATT. Antioxidant, Antimicrobial and Cytotoxic Activities of Resveratrol Oligomers of Shorea macroptera Dyer. Aust J Basic Appl Sci 2012;6(8):431-6.
  88. Hase K, Ohsugi M, Xiong Q, Basnet P, Kadota S, Namba T. Hepatoprotective effect of Hovenia dulcis on experimental liver injuries induced by carbon tetrachloride or D-galactosamine/lipopolysaccharide. Biol Pharm Bull 1997;20(4):381–5.
  89. Piver B, Berthou FO, Dreano Y, Lucas DL. Differential inhibition of human cytochrome P450 enzymes by ε-viniferin, the dimer of resveratrol: Comparison with resveratrol and polyphenols from alcoholized beverages. Life Sci 2003;73(9):1199–213.
  90. Liu J. Pharmacology of oleanolic acid and ursolic acid. J Ethnopharmacol 1995;49(2):57–68.
  91. Poehland BL, Carte BK, Francis TA, Hyland LJ, Allaudeen HS, Troupe N. In vitro antiviral activity of dammar resin triterpenoids. J Nat Prod 1987;50(4):706-13.
  92. Juan ME, Wenzel U, Daniel H, Planas JM. Erythrodiol, a natural triterpenoid from olives, has antiproliferative and apoptotic activity in HT‐29 human adenocarcinoma cells. Mol Nutr Food Res 2008;52(5):595-9.
  93. Leal LKAM, Ferreira AAG, Bezerra GA, Matos FJA, Viana GSB. Antinociceptive, anti-inflammatory and bronchodilator activities of Brazilian medicinal plants containing coumarin: a comparative study. J Ethnopharmacol 2000;70(2):151-9.
  94. Liu H. Extraction and isolation of compounds from herbal medicines. In: Willow J, H Liu Eds. Traditional Herbal Medicine Research Methods. John Wiley and Sons, Inc; 2011.
  95. Farinola N, Piller N. Pharmacogenomics: Its role in re-establishing coumarin as treatment for lymphedema. Lymphat Res Biol 2005;3(2):81–6.
  96. Riveiro ME, De Kimpe N, Moglioni A, Vazquez R, Monczor F, Shayo C, et al. Coumarins: old compounds with novel promising therapeutic perspectives. Curr Med Chem 2010;17(13):1325-38.
  97. Moon PD, Lee BH, Jeong HJ, An HJ, Park SJ, Kim HR,, et al. Use of scopoletin to inhibit the production of inflammatory cytokines through inhibition of the IκB/NF-κB signal cascade in the human mast cell line HMC-1. Eur J Pharmacol 2007;555(2):218-22.
  98. Cheung HT, Wong CS. Structures of triterpenes from Dryobalanops aromatica. Phytochem 1972;11(5):1771-80.