Department of Biochemistry, Yuvaraja’s College, University of Mysore, Mysore, Karnataka, India 570005
Email: sharadaac@gmail.com
Received: 05 Jan 2015 Revised and Accepted: 28 Jan 2015
ABSTRACT
Objective: To investigate the antioxidant properties of curcumin pyrazole derivatives using different in-vitro models and hypoglycemic potential by gluconeogenesis studies.
Methods: Antioxidant ability of curcumin pyrazole derivatives was evaluated by using DPPH, nitric oxide, superoxide anion scavenging and lipid peroxidation assays comparing with standard, ascorbic acid (AA). The hypoglycemic effects of the compounds (3a-3e) were assessed by gluconeogenesis inhibition assay using rat liver slices comparing with standard, Insulin.
Results: Compounds demonstrated strong scavenging activities against 2, 2-diphenyl, 2-picryl hydrazyl (DPPH), nitric oxide, superoxide anion radicals and also effectively inhibited lipid peroxidation. Compounds 3a, 3b and 3e exhibited significant activity in quenching DPPH, superoxide anion radical, nitric oxide and showed anti-lipid peroxidation. Other compounds 3c and 3d showed moderate activities. The gluconeogenesis inhibitory effects were more pronounced with compounds 3a and 3b compared to compounds 3c, 3d and 3e.
Conclusion: Curcumin pyrazole derivatives showed considerable antioxidant activity against free radicals and lipid peroxidation. They exhibited significant IC50 values and thus can promote prominent protection against oxidative damage. The compounds 3a and 3b could be promising hypoglycemic agents as they are capable of lowering blood glucose by inhibiting gluconeogenesis and can be selected for further in-vitro and in vivo anti-diabetic investigations.
Keywords: Antioxidant, Curcumin, Free radicals, Oxidative stress, Pyrazoles, Gluconeogenesis.
INTRODUCTION
Generation of free radicals is a normal part of the cellular process. Reactive oxygen species functions in invading pathogens, as mitogens and also in intercellular and intracellular signaling. Antioxidants are important in maintaining a good health against oxidative stress caused by free radicals [1-2]. Oxidative stress occurs due to augmentation of reactive oxygen species beyond the protection level of antioxidant defense system to neutralize the reactive oxygen species [3]. Oxidative stress has a major impact on health and inflicts various diseases in the human system, including cancer, cardiovascular diseases, inflammatory conditions, diabetic complications, Alzheimer’s disease and ageing [4-8].
Though synthetic antioxidants are used in various food industries, risk of hepatotoxic and carcinogenic side effects of the synthetic antioxidants provoked to find an alternative, effective antioxidants of natural origin [9, 10]. Polyphenols gained much attention in this aspect due to their potential health benefits [11]. Curcumin is a polyphenol obtained from the plant Curcuma longa, commonly called as turmeric and is used for a broad range of ailments in traditional medicine. Extensive research over the past few decades has indicated this polyphenol is a potent therapeutic agent against various diseases [12].
Though curcumin has a major impact in the field of medicine, its effectiveness is limited by poor absorption, rapid metabolism, rapid systemic elimination and solubility [13]. Chemical alterations in the structure of curcumin have been studied to prevail over the limitations of curcumin & various curcumin analogues are synthesized to improve the therapeutic profile of natural product [14-16].
Ethanone pyridine curcumin analogues and cyclopropoxy curcumin analogues were synthesized in our previous work and they exhibited in vivo growth inhibitory and anti angiogenic effects against mouse tumor model [17, 18]. In continuation of our research on analogues of curcumin, in the present study, a series of curcumin pyrazole derivatives (3a-3e) were investigated for free radicals scavenging and anti-lipid peroxidation properties. Further, all the compounds were tested for hypoglycemic effects by gluconeogenesis assay using rat liver.
MATERIALS AND METHODS
Materials
All chemicals and solvents were of analytical grade and obtained from Himedia chemicals, Mumbai, India. HBSS media were obtained from Sigma-Aldrich Co, Bengaluru. Insulin from Novo nordisk and God-pod reagent was purchased from Ranbaxy Laboratories Ltd, Bengaluru. The reagents used were 1, 1-Diphenyl-2-picryl hydrazyl (DPPH), sulphanilamide, sodium nitroprussude, o-phosphoric acid, N-(1-(Naphthyl ethylene diamine dihydrochloride), phenazine methosulfate, nicotinamide adenine dinucleotide reduced (NADH), riboflavin, sodium cyanide, ferrous bisulphate, thiobarbutyric acid (TBA), nitroblue tetrazolium (NBT), ethylene diamine tetra acetate (EDTA), sodium pyruvate and trichloroacetate (TCA).
Chemistry
Curcumin analogues (3a-3e) were synthesized by base catalyzed cyclization of different phenyl hydrazines with curcumin in the existence of ethanol under reflux condition. Both electrons withdrawing and electron donating substituent’s on phenyl hydrazines smoothly underwent cyclization with curcumin to generate pyrazole derivatives [19-22]. Proton and carbon NMR spectral data are convinced with the proposed structure and physico-chemical data of all the compounds are listed in table 1.
Biology
Curcumin pyrazoles (3a-3e) were tested for free radicals scavenging activity in different in vitro models. Several concentrations of compounds ranging from 25-200 µmol/l were selected for each antioxidant assay and 100-800 µmol/l range for gluconeogenesis assay.
Antioxidant activity by DPPH method
The antioxidant activity of the curcumin analogues (3a-3e) was determined using 1, 1-Diphenyl-2-picryl hydrazyl radical (DPPH). DPPH scavenging activity was measured by the spectrophotometric method with minor modifications [23]. 0.05 ml of the compounds (3a-3e) dissolved in DMSO were added to a methanolic solution of DPPH (200 µmol/l), at different concentrations (25-200 µmol/l). An equal amount of DMSO was added to the control. The decrease in the absorbance of test compounds was read at 517 nm after 20 min using spectrophotometer (Shimadzu UV-1800) and the percentage inhibition was calculated by using the formula:

Where control absorbance is the measurement of DPPHsolution without compound and sample absorbance is the measurement of DPPHsolution with compound.
A linear curve was obtained by plotting percentage of radical scavenging activity versus concentrations of compounds. IC50 was calculated for the inhibitor with the linear curve by using XY scattered plot and compared with ascorbic acid. IC50 value is the concentration of inhibitor needed for scavenging 50 % DPPH Radical.
Superoxide anion radical scavenging assay
The scavenging activity of the superoxide anion radical (O2-) was measured in terms of inhibition of production of O2-according to the method described with minor modifications [24]. To 1 ml of nitro blue tetrazolium (NBT) solution (156 mmol/l NBT in 100 mmol/l phosphate buffer, pH 7.4), 1 ml NADH solution (468 mmol/l NADH in 100 mmol/l phosphate buffer, pH 7.4), and 1 ml of curcumin pyrazoles (3a-3e) in DMSO was mixed at different concentrations (25-200 µmol/l). The reaction was started by adding 1 ml of phenazine methosulfate (PMS) solution (60 µmol/l PMS in 100 mmol/l phosphate buffer, pH 7.4) to the mixture. The reaction mixture was incubated at 25 °C for 5 min and the absorbance was measured at 560 nm against blank and compared with the standard. The decreased absorbance of the reaction mixture indicated increased superoxide anion scavenging activity. The percentage inhibition of superoxide anion generated was calculated.
Nitric oxide scavenging activity
Nitric oxide scavenging activity was measured spectrophotometrically with minor modifications [25]. Sodium nitroprusside (5 mmol/l) in phosphate buffered saline, pH 7.4 was mixed with different concentrations of the curcumin pyrazoles (25-200 µmol/l) prepared in DMSO and incubated at 25 °C for 150 min. A control without test compound, but with an equivalent amount of DMSO; was taken. After 150 min, 1.5 ml of the incubated solution was removed and diluted with 1.5 ml of Griess reagent [1 % sulphanilamide, 2 % phosphoric acid and 0.1 % N-(1-(Naphthylethylenediamine dihydrochloride). Absorbance of the chromophore formed during diazotization of the nitrite with sulphanilamide and subsequent coupling with N-(1-(Naphthylethylenediamine dihydrochloride) was measured at 546 nm. The percentage scavenging activity was measured and compared with the effects of ascorbic acid.
Lipid peroxidation assay
The experiment was carried out for anti-lipid peroxidation according to the regulations of the animal ethics committee of the University of Mysore, letter no. UOM/IAEC/18/2012. Mice liver was freshly excised and processed to get 10 % homogenate in cold phosphate buffered saline (pH 7.4) and clear homogenate is obtained by filtration. Lipid peroxidation was analyzed by estimating the TBARS by using standard method with some modifications [26]. Curcumin analogues at different concentrations (25-200 µmol/l in DMSO) were added to liver homogenate. Lipid peroxidation was initiated by adding 100 µl of 15 mmol/l ferrous sulfate solution to 3 ml tissue homogenate. After 30 min, 100 µl of this reaction mixture was taken to a tube containing 1.5 ml 10 % TCA. Tubes were centrifuged after 10 min and the supernatant was separated and mixed with 1.5 ml of 0.67 % TBA in 50 % acetic acid. The mixture was heated in boiling water bath for 30 min. The pink colour obtained was measured at 535 nm. The results are expressed as percentage inhibition and compared with ascorbic acid.
In vitro gluconeogenesis assay in isolated rat liver slices
Adult male albino rats were fasted overnight and were killed by cervical dislocation according to the regulations of the animal ethics committee of the University of Mysore, letter no. UOM/IAEC/18/2012. The liver was excised and washed in ice cold saline and stored on ice. Compounds (3a-3e) dissolved in DMSO at different concentrations (100-800 µmol/l) were transferred to different wells in different 24 well plates containing Hank’s Balanced Salt Solution (HBSS). Sodium pyruvate (10 mmol/l) prepared in HBSS was added to the 24 well plates such that the final concentration of pyruvate should be 5 mmol/l. Liver slices were cut as described [27] with few modifications. The slices were weighed in a digital balance. The weights of tissue slices were between 100 and 150 mg and are added to plates containing HBSS medium and pyruvate with compounds at different concentrations. DMSO treated plates served as control and Insulin (1 mmol/l) was taken as standard drug. The culture plates were incubated at ambient temperature (27 ˚C) for up to 60 min. Aliquots were taken from the plates at 0, 30 and 60 min. The amount of glucose formed in the culture plate was assayed using the GOD-POD method as described below.
Glucose estimation by GOD-POD method
Glucose in the culture plates was assayed by the GOD-POD assay kit protocol. Briefly, 50 µl of the incubated medium was transferred to a 96 well ELISA plate. The GOD-POD color reagent (200 μl) was added to each well. The color was developed in the dark at 37 ˚C for 30 min and then the optical density was measured at 505 nm and the percentage production of glucose was calculated by using the formula:

Statistical analysis
Data were analyzed using Excel software. The data were expressed as mean±standard deviation and all experiments were performed in triplicates.
RESULTS
Compound 3b also effectively scavenged DPPH free radicals and the activity was found to be 51.93 % at 50 µmol/l, 76.28 % at 100 µmol/l and 89.26 % at 200 µmol/l concentrations. The IC50 was found to be 62.28±0.72 µmol/l.
Table 1: A series of curcumin pyrazole derivatives (3a-3e)
| S. No. Phenyl hydrazines | Product | Time (h) | Yield (%) |
![]() 1 |
![]() |
13 | 91 |
![]() 2 |
![]() |
14 | 89 |
![]() 3 |
![]() |
15 | 75 |
![]() 4 |
![]() |
14 | 86 |
![]() 5 |
![]() |
12 | 92 |
Chemistry
Curcumin analogues (3a-3e) were synthesized by base catalyzed cyclization of different phenyl hydrazines with curcumin in the presence of ethanol under reflux condition.
Table 2: In-vitro antioxidant activities (IC50) of curcumin pyrazole derivatives (3a-3e) and Ascorbic acid
| S. No. | Sample description | DPPH (µmol/l) | Nitric oxide (µmol/l) | Superoxide anion (µmol/l) | Lipid peroxidation (µmol/l) |
| 1 | Ascorbic acid | 18.01±0.22 | 18.145±0.17 | 60.83±0.43 | 30.72±0.23 |
| 2 | 3a | 48.49±0.52 | 71.61±0.77 | 129.70±1.08 | 52.119±0.66 |
| 3 | 3b | 62.28±0.72 | 30.58±0.68 | 96.917±1.12 | 37.517±0.78 |
| 4 | 3c | 74.07±0.63 | 66.32±0.58 | 269.82±1.76 | 75.58±0.65 |
| 5 | 3d | 270.05±0.33 | 123.28±0.14 | 281.93±1.92 | 147.08±1.22 |
| 6 | 3e | 30.51±0.49 | 29.47±0.58 | 72.478±0.79 | 75.239±0.62 |
Biology
DPPH free radical scavenging assay
The free radical scavenging ability of curcumin pyrazoles (3a-3e) and ascorbic acid were analyzed by the DPPH method and the results in IC50 values are depicted in the table 2. The free radical scavenging activity of each compound at a concentration range of 25-200 µmol/l was evaluated by measuring the change of absorbance formed by the reduction of DPPH. The scavenging activity of ascorbic acid against DPPH was found to be 36.36 % at 25 µmol/l, 70.9 % at 50 µmol/l, 84.36 % at 100 µmol/l and 97.52 % at 200 µmol/l concentrations. The IC50 was found to be 18.01±0.22 µmol/l. Compound 3a showed an effective quenching with 55.4 % at 50 µmol/l, 77.2 % at 100 µmol/l and 94.6 % at 200 µmol/l concentration and the IC50 was found to be 48.49±0.52 µmol/l.
Compound 3c showed an effective quenching with activity of 48.86 % at 50 µmol/l, 64.31 % at 100 µmol/l and 95.53 % at 200 µmol/l concentrations and the IC50 was found to be 74.07±0.63 µmol/l. Compound 3d was not much effective in scavenging and showed 39.77 % quenching at 200 µmol/l and the IC50 was>200 µmol/l. Compound 3e was very effective in scavenging DPPH free radical and the percentage activity was found to be 70.93 % at 50 µmol/l, 79.32 % at 100 µmol/l and 93.92 % at 200 µmol/l concentrations. The IC50 was found to be 30.51±0.49 µmol/l.

Fig. 1: DPPH free radical scavenging activity of ascorbic acid and curcumin pyrazole derivatives (3a-3e) at 25-200 µmol/l concentrations showing percentage inhibition
Superoxide anion scavenging activity
Superoxide anion scavenging activity of curcumin pyrazoles (3a-3e) and ascorbic acid were tested and the results in IC50 values are shown in the table 2. The superoxide anion scavenging activity of ascorbic acid was found to be 21.05 % at 25 µmol/l, 64.16 % at 50 µmol/l, 68.74 % at 100 µmol/l and 81.35 % at 200 µmol/l concentrations and the IC50 was 60.83±0.43 µmol/l. Compound 3a showed moderate inhibition at lower concentrations and showed scavenging of 70.02 % in higher concentration at 200 µmol/l and the IC50 was found to be 129.70±1.08 µmol/l. Compound 3b showed comparatively effective scavenging at lower concentrations and was found to be 72.17 % at 200 µmol/l with IC50 96.917±1.12 µmol/l.
Compounds 3c and 3d showed least scavenging activity in the series with inhibition of 39.87 % and 37.5 % at 200 µmol/l concentration. IC50 values were found to be>200 µmol/l for 3c and 3d respectively. Compound 3e was comparatively significant in its activity and showed 82.30 % of scavenging at 200 µmol/l concentration and IC50 was found to be 72.478±0.79 µmol/l.

Fig. 2: Superoxide anion free radical scavenging of ascorbic acid and curcumin pyrazole derivatives (3a-3e) at 25-200 µmol/l concentrations showing percentage inhibition

Fig. 3: Nitric oxide free radical scavenging of ascorbic acid and curcumin pyrazole derivatives (3a-3e) at 25-200 µmol/l concentrations showing percentage inhibition
Nitric oxide scavenging activity
Nitric oxide scavenging activities of curcumin pyrazoles (3a-3e) and ascorbic acid were tested and the results are expressed in IC50 values which are depicted in the table 2. The nitric oxide scavenging activity of ascorbic acid was found to be 37.33 % at 25 µmol/l, 65.11 % at 50 µmol/l, 91.66 % at 100 µmol/l and 95.91 % at 200 µmol/l concentrations and the IC50 was found to be 18.145±0.17 µmol/l. Compounds 3b and 3e showed an effective scavenging activity among the series. Compound 3b exhibited the scavenging activity with inhibition of 62.30 % at 50 µmol/l, 79.78 % at 100 µmol/l and 89.26 % at 200 µmol/l concentrations and the IC50 was found to be 30.58±0.68 µmol/l. The scavenging activity of compound 3e was found to be 64.29 % at 50 µmol/l, 78.01 % at 100 µmol/l and 90.88 % at 200 µmol/l concentrations with IC50 value of 29.47±0.58 µmol/l.
Compound 3a showed comparatively moderate activity and the IC50 was found to be 71.61±0.77 µmol/l with an inhibition of 85.49 % at 200 µmol/l concentration. Compound 3c shows an inhibition of 87.74 % at 200 µmol/l concentration with the IC50 value of 66.32±0.58 µmol/l. Compound 3d showed the least scavenging activity with IC50 of 123.28±0.14 µmol/l and could able to inhibit 65.48 % at 200 µmol/l concentration.
Anti-lipid peroxidation activity
Anti-lipid peroxidation activities of curcumin pyrazoles (3a-3e) and ascorbic acid were tested using mice liver homogenate and the results are expressed in IC50 values which are depicted in the table 2. The anti-lipid peroxidation activity of ascorbic acid was found to be 38.01 % at 25 µmol/l, 62.99 % at 50 µmol/l, 76.03 % at 100 µmol/l and 92.9 % at 200 µmol/l concentrations and the IC50 was 30.72±0.23 µmol/l. Compound 3b showed effective activity than other compounds in the series and was found to inhibit 60.77 % at 50 µmol/l, 80.41 % at 100 µmol/l and 90.23 % at 200 µmol/l concentrations with IC50 value of 37.517±0.78 µmol/l. Compound 3a also showed an effective anti-lipid peroxidation activity with inhibition of 57.04 % at 50 µmol/l, 71.21 % at 100 µmol/l and 90.67 % at 200 µmol/l concentrations and the IC50 was found to be 52.119±0.66 µmol/l.

Fig. 4: Anti-lipid peroxidation assay of ascorbic acid and curcumin pyrazole derivatives (3a-3e) at 25-200 µmol/l concentrations showing percentage inhibition
Compounds 3c and 3e showed moderate inhibition at lower concentrations and showed scavenging of 80.26 % and 89.43 % in higher concentration at 200 µmol/l and the IC50 was found to be 75.58±0.65 and 75.239±0.62 µmol/l respectively. Compound 3d shows the least activity among the series with activity of 60.09 % at 200 µmol/l concentration and the IC50 value was found to be147.08±1.22 µmol/l. All the compounds in the series showed anti-lipid peroxidation activity in a concentration dependent manner. Free radicals induce lipid peroxidation in polyunsaturated fatty acids by forming lipid radicals. Oxidative degradation of polyunsaturated fatty acids causes membrane damage. In this study lipid peroxidation was induced in mice liver. Lipid peroxidation was initiated by ferrous sulphate through Fenton’s reaction and could be inhibited by the scavenging of superoxide or hydroxyl radical or by decreasing the rate of formation of ferric from ferrous ions.
In vitro gluconeogenesis assay in isolated rat liver slices
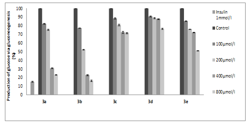
Curcumin pyrazole derivatives (3a-3e) were screened for hypoglycemic effects using gluconeogenesis inhibition studies in rat liver slices. 0.145 units of Insulin (1 mmol/l) inhibited gluconeogenesis and showed 15.22 % glucose production with reference to the production of glucose in DMSO treated plates. Compound 3a showed 82.24, 75.45, 30.88 and 23.27 % production of glucose at 100, 200, 400 and 800 µmol/l concentrations respectively. Compound 3b exhibited 77.35, 52.47, 23.01 and 16.45 % glucose production at 100, 200, 400 and 800 µmol/l concentrations respectively. Compounds 3c and 3d were not significant in inhibiting gluconeogenesis and showed 71.44 and 76.46 % of glucose production at 800 µmol/l concentration respectively. Compound 3e showed 85.44, 76.1, 72.09 and 51.23 % of glucose production at 100, 200, 400 and 800 µmol/l concentrations respectively. Compounds 3a and 3b showed 76.73 and 83.55 % inhibition of gluconeogenesis at 800 µmol/l, respectively, whereas 1 mmol/l of insulin inhibited gluconeogenesis by 84.78 % in the rat liver slices.

Fig. 5: Hypoglycemic studies of Insulin and curcumin pyrazole derivatives (3a-3e) on gluconeogenesis in rat liver slices showing production of glucose in percentage
DISCUSSION
The development of chemical modifications in the structure of curcumin is one of the possible approaches to advance its therapeutic efficiency. Several analogues are being synthesized by different researchers [14, 16]. On the other hand, pyrazoles are the crucial bioactive moiety and received considerable attention in the pharmacological research with promising antioxidant, anticancer, hypoglycemic and other biological activities [28-31].
In this perspective, curcumin pyrazoles (3a-3e) were synthesized and screened for antioxidant and hypoglycemic effects and are shown to be potent in scavenging free radicals and in inhibiting lipid peroxidation. Curcumin pyrazoles (3a-3e) also inhibited gluconeogenesis in rat liver slices.
DPPH free radical scavenging assay provides a method to evaluate the antioxidant activity in a relatively short period and the scavenging activity may be attributed to the hydrogen donating ability of the compounds [32]. Semicarbazone curcumin derivatives and dimethylaminomethyl-substituted curcumin derivatives have shown to scavenge DPPH free radicals [33, 34]. Compounds 3a, 3b and 3e showed considerable activity in quenching DPPH free radical more effectively with significant IC50 values. Manganese complex of curcumin and diacetyl curcumin manganese complex have shown to scavenge nitric oxide free radicals in a dose dependent manner [35]. Compounds 3b and 3e showed better activity in competing with oxygen to react with nitric oxide and thus inhibit the generation of nitric oxide anion radicals. Nitric oxide radical has various roles in biological processes and also involved in the formation of peroxynitrite radicals which cause damage to lipids, proteins and nucleic acids. The prevention of the generation of nitric oxide radicals is one of the important criteria for an antioxidant molecule [36]. These compounds exhibit significant IC50 values and can thus ensure protection against oxidative stress caused by nitrite and peroxynitrite anions. Superoxide anion was known to induce lipid peroxidation and thus scavenging of this anion will gain prime importance and the drug with effective inhibition could be a potent antioxidant molecule [37].
A novel curcumin analogue (2E, 6E)-2, 6-bis (3, 5-dimethoxybenzylidene) cyclohexanone (MCH) scavenged free radicals in different in vitro models and comparitively as efficient as vitamin C in scavenging superoxide radicals (38). Compound 3a, 3b and 3e was found to scavenge superoxide anion with significant IC50 values and compound 3b was more effective among them. Tetrahydro curcumin possess free radical scavenging properties in various in-vitro models and shown to inhibit lipid peroxidation [39] Ortho hydroxy analog curcumin exerts its protective effects by decreasing the lipid peroxidation and improving antioxidant status in alcohol induced oxidative stress. [40]. Compound 3b was found to be a potent molecule in inhibiting lipid peroxidation in the mice liver homogenate and thus promote protection against oxidative damage caused by lipid peroxidation. Bisdemethoxy curcumin analogue has shown to inhibit the lipid peroxidation dose dependently and gluconeogenesis significantly [41]. A novel vanadyl curcumin complex exhibited hypoglycemic effects in streptozotocin induced diabetic rats (42).
Inhibition of gluconeogenesis is a promising approach for an antidiabetic drug (43). Though all the compounds in the series showed inhibition in gluconeogenesis at different concentrations, compound 3b was found to be more potent. Compounds 3a and 3b significantly inhibits gluconeogenesis and are as effective as insulin in their action and can be considered as an alternative hypoglycemic agents. However mechanistic studies of gluconeogenesis inhibition need to be assessed in future studies.
CONCLUSION
A series of Curcumin pyrazole (3a-3e) derivatives were evaluated for their antioxidant potential in various in-vitro models including DPPH, nitric oxide, superoxide anion free radical scavenging and lipid peroxidation assays. In addition, all the compounds (3a-3e) were assessed for hypoglycemic properties via gluconeogenesis studies in rat liver slices. All the compounds investigated showed antioxidant activity in all in-vitro models. Though other compounds showed scavenging activity in these in vitro models, the inhibition was not much more significant compared to compounds 3b and 3e. The report indicated that Compounds of curcumin pyrazole series (3a-3e) efficiently attenuated oxidative stress via its antioxidant properties. Compound 3b and 3e was found to be more potent with high percentage of inhibition as compared to other compounds in the series which may attribute to the possible antitumor properties. However, further studies are needed to analyze structure activity interactions responsible for the overall antioxidant activities. Further, compounds 3a and 3b exhibited significant glucose lowering effects by inhibiting gluconeogenesis in rat liver slices. From these results, it was concluded that compound 3b was found to possess potent antioxidant and hypoglycemic properties and thus can be selected for further in-vitro and in-vivo biological studies.
ACKNOWLEDGEMENT
The author Mr Puneeth would like to thank Mr Ramzi Abdulrashed Abdulkhaleq Gazem, research scholar, Department of Biochemistry, Yuvaraja's College for his support in the present work.
CONFLICT OF INTERESTS
The authors have declared no conflict of interest
REFERENCES