
KLE College of Pharmacy, Belagavi-590010, India
*Corresponding author: Basavaraj M. Dinnimath; Email: bmdinnimath@gmail.com
Received: 18 Jan 2023, Revised and Accepted: 13 Apr 2023
ABSTRAC
Schiff bases are well-known synthetic compounds which are known to be used as drug molecules for various pharmacological and therapeutic applications. These compounds were prepared synthetically in simple steps and used against various diseases as antimicrobial agents, anti-HIV agents, antitumour agents, industrial applications like enzymatic reactions, catalytic activity. However, considering the various challenges posed by different microorganisms to the conventional Schiff bases, medicinal chemists have initiated the novel approach by synthesizing the new lead compounds for different pharmacological activities containing complexes of Schiff bases with different metals as these are new compounds and potent molecules due to duo combination with metals. This combination has gained prominence now a days against those diseases for which Schiff bases are becoming ineffective, such as cancer due to resistance and irrational usage. Hence, this review is an attempt to throw some light on the recent developments in the world of new drug molecules comprising of Schiff bases complexes with different metals like Copper (Cu), Palladium (Pd), Aluminium (Al), gold (Au), Silver (Ag) etc.
Keywords: Organometallic, Schiff bases, Metal ions, Anti microbial, Cytotoxic potentials, Anti malarial, Anti proliferative, Anti inflammatory
© 2023 The Authors. Published by Innovare Academic Sciences Pvt Ltd. This is an open access article under the CC BY license (https://creativecommons.org/licenses/by/4.0/)
DOI: https://dx.doi.org/10.22159/ijpps.2023v15i6.47362. Journal homepage: https://innovareacademics.in/journals/index.php/ijpps.
The selection of articles for the current review were obtained from specialized databases (Range of years: 2016-2021) such as Elsevier, Science Direct, Scopus, PubMed, and Google Scholar using the keywords Organometallic compounds, Schiff Base, Metal complexes, Metal Ions, Pharmacological potentials, Anti-microbial activity, anticancer activity. Other selections include articles from Springer, information from Internet sources, and online published articles from various certified sources.
The compounds containing primary amines and carbonyl groups usually react to give Schiff base which is a condensed product. Nowadays, these compounds are gaining prominence in research due to their multiple Applications in different fields. These Schiff bases are found to be potent pharmacophore as they contain imine (–C=N–) group, which is used for the synthesis of various lead compounds of biological significance. These compounds have shown biological activities apart from industrial applications and corrosion free techniques [1].
The Schiff bases with the general structure R1R2C=NR' were reported by Hugo Schiff in 19th century and they have been widely used for various applications. Various methods have been reported for the synthesis of Schiff base, and the most common being the condensation of amines/hydrazides with carbonyl compounds, in which water is eliminated as a by-product. Other alternative procedure being a simple reaction between acetone and a primary amine. These compounds contain nitrogen moiety bound to a carbonyl carbon group (C=O), giving an imine (C=H). Complexation also takes place with normal stirring at room temperature for a fixed period of reaction time [2]. Nowadays, these compounds have been exploited extensively due to their potentially diverse pharmacological activities. These are used as the precursors for the synthesis of various organic compounds and processes for establishing carbon-nitrogen linkage and also find a place as the intermediates for the immense volume of organic compounds possessing essential contribution in different disciplines [3].
It has been noticed that significant developments have taken place in the research related to Schiff base derivatives that are possessing variety of pharmacological activities, still a threat from various factors including microbes to these organic compounds led to the development of new coordinate compounds containing Schiff bases with different metals [4, 5]. This chelation of Schiff bases with metals has resulted in the development of enhanced potency in their pharmacological activities, mainly anticancer activity and hence this has gained momentum now [6].
Current study of different schiff base metal complexes for multiple activities
Screening for antimicrobial activity
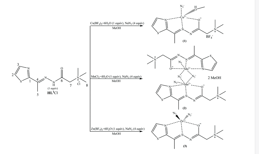
New organic coordination complexes containing Copper (II), Manganese (II) and Zinc (II) along with N, N, N-trimethyl-2-oxo-2-(2-(1-(thiazol-2-yl)ethylidene) hydrazinyl) ethan-1-aminium chloride (HL1Cl) have been synthesized and their characterisation was carried out by techniques like single-crystal X-ray diffraction (SERC), FT-IR spectroscopy, DFT calculations and Elemental characterization. In these compounds, Schiff base ligand (L1) was harmonized with Copper (II) and Zinc (II) giving mono-nuclear penta-coordinated complexes [CuL1(N3)(CH3OH)]BF4 and [ZnL1(N3)2], respectively, while Manganese (II) formed a binuclear [Mn2L12(μ-1,1-N3)2(N3)2]·2CH3OH complex and it was found that these showed trigonal-prism-like geometry around the metal centres. Later, these metal complexes showed a broad spectrum of antimicrobial activity versus Gram-positive and Gram-negative bacteria, two yeast strains and one fungal strain. The antifungal activity shown by binuclear Manganese (II) complex was comparable to that of standard drug Amphotericin B. The Copper (II) and Manganese (II) complexes were subjected to evaluation of cytotoxic activity versus five malignant cancer cell lines (HeLa, A375, MCF7, PC-3 and A549) and one normal cell line HaCaT. Also, they were subjected for antioxidant activity by α, α-diphenyl-β-picrylhydrazyl (DPPH) method. Although the anticancer activity exhibited by both complexes was significant, but the cytotoxic activity of the Manganese (II) coordinated complex against the MCF7 breast cancer cell line was found to be weaker than when compared to Cisplatin, whereas the selectivity of the complex towards the tumour cell line in comparison to normal HaCaT cells, was found to be better than Cisplatin [7].

Fig. 1: Synthesis of organic complexes using Copper, Manganese and Zinc
The Schiff bases are found to be versatile and stable compounds which are synthesized by condensing primary amines with carbonyl compounds. These Schiff bases have been chelated with different transition metal and these complexes have received extensive consideration now days due to their biological activity against metalloenzymes and their bio-models which mimic the natural biomolecules such as proteins and enzymes. These compounds possess pharmaceutical significance due to their diverse biological activities [8].
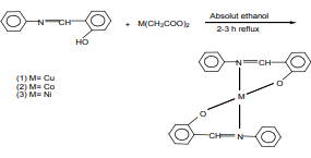
The new organometallic derivatives of Schiff base with transition metals like Chromium (Cr3+), Manganese (Mn2+), Cobalt (Co2+), Nickel (Ni2+), Copper (Cu2+), Zinc (Zn2+), Cadmium (Cd2+) and Mercury (Hg2+) in molar ratios of 2:1 (Metal: L), except Hg2+ which has molar ratio of 1:1 (M: L) in which Schiff bases were synthesized by carrying out condensation reaction between methyldopa and 3-methoxysalicylaldehyde in ethanol. Later the metal complexes were characterized using spectral methods and the study showed that these metal complexes displayed dinuclear octahedral geometry except for Cadmium (Cd2+) and Mercury (Hg2+), which have shown dinuclear tetrahedral and mononuclear tetrahedral, respectively. This work signifies the metal complexation strategy to stabilize the ligands and ameliorate their bioactivity. The Schiff base complexes have shown propitious antimicrobial results against different bacteria and fungi [9].

Fig. 2: Binuclear complexes containing different metals like Chromium (Cr3+), Manganese (Mn2+), Cobalt (Co2+), Nickel (Ni2+), Copper (Cu2+), Zinc (Zn2+), Cadmium (Cd2+) and Mercury (Hg2+)


Fig. 3: Different metal complexes of schiff bases
The microbial resistance to current drugs associated with food spoilage and complications in disease treatment have escalated mortality rate worldwide. As the Schiff bases are potent compounds used for various biological activities and are generally synthesized by condensing a primary amine with a carbonyl compound. However, keeping in mind the resistance to Schiff bases, the complexation with metals has improved their potency. These new metal complexes were checked for different potential biological activities and it was found that metal complexation has improved their antimicrobial activity [10].
In a new approach to synthesize the metal complexes involving Schiff bases, 5-chlorosalicylaldehyde and 4-fluoroaniline were condensed in methanol at room temperature to give a Schiff base ligand, 4-chloro-2-{(E)-[(4-fluorophenyl) imino] methyl} phenol (C13H9ClFNO), which further was complexed with metals like Copper (II), Cobalt (II), Nickel (II), Manganese (II), and Zinc (II) in methanol. These organometallic compounds of Schiff bases were identified by different analytical methods like melting points, Elemental analysis, spectral characterization, molar conductance values and the general formula [M(L)2(H2O)2], for the metal complexes was deduced from the element analysis data. On the basis of spectral data, it was confirmed that “Oxygen” and “Nitrogen” donor atoms belonging to the Schiff base ligand participated in coordination with the metal (II) ions, has indicated a six co-ordinated octahedral geometry for all these complexes. The metal (II) complexes exhibited better antibacterial activity than the free Schiff base ligand, which were screened against Gram-positive bacteria such as Bacillus subtilis and Staphylococcus typhi and Gram-negative bacteria like Escherichia coli and Pseudomonas aeruginosa using the disc diffusion method. The results of the study have indicated that the metal complexes possess better antibacterial potency than the Schiff bases [11].

Fig. 4: Manganese (Mn2+), Cobalt (Co2+), Nickel (Ni2+), Copper (Cu2+), Zinc (Zn2+) complexes of the Schiff base ligand, 4-chloro-2-{(E)-[(4-fluorophenyl) imino]methyl}phenol
The condensation of o-salicylaldehyde with o-aminophenol and o-phenylenediamine respectively produced two Schiff base ligands {2-((2-hydroxybenzylidene) amino) phenol} and {2,2'-((1,2-phenylenebis (azanylylidene)) bis (methanylylidene)) diphenol} respectively and these two ligands were complexed with Copper (II) and Cobalt (II) ions. Structural identification was established by the help of spectral data of ligand and complexes. The “Nitrogen” and “Oxygen” atom of the Schiff bases are mainly responsible for binding of ligand with the metal ions as evident from Fourier Transform-Infrared spectra and the non-electrolytic nature of the complexes was confirmed by Molar conductance values. Square-planar structure of Copper (II) and the octahedral structure of Cobalt (II) complexes were established by Magnetic susceptibility data and electronic spectra Schiff base ligands and their complexes displayed better anti-microbial activities upon screening by Disc-Diffusion method and it was found that the metal complexes were more potent as antibacterial agents than their corresponding ligands [12].

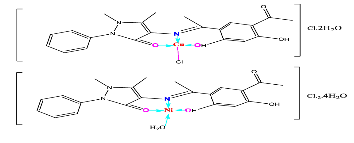
Fig. 5: Schiff bases complexes with copper (II)
The organometallic derivatives of Schiff bases are synthesized from the condensation of the compound containing an amine group with a compound containing a carbonyl group and these exhibited a broad spectrum of biological activities and are also involved in industrial applications. Many Schiff bases involved complexes are used for catalytic activity (homogeneous and heterogeneous catalysis) with high stability. The influence of metals in the coordination compounds on their biological activity is significant in the study. As a result of this, the organometallic derivatives of Schiff bases are gaining prominence as chemotherapeutic agents worldwide [13].

Fig. 6: Schiff base complex with samarium (Sm), Gadolinium (Gd), Dysprosium (Dy)
A new Schiff base ligand was prepared by condensing amoxicillin trihydrate with nicotinaldehyde and their metal complexes with Cobalt (Co2+), Nickel (Ni2+), Copper (Cu2+), Zinc (Zn2+) were characterized and analysed with the help of physical and spectral techniques. The analysis using thermal analytical methods like Differential thermal analysis (DTA)/differential scanning calorimetry (DSC) gave a better insight into the thermal stability of the complexes. The Coats-Redfern method was applied to screen the thermodynamic parameters required to explain the kinetic behaviour. The molar conductance study indicated their non-electrolytic nature. The powder X-Ray Diffraction pattern revealed the crystal structure of the complexes, which also revealed the amorphous nature except for copper complex (1c), which was crystalline. The Electron paramagnetic resonance (EPR) study gave the tetrahedral geometry of the complex. The structure optimization by using Argus Lab 4.0.1 software program supported the corresponding geometry of the complexes. The in vitro antibacterial activity of all the compounds, at two different concentrations, against four bacteria strains such as E. coli, P. vulgaris, K. pneumoniae, and S. aureus, revealed that the complexes were more potent than their corresponding Schiff bases and control drug [14].

Fig. 7: Schiff bases-metal complexes of Cobalt (Co2+), Nickel (Ni2+), Copper (Cu2+), Zinc (Zn2+)

Fig. 8: The crystal structure of schiff base-E)-2-(((3-aminophenyl) imino) methyl) phenol with metal
The reaction between m-phenylenediamine and 2-hydroxy-benzaldehyde in an equimolar ration (1:1) resulted in the formation of a new Schiff base (E)-2-(((3-aminophenyl) imino) methyl) phenol (HL) and the compound was identified by elemental and spectral analysis data. The nature of coordination of transition metal ions such as Chromium (III), Manganese (II), Iron (III), Cobalt (II), Nickel (II), Copper (II), Zinc (II) and Cadmium (II) with the newly synthesized Schiff base (HL) was studied. The characteristics of bonding and the stereochemistry of the complexes have been deduced from elemental data, spectral data, and conductivity measurements. The thermal stability of the compounds was established by thermo gravimetric analysis. The chemical structures of the Schiff base (HL) and the corresponding metal complexes were established. Later, the synthesized ligand and their complexes were evaluated for anti-microbial activity against gram-positive bacteria such as S. aureus and B. subtilis, gram-negative bacteria such as E. coli and P. aeruginosa, and fungi such as A. fumigatus and C. albicans. The results indicated that the complexes were much more powerful antimicrobial agents than the corresponding Schiff bases. Molecular docking was carried out to study the possibility of successful binding of Schiff base (HL) with receptors of Escherichia coli (3 T88) and Staphylococcus aureus (3Q8U) and the results indicated that interactions of metal complexes with the receptor of Escherichia coli (3 T88) was more prominent than with the receptors of Staphylococcus aureus (3Q8U) [15].

The anthranilic acid derivatives substituted with halogens were chelated with different metals (Silver/Zinc/Iron/ Copper/Manganese/Tin/Magnesium/Cobalt/Nickel) and these contribute to the novel class of non-sugar-type α-glucosidase inhibitors and they were assessed for inhibitory activity by in vitro method. All of the complexes containing Silver (I) inhibited α-glucosidase at the nanomolar scale, while 3,5-dichloroanthranilic acid silver (I) was the most potent (IC50 = 3.21 nmol/l). It was found from the analysis of the enzyme inhibition kinetics that the inhibition mechanism of the newly prepared silver complexes was non-competitive and. the structure-activity relationships were also analysed [16].

Fig. 9: Metal complexes of anthranilic acid derivatives substituted with halogens
The synthesis of various metal complexes from the Schiff’s base ligand which is the part of coordination chemistry and gaining prominence nowadays. Further, these metal complexes are used for various biological applications like antimicrobial agents and other applications such as Deoxyribonucleic Acid (DNA) cleaving agents, as sensors etc [17].
A series of organometallic complexes containing Schiff bases prepared from phenyl ferrocene and containing six transition metals and they were screened for their biological potentials such as antifungal, antibacterial, antitumor activities, toxicity analysis against the brine shrimp and Deoxyribonucleic acid (DNA) damage analysis. The results indicated that the copper (Cu) and cobalt (Co) complexes of Schiff base showed significant antimicrobial potency and it was found that N-(4-hydroxybenzylidene) aniline (A5) showed the highest antifungal activity. Almost all the compounds displayed potent cytotoxic activity against the brine shrimp. This revealed the significant antitumor potentials of the compounds [up to 97% in the case of N-(4-chlorobenzylidene) aniline]. Only two compounds, N-(2-hydroxy benzylidene) 4-ferrocenylaniline (F2) and Nickel (II) complex, had showed Deoxyribonucleic acid (DNA) damaging activity [18].

Fig. 10: Schiff bases containing phenyl ferrocene and their six transition metal complexes
The development of new antitumor agents comprising of transition metals for their cytotoxic activity attempted. A powerful anticancer agent is expected to possess and exhibit inhibitory property along with the in vivo delivery, dosage and residence time. The conformation of gene mutation and the function may be changed by chelation with metal ions. The modification of the existing chemical nature by synthesizing new metal complexes containing organic bases may result in enhancing their biological activity [19].

Fig. 11: Transition metal complex of schiff base
The synthetic, structural and biological activity study as well as their catalytic applications of Schiff bases were studied and these organic compounds found to be possessed different applications in different fields such as medicine, pharmacy, coordination chemistry, biological activities, industries, food packages, dyes, polymers and also used as an Oxygen (O2) detector. These are synthesized by condensation reaction of different amino compounds with aldehydes or ketones. These Imine ligands (Schiff bases) with transition metals in the complexes are found to be good precursors for the development of nanoparticles with metal chalcogenide property [20].

Fig. 12: Synthesis of Ni and Zn complex of schiff base



Fig. 13: Anticancer application of Schiff base metal complexes (Picoplatin, Cisplatin)
The applications of metal coordinated compounds for anticancer activity in which the applications of different metals chelated with organic compounds such as Cisplatin, Oxaliplatin, Carbene based compounds, arene-based compounds etc and their scope as anticancer agents was discussed [21].
A new series of organometallic compounds (bi-dentate)containing Schiff base ligand (L), (2-(1-((2-amino-5-nitrophenyl) imino)ethyl)cyclopenta-2,4-dien-1-yl)(cyclopenta-2,4-dien-1-yl)iron prepared by the reaction between 2-acetylferrocene and 4-nitro-1,2-phenylenediamine (in 1:1 molar ratio) and later, it was chelated with Iron (III), Manganese (II), Cobalt (II), Nickel (II), Copper (II), Zinc (II) Chromium (III), and Cadmium (II). The stoichiometric ratios of the synthesized compounds were estimated from elemental study data (C, H, N, M), molar conductivity data, spectral techniques and SEM as well as their thermal analysis properties using Differential scanning calorimetry (DSC)-Thermogravimetric analysis (TGA). The study data has established the geometrical structure of the complexes as octahedral. The spectral data has confirmed the presence of azomethine, thereby the structure of coordinated complex comprising of the Schiff bases along with metal ions. These compounds have been subjected to testing for antimicrobial and anticancer potentials. The anticancer potentials of the ligand and its metal complexes were analysed by in vitro method using breast cancer (MCF-7) and human normal melanocytes (HFB-4) cell lines. Molecular docking was also attempted to find out the possible interaction between the Cadmium (II) complex and different receptors, included the active site of breast cancer mutant oxidoreductase (Protein Data Bank ID: 3HB5) and the crystal structure of Staphylococcus aureus (Protein Data Bank ID: 3Q8U) and yeast-specific serine/threonine protein phosphatase (PPZ1) of Candida albicans (Protein Data Bank ID: 5JPE) and the results were analysed [22].

Fig. 14: Bi-dentate organometallic schiff base ligand (L)
A review article discussed on the synthesis and biological activities of ferrocenyl complexes of Schiff bases specially containing Boron (I), Copper (II), Cobalt (II), Nickel (II), Zinc (II), Silicon (IV), Tin (II), Platinum (II), Palladium (II), Praseodymium (III) and other ions. Bioorganometallic chemistry mainly deals with the synthesis of new organometallic compounds and screening them for their biological activities. The reaction of ferrocene (Fc) with Schiff bases has revolutionized bioorganometallic chemistry and is now providing applications in various areas. This also deals with unforeseen nonlinear optical and redox devices together with electrostatic effects, electrochemical and other materials, sensing, liquid crystals, thermal, molecular docking and nanoparticles (NPs). The organometallic Schiff bases containing ferrocene (Fc) exhibited various pharmacological properties such as antibacterial, antifungal, DNA binding, antioxidative, antimalarial, anticancer and antitumor activities [23].

Fig. 15: Ferrocenyl complexes composed of Schiff bases with Iron (Fe)
Schiff bases are organic compounds prepared conventionally from the reaction of aldehydes or ketones with amines. These compounds possess multiple applications such as industrial like catalytic activities and biological, including antioxidant, antibacterial, antifungal, antiviral, antitumor, and anti-inflammatory activities. They are considered to be privileged ligands as these can be synthesized by simple condensation reaction. Schiff bases are found to be versatile ligands since they undergo chelation with metals. The metal chelated Schiff bases also found to possess free radical scavenging activity and thus protect living organisms from the adverse effects of these radicals; however, the antioxidant properties of these compounds need further research to justify the claim. Various attempts are made to study the various synthetic pathways, their mechanisms and their antioxidant properties [24].

Fig. 16: Shiff bases coordinate complex with Cu
In a review, authors mainly discussed the organometallic complexes of Ruthenium (Ru), Titanium (Ti), Gold (Au), Iron (Fe) and Osmium (Os) and their mechanisms of action and how new approaches improve their therapeutic potential towards various cancer phenotypes. The advent of the clinically approved drug cisplatin started a new era in the design of organometallic drugs for cancer chemotherapy. However, after that, many drugs have been synthesized but there has not been much success in this field due to some side effects and multi-drug resistance of cancer cells. In recent years, there has been increasing interest in the design of organometallic chemotherapeutics due to their good stability and unique properties. The conventional metal-based drugs exert their therapeutic effect by targeting only DNA, but the molecular target by new organometallic complexes reduced drug resistance by cancer cells. These drugs act on multiple targets such as by targeting a protein or inhibition of enzyme/s such as thioredoxin reductase (TrRx), while some target mitochondria and endoplasmic reticulum. Herein, the role of structure-reactivity relationships in enhancing the anticancer potentials of drugs for the benefit of patients both in vitro and in vivo is discussed. Apart from this, the authors also discussed in vivo tumour models that mimic human physiology to hasten the process of the development of more efficient clinical organometallic chemotherapeutics for the benefit of society [25].


Fig. 17: Organometallic complexes of Ru with Schiff base
A study on the synthesis and antibacterial potency of Schiff base metal complexes consisting of metals like Cobalt (II), Nickel (II) and Copper (II) was carried out along with docking studies. Although there are different synthetic pathways available for the preparation of Schiff bases, however, the most common method being conventionally used condensation reaction involving the nucleophilic attack of primary amines on the carbonyl carbon of aldehydes or ketones resulting in an azomethine derivative in which C=O is replaced by a C=N. A study on the synthesis of new Schiff base, (E)-4-((5-benzoyl-2-((E)-(2-hydroxybenzylidine) amino) phenyl) amino) pentan-2-one which was obtained by the reaction of Salicylaldehyde, 3, 4-diaminobenzophenone and acetylacetone at equimolar ratio (1:1). The organometal chelate comprising of Cobalt (II), Nickel (II) and Copper (II) complexes were prepared by the reaction of Ligand with metal nitrate (hexahydrate), at molar ratio 1:1. The chemical identity of ligands and corresponding complexes was established using spectral data Fourier Transform–Infrared spectroscopy, Ultraviolet-Visible spectroscopy, Proton Nuclear Magnetic Resonance Spectroscopy, Carbon Nuclear Magnetic Resonance Spectroscopy (FT-IR, UV-Vis, 1 H NMR and 13C NMR). The Electron paramagnetic resonance (EPR) study of the complexes were proposed to be of octahedral geometry. Later, the organometallic chelates were subjected to antibacterial using the agar well diffusion method and it was found that compounds exhibited a significant level of inhibition on the growth of the bacteria. Finally, the synthesized compounds were assessed for their biological significance by performing docking studies using Auto Dock Vina PyRx software [26].

Fig. 18: Schiff base complex with metals like Cobalt (II), Nickel (II): Crystal structure
A new synthetic approach and crystal structures of three new Schiff-base complexes with copper (II) was reported. These complexes have been characterized by elemental analysis and Fourier transform infrared (FT-IR) and ultraviolet–visible spectroscopies. The X-ray diffraction (XRD) analysis revealed that complexes 1 and 3 crystallize in a monoclinic space group C2/c and 2 in a triclinic space group P1̅, each adopting a square planar geometry around the metal centre. The density functional theory method was used to explore the quantum chemical properties of these complexes. The calculation proceeds with the three-dimensional (3D) crystal structure characterization of the complexes in which the calculated IR and UV–vis values were compared to the experimental results. Charge distribution and molecular orbital analyses enabled quantum chemical property prediction of these complexes. The study of the drug binding potentials of the synthesized complexes by in silico method, the outcome showed that they could serve as permeability-glycoprotein (P-gp) and different cytochrome P450 substrates. With significantly bind to cytochrome P450 3A4 [27].

Fig. 19: Schiff-base complexes with copper (II)

Fig. 20: Schiff base ligand and its metal complex consisting of Fe3+or Cu2+
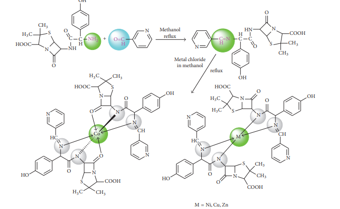
An attempt made with an objective of upgrading undergraduate skill development in laboratory experiments which shall reflect the current research scenario, the experiments should essentially include wide range of elements and also the synthetic works, which will include their characterization and analysis. This chemistry laboratory program would extend for a couple of weeks which involves the synthesis of a Schiff base ligand followed by its metal chelation with Fe3+ or Cu2+. The students are then informed to determine the metal–ligand stoichiometry (one metal–ligand pair). This exercise highlighted the fact that structure can vary as the transition metals are varied as well as their properties [28].
Cytotoxic potentials
The condensation reaction between salicylaldehyde and 2-amino-4-phenyl-5-methyl thiazole resulted in the formation of a Schiff base ligand and it was chelated with Cobalt (II), Nickel (II), Copper (II), and Zinc (II). These compounds were characterized by elemental analysis, magnetic susceptibility, molar conductance and spectral data and ESR spectroscopy. Later, these compounds were screened for anticancer potentials against different cell lines: breast cancer MCF-7, liver cancer HepG2, lung carcinoma A549 and colorectal cancer HCT116 and doxorubicin used as a standard drug. The results of the study indicated that Schiff base-Zn (II) complex displayed potent inhibition against human TRK in the four cell lines (HepG2, MCF7, A549, HCT116) in the ratio 80, 70, 61 and 64%, respectively when compared to the untreated cells. Moreover, molecular docking into TRK (PDB: 1t46) was carried out for the possible interactions of the above-mentioned compounds as potential TRK inhibitors [29].

Fig. 21: Complexes of Schiff base with Cobalt (II), Nickel (II), Copper (II), and Zinc (II)
Catalytic application
It is reported that Schiff bases and their metal complexes in the mixtures of ionic liquids (IL) with organic solvent have shown significant promising oxidation catalytic potentials. The efficiency of such a process is strongly dependent on the various molecular interactions taking place between different components. Thermodynamic properties of these systems can provide valuable information about structural interactions. It is reported in this work, the interactions of the IL 1-hexyl-3-methylimidazolium chloride ([HMIm]Cl) with Schiff bases in organic solvents which were studied through the measurements of density, viscosity, and electrical conductivity. The effect of solvent on these reactions was examined by the solutions of IL+BPIC Schiff base+solvent (C2H6O–C3H8O–C4H10O). The influence of this solvent system on the Schiff base ligand and Schiff base complex structures was studied. Using the experimental data, some important thermodynamic properties, such as standard partial molar volume (V°ϕ,IL), experimental slope (Sv), viscosity B-coefficient, solvation number (B/V °ϕ,IL), and limiting molar conductivity (Λ0) were calculated and interpreted in terms of solute–solvent (IL–DMF/alcohol) and solute–cosolute (IL–Schiff base) interactions [30].

Fig. 22: Oxidation catalytic potentials of Schiff bases-metal complexes
Optoelectronics has developed into a potential area of research and, recently, development of different semiconducting materials with a wide emission window has gained attention of researchers The application of Schiff bases with their metal chelates as a pure emitting layer or as a dopant material for the fabrication of R/G/B/white emitting devices seems to be a significant application. Recently, organic light emitting diodes (OLEDs) are which are utilized in displays and light sources that greatly contribute towards the conservation of energy and do not need a backlight for displays. Development of efficient devices, lifetime stability is now a major concern in this particular application, and designing efficient material for OLEDs has been an active field of research for decades. The organo-metallic compounds which are used in OLEDs possess different optical and electronic properties due to the metal and organic ligand interactions [31].

Fig. 23: Schiff base metal complex with Mn-II used for the fabrication of R/G/B/white emitting devices
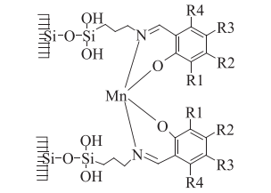
The synthesis and identification of complexes containing Schiff bases chelated with manganese (II) immobilised with pyrogenic nano silica (dav = 10 nm; Ssp = 290 m2/g) hydroxyaldimine ligands Mn Lð Þ2=Si salicilaldiminopropyl (L1); 5-bromosalicilaldiminopropyl (L2); 2-hydroxynaphtaldiminopropyl (L3); 2-hydroxy-3-methoxybenzaldiminopropyl (L4); 2-hydroxy-3,5-dichloroacetophenoniminopropyl (L5); and 4-hydroxy-3-methoxybenzaldiminopropyl (L6). These ligands and their complexes were characterized by spectral study. Nanocomposites consisting of complexeD with Mn Lð Þ2=Si showed a high catalytic activity at low-temperature, ozone decomposition in the range of concentrations between 2.1 × 10−6 and 8.4 × 10−6 mol/l. The number of catalytic cycles increased for iso-structural pseudo tetrahedral complexes of Mn Lð Þ2=Si (L1–L5) in the following order: Manganese (L3)2>>Manganese (L4)2>Manganese (L1)2>Manganese (L2)2>Manganese (L5)2. However, it was noticed that, in case of pseudo-octahedral complexes with Ligand L6, the structural changes included in the coordinate complex does not show any significance towards the kinetics and stoichiometry of the reaction [32].

Fig. 24: Mg (II) coordinated compound with Schiff base
The preparation of a new series of Cobalt (II), Copper (II) and Nickel (II) complexes of ligands, (E)-2-(((2,5-difluorophenyl) imino) methyl)phenol (A), (E)-2,4-dibromo-1-((2-hydroxybenzylidene) amino) anthracene-9,10-dione (D) and (Z)-1-((1-([1,1'-biphenyl]-4-yl) -2-bromoethylidene) amino)-2,4-dibromo anthracene-9,10-dione (E) and the characterization on the basis of CHN, conductance measurements and spectral studies (Fourier Transform–Infrared spectroscopy, Ultraviolet-Visible spectroscopy, Proton Nuclear Magnetic Resonance Spectroscopy, Carbon Nuclear Magnetic Resonance Spectroscopy), cyclic voltammetry. From spectral and analytical studies, it was observed that metal complexes have the composition of (ML2. X2) and one mole of ligand behaves as bidentate chelating agents around the corresponding metal ion. From solubility study, it was noted that metal complexes of ligands A, D and E had no ionic properties and dissolve partially in polar and slightly in nonpolar solvents. These results confirmed the behaviour of metal complexes as weak electrolyte from their low value of molar conductivity. Conductance data and solubility study of the complexes enhanced them to be of 1:2 M: L ratio. Finally, all data confirmed an octahedral geometry of these complexes and their structures as {[M (A, D or E)2 (CH3 COO)2 ], when M= Co or Ni} and {[Cu (A, D or E)2 Cl2 ]}. Cyclic voltammetry measurements were accomplished of Cobalt (II), Copper (II) and Nickel (II) complexes using Platinum wire as counter electrode and Silver/Silver Nitrate (Ag/AgNO3) as reference electrode and (Bu4 N+PF6+) as supporting electrolyte. The result exhibits the irreversible process showing a single electron transfer process of Cobalt (II) and Nickel (II) complexes and unique quasi-reversible redox couple is attributed to Copper (II) complexes [33].

Fig. 25: Schiff bases-(E)-2-(((2,5-difluorophenyl) imino) methyl) phenol (A), (E)-2,4-dibromo-1-((2-hydroxybenzylidene) amino) anthracene-9,10-dione (D) and (Z)-1-((1-([1,1'-biphenyl]-4-yl)-2-bromoethylidene) amino)-2,4-dibromo anthracene-9,10-dione (E) complexed with Cobalt (II), Copper (II) and Nickel (II)
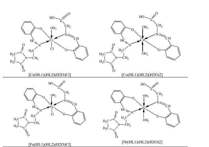
The synthesis of new organometal compounds containing 1-(2-aminoethyl) pyrrolidine-2,5-dione (Schiff base) chelated with metals like Chromium (III), Iron (III), Cobalt (II), Nickel (II), Copper (II) and Cadmium (II)] in which the Schiff base was prepared form the reaction of succinic anhydride with ethylenediamine which then reacts with salicylaldehyde to form a new Schiff base ligand1-[2-(2-hydroxybenzylideneamino) ethyl]pyrrolidine-2,5-dione (HL1). In another approach, the amino acid (glycine) was reacted with salicylaldehyde to form a new Schiff base ligand (2-hydroxybenzaldine) glycine (HL2). These two Schiff bases ligands (HL1 and HL2) were complexed with some metal ions [Chromium (Cr+3), Iron (Fe+3), Cobalt (Co+2), Nickel (Ni+2), Copper (Cu+2) and Cadmium (Cd+2)]. These Schiff bases were identified by different analytical methods like physico-chemical, spectroscopy and C, H, N analysis. The mass spectrometry data has indicated the formation of fragments of the Schiff base ligand (HL1). The metal coordinated compounds were identified by spectroscopic data and microanalytical data of C. H. N and also chloride ion percentage. This study highlighted the purity of Schiff base ligands and their metal complexes. The structures of all the coordinated compounds were found to be octahedral. It was also found from the magnetic moments study that all metal complexes are paramagnetic in nature except Cadmium (II) complex, which is diamagnetic. It was found that all metal complexes except Iron (II) are non-electrolytic in nature; however Iron (III) complex is an electrolyte [34].

Fig. 26: Coordinated compounds of chromium (III), iron (III), cobalt (II), nickel (II), copper (II) and cadmium (II)]
Industrial applications
The synthetic approaches to Schiff base metal complexes, their characterization, and various applications was reported in which these Schiff bases and their metal complexes have been synthesized from the condensation of carbonyl compounds with amines followed by chelation with various metals. These organometallic compounds exhibit a wide range of applications in various fields like biological, medicinal, catalytic, and industrial purposes. Apart from this, Schiff base-metal complexes have been used as a precursor for the synthesis of different metal oxides, such as iron, cobalt, copper, nickel, manganese, vanadium, cadmium, zinc, mercury, etc and ferrites such as Iron(II,III) (Fe3O4), Zinc Ferrite (ZnFe2O4), and Zinc Cobaltite (ZnCo2O4). These metal oxides find applications as catalyst in several organic transformations and for biological activity [35].

Fig. 27: Metal oxides using Schiff base metal complexes
In an approach towards the synthesis and applications of Schiff bases with their metal complexes, these Schiff bases was prepared from a condensation reaction between the compounds containing an amine and carbonyl group. These compounds find diverse applications for industrial purposes along with their biological significance. Many metal-coordinated Schiff bases exhibited wonderful catalytic application in homogenous and heterogenous reaction presence of moisture-dominated industrial reactions. The moisture stabilities of these metal-chelated Schiff bases has supported for their industrial applications with thermal stability. The significant influence of certain metals in metal coordinated Schiff bases on the biological activity and their intrinsic chemical property as multidentate ligands has signified the study of their coordination nature [36].

Fig. 28: Schiff base complex with copper

Fig. 29: Synthesis of the metal complexes of Schiff bases from condensation of an amine
Recently the metal complexes of Schiff bases have led to their wide applications for industrial usage, such as catalysts, pigments, dyes, intermediates in organic synthesis, polymer stabilizers, and corrosion inhibitors. These organic compounds are the pharmacophores for the design and development of various bioactive compounds; this has attracted the attention toward the development of new organometallic compounds towards numerous applications such as antiviral, antibacterial, antifungal, antimalarial, antituberculosis, anticancer, anti-HIV, anti-inflammatory, and antipyretic agents [37].
The synthesis of a new organometal complex [Ag (CF3SO3)(L)PPh3] (1) or [ML2]A (M = Ag, Cu; A = CF3SO3, ClO4 or BF4). Containing Schiff base ligand (L) prepared by the reaction of 2-aminofluorene with 2-pyridinecarboxaldehyde fused with metals like Silver (II) and Copper (II) salts in different molar ratio. The structural characterization of this complexes by X-ray crystallography confirms the chelation of L and Ag-H due to the interactions of two molecules. The biological applications of the Schiff base displayed antibacterial potentials against Gram-positive and Gram-negative bacteria and it was evident that coordination with silver has more activity as compared to the copper complex [38].

Fig. 30: Schiff base metal complex-Ag (CF3SO3) (L)PPh3]
The synthesis of a new Schiff base and its complexes was carried out in which the tridentate coordination behavior characteristic of all complexes to the ligand was studied by means of an azomethine nitrogen and two oxygen atoms as indicated from the IR spectra. The tetrahedral geometry of Nickel (II) and Copper (II) complexes and the octahedral geometry of Chromium (III), Manganese (II), Iron (III), Zinc (II) and Cadmium (II) complexes were inferred from the magnetic moment, diffused reflectance and Ultraviolet-visible spectra. The large surface and the small porous size of the bacterial endotoxin test (BET) results of the ligand and its complexes suggested the impossible use of indifferent nanotechnology applications. The metal complexes showed better antimicrobial activity than free-ligand molecule and this has approved the pathogenicity of metal complexes to microorganisms. The recent coronavirus study, H2L was successfully applied in fighting against the virus and its complex with Chromium (III) has lower binding energy than the ligand, which suggests that anti-virals are strong. This research can lead to new coronavirus treatment in the future [39].

Fig. 31: Schiff bases complexes containing Cu and Ni
A new series of organo-metallic coordination
A series of compounds containing pyrimidine-based Schiff base ligands, namely, 2-(4,6-dimethylpyrimidin-2-ylamino)naphthalene-1,4-dione (HL) and 2,2′-bipyridine have been synthesized and fused with transition metals like Mn(II), Co(II), Ni(II), and Cu(II) and characterized by spectral techniques, elemental, magnetic, conductance, electrospray ionization mass spectrometry (ESI-MS), thermal stability by thermographic analysis (TGA), and their binding abilities by molecular docking techniques. The acquired results were in favour of the adopted molecular formula, [M(X)(L)(Y)]·nH2O (where M = Mn, Co, Ni, and Cu; L = Schiff base; X = 2,2′-bipy; Y = OAc; and n = 0,1) for the metallic coordinated compounds. The Ligand is used for the chelation and it was bidentate in nature. Hence the Schiff bases coordinates with a metal atom at the centre through carbonyl oxygen and deprotonated imine nitrogen. The metal-ligand chelates were tested against various bacterial strains and the results indicated that the compounds possess moderate to good activity. In addition, the compounds were tested for free radical scavenging assay by 1,1-diphenyl-2-picrylhydrazyl (DPPH) method at different concentrations and the results showed good free radical scavenging ability [40].

Fig. 32: New Schiff bases containing Nickel (Ni) metal
As the resistance to various antibiotics increased and it was also reported that the increase in the death rate due to infectious diseases is directly related to the bacteria that have developed multiple resistance to antibiotics and the lack of availability of good medical treatment is also responsible for the growing problem. Hence the synthesis of new antibacterial agents through various methods is the need of the day to tackle this problem. The recent research focuses on the synthesis of organometallic compounds containing ligands such as Schiff bases due to their potential biological properties. The synthesis of Schiff base ligands from 4-amino antipyrine and evaluating their antibacterial potency against Staphylococcus aureus. K. pneumoniae, E. coli and Ps. Aeruginosa. Based on the results, they have reported that some of the compounds (10), among all, can be used as an alternative ti Streptomycin due to the resistance to it [41].

Fig. 33: Copper, Cobalt, Nickel complexed with new Schiff bases
A review reported on the nature and applications of Schiff bases. Schiff bases were flexible compounds prepared from the conventional method of condensation between a primary amino compound and aldehydes or ketones. These compounds are known to possess multiple applications in industrial purposes, including catalytic oxidation of organic compounds and polymers. Oxidation reactions of organic compounds were studied to know the recent developments in this area in last few years. Recently researchers have carried out the oxidation of organic compounds and polymers that proceed via Schiff base metal complexes [42].

Fig. 34: Schiff bases containing different metals
The condensation of m-phenylenediamine with 2-hydroxybenzaldehyde (1:1 molar ratio) yielded Schiff base ligand–€-2-(((3-aminophenyl) imino) methyl) phenol (HL This new ligand was characterized by elemental analysis and spectral data followed by complexation of ligands with a series of transition metal ions such as Cr (III), Mn (II), Fe (III), Co (II), Cu (II), Ni (II), Cd (II) and Zn (II) and The elemental and spectral analysis data have provided information regarding the nature of bonding and the stereochemistry of the complexes. The thermogravimetric analysis (TG) study of the ligand-coordinated compounds have confirmed thermal stability. It was evident from the IR spectral data that, the ligand is tridentate and it coordinates to the metal atoms via protonated phenolic oxygen, azomethine nitrogen and nitrogen atom of NH2 group. The presence of the number and the position of the water molecules was studied by thermal analysis. The data has established molecular structures of the Schiff base ligand (HL) theoretically. The results of antimicrobial activities of ligand and its complexes against various types of bacterial species have indicated that the metal complexes of the ligand were potent antimicrobial agents against tested micro-organisms. To study the binding abilities of these molecules molecular docking was carried out with the receptors of Escherichia coli (3 T88) and Staphylococcus aureus (3Q8U) and the study has indicated that there were better interactions between receptor of Escherichia coli (3 T88) and Schiff base ligand (HL) compared to the receptor of Staphylococcus aureus (3Q8U) [43].
Schiff bases are reported to be potent medicinal compounds with various pharmacological activities and when complexed with different metal cations like Calcium (Ca+), Copper (Cu+), Iron (Fe+), Silver (Ag+) etc, their potency enhanced [1, 2]. Due to the increasing resistance to Schiff bases for different reasons, chelation of these Schiff bases is reportedly a fruitful alternative in developing potent medicinal compounds.
It was found that the Schiff base ligands when chelated with metal cations like Iron (Fe+) shown significant wide spectrum of biological activities such as antibacterial, antifungal and antitumor activity [3]. It was found that the Thiadiazol derivatives, when complexed with the metal ions such as Vo(II), Cobalt (II), Rhodium (III), Palladium (II) and Gold (III) and screened for antibacterial activity the some of the complexes showed moderate activity against tested bacterial strains and slightly higher compared to the ligand, Schiff base. Some of the metal complexes of Schiff bases were found to possess industrial application and also their biological role in metalloenzymes, their similarity to natural proteins and enzymes [6]. Metal complexes of Chromium (Cr3+), Manganese (Mn2+), Cobalt (Co2+), Nickel (Ni2+), Copper (Cu2+), Zinc (Zn2+), Cadmium (Cd2+) and Mercury (Hg2+) with Schiff base have been synthesized and screened for their antibacterial activity against Gram-negative and positive bacteria and antifungal activity which has shown promising biological activity [8]. This study also highlights on the stability of these prepared complexes. The developing of microbial resistance to Schiff bases recently have resulted in an increased mortality rate and chelation of the Schiff bases with metals resulted in better antimicrobial activity, due to their changed behaviour. The Schiff base ligand and its metal Manganese (II), Cobalt (II), Nickel (II), Copper (II), and Zinc (II) complexes were tested in vitro to evaluate their bactericidal activity against Gram-negative bacteria (Escherichia coli and Pseudomonas aeruginosa) and Gram-positive bacteria (Bacillus subtilis and Staphylococcus typhi) and the antibacterial evaluation results revealed that the metal (II) complexes exhibited better antibacterial activity than the free Schiff base ligand. Some metal complexes of Copper (II) and Cobalt (II) ions with two Schiff base ligands {2-((2-hydroxybenzylidene) amino)phenol}and {2,2'-((1,2-phenylenebis (azanylylidene)) bis (methanylylidene))diphenol} showed that the Nitrogen and Oxygen atom of the Schiff bases are binding sites of ligand with the metal ion and their antibacterial activity was reportedly significance and better than the corresponding Schiff base ligands. various reviews suggested that the synthesis of metal complexes of Schiff bases exhibited broad spectrum of biological activities, including antifungal, antibacterial, antimalarial, antiproliferative, anti-inflammatory, antiviral, and antipyretic properties and attributed the scope to metal complexes. The extensive study of metal complexes of Cobalt (Co+2), Nickel (Ni+2), Copper (Cu+2), and Zinc (Zn+) with Schiff bases by various techniques such as spectral study, thermal technique, X-Ray Diffraction, Electron Paramagnetic Resonance gave information regarding the characterisation, thermal stability and kinetic parameters. These metal complexes of Schiff base also shown significant antibacterial activity.
A new ligand, E)-2-(((3-aminophenyl) imino) methyl) phenol (HL) chelated with metals such as Chromium (III), Manganese (II), Iron (III), Cobalt (II), Nickel (II), Copper (II), Zinc (II) and Cadmium (II) was prepared, characterized, screened for antimicrobial activities as well as studied the interaction of these chelates with bacteria by molecular docking. The complexes have reportedly shown good biological activities against different organisms and the results of interaction against the selected bacteria was promising. Schiff bases and their transition metal complexes as reported as prominent compounds due to their biological activities Apart from the pharmacological uses of Schiff bases with their metal complexes, they are also used for industrial applications such as catalysts, pigments and dyes, intermediates in organic synthesis, polymer stabilizers and corrosion inhibitors A series of organometallic Schiff bases containing phenyl ferrocene and their six transition metal complexes have been prepared and screened for their biological applications such as using antifungal, antibacterial, antitumor activities, toxicity studying against the brine shrimp and Deoxyribonucleic Acid damage analysis. Among all Metal complexes of Schiff bases, mainly those containing Copper and Cobalt have shown significant antibacterial and antifungal activities. Most of these compounds showed cytotoxic activity against the brine shrimp. New metal complexes of organic compounds were prepared with anticipation of cytotoxic activities for anticancer agents along with delivery, dosage parameters. In a review, imine derivatives are studied for their synthesis, structural and biological study as well as other applications. This metal chelated organic compounds find scope as anticancer agents in the medicinal field such as Cisplatin, Oxoplatin etc.
In the context of the above discussion on metal-chelated Schiff bases and their pharmacological activities, these compounds found to be promising medicinally and industrially useful due to their wide applications, including medicinal, catalytic, polymers and other applications. These Schiff bases are synthetically not so complicated organic compounds as they can be synthesized easily and chelated with wide variety of metals with stability. Moreover, these organometallic compounds are useful since Schiff bases have developed resistance over a period of time. Hence, we anticipate that these molecules would be useful compounds for various applications in future.
Nil
All the authors have contributed equally.
Declared none
Chaturvedi D, Kamboj M. Role of Schiff base in drug discovery research. Chem Sci J. 2016;7(2):1-2. doi: 10.4172/2150-3494.1000e114.
Zhukova OV, Ryabov SA, Zaitsev SD, Kuznetsova OV, Gavrilova DM, Archipova EV. Water-soluble polymeric ionic 5-fluorouracil complex based on methacrylic acid copolymers. Int J App Pharm. 2019 May;11(4):214-9. doi: 10.22159/ijap.2019v11i4.32919.
Jurca T. Spectroscopic analyses-developments and application. Intech. 2017;7:123.
Parkali P, Dinnimath BM. Scope of azetidinone hybrids for diverse pharmacological activities: a review. IJPSR. 2021.
Dinnimath BM, Hipparagi SM, Munishamagowda. Synthesis of chloro, fluoro and phenyl substituted azetidine-2-one derivatives by microwave method and screening for antimicrobial activities. Int J Pharm Technol. 2011;3(4):3792-801.
Srivastava R. Theoretical insight into the medicinal world of organometallics. Macro Versus Nano Recent Prog Organomet Chem. 2017;1:3-13.
Stevanovic N, Zlatar M, Novakovic I, Pevec A, Radanovic D, Matic IZ. Cu(II), Mn(II) and Zn(II) complexes of hydrazones with a quaternary ammonium moiety: synthesis, experimental and theoretical characterization and cytotoxic activity. Dalton Trans. 2021;51(1):185-96. doi: 10.1039/d1dt03169d, PMID 34877947.
Kumble D, Geetha M, Pinto AF. Application of metal complexes of Schiff bases as an antimicrobial drug: a review of recent works. Int J Curr Pharm Res. 2017;9(3):27-30. doi: https://doi.org/10.22159/ijcpr.2017.v9i3.19966
Obaid SMH, Sultan JS, Al-Hamdani AAS. Synthesis, Characterization and biological efficacies from some new dinuclear metal complexes for base 3-(3,4-Dihydroxy-phenyl)-2-[(2-hydroxy-3-methylperoxy-benzylidene)-amino]-2-methyl propionic acid. Indones J Chem. 2020;20(6):1311-22. doi: 10.22146/ijc.49842.
Fonkui TY, Ikhile MI, Ndinteh DT, Njobeh PB. Microbial activity of some heterocyclic Schiff bases and metal complexes: a review. Trop J Pharm Res. 2018;17(12):2507-18. doi: 10.4314/tjpr.v17i12.29.
Ommenya FK, Nyawade EA, Andala DM, Kinyua J. Synthesis, Characterization and antibacterial activity of schiff base, 4-chloro-2-{(E)-[(4-Fluorophenyl)imino]methyl}phenol Metal (II) Complexes. J Chem. 2020:1-8. doi: 10.1155/2020/1745236.
Hossain MdS. Synthesis and characterization of Cu(II) and Co(II) complexes containing Schiff base ligands towards potential biological application. J Chem Biol Phys Sci. 2018;8(4):654-9.
Abu-Dief AM, Mohamed IMA. A review on versatile applications of transition metal complexes incorporating Schiff bases. Beni Suef Univ J Basic Appl Sci. 2015;4(2):119-33. doi: 10.1016/j.bjbas.2015.05.004.
Chaudhary NK, Mishra P. Metal complexes of a novel Schiff base based on penicillin: characterization, molecular modeling, and antibacterial activity study. Bioinorg Chem Appl. 2017;2017:6927675. doi: 10.1155/2017/6927675, PMID 28684958.
El‐Sonbati AZ. Preparation, characterization and biological activity screening on some metal complexes based of Schiff base ligand. Egypt J Chem. 2021;64(8):4125-30.
Zheng JW, Ma L. Metal complexes of anthranilic acid derivatives: a new class of non-competitive α-glucosidase inhibitors. Chin Chem Lett. 2016;27(5):627-30. doi: 10.1016/j.cclet.2016.01.052.
D Kulkarni AD. Schiff’s bases metal complexes in biological applications. J Anal Pharm Res. 2017;5(1):2017-22. doi: 10.15406/japlr.2017.05.00127.
Shah FU. Influence of ferrocene and transition metals on the biological activities of Schiff bases. J Chem Soc Pak. 2016;38(6):111-6.
Sridevi G, Antony SA, Angayarkani R. Schiff base metal complexes as anticancer agents. Asian J Chem. 2019;31(3):493-504. doi: 10.14233/ajchem.2019.21697.
More MS, Joshi PG, Mishra YK, Khanna PK. Metal complexes driven from Schiff bases and semicarbazones for biomedical and allied applications: a review. Mater Today Chem. 2019;14(1):100195. doi: 10.1016/j.mtchem.2019.100195, PMID 32289101.
Ndagi U, Mhlongo N, Soliman ME. Metal complexes in cancer therapy–an update from drug design perspective. Drug Des Devel Ther. 2017;11:599-616. doi: 10.2147/DDDT.S119488, PMID 28424538.
Walaa MH, Reem GH, Deghadi RG. Metal complexes of novel Schiff base derived from iron sandwiched organometallic and 4-nitro-1,2-phenylenediamine: synthesis, characterization, DFT studies, antimicrobial activities and molecular docking. Appl Organomet Chem. 2017;10:1-22.
Uddin E. Recent advances on pharmacological activities with electrochemical, optical, crystalline and thermal properties of Schiff bases containing ferrocene and their metal complexes–an overview. New Mater Compd Appl. 2020;4(2):63-93.
Shah, Sayed Suliman. Synthesis and antioxidant activities of Schiff bases and their complexes: an updated review. Biointerface Research in Applied Chemistry. 2020;10(6):6936-63. doi: 10.33263/BRIAC106.6936696.
Zaki M, Hairat S, Aazam ES. Scope of organometallic compounds based on transition metal-arene systems as anticancer agents: starting from the classical paradigm to targeting multiple strategies. RSC Adv. 2019;9(6):3239-78. doi: 10.1039/c8ra07926a, PMID 35518979.
Arumugam AP, Guhanathan S, Elango G. Co(II), Ni(II) and Cu(II) complexes with Schiff base ligand: syntheses, characterization, antimicrobial studies and molecular docking studies. Symbiosis. SOI Motex Sci Eng. 2017;5(2):1-12.
Yusuf TL, Oladipo Segun D, Zamisa S, Kumalo HM, Lawal IA, Lawal MM. Design of new Schiff-base copper(II) complexes: synthesis, crystal structures, DFT study, and binding potency toward cytochrome P450 3A4. ACS Omega. 2021;6(21):13704-18. doi: 10.1021/acsomega.1c00906, PMID 34095663.
Wilkinson SM, Sheedy TM, New EJ. Synthesis and characterization of metal complexes with Schiff base ligands. J Chem Educ. 2016;93(2):351-4. doi: 10.1021/acs.jchemed.5b00555.
Abd-Elzaher MM, Labib AA, Mousa HA, Moustafa SA, Ali MM, El-Rashedy AA. Synthesis, anticancer activity and molecular docking study of Schiff base complexes containing thiazole moiety. Beni Suef Univ J Basic Appl Sci. 2016;5(1):85-96. doi: 10.1016/j.bjbas.2016.01.001.
Shekaari H, Kazempour A, Khoshalhan M. Schiff base ligands and their transition metal complexes in the mixtures of ionic liquid+organic solvent: a thermodynamic study. Phys Chem Chem Phys. 2015;17(3):2179-91. doi: 10.1039/C4CP04432K.
Kagatikar S, Sunil D. Schiff bases and their complexes in organic light emitting diode application. J Electron Mater. 2021;50(12):6708-23. doi: 10.1007/s11664-021-09197-9.
Rakytska T, Truba A, Radchenko E, Golub A. Manganese(II) complexes with Schiff bases immobilized on nanosilica as catalysts of the reaction of ozone decomposition. Nanoscale Res Lett. 2015;10(1):472. doi: 10.1186/s11671-015-1179-6, PMID 26643653.
Al-Riyahee AAA, Hadadd H, Jaaz B. Novel Nickel (II), Copper (II) and Cobalt (II) Complexes of Schiff bases a, D and E: preparation, identification, analytical and electrochemical survey. Orient J Chem. 2018;34(6):2927-41. doi: 10.13005/ojc/340632.
Mahmoud WA, Hassan ZM, Ali RW. Synthesis and spectral analysis of some metal complexes with mixed Schiff base ligands 1-[2-(2-hydroxybenzylideneamino)ethyl]pyrrolidine-2,5-dione (HL1) and (2-hydroxybenzalidine)glycine (HL2). J Phys.: Conf Ser. 2020;1660(1):1-6. doi: 10.1088/1742-6596/1660/1/012027.
Patil MK, Masand VH, Maldhure AK. Schiff base metal complexes precursor for metal oxide nanomaterials: a review. Curr Nanosci. 2021;17(4):634-45. doi: 10.2174/1573413716999201127112204.
Dalia SA. A short review on chemistry of Schiff base metal complexes and their catalytic application. Int J Chem Stud. 2018;6(3):2859-65.
Uddin MN, Ahmed SS, Alam SMR. Review: biomedical applications of Schiff base metal complexes. J Coord Chem. 2020;73(23):3109-49. doi: 10.1080/00958972.2020.1854745.
Cifuentes Vaca OL, Andrades Lagos J, Campanini Salinas J, Laguna A, Vasquez Velasquez D, Concepcion Gimeno M. Silver(I) and copper(I) complexes with a Schiff base derived from 2-aminofluorene with promising antibacterial activity. Inorg Chim Acta. 2019;489:275-9. doi: 10.1016/j.ica.2019.02.033.
Mohamed GG, Omar MM, Ahmed YM. Metal complexes of tridentate Schiff base: synthesis, characterization, biological activity and molecular docking studies with COVID-19 protein receptor. Z Anorg Allg Chem. 2021;647(23-24):2201-18. doi: 10.1002/zaac.202100245, PMID 34908618.
Festus C, Okafor SN, Ekennia AC. Heteroleptic metal complexes of a pyrimidinyl based Schiff base ligand incorporating 2,2′-bipyridine moiety: synthesis, characterization, and biological studies. Front Chem. 2019;7:862. doi: 10.3389/fchem.2019.00862, PMID 31921780.
Pahontu EM. Transition metal complexes with Antipyrine derived Schiff bases: synthesis and antibacterial activity. Descriptive Inorganic Chemistry Researches of Metal Compounds. 2017;4:65-92.
Al Zoubi WA, Ko YG. Organometallic complexes of Schiff bases: recent progress in oxidation catalysis. J Organomet Chem. 2016;822:173-88. doi: 10.1016/j.jorganchem.2016.08.023.
Elsonbati A, Diab MA, Mohamed G, Mohamed G, Morgan S. Preparation, characterization and biological activity screening on some metal complexes based of Schiff base ligand. Egypt J Chem. 2021 Aug 1;64(8):1-2. doi: 10.21608/ejchem.2021.68740.3515.