School of Pharmacy ITB, Jl. Ganesha 10 Bandung 40132
Email: ilma_nugrahani@fa.itb.ac.id
Received: 05 Jan 2015 Revised and Accepted: 20 Jun 2015
ABSTRACT
Objective: Hydrate is a crystal with a certain amount of water molecules involved stoichiometrically in its lattice. The purpose of this study was to develop the Fourier Transform Infrared Spectroscopy (FTIR) for observing the hydrate transformation of fluoroquinolone antibiotics, which were Ciprofloxacin Hydrochloride Monohydrate (CM), Levofloxacin Hemihydrate (LH), and Pefloxacin Mesylate Dihydrate (PMD), after a certain grinding process was given to them.
Methods: CM, LH, and PMD which had been ground were characterized qualitatively and quantitatively by FTIR. The results from FTIR were compared to the results from standardized methods that are commonly used for measuring the hydrate transformation, namely Differential Scanning Calorimetry (DSC), Differential Thermal Analysis (DTA), Thermogravimetric Analysis (TGA), and Karl Fischer Titrimetry (KFT).
Results: The Infrared (IR) spectra of CM was shown in the area of 3500-3700 cm-1. The Area under the Curve (AUC) of the derivatives of CM’s IR spectra was linear with the concentration of ground CM in the KBr plate, as shown by the coefficient of linearity, R, of 0.9996. FTIR can be used to observe the hydrate transformation of CM by measuring the AUC of the derivatives of its IR spectra. However, FTIR cannot be used to characterize the hydrate transformation of LH and PMD because the IR peaks of both antibiotics were too small to be detected and measured.
Conclusion: FTIR can analyze CM’s hydrate qualitative and quantitatively. FTIR can be used to study the hydrate transformation of CM but it cannot be used for LH and PMD. The structure of the hydrate, the amount and the position of water molecules, and also the interaction of water with other atoms in the crystal lattice are predicted to be the factors that can lower the intensity of O-H hydrate stretch peak in an IR spectrum of a hydrate.
Keywords: Transformation of hydrate, FTIR, Grinding, Fluoriqunolone antibiotics.
INTRODUCTION
Many pharmaceutical solids were reported to be in the form of hydrates [1]. Hydrates are crystalline solids that contain water molecules in the lattice. Based on its structure, the hydrate crystals can be classified into canal hydrate, hydrate isolated, and hydrate associated metal ions [2]. Moreover, based upon the number of water molecules that are incorporated in the crystal lattice, hydrate can be classified into several classes, such as hemi-, mono-, tri-, tetra-, penta-, and hexa-hydrate [1-3].
In an industry, giving a mechanical energy through the grinding process can make a solid hydrate undergoes a transformation. The transformation occured due to the grinding process generally causes a dehydration, which is a reduction of the amount of water molecules inside the crystal lattice. Grinding will damage the crystal structure so that the water molecules that were in the crystal lattice will come out. Such changes will affect the physicochemical stability, solubility, dissolution rate, as well as the bioavailability of the initial hydrate forms [4-6].
Fourier Transform Infrared Spectroscopy (FTIR) is an analytical technique based on the ability of vibration of a molecule. In various studies on hydrate, the analytical instruments that has been widely used are Thermogravimetric Analysis (TGA), Differential Thermal Analysis (DTA), Differential Scanning Calorymetric (DSC), and the X-ray Diffractometric. FTIR is usually only used as a qualitative method alone [1-3].
In this study, the feasibility of FTIR as quantitative methods to analyze hydrate transformation was observed. Previously, it has been reported that FTIR was used quantitatively to determine the concentration of Ciprofloxacin Hydrochloride Monohydrate (CM) in a tablet [7]. FTIR has advantages in terms of speed, simplicity, repeatability, high scientific value, as well as its large availability. In this study, FTIR was used to observe the hydrate transformation of three fluoroquinolone antibiotics, namely CM, levofloxacin hemihydrate (LH), and pefloxacin mesylate dihydrate (PMD) with the structure shown in fig. 1 [8-10]. In the previous research, FTIR has also been reported can be used to evaluate the hydrate transformation of cefadroxil monohydrate and cephalexin monohydrate [11].
![]() |
![]() |
![]() |
| A | B | C |
Fig. 1: Molecule Structure of: A) CM [8], B) LM [9], and C) PMD [10]
Grinding was done to cause the hydrate transformation. The main instrument used to characterize the transformation hydrate was FTIR. The results from FTIR were compared with the results from standardized methods for measuring water crystals, ie. TGA, DSC, DTA and Karl Fischer Titrimetry (KFT).
MATERIALS AND METHODS
Materials
CM (Merck, USA), LH (PT Kalbe Farma, Indonesia), PMD (PT Dexa Medica, Indonesia), crystal of potassium bromide (KBr), and Karl Fischer reagent (Merck, USA)
Apparatus/Instrumentation
Automatic mortar and pestle (Retzch, Germany), analytical balance (Mettler Toledo, USA), FTIR (Jasco-4200 type A, Japan), DSC-Thermogravimetric Analysis/DSC-TGA (Parkin Elmer DSC 6, USA; Netzsch STA 449 F3 Jupiter, Germany), DTA-Thermogravimeter/DTA-TG (ThermoPLUS TG8120, Japan), Karl Fischer Titrator (Methrom 701-KF-Titrino, Switzerland).
Methods
CM, LH, and PMD were first characterized using FTIR, DSC, DTA, Thermogravimetric Analysis (TGA), and KFT. A hydrate that gave clear Infrared (IR) peaks of streched-OH was used to produce the calibration curve. The X-axis in the calibration curve was the ratio of the hydrate mass to the mass of KBr, or can be said as the mass fraction of the hydrate in KBr.
The range of the ratio was 0.002 to 0.020. The hydrate in each mass ratio was analyzed by using FTIR and the Area under the Curve (AUC) of the derivative of the O-H stretch peak in each hydrate IR spectrum was used to construct the Y-axis. Grinding was carried out in order to cause a hydrate transformation, which was a dehydration. Each hydrate was ground by an automatic mortar and pestle for 150 minutes, then the dehydration process was studied by using FTIR.
The results from FTIR were compared to the results from standard methods, namely DTA and KFT. FTIR data were used to analyze the dehydration qualitatively, and in this study, the FTIR was also utilized to quantitatively calculate the mass of the crystal water that was lost as the result of the grinding, by using the equation from the calibration curve. The data from DTA and KFT were used to confirm the dehydration that occured in the CM, LH, and PMD due to the grinding process.
Procedures
Preparation of samples
CM, LH, and PMD were first characterized by FTIR, TGA, DSC, DTA, and KFT. After the initial characterization, 1000 mg of each antibiotic was ground by the automatic mortar and pestle at a grinding speed of 100 rpm. About 30 mg of each ground antibiotic was taken at these following time periods: at 60, 120, and 150 minutes. A certain amout from that 30 mg was taken for each analysis in these following instruments: FTIR, TGA, DSC, DTA, and KFT.
FTIR analysis
After grinding, each antibiotic was mixed with the crystals of KBr in a mass ratio of 1: 100 (1 mg of ground antibiotic in 100 mg of KBr), except in the process of making calibration curve where the mass ratio was varied.
The mixture, termed as the sample, was then ground until homogeneous and compressed at 20 psi by using a presser for KBr plate. By using FTIR, the entire IR spectrum of each sample was measured at the wave number 4400 to 400 cm-1. The hydrate IR spectrum was observed at wave number of approximately 3700 to 3500 cm-1.
DSC-TGA and DTA-TG
Approximately 5-10 mg samples were kept in a special aluminum cup for DSC-TGA and TG-DTA-TG analyses. Subsequently, each sample was heated under the flow of nitrogen from 30 to 350 °C with the heating rate 10 ° per minute.
Karl fischer analysis
Approximately 15-25 mg of sample was weighed. The water content of each sample was measured by Karl Fischer Titrator and the standardized Karl Fischer reagent.
Calibration curve of CM
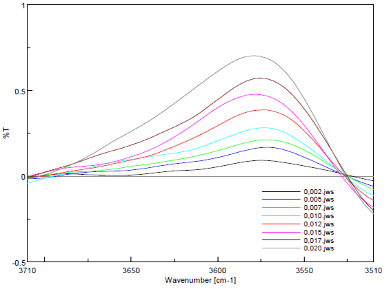
The Area Under Curve (AUC) of the derivative of the O-H stretch peak from each hydrate IR spectrum was plotted against each mass ratio, which consists of the ratio of CM to KBr = 0.002; 0.005; 0.007; 0.010; 0.012; 0.015; 0.017; 0.020.
Accuracy and precision
One mass ratio, CM: KBr = 0.010, was chosen to undergo six times FTIR analyses in order to obtain the SD and % RSD.
RESULTS
Initial characterization by DSC and TGA confirms that CM, LH, and PMD were used is in the form of hydrates, as indicated by the dehydratation endotermic peak in each of the thermograms below: at 161.9 °C for CM, 113.8 °C for LH, 96.6 and 112.4 °C for PMD (fig. 2).
Characterization by using FTIR was done to the three antibiotics then the results were evaluated in accordance with the literature [14-16] with the profile as shown in fig. 3 as follows:
Fig. 3 shows that only CM has the sharp and strong spectra of O-H hydrate stretch in the area of 3600-3500 cm-1 (3A), while in LH and PMD IR spectra, the peak of O-H hydrate stretch does not appear clearly (3B and 3C).
The development of quantitative analysis methods by FTIR was limited to CM only due to the lacking of IR spectra data of O-H hydrate stretch peak of LM and PMD. The calibration curve was prepared with a series concentration of CM in KBR, which yielded the data curve shown in fig. 4.

Fig. 2: Thermograms of antibiotics prior to the grinding shows the release of water (indicated by the black circle): A. CM at 161.9 °C, B. LM at 113.8 °C, C. and PMD at 96.6 and 112.4 °C


>
Fig. 3: FTIR Spectra of: A. CM, shows O-H stretch peak at 3550 cm-1; meanwhile, LH (B) and PMD (C) spectras do not show clearly the O-H stretch peak at the IR region for water existing in a hydrate

Fig. 4: Derivatives of O-H hydrate stretch IR spectra of CM in various mass ratios of CM to KBR
The AUCs, mass ratios/mass fractions of CM to KBr, and the parameters of analysis showing the acceptability of a method to be used for a quantitative assessment were listed in table 1.
Using AUCs as the Y-axis and mass fractions of CM in KBr as the X-axis, a calibration curve was created. The calibration curve used to calculate the amount of water inside the crystal lattice of CM, based on the magnitude of AUC of O-H hydrate stretch peak derivative (fig. 5).
Table 1: AUCs of O-H hydrate stretch from a series of mass fraction of CM in KBr
| Mass fraction of CM in KBr | The average of AUCs of O-H hydrate stretch peak derivatives (from triplo experiments) | Parameter of analysis |
| 0.002 | 7.2318 | R = 0.9996 |
| 0.005 | 14.9223 | R2 = 0.9993 |
| 0.007 | 21.2489 | Sy/x = 0.4764 |
| 0.010 | 28.1634 | Vxo = 1.5676 |
| 0.012 | 34.3926 | Limit of Detection = 0.0005 |
| 0.015 | 42.7738 | |
| 0.017 | 48.3050 | Limit of Quantification = 0.0017 |
| 0.020 | 57.0455 |
Table 2: Parameters of precision of The AUC measurement of O-H hydrate stretch peak derivative of CM
| Xi = 0.010 | AUC OH-hydrate CM stretch |
| A | 27.8190 |
| B | 28.7668 |
| C | 27.4570 |
| D | 28.3811 |
| E | 28.2664 |
| F | 27.7370 |
| Average | 28.0712 |
| SD | 0.4417 |
| %RSD (≤2) | 1.5734 |

Fig. 5: The calibration curve of CM
A simple test on precision was conducted. Six samples of 0.010 CM in KBr were analyzed and the AUCs of the O-H hydrate stretch peak derivative were listed in table 2.
Based on the sharpness of O-H hydrate stretch peak of CM in fig. 3 and 4, that O-H peak was used to calculate the amount of hydrates in CM before and after the release of water molecules. Grinding was used as a model to observe the hydrate transformation. The AUCs which were calculated were the second derivatives of the O-H hydrate stretch IR peak at 3550 cm-1. A feasibility test to asses if FTIR can be used as a quantitative methods to study the hydrate transformation of CM showed a good acceptance in each of analysis parameters, such as linearity, VXO, Sy/x, LOQ, LOD, and repeatability as shown in table 1-2, and fig. 5 [7, 13, 24, 25].
The results above showed that FTIR method was feasible to be used as a way to observe the change of water’s hydrate of CM after the mechanical treatment, which in this case was the grinding. The O-H hydrate stretch IR spectra of the ground CM (GCM), respectively after being ground for 60, 120, and 150 minutes, are shown in fig. 6.

Fig. 6: The Derivative of O-H Hydrate Stretch IR Spectra of CM before grinding (top), after grinding for 60 minutes (second from the top), 120 minutes (third from the top), and 150 minutes (bottom)
Table of AUC
| Sample | AUC | |
| CM | 28.1659 | CM |
| GCM | 21.7157 | GCM 60 min |
| GCM | 16.9988 | GCM120 min |
| GCM | 9.1987 | GCM150 min |
In order to determine the transformation that occurs in the LH and PMD due to grinding, DTA was used (fig. 7) and further confirmation was carried out using KFT for analyzing those ground LH (GLH) and ground PMD (GPMD), see table 3.
Fig. 7: A) DTA thermogram of LH; B) DTA thermogram of LH which was ground during 150 minutes (GLH 150'); C) DTA thermogram of pefloxasin mesylate dihydrate PMD; D) Thermogram of PMD that was ground for 150 minutes (GPMD 150')
Another instrument used to prove the occurrence of dehydration on GCM, GLH, and GPMD due to grinding is KFT (table 3).
Table 3: KFT Results
| Analyte | Water content (%) | Analyte | Water content (%) | Analyte | Water content (%) |
| CM | 4.9112 | LH | 2.4411 | PMD | 7.3094 |
| CM 60’ | 4.2275 | GLH 60’ | 2.3591 | GPMD 60’ | 3.2049 |
| CM 120’ | 2.6330 | GLH 120’ | 2.2395 | GPMD 120’ | 2.9919 |
| CM 150’ | 2.1938 | GLH 150’ | 2.0571 | GPMD 150’ | 2.8536 |
DISCUSSION
The thermal analyses of CM, LH, and PMD confirmed that all the three antibiotics were hydrates. CM, LH, and PMD had water molecules in their crystal lattice, as shown by the appearance of their endothermic curves. Fig. 2 shows that CM, as well as LH, has one endothermic curve. Meanwhile, PMD has two endothermic peaks showing the “de-hydratation” or the water release from a crysal lattice structure. The de-hydratation of CM was at 161.9 °C, LH at 113.8 °C, and PMD at both 96.6 °C and 112.4 °C. The data indicates that CM possesses the strongest hydrogen bonding since it required the highest temperature to release its water molecule from the srystal lattice.
In essence, a study of a wide variety of solid hydrate will provide an overview of the behavior of water molecules inside a crystal. The interaction between water molecules with various anhydrous parts of a crystal is an appropriate model to understand the interaction and the molecular structure of water existing in a crystal lattice. In CM, one water molecule is incorporated in one part of ciprofloxacin hydrochloride. Structurally, CM has a water crystal that is categorized as an isolated hydrate. The reason why this isolated hydrate can be seen clearly in the FTIR is the bond between the water molecule and its neighboring atoms does not intervene the strength of the hydrogen bond of the water molecule itself very much. Therefore, water molecules can vibrate strongly when they are exposed to the IR light from FTIR. Moreover, it is estimated that the water molecules in CM are in such position where they are flexible enough to vibrate; they are not situated in a very rigid conformation among the anhydrous ciprofloxacin hydrochloride molecules.
The crystal structure of CM shows that the H atoms of the water molecules in the CM interact with more electronegative atoms, which are the chlorine and oxygen atoms. When one or two H atoms within the crystal water molecules bound with the atom that acts as a strong proton acceptor, it causes an increase in the cooperative effect produced by the water [17]. Cooperative effect is the tendency of water to be a hydrogen bond donor, and such effect will increase along with the ability of an atom to be a hydrogen bond acceptor [18, 19]. Experimental and theoretical study results show that this effect will strengthen the hydrogen bonds of the water molecule, and the stronger the hydrogen bond, the greater the intensity of the O-H stretch peak in the IR spectrum of that water molecule. [17, 20].
In the next step of this study, we used the above method, the FTIR, to observe the hydrate transformation of CM due to the grinding. Along with the duration of grinding, it appears that there is an IR peak which decreased its percentage of transmittance, and that peak is the O-H hydrate stretch peak. During the grinding process, collision force, shear and tension are given to the materials being ground and those will cause the particle size to decrease. The collision will influence the destruction, elongation and withdrawal of particles. When the pressure is exerted to make a smaller particle solids, e. g. powder, it will most likely damage the crystal structure of the substance. Grinding can weaken the bond between atoms of a hydrate, e. g. hydrogen bonds, so that the crystal structure gets damaged and the degree of freedom for the water molecules to escape from the hydrate increases. Changes in the structure can release the water molecules.
Dehydratation in CM can be observed qualitatively using FTIR. In the next step, further observation was tested to analyze the de-hydratation quantitatively by using FTIR. The derivative of O-H hydrate stretch IR peak of each of the ground CM (fig. 6) were matched with the calibration curve that has been made. Firstly, it should be emphasized that the analysis parameters, like linearity, were the things that have to be paid attention at. Those ensure that the calibration curve is in accordance with its objectives, which is to see the ability of FTIR in giving a result that is, either directly or through a mathematical transformation, clear and proportionate to the amount of analyte in a sample. This approach was not intended to validate or verify methods to measure the amount of hydrates, because it takes a comparative instruments and more elaborate preparations for such purposes. Nevertheless, other analysis parameters turned out to demonstrate the value that corresponds to the criteria of acceptability of each parameter, meaning that FTIR can be used as a quantitative method to measure the hydrate transformation.
The next antibiotics to be discussed are LH and PMD. From the 3D structure of LH, the water molecule presents in crystal lattice of LH as an isolated hydrate. The fact that LH is an isolated hydrate. The very small number of water molecules inside the crystal lattice of LH (hemihydrate, "hemi" = half) is the major reason why the O-H hydrate stretch IR peak of LH crystal water molecules cannot be seen clearly using FTIR. DSC and DTA thermogram shows the curve of LH release hydrate has a small and broad endothermic curve, which indicates that the amount of hydrates are small. The TGA thermogram of LH also showed a slight decrease in weight, which means that the amount of water loss is little. Another reason why the water molecule in LH cannot be detected clearly using FTIR is because LH is an isolated hydrate with the position of the crystal water molecules are sandwiched in between the anhydrous parts of LH [21].
In addition, the water molecules of the LH bind to the methyl ammonium nitrogen/MAN part of levofloxacin. MAN has two sectors, namely N-heterocyclic ring and NO-heterocyclic ring. Water molecules in LH can bind to both parts of MAN. The interaction is between the H atoms from the water and the N atom in the MAN. Although the interaction happens between the H atom and the N atom which is an acceptor of proton, but the interaction between them is weak [21], so that the cooperative effect that plays a role on the strength of the hydrogen bonding of water is not as strong as in the CM. These factors cause the O-H hydrate stretch IR peak of LH becomes too small to be observed by using FTIR.
Besides CM and LH, another fluoroquinolone antibiotic used in this study is PMD. In PMD, two water molecules are incorporated into the crystal lattice is not connected with hydrogen bonds (fig. 8).

Fig. 8: The three-dimensional structure of PMD shows two water molecules separated and isolated each other, which can be predicted to cause the hidden OH hydrate’s infrared spectra [22]
The results of DSC and DTA thermogram showed that there were two separate endothermic curves, which indicated that two water molecules are not interconnected and have different energetics. Based on the data, PMD can be classified as an isolated hydrate, which contains two water molecules. One water molecule interacts with four O atoms, the second water molecule with two O atoms and one C atom from pefloxacin mesylate. Regarding water molecules 1 and 2, there is a special explanation related to the study on the effects of hydrogen bonds from water. When both H atoms bonded to a proton acceptor and O to the proton donors, the interaction effects will increase significantly, as compared with the non-interacted waters.
However, there are exceptional cases for the bond between O atoms of water molecules with a proton donor like H atoms, where it turns out that the bond between the two actually reduces the cooperative effects of the water. At water molecule 1, the O atoms from the water bind to other atoms acting as an electron donor (O atoms) and cause the cooperation effect to decrease, as well as the hydrogen bond strength of the water. At water molecule 2, the exception also takes place, and that results a decrease in the strength of the hydrogen bonding of the water. Both explain why the hydrogen bonding of water molecules of PMD is not clearly expressed through the existence of the O-H hydrate stretch IR peak in IR spectrum of PMD [17, 23].
Moving forward to the discussion of FTIR as a quantitative method, from the calibration curve of CM, an equation was generated and the value of R (linearity) are shown in Equation 1:
Eq 1: Linear regression equation from the calibration curve of CM
Eq 2: Molecular Mass Comparison for the Mass Calculation of Water
The data of AUC from the FTIR spectra of ground CM shown in fig. 6 were used to calculate the amount of crystal water in each sample. If we entered the value of AUC of the CM and GCM into Equation 1 and we combined it with the mass comparison in Equation 2, we would know how much a mass of water in CM that is equal to the mass of crystal water left in the GCM. The results are listed in table 4 below.
Table 4: Calculation of water amount of Ground CM
| Sample | AUC | Calculated Mass Fraction according to Equation 1 | Comparable with … (mg) Mass of CM | Amount of water (mg) |
| CM | 28.1659 | 0.0097 | 0.9703 | 0.0453 |
| GCM 60 min | 21.7157 | 0.0074 | 0.7369 | 0.0344 |
| GCM 120 min | 16.9988 | 0.0057 | 0.5662 | 0.0264 |
| GCM 150 min | 9.1987 | 0.0028 | 0.2840 | 0.0133 |
From Table 4, before grinding, CM has a mass of 0.9703 mg, which has a 0.0453 mg crystal water. The calculated amount of the comparable CM mass was based on calculated mass fraction and the procedure used to analyze the sample in FTIR, which used the amount of sample approximately 1 mg and mixed in 100 mg of KBr. Once after ground for 60 minutes, the mass of crystal water changed into 0.0344 mg. Meanwhile, for the grinding of 120 minutes, the mass of the crystal water became 0.0264 mg, and the last on the results of grinding for 150 minutes, decreased until only 0.0133 mg.
The reduction of water crystals in the GCM was detected using DSC (instead DTA), because of the limitations we had for he DTA instrument. The results of DSC for CM indicated the presence of hydrate release curve at a temperature of 142.2 to 180 °C, with a peak at a temperature of 161.9 °C. There was also an exothermic peak at a temperature of 304 °C indicating a recrystallization temperature, and a change in the structure of hydrate from anhydrous to a melt at a temperature of 316.3 °C, followed by an oxidation. Grinding for 150 minutes to eliminate all endothermic curves and the curve hydrate release, so that only the melting endothermic curve at a temperature of 315 °C was observed. The loss of the endothermic curve hydrate release indicates that grinding for 150 minutes causes a loose or a loss of crystal water in the CM. Further confirmation of the grinding effect of the CM was also performed with KFT. Titration results (table 3) showed that along with the length of grinding, the percentage of water content (% water content) in the CM decreases. Before grinding, CM contained water as much as 4.9112%, then after the grinding for 150 minutes the water content of GCM was only 2.1938%.
While the transformation in CM can be observed well using FTIR as well as other methods, the transformation hydrate in LH and PMD due to grinding cannot be clearly observed using FTIR. In contrast to the IR spectra of CM, IR spectra of LH and PMD even showed no peak of hydrate from the beginning, although calorimetry such as DSC, DTA and TGA showed that LH and PMD are in the form of hydrates. An explanation to this phenomenon has been discussed before.
If we look at the thermograms of LH and PMD, thermogram LH in fig. 7A have a hydrate release curve which started from 105 °C to 160 °C with a peak at a temperature of 127.9 °C; endothermic melting curve with a peak at a temperature of 226 °C and followed by an exothermic curve indicating recrystallization occurrence. Fig. 7B explains that analysis using DTA on GLH and GLH 150 min indicated the water’s crystal release. There is a decrease of AUC from the dehydratation curve due to grinding compared to thermogram LH before grinding (fig. 7A). The release of the hydrate according to the TGA thermogram of data where the mass loss as a result of crystal water evaporation occurs in the range of 90-123 °C (temperature range of dehydration in the DTA thermogram according to the TGA range). DTA thermogram of GLH 150' (fig. 7B) showed little more curve hydrate release, which means there is a decrease in the number of hydrates on the results of grinding; endothermic melting curve shifts to the peak temperature of 221.9 °C and a smaller extent; followed by the exothermic curve indicating recrystallization.
DTA thermograms of PMD and GPMD 150' in fig. 7C and 7D show four endothermic curves: two hydrate releases and two endothermic melting curves. Endothermic curve hydrate releases on PMD are showed at a temperature of 92.6 °C and 162.5 °C; while the endothermic melting curve shows a peak at a temperature of 248.7 °C and 288.1 °C. The crystal water releasing temperatures are in accordance with the TGA thermogram of PMD where the mass loss due to evaporation of crystal water molecules, which occurred at a temperature range of 70-176 °C. At PMD thermogram in fig. 7C, there are two exothermic curves in the temperature range 110-160 °C. Both curves are expected to arise due to the exothermic melting involving decomposition reaction. Furthermore, in both curves, hydrates released from the DTA thermogram GPMD 150' is seen in fig. 7D, as the energy for the release of hydrates wanes. This means there is a reduction in the amount of hydrates after grinding. There is a slight shifting in temperature, which is an endothermic curve hydrate release first be within the range of 65-105 °C with a temperature peak at 89.8 °C; and second endothermic curve be ranged between 140-175 °C with a temperature peak at 156.4 °C; but the release of hydrates still occur in the range of 70-176 °C. The peak of endothermic curve also shifted into 262.3 and 289.8 °C, while the exothermic curve does not appear anymore. The results of KFT analysis confirm the occurrence of dehydration in the LH and PMD due to grinding for 150 minutes. Titration results indicate a decrease of the percentage of water content (% water content) of LH, from 2.4410% to 2.0571% after LH ground for 150 minutes. There is a decline in the percentage of PMD’s water content, from 7.3094% to 2.8536%, shown in table 4.
All the discussions are expected to deliver valuable information for the pharmaceutical industry in choosing a process for making and preparing these solid antibiotics.
CONCLUSION
FTIR can analyze hydrate transformation of CM qualitative and quantitatively, but not LH and PMD. The peak of CM hydrate appears strong and clear, thus FTIR can be proposed as an alternative or complementary method to observe the transformation of CM hydrate, besides the other common solid’s analyses instrumentation, e. g. thermal analysis and diffractometry. On the other hand, FTIR cannot be used to analyze the transformation of hydrates in LH and PMD due to the relatively small number of hydrates, the isolated hydrate structure, and the influence from the other part of molecules, which reducing the vibration strength of the hydrogen bonds. The interaction between the crystal water and anhydrous part atoms in PMD contributes to decrease the strength of hydrogen bond vibrations of water, and causes the O-H hydrate stretch IR peak in the IR spectra of LH and PMD to be hard to observe with FTIR.
CONFLICT OF INTERESTS
The authors declare that they have no conflict of interest regarding the subject matter or materials discussed in this manuscript.
REFERENCES