
1Department of Pharmaceutics, Goa College of Pharmacy, Panaji-403001, Goa, India
*Corresponding author: Rajashree Gude; Email: rajigude@yahoo.com
Received: 01 Apr 2023, Revised and Accepted: 10 May 2023
ABSTRAC
Objective: This study aimed to enhance the solubility and dissolution of Glimepiride, a new-generation hypoglycaemic agent with low water solubility, by preparing Fast dissolving buccal films (FDBFs) containing Glimepiride solid dispersion.
Methods: Glimepiride solid dispersions were fabricated using Polyethylene Glycol 4000 as the carrier by Physical mixture, Solvent evaporation, Kneading, and Fusion method. The optimised solid dispersion was selected based on the drug content and in vitro dissolution data. The final films incorporated with solid dispersion were prepared by the solvent casting technique, wherein the film formulation was optimised using the design of experiment (DoE) approach by applying the Central Composite statistical design. The optimised film formulation was then evaluated for various parameters, including weight variation, folding endurance, disintegration time, thickness, surface pH, and dissolution studies.
Results: Among the different methods employed, the kneading method using PEG 4000 in a drug-to-polymer ratio of 1:3 exhibited the highest drug content and in vitro drug release, making it the most promising option. The film formulation that was optimised displayed an accelerated in vitro drug dissolution within a time frame of 10 min, with an average disintegration time of 31.33±0.471.
Conclusion: The developed FDBFs loaded with Glimepiride solid dispersion demonstrated a markedly improved dissolution profile, avoidance of extensive first-pass metabolism, and improved patient compliance. The results suggest that the developed FDBFs could be a potential alternative to conventional dosage forms of Glimepiride.
Keywords: Glimepiride, Solid dispersion, PEG 4000, Kneading method, Fast dissolving buccal film
© 2023 The Authors. Published by Innovare Academic Sciences Pvt Ltd. This is an open access article under the CC BY license (https://creativecommons.org/licenses/by/4.0/)
DOI: https://dx.doi.org/10.22159/ijpps.2023v15i6.47992. Journal homepage: https://innovareacademics.in/journals/index.php/ijpps.
The pharmaceutical industry is facing a major challenge in improving the solubility of poorly water-soluble drugs, as more than 40% of newly developed drugs are unable to reach patients due to their low or reduced solubility. The majority of recently developed drugs come under class II of the Biopharmaceutical Classification System (BCS), meaning they have high permeability but low solubility. Solubility thus continues to be a key problem that hinders the development of novel medications [1, 2].
Solubility augmentation via formulation techniques such as solid dispersions is a compelling alternative for enhancing the solubility and, thus the bioavailability of a variety of hydrophobic drugs. Various methods such as kneading method, solvent evaporation method, hot-melt extrusion method, supercritical fluid technology, spray drying, etc., can be used to prepare the solid dispersions of the drug [3-5].
Glimepiride, a cutting-edge sulfonylurea hypoglycaemic drug, has revolutionized the management of non-insulin-dependent diabetes mellitus (type II). Glimepiride has fewer side effects and a more extended duration of action than other sulfonylureas, making it an ideal option for diabetes management, but as a member of the "Class II" drug category in the Biopharmaceutical Classification System, Glimepiride has low solubility in water. Consequently, it is anticipated to exhibit poor and inconsistent bioavailability when taken orally.
Recently Fast, dissolving technology has emerged as a new drug delivery system that provides a very convenient means of taking medications and supplements by oral route. Fast-dissolving drug delivery systems were first developed in the late 1970s as an alternative to conventional dosage forms for paediatric and geriatric patients who experience difficulties in swallowing traditional oral solid dosage forms. Difficulty in swallowing (Dysphagia) is a common problem of all age groups, especially the elderly and paediatrics, because of physiological changes associated with these groups of patients [6, 7].
The present study has been performed with the goal to formulate a more advanced drug delivery system Fast Dissolving Buccal Film (FDBF) to overcome the limitations.
The work aims to successfully synthesize Glimepiride solid dispersion using different methods viz., physical mixture, solvent evaporation method, kneading method, and fusion method, and then to incorporate it into a Fast dissolving buccal film by solvent casting method to overcome the solubility and dissolution related drawbacks of the drug. The study also focuses on the design of experiment (DoE) strategy for the optimisation of film formulation, and evaluation of the fabricated films for various physicochemical parameters, disintegration time, and in vitro drug release studies.
Materials
Glimepiride was obtained as a gift sample from Cadila Healthcare Ltd. (Goa, India), Polyethyleneglycol 4000 (PEG 4000) was obtained as a gift sample from Molychem (Mumbai, India), Polyethyleneglycol 400 (PEG 400) was obtained as a gift sample from BASF India Ltd. (Mumbai, India), Hydroxypropylmethylcellulose-LVE5 (HPMC E5) was obtained as a gift sample from Colorcon on Asia Pvt., Ltd and citric acid was obtained as a gift sample from Lobachemie Ltd. (Mumbai, India). All the other chemicals and solvents employed for the study were of pharmaceutical and analytical grade.
Methods
Fabrication of glimepiride solid dispersion
Solid dispersions of Glimepiride were prepared using four different methods mentioned viz. physical mixture, solvent evaporation, kneading and fusion method. Three different drug: carrier ratios were used to prepare solid dispersions (1:1, 1:2 and 1:3). The composition of solid dispersion in different ratios is given in table 1.
Preparation by the physical mixture
Known quantity of drug and polymer were weighed separately and passed through sieve no. 80. The materials that made it through sieve number 80 were collected, put into a glass mortar that was clean and dry, and triturated for five minutes. Then the blended mixture was passed through sieve no. 80 and stored in a desiccator for further use [8].
Preparation by fusion method
The drug and the polymer were weighed. The polymer was melted and the drug was added into it. It was mixed well and flash cooled in an ice bath and then stored overnight in a desiccator. After being ground with a mortar and pestle, the obtained solid dispersion was sieved through mesh 80 and kept in a desiccator for later use [8].
Preparation by the solvent evaporation method
Accurately weighed drug and polymer were placed in a beaker containing 10 ml of ethanol. The resultant mixture was heated on a water bath (40-45 °C) with constant stirring till the solvent evaporated completely. The obtained mass was pulverised, and passed through sieve no. 80 to obtain a free-flowing powder. The prepared solid dispersions were stored in a desiccator until further use [9].
Preparation by kneading method
Accurately weighed drug and polymer for a 1:1 ratio were placed in a mortar. A sufficient quantity of water-ethanol mixture (1:1) was added to the blend and kneaded rigorously to obtain a paste-like consistency which was then dried in a vacuum oven, pulverised, and passed through sieve no. 80 to obtain a free-flowing powder. The same procedure was repeated for drug and polymer ratio of 1:2 and 1:3, respectively [10].
Table 1: Composition of glimepiride solid dispersions
| Method | Formulation code | Composition | Ratio |
| Physical Mixture | F1 | Glimepiride: PEG 4000 | 1:1 |
| F2 | Glimepiride: PEG 4000 | 1:2 | |
| F3 | Glimepiride: PEG 4000 | 1:3 | |
| Solvent Evaporation Method | F4 | Glimepiride: PEG 4000 | 1:1 |
| F5 | Glimepiride: PEG 4000 | 1:2 | |
| F6 | Glimepiride: PEG 4000 | 1:3 | |
| Kneading Method | F7 | Glimepiride: PEG 4000 | 1:1 |
| F8 | Glimepiride: PEG 4000 | 1:2 | |
| F9 | Glimepiride: PEG 4000 | 1:3 | |
| Fusion Method | F10 | Glimepiride: PEG 4000 | 1:1 |
| F11 | Glimepiride: PEG 4000 | 1:2 | |
| F12 | Glimepiride: PEG 4000 | 1:3 |
Evaluation of glimepiride solid dispersion
Percent yield
The following formula was used to calculate the percent yield of the prepared solid dispersion [11].

Drug content
A solid dispersion containing 10 mg of Glimepiride was accurately weighed and transferred to a 100 ml volumetric flask, where it was dissolved in a small amount of methanol and the volume was made up with Phosphate buffer pH 6.8. Finally, 10 ml of the solution was taken out and diluted to 100 ml with buffer pH 6.8. Using a UV-Visible spectrophotometer, the absorbance of the resultant solution was measured at λmax of 228 nm [12]. The percent drug content using the following equation.

In vitro dissolution study
Using United States Pharmacopeia (USP) Dissolution Testing Apparatus 2 (paddle method), the rate of Glimepiride release from solid dispersions was calculated. The dissolution test was performed using 500 ml of Phosphate buffer pH 6.8, at 37±0.5 °C and 50 rpm for 1 h. Samples equivalent to 2 mg of Glimepiride were taken for dissolution studies. By taking samples at regular time intervals and filtering them through a membrane filter (pore size 0.45 m), the release of Glimepiride was measured. The replenishing medium kept at the same temperature was used to substitute the samples that were removed [13].
Characterisation of optimised glimepiride solid dispersion
Saturation solubility study
Solubility of the pure drug and optimised solid dispersion (F9) was determined by adding a known excess amount of pure drug and solid dispersion to 10 ml of dissolution medium (phosphate buffer pH 6.8), respectively. The dispersion was held at room temperature for 48 h on the rotary shaker before being filtered with Whatman filter paper and analysed with a UV-Visible spectrophotometer at a maximum wavelength of 228 nm [14].
X-ray diffraction (XRD) analysis
The sample of pure drug and optimised solid dispersion (F9) was subjected to X-ray diffraction analysis using Rigaku X-ray powder diffractometer. The instrument was operated at a voltage of 40 kV and a fixed tube current of 15 mA. Samples were scanned from 10 to 90° at a rate of 10°/min to determine the crystalline nature of Glimepiride and the amorphous nature of the solid dispersion.
Fourier transform infrared analysis (FT-IR)
The infrared spectrum of the pure drug and optimised solid dispersion (F9) was determined in a scanning range of 4000–400 cm-1 using Fourier Transform Infrared instrument equipped with attenuated total reflectance (ATR).
Differential scanning calorimetry (DSC) analysis
DSC analysis of the pure drug and optimised solid dispersion (F9) sample was conducted using a thermal analyser by heating the samples from 30 °C to 300 °C in an inert atmosphere at a rate of 10 °C/min. The sample was analysed using an empty sealed aluminium pan as a reference.
Scanning electron microscopy (SEM)
The surface morphology of the optimised solid dispersion (F9) was examined using scanning electron microscope.
Screening of the components for formulation of blank FDBFs
The film-forming abilities of HPMC are well recognized, and it has excellent acceptability. Various grades of HPMC, namely methocel E5 and Methocel E15, were evaluated as primary film formers. For the fabrication of films, PEG 400 was used as the plasticizer and croscarmellose sodium was used as the disintegrating agent. The film formers, plasticizer, and disintegrant were dissolved in distilled water in different quantities under constant stirring (100 rpm) using a magnetic stirrer to make blank films of HPMC E5 and E15. The prepared mixture was placed into a petri-plate and dried overnight at 45 °C in a hot air oven to obtain the films. The films were assessed based on their flaws and imperfections, ability to peel without rupturing, ability to fold repeatedly, and time to disintegrate. These parameters were used to determine the best polymer, concentration range of polymer and plasticizer, and disintegrant concentration for film formulation [15].
Folding endurance
Folding endurance was achieved by folding the film repeatedly in the same spot until the break appeared on the surface.
In vitro disintegration time
The disintegration time of the films was determined using the petri-plate method. A petri plate was filled with phosphate buffer pH 6.8 (10 ml) and a film (2 cm × 2 cm) was placed in it. The duration of time taken for the film to totally disintegrate was recorded.
Optimisation of fast-dissolving buccal film
The two-factor five-level central composite design was employed to optimize the compositions of the excipients used for film formation. The two factors that are independent variables: concentration of film former (HPMC E-5) and concentration of plasticizer (PEG 400) were evaluated for their effect on disintegration time, folding endurance, and tensile strength. A total of 13 runs were generated at five different levels that are-α, −1, 0, 1, and+α and 5 centre points [16].
Table 2: List of independent variables (factors) selected in experimental design
| S. No. | Independent variable | Units | Low | High | -alpha | +alpha |
| 1 | Concentration of HPMC-E5 (A) | % w/v | 2.5 | 4 | 2.18 | 4.31 |
| 2 | Concentration of PEG 400 (B) | % w/v | 0.8 | 1.4 | 0.67 | 1.52 |
Table 3: List of response or dependent variables selected in experimental design
| S. No. | Response or dependent variables | Units |
| 1 | Disintegration time | s |
| 2 | Folding Endurance | - |
| 3 | Tensile strength | g/cm2 |
Formulation of FBDFs loaded glimepiride solid dispersion
Films were prepared by solvent casting method. Polymer (1-4% w/v) was soaked overnight in 3/4th volume of water. An accurately weighed quantity of Glimepiride solid dispersion (2 mg of the drug per 2 x 2 cm film) was added slowly to the polymeric solution with constant stirring at 100 rpm till it gets completely dissolved. Then the plasticizer (0.5-1.5% w/v), superdisintegrant (0-0.5% w/v), and citric acid (0.4% w/v) as saliva stimulating agent were added and the final volume was made up to 10 ml with distilled water. The resultant was allowed to stand for 1 h to remove all the air bubbles. The final solution was poured into a Petri-plate and dried overnight at 40 °C in a hot air oven. Films were cut into squares of the area of 4 cm2, packed in an aluminium foil and stored in a desiccator till further use [17, 18].

Fig. 1: Schematic representation of preparation of fast-dissolving buccal film loaded with Glimepiride solid dispersion
Evaluation of the optimised fast dissolving buccal film
The optimised Film was evaluated for following tests [19-23]:
General appearance
The films were examined for size, colour, odour, surface texture, and any visible physical flaws.
Thickness
The thickness of the optimised film was measured with a digital vernier calliper with an accuracy of 0.01 mm. The thickness was measured at three different locations, and the mean with standard deviation (SD) was computed.
Weight variation
Three films (2 cm x 2 cm) were individually sampled and weighed on an analytical weighing balance. Mean with SD was calculated.
Disintegration time (DT)
The disintegration time is defined as the time for the film to completely disintegrate into fine particles. The DT of the film was measured using the petri-plate method. The DT evaluation in the petri dish method is done using 2-50 ml of the test medium. A film strip is placed on the medium's surface and left undisturbed, that is, without being stirred. The time taken for complete disintegration of the oral film was recorded. The test was performed in triplicate and mean±SD was calculated.
Folding endurance
Each 2 cm x 2 cm film was folded repeatedly in the same spot until it broke or showed a visible crack. The folding endurance was determined by the number of folds required to break the film. The readings were taken in triplicate, and the mean with SD was computed.
Tensile strength
To test the tensile strength, one end of a 2 cm x 2 cm film strip was clamped at the static end and the other end was attached to the hanging pan. The pan's weight was gradually increased until the film was broken. The break force is the weight required to break the film. The tensile strength was calculated using the formula below. The measurement was carried out on three samples of the film, and the mean with SD was reported.

Percent elongation
When stress is applied to the film (2 cm x 2 cm), it elongates or stretches, which is referred to as strain and can be described as the deformation of the film before it breaks due to stress. It is calculated by comparing the length of the film before and after the stress is applied. The following formula can be used to calculate % elongation.

Surface pH
This test is used to determine the surface pH of the film because changes in the pH of the film can irritate the oral mucosa. Surface pH was determined by taking three samples from different regions of the film. The film was moistened with 0.5 ml of distilled water and the pH was measured using a pH meter. The mean with SD was calculated.
Percent drug content
The percent drug content was determined by dissolving the film in a volumetric flask with 100 ml of phosphate buffer pH 6.8. A volume of 1 ml was taken and adjusted to 10 ml in a volumetric flask. The resulting solution was examined using a UV-visible spectrophotometer with a maximum wavelength of 228 nm. The values were taken in triplicate, and the mean and SD were calculated.
Percent moisture loss
Films measuring 2 cm x 2 cm were sampled and precisely weighed on an analytical weighing balance. Following weighing, the films were stored for 72 h in a desiccator containing fused anhydrous calcium chloride. The films were weighed again, and the percent moisture loss was calculated using the formula provided. The test was carried out in triplicate, and the mean±SD was computed.

X-ray diffraction (XRD) analysis
X-ray diffraction analysis was performed on the optimised film sample using X-ray powder diffractometer. The instrument was set to run at 40 kV and a fixed tube current of 15 mA. To determine the amorphous nature of the solid dispersion, samples were scanned from 10 to 90ᵒ at a rate of 10°/min.
Differential scanning calorimetry (DSC) analysis
DSC analysis of the optimised film was performed on a thermal analyser by heating the sample at a rate of 10 °C/min from 0 °C to 30 °C in an inert atmosphere. As a reference, an empty sealed aluminium pan was used to analyse the sample.
Scanning electron microscopy (SEM)
A scanning electron microscope was used to examine the surface morphology of the optimised film.
In vitro dissolution studies
FDBF containing Glimepiride solid dispersion was studied for in vitro release against reference FDBF containing the free drug using USP type I dissolution apparatus. Both the reference and the optimised film containing 2 mg of the drug was placed in a vessel of 1000 ml capacity. The dissolution medium, phosphate buffer pH 6.8 maintained at 37±0.5 °C at 50 rpm was used to study the dissolution of the API from the film. Samples (5 ml) were withdrawn at predetermined intervals (0.5, 1, 2, 4, 6, 8, 10 and 12 min). An equal volume of fresh buffer (pH = 6.8) was added after each withdrawal to maintain the sink condition. The experiment was performed in triplicate and the cumulative percentage of drug release was calculated.
Kinetics of release
The mathematical models were used to assess the drug release kinetics and mechanism of drug release from the optimised film, as well as to compare the release profile of the drug from the film. Based on the correlation coefficient (R2) values of the various models used, the model that best suited the release data was chosen. Results of the in vitro release studies were tabulated and graphs were plotted using the following models:
Zero Order Plot: Percentage Cumulative Drug Release v/s Time
First Order Plot: Log of Percent Drug Retained v/s Time
Higuchi’s Plot: Cumulative Percent Drug Released v/s Square Root of Time
Korsemeyer-Peppa’s Plot: Log of Percent Cumulative Drug Release v/s Log Time
Stability studies
Stability studies of the optimised film was carried out at room temperature for 90 d. Samples were collected at 0, 30, 60, and 90 d and analysed for appearance, disintegration time, folding endurance and tensile strength.
Evaluation of glimepiride solid dispersion
Percent yield
The percent yield of all the prepared solid dispersions is displayed in table 4.
Drug content
The % drug content values of prepared solid dispersions are given in table 4.
The drug content values of physical mixture ranged from 79.59-85.75%. The drug content values of solid dispersions prepared by solvent evaporation method ranged from 71.97-78.86%. The drug content values of solid dispersions prepared by the kneading method ranged from 90.87-98.04%. The drug content values of solid dispersions prepared by the fusion method ranged from 83.89-93.10%. The results indicated that the application of the kneading method was the best method for the preparation of solid dispersions with high content uniformity.
In vitro dissolution study
Studies of in vitro dissolution rates enable comparison between samples of pure drug and solid dispersion batches. The in vitro dissolution study was conducted for a time period of 60 min. The % drug release at the end of 60 min was compared for all the batches. The dissolution profiles of the pure drug Glimepiride and solid dispersion batches (F1-F12) are shown in table 5, respectively. It was observed that the in vitro dissolution rates of the prepared solid dispersions was comparatively faster than that of the pure drug. Studies also revealed that the solid dispersions prepared with the kneading method showed a significant increase in drug dissolution as compared to the physical mixing, solvent evaporation method and fusion method. Solid dispersion batch F9 showed highest release rate at 60 min out of all the batches.
Table 4: Percent yield and % drug content values of glimepiride solid dispersions
| Physical mixture | |||
| Formulation code | Ratio | Percent yield (%) | Drug content (%) |
| F1 | 1:1 | 96.02±0.71 | 79.51±0.82 |
| F2 | 1:2 | 92.12±0.41 | 81.47±0.35 |
| F3 | 1:3 | 95.34±0.28 | 85.75±0.89 |
| Solvent evaporation method | |||
| F4 | 1:1 | 77.97±1.13 | 71.13±0.94 |
| F5 | 1:2 | 82.9±0.87 | 74.95±0.53 |
| F6 | 1:3 | 85.8±0.67 | 78.86±0.89 |
| Kneading method | |||
| F7 | 1:1 | 93.74±0.70 | 90.87±0.32 |
| F8 | 1:2 | 91.66±0.58 | 95.34±0.51 |
| F9 | 1:3 | 96.48±0.33 | 98.04±0.46 |
| Fusion method | |||
| F10 | 1:1 | 85.95±1.29 | 83.89±0.92 |
| F11 | 1:2 | 88.09±0.77 | 93.10±0.87 |
| F12 | 1:3 | 89.18±0.633 | 89.94±0.64 |
Data are presented as mean±SD, n = 3

Fig. 2: Comparison between % drug content values for different batches

Fig. 3: Drug release profiles of pure drug and solid dispersions F1–F12
Table 5: In vitro drug release profiles of pure drug and solid dispersions F1–F12
| Time (min) | 5 | 10 | 15 | 20 | 25 | 30 | 45 | 60 | |
| % Drug release | Pure drug | 21.78 | 33.64 | 40.03 | 43.68 | 50.16 | 59.03 | 60.06 | 64.83 |
| F1 | 16.20 | 24.27 | 29.17 | 41.10 | 50.35 | 57.82 | 60.71 | 70.61 | |
| F2 | 18.99 | 35.47 | 46.07 | 52.58 | 67.99 | 83.55 | 86.69 | 89.86 | |
| F3 | 24.58 | 29.48 | 35.82 | 46.88 | 55.26 | 59.99 | 68.02 | 80.31 | |
| F4 | 18.06 | 29.41 | 36.69 | 45.90 | 55.19 | 59.92 | 74.93 | 78.92 | |
| F5 | 15.27 | 22.87 | 33.80 | 40.65 | 53.16 | 56.47 | 68.19 | 79.56 | |
| F6 | 18.52 | 30.35 | 37.17 | 44.98 | 50.08 | 57.55 | 64.16 | 78.28 | |
| F7 | 30.16 | 39.78 | 51.34 | 56.97 | 67.77 | 70.76 | 76.56 | 84.28 | |
| F8 | 21.32 | 30.84 | 33.01 | 45.44 | 56.13 | 67.85 | 79.68 | 91.16 | |
| F9 | 32.96 | 43.06 | 54.66 | 68.70 | 83.81 | 89.75 | 93.41 | 97.10 | |
| F10 | 18.06 | 27.08 | 40.39 | 43.12 | 51.45 | 60.80 | 65.58 | 71.80 | |
| F11 | 42.27 | 48.28 | 51.55 | 53.45 | 59.56 | 59.67 | 75.60 | 84.71 | |
| F12 | 18.52 | 31.74 | 41.84 | 53.89 | 66.52 | 69.50 | 73.43 | 77.40 |

Fig. 4: Comparison of %CDR values of solid dispersion prepared by physical mixture (F3), Solvent evaporation (F5), kneading (F9) and Fusion (F11) method

Fig. 5: Comparison of %CDR values of pure drug and F9
Optimization of glimepiride solid dispersion
The Glimepiride solid dispersion was optimised based on drug content values and dissolution data is given in fig. 2 and fig. 3. F9 was selected as the optimised solid dispersion since it was reported to have the highest % drug content and highest release rate at 60 min compared to all the other batches.
Characterization of optimised glimepiride solid dispersion (F9)
Saturation solubility study
The solubility of Optimised Solid Dispersion (F9) in phosphate buffer pH 6.8 was found to be 192.285±6.325 µg/ml, which is around 5 times greater than that of pure Glimepiride (38.4±5.128 µg/ml). This enhancement in the solubility of the drug could be attributed to reduced agglomeration and amorphization by PEG 4000 (n=3).
FT-IR spectroscopy
The FT-IR spectrum of pure drug Glimepiride and optimised Glimepiride solid dispersion is shown in fig. 6 and fig. 7.
The FT-IR spectrum of optimised Glimepiride solid dispersion (F9) showed the presence of all the characteristic peaks of pure Glimepiride, indicating that there was no significant interaction between the drug and the excipient.
X-ray diffraction study
Fig. 8 and fig. 9 show the XRD pattern of pure Glimepiride and optimised Glimepiride solid dispersion.

Fig. 6: FTIR spectra of glimepiride

Fig. 7: FTIR spectra of optimised solid dispersion

Fig. 8: XRD pattern of pure drug glimepiride

Fig. 9: X-ray diffractogram of optimised solid dispersion F9
The XRD of optimised solid dispersion (F9 formulation) shows peaks corresponding to Glimepiride. But, the Glimepiride peaks with reduced peak height and area were observed, suggesting reduced crystallinity of Glimepiride in the F9 formulation.
Differential scanning calorimetry (DSC) analysis
DSC thermogram of the pure Glimepiride and Glimepiride solid dispersion is shown in fig. 10 and fig. 11, respectively.

Fig. 10: DSC thermogram of glimepiride

Fig. 11: DSC thermogram of optimised solid dispersion

Fig. 12: SEM image of optimised solid dispersion (X500)
DSC thermogram of Glimepiride showed a prominent endothermic peak at 214.65 °C. The high intensity of peak reveals the highly crystalline nature of the drug. The DSC thermogram of F9, however, revealed an endothermic peak at 81.91 °C and no indication of a Glimepiride peak. The disappearance of the peak of Glimepiride from the thermogram of F9 showed that the drug was present in a more soluble amorphous form.
Scanning electron microscopy (SEM)
The scanning electron microscope images of optimised solid dispersion (F9) at 500X magnification is depicted in fig. 12. It was found that the optimised formulation appeared as irregular particles, which may give an indication of the dispersion of Glimepiride on the carriers in an amorphous state.
Screening of the components for the formulation of blank FDBFs
Fast-dissolving buccal films should be flexible enough to tolerate tension while still being able to dissolve swiftly in the mouth. As a result, folding endurance and disintegration time were considered as primary criteria for selecting a film-forming agent. Film formers like HPMC-E5 and HPMC-E15 were used to check their film-forming capacity along with PEG-400 as plasticizer and Croscarmellose sodium as the super-disintegrating agent. Initial studies indicated that amongst various grades of HPMC, Methocel E5 gave films with the most desired properties at the concentration range of 2.5-4 % w/v. PEG 400 was found to be a suitable plasticizer because it produced films with good flexibility and optimum plasticity in the concentration range of 0.8-1.4%w/v. Croscarmellose was found to be a suitable super disintegrant for films that underwent disintegration rapidly at the concentration of 20 mg.
Optimisation of fast-dissolving buccal films
The solvent casting method was employed to formulate fast-dissolving buccal films. HPMC E5 as a film former and PEG 400 as a plasticizer were used for further research based on preliminary studies. Films were prepared with varying concentrations of HPMC E5 and PEG 400 as suggested by the Central Composite Design (Response Surface Methodology) and were optimised by analysing the data statistically and graphically using the Design Expert® 13 software.
Table 6: Optimisation of fast-dissolving buccal film using CCD
| Run | Factor 1 | Factor 2 | Response 1 | Response 2 | Response 3 |
| A: Concentration of film former | B: Concentration of plasticizer | R1 disintegration time | R2 folding endurance | R3 tensile strength | |
| % w/v | % w/v | seconds | - | g/cm2 | |
| 1 | 4 | 0.8 | 42 | 180 | 117.6 |
| 2 | 2.1893 | 1.1 | 28 | 143 | 78.4 |
| 3 | 3.25 | 0.6757 | 29 | 148 | 107.8 |
| 4 | 3.25 | 1.1 | 32 | 167 | 127.4 |
| 5 | 2.5 | 0.8 | 28 | 145 | 85.75 |
| 6 | 4.3106 | 1.1 | 52 | 200 | 142.1 |
| 7 | 3.25 | 1.1 | 32 | 174 | 132.3 |
| 8 | 3.25 | 1.5242 | 38 | 182 | 122.5 |
| 9 | 2.5 | 1.4 | 33 | 169 | 98 |
| 10 | 3.25 | 1.1 | 30 | 166 | 122.5 |
| 11 | 4 | 1.4 | 50 | 204 | 147 |
| 12 | 3.25 | 1.1 | 35 | 170 | 127.4 |
| 13 | 3.25 | 1.1 | 34 | 168 | 134.75 |
Selection of model for the responses
The two-factor five-level central composite design was used to find out the optimum composition of film former and plasticizer to obtain best film properties. A design matrix of 13 runs resulted in the disintegration time, folding endurance and tensile strength in the range of 28–52 s, 143–204 times and 78.4–147gcm−2, respectively. Various models like linear, quadratic, 2-factor interaction (2FI), and cubic were used to analyse the results. The best-suited model for the dependent variables was selected depending on values obtained for standard deviation (SD), predicted (R2), adjusted (R2), and correlation coefficient (R2). A quadratic model was found to be the best-fitted model for disintegration time (R2 = 0.9524) and tensile strength (R2 = 0.9485). However, the best-fitted model for folding endurance (R2 = 0.9458) was found to be a linear model. Polynomial equations were produced based on the best-fitted models, with the positive sign indicating an increase in the response due to the relevant factor.
Effect on disintegration time
The disintegration time followed the quadratic model with F-value of 49.04 and p-value<0.0001 implicating that the selected model was significant. Based on ANOVA results, the response surface diagram (fig. 16) and the polynomial equation were generated. According to the data shown in table 6, a significant increase in disintegration time can be seen with an increase in the concentration of film former used in the film formation. However, disintegration time did not show marked dependency on the concentration of the plasticizer.
A positive sign in a polynomial equation implies a synergistic impact, while a negative sign indicates an antagonistic effect. The disintegration time polynomial equation is:
Disintegration Time =+32.60+8.12A+3.22B+0.7500AB+ 4.08A²+ 0.8250B²
The statistical data of regression analysis for disintegration time (R1) is shown in table 7.
Table 7: Regression analysis of quadratic model for disintegration time
| Std. Dev. | 1.72 | R² | 0.9722 |
| Mean | 35.62 | Adjusted R² | 0.9524 |
| C. V. % | 4.84 | Predicted R² | 0.9152 |
| - | - | Adequate Precision | 21.6206 |
C. V.: Coefficient of variation
The Predicted R² of 0.9152 is in reasonable agreement with the Adjusted R² of 0.9524; i.e. the difference is less than 0.2. The Adequate Precision measures the signal-to-noise ratio. A ratio greater than 4 is desirable. The obtained ratio of 21.621 indicates an adequate signal. This model can be used to navigate the design space.
Effect on folding endurance
In consideration with the F-value of 104.00 and p-value<0.0001, the linear model for folding endurance was found to be significant. In order to verify the structural integrity of the film during transportation and subsequent storage, folding endurance is computed. The concentration of the plasticizer and the film former both directly influence folding endurance.
In a polynomial equation, a positive sign indicates a synergistic effect and a negative sign indicates an antagonistic effect. The polynomial equation for folding endurance is:
Folding Endurance =+170.46+18.83A+12.01B
The statistical data of regression analysis and ANOVA test for folding endurance (R2) are shown in table 8.

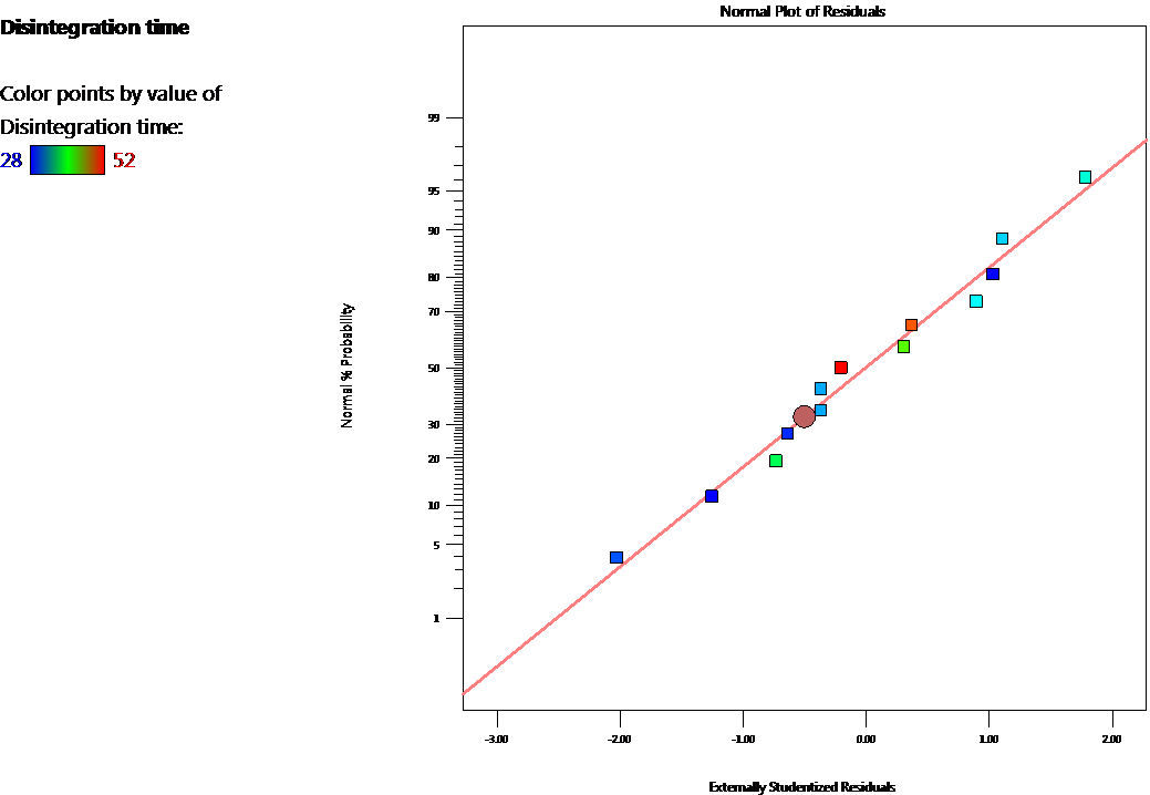
Fig. 13: Normal plot of residuals for disintegration time

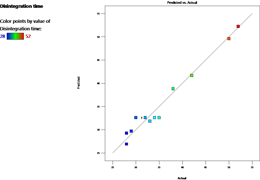
Fig. 14: Predicted v/s actual plot for disintegration time

Fig. 15: Contour plot for disintegration time

Fig. 16: Surface plot of the effect of A and B on disintegration time
Table 8: Regression analysis of a linear model for folding endurance
| Std. Dev. | 4.38 | R² | 0.9541 |
| Mean | 170.46 | Adjusted R² | 0.9450 |
| C. V. % | 2.57 | Predicted R² | 0.9113 |
| - | - | Adequate Precision | 29.3143 |
The Predicted R² of 0.9113 is in reasonable agreement with the Adjusted R² of 0.9450; i.e. the difference is less than 0.2. The adequate precision measures the signal-to-noise ratio. A ratio greater than 4 is desirable. The obtained ratio of 29.314 indicates an adequate signal. This model can be used to navigate the design space.

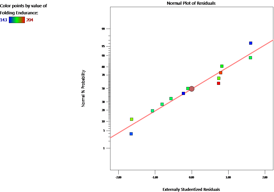
Fig. 17: Normal plot of residuals for folding endurance
Effect on tensile strength
The statistical evaluation by applying ANOVA resulted in the F-value of 84.46 and a p-value<0.0001 for the quadratic model, which indicated that the model was significant. The concentration of plasticizer and film former has a significant impact on the FDBFs' tensile strength.
In a polynomial equation, a positive sign indicates a synergistic effect and a negative sign indicates an antagonistic effect. The polynomial equation for tensile strength is:
Tensile Strength =+128.87+21.37A+7.80B+4.29AB-9.46A²-7.01B²
The statistical data of the ANOVA test for tensile strength (R3) is shown in table 9.

Fig. 18: Predicted vs. actual plot for folding endurance

Fig. 19: Contour plot for folding endurance

Fig. 20: 3D surface plot of effect of A and B on folding endurance

Fig. 21: Normal plot of residuals for tensile strength

Fig. 22: Predicted v/s actual plot for tensile strength

Fig. 23: Contour plot for tensile strength
Table 9: Regression analysis of the quadratic model for tensile strength
| Std. Dev. | 4.74 | R² | 0.9700 |
| Mean | 118.73 | Adjusted R² | 0.9485 |
| C. V. % | 3.99 | Predicted R² | 0.8833 |
| - | - | Adequate Precision | 20.5497 |
The Predicted R² of 0.8833 is in reasonable agreement with the Adjusted R² of 0.9485; i.e. the difference is less than 0.2. The adequate precision measures the signal-to-noise ratio. A ratio greater than 4 is desirable. The obtained ratio of 20.550 indicates an adequate signal. This model can be used to navigate the design space.

Fig. 24: 3D surface plot of effect of A and B on tensile strength
Optimised formula of fast-dissolving buccal film
Based on the results and observations of formulation optimisation using Central Composite design on Design-Expert®-13, the optimised values of independent and dependent or response variables were obtained.
One solution was generated by the design to provide optimum film composition. Based on the statistical modeling, desirability factor, and with 95% confidence, the following factors were suggested by the design expert software for the preparation of optimal formulation with a desirability factor of 0.777.
Further, formulations of FDBFs were validated using optimised concentration of independent variables and validated results for FDBFs are shown in table 9. Validated values of response variables were found to be close to that of the optimised values depending on the statistical analysis. Further, optimised formula for FDBFs is shown in table 10.
Incorporation of optimised glimepiride solid dispersion into the optimised FDBF
The optimised formula for FDBF-loaded Glimepiride solid dispersion is shown in table 11.
Table 10: Validated values of independent variables and response variables for optimised FDBF
| Type of variable | Variables | Optimised value | Validated value (n=3) |
| Independent | HPMC-E5: A (% w/v) | 3.25 | 3.25 |
| PEG 400: B (% w/v) | 1.10 | 1.1 | |
Response or Dependent |
Disintegration time: R1 (Seconds) | 32.6±1.72 | 32±0.81 |
| Folding endurance: R2(no.) | 170.462±4.37 | 174±1.63 | |
| Tensile strength: R3 (g/cm2) | 128.87±4.73 | 132.3±2.69 |
Table 11: Optimised formula for glimepiride solid dispersion loaded FDBF based on central composite design
| S. No. | Name of ingredients | Quantity (for 5 films of 2 cm2) |
| 1 | Glimepiride SD (1:3) drug to polymer ratio | 22.1 mg (equivalent to 2 mg of Glimepiride) |
| 2 | HPMC-E5 | 325 mg |
| 3 | PEG 400 | 110 mg |
| 4 | Croscarmellose | 20 mg |
| 5 | Citric acid | 50 mg |
| 6 | Distilled water | Q. S to 10 ml |
Evaluation of optimised fast dissolving buccal film

Fig. 25: Optimised glimepiride solid dispersion loaded FDBF
General appearance
The films appeared to be translucent with a smooth surface.
Thickness
The optimised film exhibited a thickness of 0.1633±0.0205 mm, indicating the uniformity of the film (n=3).
Weight variation
The weight variation test helps verify that the dose distribution in the film is accurate. The data was collected three times. The optimised film's mean±SD weight (2 × 2 cm2) was discovered to be 40.56±0.758 mg, showing the film's uniformity (n=3).
Folding endurance
The film's physical integrity is determined by its folding endurance. The folding endurance of optimised film formulation was found to be 174±1.632 (n=3).
Tensile strength
The stress experienced during the manufacture and handling of the film should be able to be supported by the film's toughness and structural integrity, which may be inferred from the tensile strength. The tensile strength of the optimised film was found to be 132.3±2.694 g/cm2 (n=3).
Percent elongation
Films that have a low % elongation but a high total tensile strength are regarded as rigid and fragile. The % elongation of the optimised film was found to be 29.5±3.674% (n=3).
Drug content uniformity
The optimised film's drug content was found to be 96.33±1.913 %, showing that the drug was distributed uniformly throughout the film (n=3).
Surface pH
Normal saliva pH ranges from 6.2 to 7.6, with 6.7 being the average. The pH of the oral cavity should not be changed by the film because this could irritate the mouth. The pH of the optimised film was found to be 6.76±0.0471 (n=3).
Percent moisture loss
The optimised film showed a percent moisture loss of 1.37±0.1154%, demonstrating good stability of the film (n=3).
Percent moisture content
The optimised film's percent moisture content was determined to be 3.71±0.1385%, demonstrating the existence of a hygroscopic substance and the stability of the film (n=3).
In vitro disintegration time
The optimised film's in vitro disintegration time was found to be 31.33±0.4714 s, showing that the film disintegrated rapidly (n=3).
Differential scanning calorimetry
According to fig. 27, the optimised film had a lower melting point and a lower peak intensity when compared to the pure drug, demonstrating the thermal transition effect that causes the drug to change from its crystalline form to its amorphous form. The broadening of the peak further supports the drug's amorphous nature.

Fig. 26: Disintegration of the film

Fig. 27: DSC thermogram of optimised film

Fig. 28: XRD pattern of optimised film

Fig. 29: SEM image of the optimised film (X5000)
Table 12: In vitro drug release values for film containing pure drug and optimised FDBF containing glimepiride solid dispersion
| Time (s) | Film containing pure drug (%) (n=3) | Film containing glimepiride solid dispersion (%CDR) (n=3) |
| 0 | 0±0.00 | 0±0.00 |
| 30 | 40.96±1.27 | 25.51±2.65 |
| 60 | 47.95±2.13 | 35.28±2.74 |
| 120 | 55.41±1.54 | 42.15±1.78 |
| 240 | 72.25±0.92 | 46.76±1.68 |
| 360 | 84.60±1.12 | 51.41±1.94 |
| 480 | 94.74±1.86 | 55.17±2.11 |
| 600 | 98.92±0.52 | 58.50±1.46 |
Data is expressed as mean±SD

Fig. 30: Comparison between in vitro drug release values for film containing pure drug and optimised FDBF loaded glimepiride solid dispersion
XRD analysis
The amorphous form of the drug present in the film, as shown in fig. 28, was confirmed by the diffractogram of the optimised film containing Glimepiride solid dispersion, which did not exhibit any crystalline peaks of the drug.
Scanning electron microscopy
The SEM image of the optimised FDBF containing Glimepiride solid dispersion at 5000X magnification is shown the fig. 29. The SEM image shows that the drug was properly dispersed in the film in amorphous form.
In vitro drug release study
The in vitro drug release values for an optimised film containing glimepiride solid dispersion and a film containing the pure drug are provided in table 12.
The data in table 13 make it clear that the drug's dissolution profile significantly increased as a result of the drug's improved solubility in the hydrophilic carriers. The presence of the super disintegrant may also be responsible for the quicker disintegration. In contrast to the pure drug film, which only showed a release of 44.04±1.963 % after 10 min, the optimised film demonstrated a maximum drug release of 98.92±0.651%.
Kinetic modelling
The data of in vitro % drug dissolution was fitted into several release kinetic models in order to analyse the drug release mechanism from optimised Glimepiride Fast dissolving buccal films, as shown in table 14.
From the kinetic analysis, it was observed that the R2 value for the first-order plot was comparatively higher than that of the zero-order plot which showed that the formulation is best fitted in first-order kinetics. Similarly, the data was subjected to Higuchi’s equation, wherein the R2 values were found to be close to 1 indicating that the film formulation exhibited a diffusion mechanism of drug release. Therefore, it can be concluded that it exhibits diffusion mechanism of drug release. The drug release data was also treated to Korsmeyer-Peppa’s model to understand the diffusion mechanism of the drug. Finally, the ‘n’ value obtained from the Korsmeyer-Peppa’s plot i.e., n ≥ 5 indicated that the drug release follows the Non-Fickian type of diffusion mechanism.
Ex vivo permeation study
The data of determination of ex vivo permeation study of optimised FDBF loaded Glimepiride solid dispersion is shown in table 15 and fig. 35.
Table 13: In vitro dissolution data of optimised formulation
| Time (t) min | Log t | √t | % CDR | Log of % CDR | % Drug remained | Log of % drug remained |
| 0.5 | -0.30 | 0.707 | 40.96 | 1.61 | 59.03 | 1.77 |
| 1 | 0 | 1 | 47.95 | 1.68 | 52.04 | 1.71 |
| 2 | 0.30 | 1.41 | 55.41 | 1.74 | 44.58 | 1.64 |
| 4 | 0.50 | 2 | 72.25 | 1.85 | 27.74 | 1.44 |
| 6 | 0.77 | 2.44 | 84.61 | 1.92 | 15.39 | 1.18 |
| 8 | 0.90 | 2.82 | 94.74 | 1.97 | 5.25 | 0.72 |
| 10 | 1 | 3.16 | 98.92 | 1.99 | 1.07 | 0.029 |

Fig. 31: Zero-order plot of optimised film

Fig. 32: First-order plot of optimised film

Fig. 33: Higuchi’s plot of optimised film

Fig. 34: Korsmeyer-Peppa’s plot of the optimised film
Table 14: Drug dissolution or release kinetic modelling
| Drug release model | Linear coefficient (R2 Value) |
| Zero order model | 0.8144 |
| First order model | 0.9433 |
| Higuchi Model | 0.9609 |
| Korsmeyer-Peppa’s model | 0.9861 |
Table 15: Data of Ex vivo permeation study for optimised FDBF loaded glimepiride solid dispersion
| Time (min) | Absorbance | Concentration | CDR | %CDR | |||
| μg/ml | mg/ml | mg/5 ml | mg/100 ml | ||||
| 0 | 0 | 0 | 0 | 0 | 0 | 0 | 0 |
| 2 | 0.424 | 7.83 | 0.0078 | 0.0391 | 0.7836 | 0.7836 | 39.18 |
| 4 | 0.511 | 9.45 | 0.0094 | 0.0472 | 0.9456 | 0.9848 | 49.24 |
| 6 | 0.597 | 11.05 | 0.0110 | 0.0552 | 1.1057 | 1.1922 | 59.61 |
| 8 | 0.708 | 13.12 | 0.0131 | 0.0656 | 1.3124 | 1.4542 | 72.71 |
| 10 | 0.821 | 15.22 | 0.0152 | 0.0761 | 1.52290 | 1.7302 | 86.51 |
| 12 | 0.879 | 16.30 | 0.0163 | 0.0815 | 1.63091 | 1.9144 | 95.72 |

Fig. 35: Ex vivo drug permeation of optimised glimepiride FDBF
Table 16: Stability study data of optimised film
| Days | Storage at room temperature |
| Appearance | |
| 0 | Translucent |
| 30 | Translucent |
| 60 | Translucent |
| 90 | Translucent |
Data are presented as mean±SD, n=3
Ex vivo permeation of optimised film was found to be 95.72% in 12 min, which indicated good tissue permeability of the drug from FDBF formulation.
Stability study
The stability test of optimised Glimepiride FDBF was performed for 90 d at room temperature. The results were summarized in table 16. There was no significant change in appearance, disintegration time, folding endurance, and tensile strength.
Augmentation of solubility of Glimepiride was done by fabricating solid dispersions using various methods. Among them, the solid dispersion obtained via the kneading method (F9) had the highest drug content and percentage of drug release at 60 min. The optimised solid dispersion was subjected to various characterisations, including saturation solubility study, FT-IR, DSC, XRD, and SEM. Results from FT-IR and DSC analysis confirmed the compatibility of the drug, while the XRD analysis confirmed its amorphous nature. The saturation solubility study revealed a remarkable enhancement in the solubility of Glimepiride, as compared to the pure drug. The solubility of Glimepiride increased by almost five times, indicating the effectiveness of the solid dispersion technique in enhancing the drug's solubility.
FDBFs were formulated using HPMC E5 as the film former and PEG 400 as the plasticizer. This combination produced films with satisfactory characteristics consistent with Biyani et al.’s findings [24]. The film formulation was optimised using a Central composite design. The concentration of HPMC-E5 and PEG 400 were selected as independent variables. Disintegration time, folding endurance, and tensile strength are important quality attributes of the FDBFs that were selected as dependent or response variables.
The optimised FDBF-loaded Glimepiride solid dispersion was translucent and had a smooth surface, making it visually appealing. The film showed good folding endurance, indicating that it could withstand repeated bending, which is important for the packaging and transportation of the film. The tensile strength and percent elongation were determined, and the film was found to be strong and flexible, which are important properties for oral drug delivery as the film needs to withstand mechanical stresses during administration.
The uniform drug content of the film indicated that the drug was uniformly distributed in the film, ensuring consistent drug delivery and efficacy. The surface pH of the film was within the normal range for oral administration, indicating compatibility with the oral environment. The low moisture loss indicated good stability of the film during storage and transportation. The disintegration time of the film was rapid, contributing to faster drug release and absorption. The amorphous nature of the drug in the film was confirmed by DSC and XRD analyses, and SEM imaging revealed that the drug was evenly distributed throughout the film. The improved film had a non-Fickian diffusion type of release mechanism, first-order release kinetics, and maximum drug release within 10 min. According to the stability analysis, the optimised films remained stable for more than 90 d without experiencing any changes in the film's properties.
M Qushawy et al. formulated Glimepiride as solid dispersion using water-soluble carriers to enhance its aqueous solubility and thus enhance its bioavailability. To enhance solubility, Glimepiride solid dispersion was prepared using a solvent evaporation technique with the utilization of three distinct carriers (mannitol, polyethylene glycol 6000, and β-cyclodextrin) [25]. Our results demonstrate that the kneading method was a better technique for enhancing the solubility and dissolution rate of Glimepiride as compared to the solvent evaporation technique. The kneading method eliminated the risk of residual solvent contamination in the final product, which was a significant advantage over the solvent evaporation technique that requires the use of organic solvents. The kneading method also involved mild processing conditions that reduced the risk of thermal degradation or chemical modification of the drug, unlike the solvent evaporation technique, which required higher processing temperatures and vacuum conditions.
K Sakure et al. developed rapid disintegrating tablets (RDT) of Glimepiride solid dispersion by using polymeric carriers [26]. Although it has been demonstrated that RDTs can increase the solubility and dissolution rate of poorly soluble drugs, such as Glimepiride, they may not be the ideal drug delivery system for all patients. RDTs require the drug to be swallowed and pass through the gastrointestinal tract, which can lead to variability in absorption and bioavailability due to factors such as pH, food, and gut motility. In contrast, FDBFs offer a more direct route of drug delivery, as they are applied to the oral mucosa and allow for rapid absorption of the drug into the bloodstream. This can result in improved bioavailability, reduced first-pass metabolism, and faster onset of action. Additionally, FDBFs are a convenient and non-invasive dosage form that can be easily administered and are well-tolerated by patients. Therefore, developing buccal films of Glimepiride solid dispersion may be a better alternative to RDTs, as they offer more predictable and efficient drug delivery with improved patient compliance.
Akram et al. prepared and evaluated transdermal patches with the optimisation of a suitable polymeric blend of poly (meth) acrylates (Eudragit®) sustained transdermal delivery of glimepiride [27]. However, developing FDBFs of Glimepiride is a better option due to several advantages, including faster onset of action and higher bioavailability due to avoidance of first-pass metabolism and absorption through the gastrointestinal tract. Additionally, FDBFs are more convenient and user-friendly, as they do not require any specialised techniques for application. These factors make FDBFs of Glimepiride a potentially superior option for delivering the drug.
The prepared FDBFs loaded Glimepiride solid dispersion offers rapid onset of action and enhanced dissolution in comparison to the conventional dosage forms, thereby eliminating the drawbacks of conventional oral dosage forms and improving patient compliance hence proving to be a very promising approach to enhance the solubility and dissolution of the drug candidate thereby improving the oral bioavailability of the drug.
The authors are thankful to Zydus Cadila Healthcare Ltd, Goa, for providing a gift sample of Glimepiride, Colorcon-Goa for providing HPMC E-5 and Molychem, Mumbai for providing PEG 4000. They are also thankful to BASF, Mumbai for providing PEG 400 and Lobachemie Ltd. Mumbai for providing Citric acid. The authors are grateful to Goa College of Pharmacy for providing the facilities to conduct this research study.
Each author contributed equally to this work. There was no outside assistance in this study project.
This study was supported by the All India Council for Technical Education, New Delhi.
The authors declare no conflict of interest.
Albadarin AB, Potter CB, Davis MT, Iqbal J, Korde S, Pagire S. Development of stability-enhanced ternary solid dispersions via combinations of HPMCP and Soluplus® processed by hot melt extrusion. Int J Pharm. 2017 Oct 30;532(1):603-11. doi: 10.1016/j.ijpharm.2017.09.035, PMID 28923766.
Baghel S, Cathcart H, O’Reilly NJ. Polymeric amorphous solid dispersions: a review of amorphization, crystallization, stabilization, solid-state characterization, and aqueous solubilization of biopharmaceutical classification system class II drugs. J Pharm Sci. 2016 Sep 1;105(9):2527-44. doi: 10.1016/j.xphs.2015.10.008, PMID 26886314.
Huang Y, Dai WG. Fundamental aspects of solid dispersion technology for poorly soluble drugs. Acta Pharm Sin B. 2014 Feb 1;4(1):18-25. doi: 10.1016/j.apsb.2013.11.001, PMID 26579360.
Gurunath S, Pradeep Kumar SP, Basavaraj NK, Patil PA. Amorphous solid dispersion method for improving oral bioavailability of poorly water-soluble drugs. J Pharm Res. 2013 Apr 1;6(4):476-80. doi: 10.1016/j.jopr.2013.04.008.
Lingam M, Venkateswarlu V. Enhancement of solubility and dissolution rate of poorly water-soluble drug using cosolvency and solid dispersion techniques. PCI- Approved-IJPSN. 2008;1(4):349-56. doi: 10.37285/ijpsn.2008.1.4.6.
Kathpalia H, Gupte A. An introduction to fast dissolving oral thin film drug delivery systems: a review. Curr Drug Deliv. 2013 Dec 1;10(6):667-84. doi: 10.2174/156720181006131125150249, PMID 24274635.
Lindgren S, Janzon L. Prevalence of swallowing complaints and clinical findings among 50-79 y old men and women in an urban population. Dysphagia. 1991 Dec;6(4):187-92. doi: 10.1007/BF02493524, PMID 1778094.
Gill B, Kaur T, Kumar S, Gupta GD. Formulation and evaluation of glimepiride solid dispersion tablets. Asian J Pharm. 2010;4(3):212-18. doi: 10.4103/0973-8398.72121.
Chavan RB, Lodagekar A, Yadav B, Shastri NR. Amorphous solid dispersion of nisoldipine by solvent evaporation technique: preparation, characterization, in vitro, in vivo evaluation, and scale up feasibility study. Drug Deliv Transl Res. 2020 Aug;10(4):903-18. doi: 10.1007/s13346-020-00775-8, PMID 32378174.
Wagh VT, Gilhotra RM, Wagh RD. Solid dispersion (Kneading) technique: a platform for enhancement dissolution rate of valsartan poorly water-soluble drug. International Journal of Pharmaceutical Quality Assurance. 2020;11(1):20-4. doi: 10.25258/ijpqa.11.1.3.
Sehgal N, Gupta NV, Dv G, PS. Fabrication and evaluation of solid dispersion containing glibenclamide. Asian J Pharm Clin Res. 2018;11(8):158-61. doi: 10.22159/ajpcr.2018.v11i8.26236.
Jagdale S, Hable A, Chabukswar A, Kuchekar B. Improvement of dissolution rate of chlorzoxazone by solid dispersion technique and development of buccal patch. J Appl Sol Chem Model. 2013 May 31;2(2):145-57. doi: 10.6000/1929-5030.2013.02.02.9.
Sharma A, Jain CP. Preparation and characterization of solid dispersions of carvedilol with PVP K30. Res Pharm Sci. 2010 Jan;5(1):49-56. PMID 21589768.
Sethia S, Squillante E. Physicochemical characterization of solid dispersions of carbamazepine formulated by supercritical carbon dioxide and conventional solvent evaporation method. J Pharm Sci. 2002 Sep 1;91(9):1948-57. doi: 10.1002/jps.10186, PMID 12210042.
Dinge A, Nagarsenker M. Formulation and evaluation of fast dissolving films for delivery of triclosan to the oral cavity. AAPS PharmSciTech. 2008 Jun;9(2):349-56. doi: 10.1208/s12249-008-9047-7, PMID 18431674.
Bharti K, Mittal P, Mishra B. Formulation and characterization of fast dissolving oral films containing buspirone hydrochloride nanoparticles using design of experiment. J Drug Deliv Sci Technol. 2019 Feb 1;49:420-32. doi: 10.1016/j.jddst.2018.12.013.
Chavan DU, Marques SM, Bhide PJ, Kumar L, Shirodkar RK. Rapidly dissolving Felodipine nanoparticle strips-formulation using design of experiment and characterisation. J Drug Deliv Sci Technol. 2020 Dec 1;60:102053. doi: 10.1016/j.jddst.2020.102053.
Al-Nemrawi NK, Dave RH. Formulation and characterization of acetaminophen nanoparticles in orally disintegrating films. Drug Deliv. 2016 Feb 12;23(2):540-9. doi: 10.3109/ 10717544.2014.936987, PMID 25013958.
Chonkar AD, Bhagawati ST, Udupa N. An overview on fast dissolving oral films. Asian Journal Pharm and Technol. 2015;5(3):129-37. doi: 10.5958/2231-5713.2015.00020.3.
Koland M, Sandeep VP, Charyulu NR. Fast dissolving sublingual films of ondansetron hydrochloride: effect of additives on in vitro drug release and mucosal permeation. J Young Pharm. 2010 Jul 1;2(3):216-22. doi: 10.4103/0975-1483.66790, PMID 21042474.
Takeuchi Y, Kawamoto M, Tahara K, Takeuchi H. Design of a new disintegration test system for the evaluation of orally disintegrating films. Int J Pharm. 2018 Dec 20;553(1-2):281-9. doi: 10.1016/j.ijpharm.2018.10.049, PMID 30366069.
Jassim ZE, Mohammed MF, Sadeq ZA. Formulation and evaluation of fast dissolving film of lornoxicam. Asian J Pharm Clin Res. 2018 Sep;11(9):217-3. doi: 10.22159/ ajpcr.2018.v11i9.27098.
Singhvi G, Singh M. In vitro drug release characterization models. Int J Pharm Stud Res. 2011;2(1):77-84.
Biyani S, Malgirwar S, Kshirsagar R, Kothawade S. Formulation and evaluation of chlorothalidone loaded mouth dissolving film-a bioavailability enhancement approach using multilevel categoric design. Int J Pharm Pharm Sci. 2020 Feb;12(3):34-41. doi: 10.22159/ijpps.2020v12i3.36067.
Qushawy M, Nasr A, Swidan S, Mortagi Y. Development and characterization of glimepiride novel solid nanodispersion for improving its oral bioavailability. Sci Pharm. 2020;88(4):52.
Sakure K, Kumari L, Badwaik H. Development and evaluation of solid dispersion based rapid disintegrating tablets of poorly water-soluble anti-diabetic drug. J Drug Deliv Sci Technol. 2020 Dec 1;60:101942. doi: 10.1016/j.jddst.2020.101942.
Akram MR, Ahmad M, Abrar A, Sarfraz RM, Mahmood A. Formulation design and development of matrix diffusion controlled transdermal drug delivery of glimepiride. Drug Des Devel Ther. 2018 Feb 21;12:349-64. doi: 10.2147/DDDT.S147082, PMID 29503528.