
Department of Pharmaceutical Chemistry, Amity Institute of Pharmacy, Amity University, Sector 125, Noida, Uttar Pradesh 201301, India
Email: madhurita35@gmail.com
Received: 05 Jun 2023, Revised and Accepted: 23 Jun 2023
ABSTRAC
Objective: This study focuses on designing potential antimicrobial agents, evaluating their binding affinity against target proteins, and assessing their Absorption, Distribution, Metabolism, Excretion, and Toxicity (ADMET) properties using computational methods.
Methods: This study employed six target proteins from the Research Collaboratory for Structural Bioinformatics Protein Data Bank (RCSB PDB) and utilized Biovia Discovery Studio 2021 for their preparation. Marvin Sketch is used to draw the ten potential candidates and subjected to molecular docking using Python Prescription (PyRx) software. The Biovia Discovery Studio 2021 was used to visualize the docking outcomes, and ADMET properties were determined using Swiss ADME software.
Results: Docking experiments conducted on ten derivatives against six protein targets, specifically Sortase-A, Clumping factor A, Undecaprenyl diphosphate synthase, Dehydrosqualene synthase, Tyrosyl tRNA synthetase, and Dihydrofolate reductase. Out of the ten derivatives, compounds 1, 2, 3, 5, and 7 demonstrated a significant binding affinity for one or two target proteins. Notably, compound 8 exhibited exceptional docking scores against five of the six protein targets, establishing itself as the most potent ligand among the compounds tested. These results highlight the paramount significance of compound 8 for subsequent investigation. Furthermore, comprehensive documentation of the physicochemical properties of the potent derivatives was carried out.
Conclusion: The findings indicate that the examined compounds have the potential to effectively inhibit various microbial protein targets. In silico ADMET studies suggest that these compounds possess desirable drug-like properties. Therefore, these compounds hold promise as lead molecules for further research, potentially leading to the development of novel antimicrobial drugs.
Keywords: Antimicrobial, Benzimidazole quinoline derivatives, Molecular docking, PyRx, Swiss-ADME, Discovery studio 2021, ADMET, Staphylococcus aureus, Drug discovery
© 2023 The Authors. Published by Innovare Academic Sciences Pvt Ltd. This is an open access article under the CC BY license (https://creativecommons.org/licenses/by/4.0/)
DOI: https://dx.doi.org/10.22159/ijpps.2023v15i8.48526. Journal homepage: https://innovareacademics.in/journals/index.php/ijpps.
The extensive use of antimicrobial drugs in various domains, such as human medicine, veterinary practises, and agriculture, has led to the emergence of microbial resistance as a significant issue. Microbes develop resistance through various mechanisms, including impeding drug access to their targets, genetic mutations affecting antibacterial targets, and direct modification of drugs [1]. The growing prevalence of microbial resistance to current antimicrobial treatments and its impact on global healthcare highlight the ongoing need for research and advancements in the field of anti-infective drugs [2, 3]. Consequently, there is a compelling need to continue exploring and developing novel antimicrobial medications [4]. The escalating global problem of antimicrobial resistance has necessitated the application of machine learning techniques and artificial intelligence in the field of computational chemistry. These advancements contribute to the design of new antimicrobial agents, aiding in the fight against antimicrobial resistance [5-7].
The field of computational chemistry has revolutionised the process of drug design by enabling the rapid screening of molecules based on their binding affinity and facilitating Absorption, Distribution, Metabolism, Excretion, and Toxicity (ADMET) studies. In silico methods have significantly expedited these tasks, contributing to a more efficient and streamlined drug discovery process [8].
Benzimidazole, a highly valuable and extensively studied chemical scaffold in medicinal chemistry, serves as a crucial pharmacophore due to its diverse range of activities across various therapeutic areas [9]. It has demonstrated efficacy as an antidiabetic, antiulcer, anti-inflammatory, anticancer, antiviral, and antimicrobial agent [10]. Numerous studies have underscored the antimicrobial potential of benzimidazole derivatives against various microorganisms [11-14]. The structural versatility of benzimidazole allows for modifications, leading to the creation of a wide array of derivatives with distinct properties. These modifications can exert a profound impact on the physicochemical properties, target specificity, and pharmacokinetic profiles of the compounds, ultimately enhancing their antimicrobial activity [15].
Similarly, the quinoline nucleus also serves as a crucial pharmacophore and is found in numerous antifungal agents. Quinoline derivatives exhibit a diverse range of pharmacological activities, including antimalarial, anticancer, antibacterial, and antifungal properties [16].
Hence, the current study highlights the importance of designing and conducting molecular docking investigations on newly developed compounds that incorporate both benzimidazole and quinoline rings, with the goal of assessing their antimicrobial potential. Furthermore, the study aims to evaluate the ADMET properties of these promising compounds using the SwissADME software. By combining the structural features of benzimidazole and quinoline, it is anticipated that the resulting compounds will exhibit enhanced therapeutic potential and versatility, making them potential candidates for further development as antimicrobial agents.
Selection of target proteins
For this investigation, six protein targets from Staphylococcus aureus were chosen, including Sortase-A (PDB ID: 1T2P), Clumping Factor A (PDB ID: 1N67), Undecaprenyl diphosphate synthase (PDB ID: 4H8E), Dehydrosqualene synthase (PDB ID: 2ZCO), Tyrosyl tRNA synthetase (PDB ID: 1JIJ), and Dihydrofolate reductase (PDB ID: 3FYV) [17]. The X-Ray Diffraction structures of these proteins were obtained from the Research Collaboratory for Structural Bioinformatics (RCSB) Protein Data Bank in PDB format [18].
Preparation of protein
The protein structures were prepared using the Biovia Discovery Studio 2021 Client. This involved removing water molecules, unwanted residues, and other inhibitors present in the proteins. Repeated chains were also eliminated. After preparation, the proteins were saved in PDB format [19].
Preparation of ligands
Ten derivatives were sketched using Marvin Sketch [20] and saved in SDF format. Furthermore, a standard drug, Penicillin G [21], was chosen for comparison. The structure of the standard drug was obtained from the PubChem Compound Database and saved in a three-dimensional (3D) conformer as an SDF file [22].
Assigning a grid box
In PyRx software, the protein structures were imported and assigned Kollmann and Gasteiger charges. Subsequently, the protein structures were converted to the PDBQT file format. The ligands were also loaded into the software, subjected to energy minimization, and converted to the PDBQT file format. To define the binding site, a grid box was positioned within the protein structure [23].
Molecular docking study and Visualization of docking poses
Molecular docking was performed using AutoDock Vina in the PyRx software. All ligands were subjected to docking, resulting in the generation of nine poses accompanied by their respective docking scores. Among the ligands docked, the one with the highest score for each of the six proteins, as compared to the standard drug, was selected. The docking interactions of these selected ligands were then visualized in a two-dimensional (2D) conformation using Biovia Discovery Studio 2021.
Pharmacokinetic studies using swiss ADME
To assess the ADMET parameters of the potent molecules, the Swiss ADME software was utilized. The smile notations of the molecules were provided, and the software generated the corresponding ADMET properties [24].

Fig. 1: Structure of benzimidazole derivative
Ligand design
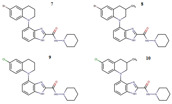
A series of benzimidazole-quinoline derivatives were designed, featuring a 1, 3-benzimidazole-2-carboxamide core with a 3, 6-disubstituted quinolin-1-yl group attached (fig. 1). The incorporation of the benzimidazole-2-carboxamide scaffold serves as a structural foundation with established antimicrobial activity. Additionally, the introduction of the 3, 6-disubstituted quinolin-1-yl group introduces further structural variations and the potential for antimicrobial activity. The specific characteristics of the substituents present on the quinoline ring greatly influence the antimicrobial properties of the compounds, including their potency and the range of microorganisms they can target [25]. The substitutions occurring at the nitrogen atom of the 1, 3-benzodiazole-2-carboxamide moiety, as well as the substitution at the carbon atoms of the quinoline ring, play crucial roles in modifying the physicochemical properties of the compounds [26]. These modifications encompass factors such as lipophilicity [27], hydrogen bonding capacity [28], and overall molecular interactions with microbial targets [29]. Consequently, these alterations can impact the compounds' ability to penetrate microbial cell membranes, interact with target enzymes or receptors, and disrupt vital microbial processes, ultimately resulting in antimicrobial activity [30, 31]. A total of ten derivatives based on the designed scaffold were sketched using Marvin Sketch, and their structures are depicted in fig. 2 and fig. 3.

Fig. 2: Structures of the newly designed ligands

Fig. 3: Structures of the newly designed ligands (Contd.)
A docking study was conducted to examine the molecular interactions and binding affinity of the test and standard compounds with microbial proteins. The study assessed parameters such as the binding energies of the molecules, the number of hydrogen bonds formed, and the root mean square deviation (RMSD) values. Notably, the RMSD values were determined to be zero, indicating a high degree of structural similarity and favourable binding conformation. All ten derivatives were subjected to docking against the selected target proteins. Sortase A showed the most favourable binding scores, with compounds 2, 3, and 5, all yielding a value of-9 kcal/mol. Clumping Factor A, on the other hand, exhibited the highest binding scores with compounds 5 and 8, both at-10.3 kcal/mol. Notably, Compound 8 displayed impressive binding scores against multiple targets, including Dehydrosqualene synthase (-9.7 kcal/mol), Tyrosyl tRNA synthetase (-10.4 kcal/mol), Dihydrofolate reductase (-10.8 kcal/mol), and Undecaprenyl diphosphate synthase (-8.6 kcal/mol). Compound 1 showed the best binding score against Tyrosyl tRNA synthetase (-10.4 kcal/mol), while Compound 7 exhibited the highest binding score against Dihydrofolate reductase (-10.8 kcal/mol). Comparing these findings to the standard drug Penicillin G, it is evident that the tested compounds yield superior results.
According to the findings, compound 8 exhibited the highest docking scores among the ten derivatives against five out of the six target proteins. Notably, it displayed the most favourable binding scores against Dehydrosqualene synthase, Tyrosyl tRNA synthetase, Dihydrofolate reductase, Undecaprenyl diphosphate synthase, and Clumping factor A. These results strongly suggest that compound 8 possesses significant potential as a potent inhibitor for these specific target proteins.
Table 1 provides the docking scores for all the ligands, indicating their binding affinity to the target protein. Additionally, in fig. 4 to fig. 14, the two-dimensional (2D) interactions of potent ligands with the corresponding protein are illustrated.
Table 1: Molecular docking scores of ligands with different target proteins of Staphylococcus aureus
| Ligands | Sortase a (1T2P) |
Clumping factor a (1N67) | Undecaprenyl diphosphate synthase (4H8E) | Dehydrosqualene synthase (2ZCO) | Tyrosyl tRNA synthetase (1JIJ) | Dihydrofolate reductase (3FYV) |
| 1 | -8.7 | -9.3 | -8.3 | -8.9 | -9.3 | -10.8 |
| 2 | -9 | -9.9 | -8 | -9.2 | -9 | -10.2 |
| 3 | -9 | -9.6 | -8.3 | -9 | -8.4 | -9.9 |
| 4 | -8.9 | -9.7 | -7.9 | -9.5 | -8.7 | -10.7 |
| 5 | -9 | -10.3 | -8.2 | -8.5 | -8.4 | -10.4 |
| 6 | -8.1 | -10 | -7.6 | -8.9 | -9.8 | -9.8 |
| 7 | -8.1 | -10.2 | -8.5 | -9.1 | -10.4 | -10 |
| 8 | -8.3 | -10.3 | -8.6 | -9.7 | -10.4 | -10.8 |
| 9 | -8.4 | -10.1 | -8.5 | -9 | -10.3 | -10 |
| 10 | -8.2 | -10.2 | -8.4 | -8.7 | -8.6 | -10.7 |
| Penicillin G | -6.8 | -6.8 | -6.9 | -7.5 | -7.4 | -9.3 |
2D representation of the interactions between ligands and target proteins

Fig. 4: Interactions of compound 2 with sortase-A

Fig. 5: Interactions of compound 3 with sortase-A

Fig. 6: Interactions of compound 5 with sortase-a

Fig. 7: Interactions of compound 5 with clumping factor-a (ClfA)

Fig. 8: Interactions of compound 8 with clumping factor-A (ClfA)

Fig. 9: Interactions of compound 8 with undecaprenyl diphosphate synthase (UPPS)

Fig. 10: Interactions of compound 8 with dehydrosqualene synthase (CrtM)

Fig. 11: Interactions of compound 7 with tyrosyl tRNA synthetase (TyrRS)

Fig. 12: Interactions of compound 8 with tyrosyl tRNA synthetase (TyrRS)

Fig. 13: Interactions of compound 1 with dihydrofolate reductase (DHFR)

Fig. 14: Interactions of compound 8 with dihydrofolate reductase (DHFR)
The physicochemical properties of the potent molecules were assessed using the SwissADME software, and the corresponding findings are displayed in table 2. The results reveal that the selected potent molecules conform to Lipinski’s Rule of Five without any violations, indicating their drug-like characteristics. Given these encouraging outcomes, it is highly recommended to proceed with additional investigations aimed at optimizing the lead compounds.
Table 2: Physicochemical properties of potent molecules
| Physicochemical properties | 1 | 2 | 3 | 5 | 7 | 8 |
| Molecular weight | 409.91 | 389.49 | 430.33 | 454.36 | 454.36 | 468.39 |
| No. of Rotatable Bonds | 4 | 4 | 4 | 4 | 4 | 4 |
| Hydrogen Bond Donor | 2 | 2 | 2 | 2 | 2 | 2 |
| Hydrogen Bond Acceptor | 3 | 3 | 3 | 3 | 3 | 3 |
| Log P | 3.75 | 3.48 | 3.75 | 3.86 | 3.59 | 4.06 |
| Molar Refractivity | 123.06 | 123.02 | 123.05 | 125.75 | 125.75 | 130.56 |
| Central Nervous System (CNS) Permeability | Yes | Yes | Yes | Yes | Yes | Yes |
| Blood Brain Barrier (BBB) Permeation | Yes | Yes | Yes | Yes | Yes | Yes |
The molecular docking study suggests that the benzimidazole-quinoline derivatives (Compounds 1, 2, 3, 5, 7, and 8) have the potential to act as effective inhibitors of the selected microbial target proteins. Compound 8, in particular, yielded high docking scores against five out of six target proteins. Moreover, in silico ADMET studies indicate that these compounds possess drug-like characteristics. Therefore, these compounds can be considered lead molecules for further research that may aid in developing novel drugs to combat microbial diseases.
The author expresses gratitude for the invaluable assistance received from the scholars whose articles are referenced and incorporated in this research article.
This study was conducted by the sole author, who contributed to all aspects of the research and manuscript preparation.
Nil
The author has no conflicts of interest to declare that are relevant to the content of this article.
Prestinaci F, Pezzotti P, Pantosti A. Antimicrobial resistance: a global multifaceted phenomenon. Pathog Glob Health. 2015 Sep 7;109(7):309-18. doi: 10.1179/2047773215Y.0000000030, PMID 26343252, PMCID PMC4768623.
Mann A, Nehra K, Rana JS, Dahiya T. Antibiotic resistance in agriculture: perspectives on upcoming strategies to overcome upsurge in resistance. Curr Res Microb Sci. 2021 Apr 2;2:100030. doi: 10.1016/j.crmicr.2021.100030. PMID 34841321, PMCID PMC8610298.
Ayukekbong JA, Ntemgwa M, Atabe AN. The threat of antimicrobial resistance in developing countries: causes and control strategies. Antimicrob Resist Infect Control. 2017 May 15;6:47. doi: 10.1186/s13756-017-0208-x, PMID 28515903, PMCID PMC5433038.
Tamhankar AJ, Stalsby Lundborg C. Antimicrobials and antimicrobial resistance in the environment and its remediation: a global one health perspective. Int J Environ Res Public Health. 2019 Nov 20;16(23):4614. doi: 10.3390/ijerph16234614, PMID 31757109, PMCID PMC6926838.
Goyal A, Gupta S, Bhumbla U, Kaur K. Trends in the microbiological spectrum and antimicrobial resistance among icu patients diagnosed with bacteremia–a retrospective study. Asian J Pharm Clin Res. 2023;16(5):80-3. doi: 10.22159/ajpcr.2023.v16i5.46560.
Ohri S, Singh K, Sidhu SK, Oberoi L. Prevalence and antimicrobial resistance in enterococcus species. Asian J Pharm Clin Res 2023;16(6):30-3. doi: 10.22159/ajpcr.2023.v16i6.47283.
KR, Kakkassery JT, Raphael VP, Johnson R, K VT. In vitro antibacterial and in silico docking studies of two schiff bases on staphylococcus aureus and its target proteins. Futur J Pharm Sci. 2021 Dec;7(1):78. doi: 10.1186/s43094-021-00225-3.
Wu F, Zhou Y, Li L, Shen X, Chen G, Wang X. Computational approaches in preclinical studies on drug discovery and development. Front Chem. 2020 Sep 11;8:726. doi: 10.3389/fchem.2020.00726, PMID 33062633, PMCID PMC7517894.
Morsy MA, Ali EM, Kandeel M, Venugopala KN, Nair AB, Greish K. Screening and molecular docking of novel benzothiazole derivatives as potential antimicrobial agents. Antibiotics (Basel). 2020 Apr 29;9(5):221. doi: 10.3390/antibiotics9050221, PMID 32365587, PMCID PMC7277330.
Pham EC, Thi Le TV, Truong TN. Design, synthesis, bio-evaluation, and in silico studies of some N-substituted 6-(chloro/nitro)-1H-benzimidazole derivatives as antimicrobial and anticancer agents. RSC Adv. 2022 Aug 3;12(33):21621-46. doi: 10.1039/d2ra03491c, PMID 35975065, PMCID PMC9347358.
Dokla EME, Abutaleb NS, Milik SN, Li D, El-Baz K, Shalaby MW. Development of benzimidazole-based derivatives as antimicrobial agents and their synergistic effect with colistin against gram-negative bacteria. Eur J Med Chem. 2020 Jan 15;186:111850. doi: 10.1016/j.ejmech.2019.111850. PMID 31735572.
Alasmary FA, Snelling AM, Zain ME, Alafeefy AM, Awaad AS, Karodia N. Synthesis and evaluation of selected benzimidazole derivatives as potential antimicrobial agents. Molecules. 2015 Aug 20;20(8):15206-23. doi: 10.3390/molecules200815206, PMID 26307956, PMCID PMC6332381.
Racane L, Zlatar I, Perin N, Cindric M, Radovanovic V, Banjanac M. Biological activity of newly synthesized benzimidazole and benzothizole 2,5-disubstituted furane derivatives. Molecules. 2021 Aug 14;26(16):4935. doi: 10.3390/molecules26164935, PMID 34443523, PMCID PMC8401404.
Morcoss MM, Abdelhafez ESMN, Ibrahem RA, Abdel-Rahman HM, Abdel-Aziz M, Abou El-Ella DA. Design, synthesis, mechanistic studies and in silico ADME predictions of benzimidazole derivatives as novel antifungal agents. Bioorg Chem. 2020 Aug;101:103956. doi: 10.1016/j.bioorg.2020.103956. PMID 32512267.
Abd El-Karim S, Zaghary W, Anwar M, Awad G, Mahfouz N, Hussein G. Design, synthesis and molecular docking of new benzimidazole derivatives of potential antimicrobial activity as DNA gyrase and topoisomerase IV inhibitors. Egypt J Chem. 2021 Jul;64(7):3817-39. doi: 10.21608/ejchem.2021.75953.3714.
El-Shershaby MH, El-Gamal KM, Bayoumi AH, El-Adl K, Alswah M, Ahmed HEA. The antimicrobial potential and pharmacokinetic profiles of novel quinoline-based scaffolds: synthesis and in silico mechanistic studies as dual DNA gyrase and DHFR inhibitors. New J Chem. 2021 Jul 20;45(31):13986-4004. doi: 10.1039/D1NJ02838C.
Rahman M, Browne JJ, Van Crugten J, Hasan MF, Liu L, Barkla BJ. In silico, molecular docking and in vitro antimicrobial activity of the major rapeseed seed storage proteins. Front Pharmacol. 2020 Sep 8;11:1340. doi: 10.3389/fphar.2020.01340, PMID 33013372, PMCID PMC7508056.
Bank R. RCSB PDB: homepage; 2023. Available from: https://www.rcsb.org. [Last accessed on 29 May 2023]
Biovia DS. Discovery Studio. San Diego: Dassault Systemes; 2021.
Marvin 23.7.0,2023. axon.com.
National Center for Biotechnology Information (US). PubChem. Bethesda: National Library of Medicine. National Center for Biotechnology Information. Available from: https://pubchem.ncbi.nlm.nih.gov. [Last accessed on 17 May 2023]
Hagstrand Aldman M, Kavyani R, Kahn F, Pahlman LI. Treatment outcome with penicillin G or cloxacillin in penicillin-susceptible staphylococcus aureus bacteraemia: a retrospective cohort study. Int J Antimicrob Agents. 2022 Apr;59(4):106567. doi: 10.1016/j.ijantimicag.2022.106567. PMID 35288257.
Dallakyan S, Olson AJ. Small-molecule library screening by docking with PyRx. Methods Mol Biol. 2015;1263:243-50. doi: 10.1007/978-1-4939-2269-7_19, PMID 25618350.
Daina A, Michielin O, Zoete V. SwissADME: a free web tool to evaluate pharmacokinetics, drug-likeness and medicinal chemistry friendliness of small molecules. Sci Rep. 2017 Mar 3;7:42717. doi: 10.1038/srep42717, PMID 28256516, PMCID PMC5335600.
Kumar N, Khanna A, Kaur K, Kaur H, Sharma A, Bedi PMS. Quinoline derivatives volunteering against antimicrobial resistance: rational approaches, design strategies, structure-activity relationship and mechanistic insights. Mol Divers. 2022 Oct 5:1-30. doi: 10.1007/s11030-022-10537-y, PMID 36197551, PMCID PMC9533295.
Dorababu A. Recent update on antibacterial and antifungal activity of quinoline scaffolds. Arch Pharm (Weinheim). 2021 Mar;354(3):e2000232. doi: 10.1002/ardp.202000232, PMID 33210348.
Podunavac Kuzmanovic SO, Cvetkovic DD, Barna DJ. The effect of lipophilicity on the antibacterial activity of some 1-benzylbenzimidazole derivatives. J Serb Chem Soc. 2008;73(10):967-78. doi: 10.2298/JSC0810967P.
Wang YN, Bheemanaboina RRY, Cai GX, Zhou CH. Novel purine benzimidazoles as antimicrobial agents by regulating ROS generation and targeting clinically resistant staphylococcus aureus DNA groove. Bioorg Med Chem Lett. 2018 May 15;28(9):1621-8. doi: 10.1016/j.bmcl.2018.03.046. PMID 29598912.
Moellering RC Jr. Discovering new antimicrobial agents. Int J Antimicrob Agents. 2011 Jan;37(1):2-9. doi: 10.1016/j.ijantimicag.2010.08.018. PMID 21075608.
Zhang QY, Yan ZB, Meng YM, Hong XY, Shao G, Ma JJ. Antimicrobial peptides: mechanism of action, activity and clinical potential. Mil Med Res. 2021 Sep 09;8(1):48. doi: 10.1186/s40779-021-00343-2, PMID 34496967.
Wang J, Dou X, Song J, Lyu Y, Zhu X, Xu L. Antimicrobial peptides: promising alternatives in the post-feeding antibiotic era. Med Res Rev. 2019 May;39(3):831-59. doi: 10.1002/med.21542, PMID 30353555.