
AISSMS College of Pharmacy, Savitribai Phule Pune University, Pune-411001, Maharashtra, India
Email: damle_mc@aissmscop.com
Received: 18 Jun 2023, Revised and Accepted: 20 Jul 2023
ABSTRAC
Objective: The objective of this study was to develop and validate an HPTLC method for the simultaneous estimation of Lamivudine, Tenofovir disoproxil fumarate, and doravirine. The method is aimed to provide reliable and efficient quantification of these drugs.
Methods: The chromatographic separation of drugs was performed on aluminum plates coated with silica gel 60 F254. Samples were spotted on the plate as a 6 mm wide band using a linomat applicator and a 100 µl syringe. The mobile phase used was a mixture of ethyl acetate, methanol, and chloroform (07:02:01 % v/v/v). Densitometric scanning at 226 nm was conducted using a Deuterium lamp as the radiation source, and the data were analyzed using win CATS software. The method was validated following the ICH Guideline ICH Q2 (R1).
Results: The optimized method lead to the resolution of drugs with the Rf values of doravirine (0.75±0.02), Tenofovir disoproxil fumarate (0.57±0.02), and lamivudine (0.37±0.02). Doravirine exhibited a linear range of 500-1500 ng/band with a favorable linear equation and regression coefficient of 0.999. Tenofovir disoproxil fumarate and lamivudine showed a linear range of 1500-4500 ng/band, and both compounds displayed a linear relationship with a regression coefficient of 0.997. The method's accuracy was assessed through recovery studies, and the LOD and LOQ were determined for each drug.
Conclusion: The optimized HPTLC method was validated in this study, following the ICH Q2 (R1) guidelines, it demonstrates its efficacy for the quantitative analysis of Doravirine, Tenofovir disoproxil fumarate, and lamivudine. The method offers reliable quantification of these compounds in a combined dosage form and can be used for routine analysis in pharmaceuticals.
Keywords: Doravirine, Tenofovir disoproxil fumarate, Lamivudine, ICH, HPTLC
© 2023 The Authors. Published by Innovare Academic Sciences Pvt Ltd. This is an open access article under the CC BY license (https://creativecommons.org/licenses/by/4.0/)
DOI: https://dx.doi.org/10.22159/ijpps.2023v15i9.48681. Journal homepage: https://innovareacademics.in/journals/index.php/ijpps.
Doravirine (DOR), Tenofovir Disoproxil Fumarate (TDF), and Lamivudine (LMV) are potent antiretroviral drugs commonly used in the treatment of human immunodeficiency virus (HIV) infections. DOR, also known by its IUPAC name (4-chloro-6-methoxy-2-[[2-(4-methylpiperazin-1-yl)ethyl]amino]pyrimidin-5-yl)methanol. Its molecular formula is C17H21ClN6O2. TDF has the IUPAC name [(2R)-1-(6-aminopurin-9-yl)propan-2-yl]oxymethyl-(phosphonooxy) phosphinic acid 1-methyl ethyl ester (2E)-2-butenedioate (2:1), is an oral prodrug of tenofovir, a nucleotide reverse transcriptase inhibitor used in the management of HIV-1 infection and chronic hepatitis B virus (HBV) infection. Its molecular formula is C19H30N5O10P•C4H4O4. LMV, known by its IUPAC name (2R, cis)-4-amino-1-(2-hydroxymethyl-1,3-oxathiolan-5-yl)-(1H) pyrimidine-2-one, is an antiretroviral medication primarily used for the treatment of HIV-1 infection and chronic hepatitis B virus infection. Its molecular formula is C8H11N3O3S [1]. The chemical structure of DOR, TDF, and LMV was depicted in fig. 1.
Accurate and reliable estimation of these drugs is crucial for ensuring their quality, efficacy, and safety. High-performance thin-layer chromatography (HPTLC) is a widely used analytical technique for drug analysis due to its simplicity, cost-effectiveness, and rapid analysis capabilities.
In this study, we aimed to develop a simultaneous estimation method for DOR, TDF, and LMV using HPTLC. Despite the widespread use of HPTLC in pharmaceutical analysis, to the best of our knowledge, no HPTLC method has been reported for the simultaneous estimation of these drugs.
Previous literature searches revealed that various other analytical techniques, such as high-performance liquid chromatography (HPLC) [2–13], ultra-performance liquid chromatography (UPLC) [14–16], have been employed for the quantification of DOR, TDF, and LMV in combination and alone. High-pressure thin layer chromatography (HPTLC) [17–26] method has been reported for quantification alone and in combination with LMV and TDF. Additionally, stability-indicating methods using HPLC have also been reported. However, there is a need for simple, cost-effective, and efficient HPTLC method for simultaneous estimation, which could be used for routine analysis of these three drugs in combination.
The present study aims to bridge this gap by developing an HPTLC method that enables simultaneous estimation of DOR, TDF, and LMV. The proposed method would offer several advantages, including reduced analysis time, minimal solvent consumption, and cost-effectiveness, making it suitable for routine quality control analysis in pharmaceutical industries.
Chemical and reagents
DOR was received as a gift sample from Emcure Pharmaceuticals Ltd., TDF was received as a gift sample from Mylan Laboratories India Private Ltd, and LMV was received as a gift sample from Aurobindo Pharma Ltd. Other chemicals and reagents like Chloroform (AR grade), Methanol (AR grade), and Ethyl Acetate (AR grade), were procured from LOBA CHEMIE PVT. LTD., Mumbai.
Instrumentation
The method utilizes several instruments, including an HPTLC system manufactured by CAMAG. The components of the HPTLC system include the TLC Scanner III, Linomat 5 applicator, and the software, win CATS (version 1.4.3). Other instruments involved are the Microliter syringes, specifically Hamilton brand with a capacity of 100 μl, and TLC plates, which are Merck's aluminium TLC plates precoated with silica gel 60 F254. Additionally, a twin trough glass chamber is used in the process. The other instruments, including a UV-Visible spectrophotometer (JASCO, Model V730), an electronic balance (Shimadzu, Model ATX224R), a sonicator (PRAMA, Model SM15 US), and a hot air oven [BIOMEDICA (24*24*24*)], were used.

Fig. 1: Chemical structure of (A) DOR (B) TDF (C) LMV
Preparation of stock solution
A precisely measured quantity of 10 mg of DOR, TDF, and LMV was carefully transferred into separate 10 ml volumetric flasks. Approximately 1 ml of Acetonitrile: water (1: 1 %v/v) was added to the flask and swirled until complete dissolution occurred. The volume was adjusted to the mark with Acetonitrile: water (1: 1 %v/v), resulting in a stock solution with a concentration of 1000 µg/ml each.
Preparation of a working solution
In order to prepare the working solution, a total of 1.5 ml of TDF was pipetted from a stock solution with a concentration of 1000 µg/ml. Additionally, 1.5 ml of LMV was taken from a standard solution with the same concentration. Furthermore, 0.5 ml of DOR was taken from a DOR standard solution. These three components were combined in a 10 ml volumetric flask. The resulting mixture was then diluted with Acetonitrile to achieve the final volume, resulting in the prepared working solution.
Detection wavelength
The solution of DOR (10 µg/ml), TDF (10 µg/ml), and LMV (10 µg/ml) was prepared using Acetonitrile and the UV spectrum was scanned over 200 to 400 nm wavelength.
Selection of mobile phase
Various mobile phases were evaluated based on the polarity and miscibility of solvent characteristics. Initially, a semi-polar mobile phase consisting of chloroform and methanol in a ratio of 9:1 was employed. However, this mobile phase did not yield a satisfactory resolution of peaks. A trial with toluene and ethyl acetate as the mobile phase did not improve the resolution either.
Following these unsuccessful attempts, a polar mobile phase composed of ethyl acetate and methanol in a ratio of 8:2 was tested. It was observed that increasing the polarity of the mobile phase enhanced peak resolution. However, the shape of the peaks was compromised and appeared distorted. To address this issue, a semi-polar solvent, chloroform, was introduced into the mobile phase, resulting in a composition of ethyl acetate: methanol: chloroform in a ratio of 7:2:1.
This modified mobile phase exhibited the highest resolution and peak shape for the targeted drugs. Consequently, it was chosen for further validation of the analytical method.
Chromatographic conditions
The chromatographic separation of the drug DOR, TDF, and LMV was conducted using Aluminum plates that were pre-coated with silica gel 60 F254. The dimensions of the plates were 10 cm × 10 cm, with a layer thickness of 250 μm. To apply the samples, a band of 6 mm width was spotted on the plate using a 100 μl syringe with a Linomat applicator. The mobile phase used for the separation consisted of a mixture of Ethyl Acetate: Methanol: and Chloroform in the ratio of 07: 02: 01 v/v/v, respectively. A twin trough glass chamber with dimensions of 10 cm × 10 cm was employed for the linear ascending development of the TLC plate. The chamber was allowed to saturate for 15 min, and the migration distance was set to 70 mm. Densitometric scanning of the separated compounds was performed at a wavelength of 226 nm using win CATS software-controlled instruments. The slit dimensions for the scanning were 4 x 0.45 mm, and a Deuterium lamp served as the radiation source.
Method validation
Validation of optimized HPTLC method for DOR, TDF, and LMV followed the ICH guidelines, ICH Q2 (R1), with comprehensive assessments of specificity, linearity, range, assay accuracy, precision, the limit of detection, the limit of quantitation, and robustness [27].
Linearity
A working solution containing DOR (50 µg/ml), TDF (150 µg/ml), and LMV (150 µg/ml) was applied in volumes of 10, 15, 20, 25, and 30 µl, resulting in spotted quantities ranging from 500 to 1500 ng/band for DOR, 1500 to 4500 ng/band for TDF as well as LMV. Subsequently, the plate was subjected to development in the optimized mobile phase. This process was repeated five times. The residual testing was employed as a straightforward method to assess linearity in the HPTLC technique.
Assay
DOR, TDF, and LMV Tablets are available as Dilstrigo in 100 mg, 300 mg, and 300 mg strength, respectively. But the brand Dilstrigo was not available in the local market. Hence, we prepared an excipient blend to which API was spiked. For the preparation spiked blend, 150 mg starch and 150 mg lactose were mixed in the mortar pestle. Then 300 mg of TDF, 300 mg of LMV, and 100 mg of DOR were mixed with the above excipients by geometric mixing method. From the spiked blend, precisely 500 mg of this blend (equivalent to 50 mg of DOR, 150 mg of TDF, and 150 mg of LMV) was weighed and diluted with acetonitrile: water (1:1 v/v) to achieve a 50 ml solution with a concentration of 10000 µg/ml. The solution underwent sonication for 5 min and was subsequently filtered using Whatman filter paper. A working solution with a concentration of 100 µg/ml was obtained by further dilution. Then 10 μl of the working solution was spotted onto a TLC plate in duplicate, and the resulting densitogram was recorded. To assess the assay, two replicates of the same concentration were applied on the plate, and the peak area was recorded.
Accuracy
A recovery study was conducted utilizing the standard addition method at three distinct levels, namely 80%, 100%, and 120%. The pre-analyzed sample solution was enriched with DOR, TDF, and LMV a standard drug, at these specified levels. The peak areas obtained after the development of the plate were extrapolated from standard linearity to calculate the recovered amount.
Precision
The precision of the method was assessed through repeatability and intermediate precision investigations. Six replicates of the standard solution containing DOR (500 ng/band), TDF (1500 ng/band), and LMV (1500 ng/band) were applied to the TLC plate on the same day at various time intervals to evaluate repeatability. Intermediate precision was determined by spotting six replicates of the standard solution containing DOR (500 ng/band), TDF (1500 ng/band), and LMV (1500 ng/band) on the TLC plate on three consecutive days and calculating the relative standard deviation (% RSD).
Limit of detection (LOD) and limit of quantitation (LOQ)
In the present study, the limit of detection (LOD) and limit of quantification (LOQ) were determined utilizing the following equations:
LOD = 
and
LOQ = 
Here, σ represents the standard deviation of the peak area obtained from the lowest concentration sample, while S denotes the slope of the calibration curve.
Robustness
In order to assess the robustness of the developed HPTLC method, deliberate yet slight modifications were made in “time from application to development”, saturation time, mobile phase ratio, detection wavelength, and “time from development to scanning” parameters. The impact of these factors on the peak area of the drug was investigated.
Detection wavelength
UV spectrum showed maximum absorbance at 226 nm and was used for analytical work. The fig 2. Shows the spectral overlay of DOR, TDF, and LMV (10 µg/ml).

Fig. 2: UV spectral overlay of DOR, TDF, and LMV (10 µg/ml)
Representative densitogram
A representative densitogram illustrating the separation of DOR, TDF, and LMV is depicted in fig. 3.
Method validation
Specificity
The peak purity of the drug peak was found to be within limits as evaluated by win CATS software. This observation affirms the absence of any interferences originating from additional peaks associated with degradation products, impurities, or matrix components.

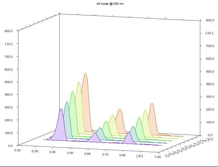
Fig. 3: Representative densitogram of DOR (1500 ng/band, Rf =0.75±0.02), TDF (4500 ng/band, Rf =0.57±0.02), LMV (4500 ng/band, Rf =0.37±0.02)
Linearity and range
Linearity was assessed through the construction of a plot depicting the relationship between the amount spotted and the peak area. The data exhibited linearity within the quantification range of 500-1500 ng/band for DOR, and 1500-4500 ng/band for TDF and LMV. The regression analysis yielded a high regression coefficient of 0.999, for DOR and 0.997 for TDF and LMV. The equation derived from the linear regression model for DOR was y = 4.6567x-92.232, y = 1.3159x+101.6 for TDF, and y = 2.684x+3078.9 for LMV. The Calibration curve for DOR, TDF, and LMV linearity is shown in fig. 4, fig. 6, and fig. 8, respectively. The residual plot in fig. 5, fig. 7, and fig. 9 for DOR, TDF, and LMV, respectively, shows no tendency behavior and thus linearity of a calibration curve is confirmed. The fig. 10 shows the densitogram of DOR, TDF, and LMV linearity [28].

Fig. 4: Calibration curve for DOR linearity (500-1500 ng/band)

Fig. 5: Residual plot for DOR linearity (500-1500 ng/band)

Fig. 6: Calibration curve for TDF linearity (1500-4500 ng/band)

Fig. 7: Residual plot for TDF linearity (1500-4500 ng/band)

Fig. 8: Calibration curve for LMV linearity (1500-4500 ng/band)

Fig. 9: Residual plot for LMV linearity (1500-4500 ng/band)

Fig. 10: 3D densitogram for LMV linearity (1500-4500 ng/band), TDF linearity (1500-4500 ng/band), and DOR linearity (500-1500 ng/band) respectively
Assay
The spiked blend containing DOR, TDF, and LMV was assayed. The assay was found to be 99.2±1.45 (RSD%), 100.57±1.20(RSD%), and 102.61±1.16 (RSD%) respectively.
Accuracy
The result of accuracy studies for DOR, TDF, and LMV are shown in table 1. and fig. 11 shows the results of accuracy studies and assay.
Table 1: Accuracy for DOR, TDF, and LMV
| DOR | |||||
| S. No. | Amount of drug from spiked blend (ng/band) | Amount of API added (ng/band) | The total amount of the drug (ng/band) | Mean % recovery | %RSD |
| 1 | 500 | 400 | 900 | 99.12 | 0.15 |
| 2 | 500 | 500 | 1000 | 102.19 | 0.29 |
| 3 | 500 | 600 | 1100 | 101.51 | 0.39 |
| TDF | |||||
| S. No. | Amount of drug from spiked blend (ng/band) | Amount of API added (ng/band) | The total amount of the drug (ng/band) | Mean % recovery | % RSD |
| 1 | 1500 | 1200 | 2700 | 102.065 | 0.11 |
| 2 | 1500 | 1500 | 3000 | 102.25 | 0.13 |
| 3 | 1500 | 1800 | 3300 | 100.08 | 0.14 |
| LMV | |||||
| S. No. | Amount of drug from spiked blend (ng/band) | Amount of API added (ng/band) | The total amount of the drug (ng/band) | Mean % recovery | %RSD |
| 1 | 1500 | 1200 | 2700 | 100.33 | 0.28 |
| 2 | 1500 | 1500 | 3000 | 100.20 | 0.07 |
| 3 | 1500 | 1800 | 3300 | 100.77 | 0.27 |

Fig. 11: 3D densitogram of assay and accuracy study [Track 2, 3, 4, 5, 6-standardLMV (1500-4500 ng/band), TDF (1500-4500 ng/band) and DOR (500-1500 ng/band), Track 7, 8-Assay @ LMV (2250 ng/band), TDF (2250 ng/band) and DOR(750 ng/band), Track 9, 10-80% level (2700, 2700 and 900 ng/band), Track 11, 12-100% level (3000, 3000 and 1000 ng/band), Track 13,14-120% level (3300, 3300 and 1100 ng/band)]
Table 2: Precision studies
| S. No. | Precision | % RSD | ||
| DOR | TDF | LMV | ||
| 1 | Intermediate | 1.44 | 1.23 | 0.54 |
| 2 | Repeatability | 1.37 | 1.40 | 0.51 |
Table 3: LOD and LOQ
| S. No. | LOD and LOQ | Value in ng/band | ||
| DOR | TDF | LMV | ||
| 1 | LOD | 10.38 | 36.18 | 41.38 |
| 2 | LOQ | 31.46 | 109.65 | 126.61 |
Table 4: HPTLC method robustness
| Parameters | Conditions | % RSD | ||
| DOR | TDF | LMV | ||
Mobile phase composition (Ethyl Acetate: Methanol: Chloroform 7: 2: 1 v/v/v) (±0.2 ml) |
6.8: 2.2: 1 v/v/v | 1.4545 | 1.1016 | 0.4371 |
| 7.2: 1.8: 1 v/v/v | 1.2193 | 0.9377 | 0.6206 | |
Saturation time (15 min) (±1 min) |
16 min | 1.5530 | 1.6411 | 0.3181 |
| 14 min | 1.2193 | 0.5636 | 0.6206 | |
Wavelength (226 nm) (±2 nm) |
224 nm | 1.6353 | 0.9377 | 0.3654 |
| 228 nm | 1.4545 | 0.7417 | 1.7563 | |
| Time from application to development | Instant | 0.8506 | 1.1016 | 0.4899 |
| After 2 h. | 1.5539 | 1.7611 | 1.0285 | |
| Time from development to scanning | Instant | 0.8506 | 1.1016 | 0.4899 |
| After 2 h. | 1.2193 | 1.4129 | 0.6206 | |
Precision
For the precision study, evaluations were conducted to assess repeatability and intermediate precision. The results indicated that the RSD for intermediate and repeatability precision studies were determined. The table 2 shows the RSD for intermediate and repeatability precision study.
LOD and LOQ
The limit of detection (LOD) and limit of quantification (LOQ) were determined using the formula approach. The table 3 shows the LOD and LOQ.
Robustness
During the investigation of method robustness, modifications were made to a single factor at a time. Notably, the observed %RSD (Relative Standard Deviation) for peak area remained below 2%, providing conclusive evidence that the developed method is robust. Detailed results of the robustness study can be found in table 4.
The literature search reveals that various analytical techniques have been employed for the quantification of DOR (Doravirine), TDF (Tenofovir disoproxil fumarate), and LMV (Lamivudine), both in combination and individually. Some of the widely used methods include high-performance liquid chromatography (HPLC) and ultra-performance liquid chromatography (UPLC), which have been referenced in several studies [2–16]. Additionally, a high-pressure thin-layer chromatography (HPTLC) method has been reported for the quantification of LMV and TDF alone and in combination [17–26].
However, despite the existence of stability-indicating methods using HPLC, no research work had been reported on these three drugs (LMV, TDF, and DOR) using HPTLC. We have successfully developed and validated an HPTLC method for the estimation of LMV, TDF, and DOR. In this newly developed HPTLC method, LMV, TDF, and DOR were successfully well resolved.
The study achieved a simultaneous estimation method for DOR, TDF, and LMV using high-performance thin-layer chromatography (HPTLC). The proposed method offers several advantages, including reduced analysis time, minimal solvent consumption, and cost-effectiveness, making it suitable for routine quality control analysis in pharmaceutical industries.
The developed HPTLC method demonstrated satisfactory validation results based on the ICH guidelines, including specificity, linearity, range, assay accuracy, precision, the limit of detection (LOD), the limit of quantitation (LOQ), and robustness. The peak purity analysis confirmed the absence of any interferences from degradation products, impurities, or matrix components.
In conclusion, the validated HPTLC method provides the rapid simultaneous estimation of DOR, TDF, and LMV, addressing the research gap in the field. The method's simplicity, cost-effectiveness, and rapid analysis capabilities make it a valuable tool for routine analysis and quality control of these drugs in pharmaceutical formulation.
MCD designed the work. RPK contributed to the analysis and data collection parts of the work. MCD and RPK contributed to the interpretation of the results.
The authors are thankful to Emcure Pharmaceuticals Ltd, Mylan Laboratories India Private Ltd, and Aurobindo Pharma Ltd for providing API and to the principal and the management of the AISSMS College of Pharmacy, Pune, Maharashtra, India, for providing the required facilities for research work.
Nil
Declared none
Merck index online. Doravirine/lamivudine/tenofovir disoproxil fumarate. Available from: https://merckindex.rsc.org/monographs/m12165. [Last accessed on 03 Jul 2023]
Vasantha K, Devala RG. Stability indicating RP-HPLC method for estimation of doravirine, lamivudine, and tenofovir disoproxil fumarate in the pharmaceutical dosage form. Int J Pharm Sci Res. 2022 Sep;13(9):3737-48. doi: 10.13040/IJPSR.0975-8232.13.
D Patel B, Bhavya M, B Chaudhary A. Method development and validation for simultaneous estimation of lamivudine and zidovudine in tablet by reverse-phase high-performance liquid chromatography. Asian J Pharm Clin Res 2020;13(6):73-7. doi: 10.22159/ajpcr.2020.v13i6.37288.
Tiruveedhi VL, Battula VR, Bonige KB. RP-HPLC (stability-indicating) based assay method for the simultaneous estimation of doravirine, tenofovir disoproxil fumarate and lamivudine. Int J App Pharm. 2021 Jan 1;13(1):153-9. doi: 10.22159/ijap.2021v13i1.39608.
Godela R, Gummadi S. A simple stability indicating RP-HPLC-DAD method for concurrent analysis of tenofovir disoproxil fumarate, Doravirine and lamivudine in pure blend and their combined film-coated tablets. Ann Pharm Fr. 2021 Nov 1;79(6):640-51. doi: 10.1016/j.pharma.2021.04.006. PMID 34019910.
Mishra RK, Chaubey N, Patel JR, Mishra S, Singh R. A review of analytical techniques for determination of anti-HIV drugs. Int J App Pharm. 2020;12(6):41-50. doi: 10.22159/ijap.2020v12i6.39040.
Desai R, Roadcap B, Goykhman D, Woolf E. Determination of doravirine in human plasma using liquid-liquid extraction and HPLC-MS/MS. Bioanalysis. 2019;11(16):1495-508. doi: 10.4155/bio-2019-0116, PMID 31502859.
Gollu G, Gummadi S. Simultaneous quantification of lamivudine, tenofovir disoproxil fumarate and doravirine in pharmaceutical dosage form by liquid chromatography with diode array detection. Pharm Chem J. 2020 Aug 1;54(5):526-35. doi: 10.1007/s11094-020-02232-9.
Pandya Y, Patel S. Novel rapid combined RP-HPLC stability method development and validation for antiviral HIV combinations lamivudine, tenofovir, doravirine in dosage form and its application to in vitro dissolution. Int J Health Sci. 2022 May 6;6Suppl 3:4931-49. doi: 10.53730/ijhs.v6nS3.6993.
Abdul Gouse Basheer Ahamad M, Sundararajan R. Analytical method development and validation for determination of doravirine by RP-HPLC. Ymer. 2022 Jun 6;21(6):520-37. doi: 10.37896/YMER21.06/51.
Suneetha A, Priyadarshini GI, Mounika V, Aparna G. Development and validation of RP-HPLC method for the estimation of doravirine in bulk and pharmaceutical dosage form. AJRIMPS. 2021 Dec 18;10(4):26-31. doi: 10.9734/ajrimps/2021/v10i430174.
Kokkirala TK, Kancherla P, Alegete P, Suryakala D. A simple alternative and improved HPLC method for the estimation of doravirine, lamivudine, and tenofovir disoproxil fumarate in solid oral dosage form. Biomed Chromatogr. 2021 Aug;35(8):e5121. doi: 10.1002/bmc.5121, PMID 33760252.
YH, KN, VKS, MBA. Review on analytical methods for determination of lamivudine, dolutegravir and tenofovir disoproxil fumarate in fixed-dose combination. Int J Pharm Sci Rev Res. 2021 Nov 15;71(1):21-35. doi: 10.47583/ijpsrr.2021.v71i01.003.
Thakare BN, Mittal A, Charde MS. Validated stability-indicating assay UHPLC method for simultaneous estimation of doravirine, lamivudine and tenofovir disoproxil fumarate in pure material and pharmaceutical matrix. Biointerface Res Appl Chem. 2023 Feb 15;13(1). doi: 10.33263/BRIAC131.020.
Pavani C, Jayashree V. Development of a novel stability quoting RP-ultraperformance liquid chromatography approach for synchronous assessment of doravirine, lamivudine, and tenofovir disproxil fumarate in pure API form and tablet dosage based on ICH guidelines. J Drug Alcohol Res. 2022;11(7). doi: 10.4303/jdar/236188.
Addanki S, Kuber BR. A new stability indicating RP-UPLC method for simultaneous estimation of doravirine, lamivudine and tenofovir disoproxil fumarate in bulk and their combined pharmaceutical formulation. Futur J Pharm Sci. 2021 Dec;7(1):221. doi: 10.1186/s43094-021-00349-6.
Blessy M, Patel RD, Prajapati PN, Agrawal YK. Development of forced degradation and stability indicating studies of drugs-a review. J Pharm Anal. 2014 Jun;4(3):159-65. doi: 10.1016/j.jpha.2013.09.003. PMID 29403878, PMCID PMC6288762.
Nyamweru B, Kaale E, Mugoyela V, Chambuso M. Development and validation of an HPTLC-densitometric method for simultaneous analysis of lamivudine, tenofovir disoproxil fumarate, and efavirenz (LTE) in tablets. J Planar Chromatogr Mod TLC. 2013;26(3):226-31. doi: 10.1556/JPC.26.2013.3.4.
Chandra P, Rathore AS, Sathiyanarayanan L, Mahadik KR. Application of high-performance thin-layer chromatographic method for the simultaneous determination of lamivudine and tenofovir disoproxil fumarate in pharmaceutical dosage form. J Chil Chem Soc. 2011;56(2):702-5. doi: 10.4067/S0717-97072011000200017.
Havele S, Dhaneshwar SR. Stress studies of tenofovir disoproxil fumarate by HPTLC in bulk drug and pharmaceutical formulation. Scientific World Journal. 2012;2012:894136. doi: 10.1100/2012/894136, PMID 22606065, PMCID PMC3345998.
Vinod AC, Saurabh BG, Ganesh UC, Sanjay JS, Atul AS. A precise review on tenofovir disoproxil fumarate: an analytical profile. J Pharm Technol Res Manag. 2018 Nov;6(2):153-67. doi: 10.15415/jptrm.2018.62012.
More SJ, Tandulwadkar SS, Nikam AR, Rathore AS, Sathiyanarayanan L, Mahadik KR. Separation and determination of lamivudine, tenofovir disoproxil fumarate and efavirenz in tablet dosage form by thin-layer chromatographic-densitometric method. J Planar Chromatogr Mod TLC. 2013 Feb;26(1):78-85. doi: 10.1556/JPC.26.2013.1.12.
Dhanve A, Rao JR, Dhale C. Development and validation of stability indicating HPTLC method for simultaneous estimation of lamivudine and dolutegravir sodium in bulk and pharmaceutical dosage formulation. Int J Pharm Sci Res. 2018 Jan;9(11):4701-8. doi: 10.13040/IJPSR.0975-8232.9(11).4701-4708.
Gu Y, Zeng B, Sherma J. Development of quantitative HPTLC methods for dolutegravir, lamivudine, and tenofovir disproxil fumarate in a combination pharmaceutical product using a model process published earlier for transfer of Minilab TLC screening methods to HPTLC-densitometry. Acta Chromatogr. 2020 Sep;32(3):199-202. doi: 10.1556/1326.2019.00689.
Bizimana T, Kayumba PC, Vedaste K, Egide K, Kaale E. Development of high performance thin layer chromatography for simultaneous analysis of lamivudine and tenofovir disoproxil fumarate. RW Jour. 2016 Nov;3(1):6. doi: 10.4314/rj.v3i1.1F.
Bhirud CH, Hiremath SN. Development of validated stability-indicating simultaneous estimation of tenofovir disoproxil fumarate and emtricitabine in tablets by HPTLC. J Pharm Res. 2013 Feb;7(2):157-61. doi: 10.1016/j.jopr.2013.02.019.
ICH guidelines for validation of analytical procedures: text and methodology. Vol. Q2(R1). Switzerland: Geneva; 2005. p. 1-17.
Ferenczi Fodor K, Renger B, Vegh Z. The frustrated reviewer-recurrent failures in manuscripts describing validation of quantitative TLC/HPTLC procedures for analysis of pharmaceuticals. Journal of Planar Chromatography–Modern TLC. 2010;23(3):173-9. doi: 10.1556/JPC.23.2010.3.1.