Department of Pharmaceutics, JSS College of Pharmacy, JSS University, Mysore 570015, Karnataka, India.
Email: afrasimmoin@jssuni.edu.in
Received: 16 Jan 2015 Revised and Accepted: 08 Feb 2015
ABSTRACT
Objective: The objective of this study was to formulate and evaluate sustained release tablets using cashew gum and cross-linked cashew gum as controlled release polymer.
Methods: Full factorial design of 23 was employed to optimize the formulation. Cashew gum (CG), cross-linked cashew gum (CCG) and microcrystalline cellulose (MCC) were selected as independent variables. The dependent variables selected were % of drug released in 1st h (Y1), % of drug released at 12th h (Y2), and diffusion exponent n (Y3). Tablets were prepared by direct compression and powder properties were evaluated indicating fairly good flow properties. Prepared tablets were evaluated for weight variation, hardness, friability, drug content and for dissolution profile. The optimized formulation obtained from the factorial design was subjected to in vivo studies.
Results: In vitro dissolution, swelling and erosion studies were carried out for 12 h in the specified buffer solution. Kinetic analysis of dissolution data showed a good fit in Peppas equation confirming both diffusion and erosion had controlled the drug release. In vivo studies for the marketed and optimized formulation showed that there was no significant difference between the two, confirming the sustained release profile. The stability study for optimized formulation showed better results.
Conclusion: The research findings obtained from the studies were found to be satisfactory. It can be concluded that natural gums and their derivatives can be effectively used for preparation of sustained release tablets. The results have shown an indication of the usage of natural gums as an effective alternative to synthetic polymers.
Keywords: Cashew gum, Cross-linked cashew gum, Drug delivery, Application.
INTRODUCTION
Oral drug delivery system is the most accepted route for drug delivery, its benefits being easy administration and flexibility in dosage form design. Drug products designed to reduce the frequency of dosing by modifying the rate of drug absorption have been available from many years [1]. There is regular and ongoing research into the use of naturally occurring biocompatible polymeric materials in the design of dosage forms for oral controlled release administration. The search for alternative products from renewable sources has been increased significantly over the years [2]. Introduction of matrix tablet as sustained release has given a new breakthrough for novel drug delivery system in the field of Pharmaceutical Technology. It excludes complex production procedures such as coating and pelletization during manufacturing, and drug release rate from the dosage form is controlled mainly by the type and proportion of the polymer used in the preparations. Because of increased complications and expenses involved in marketing of new drug entities, scientists have focused greater attention on development of sustained release or controlled release drug delivery systems. Matrix system prolongs and controls the release of drug that is dissolved or dispersed [3]. A matrix is defined as a well-mixed composite of one or more drugs with a gelling agent i.e. hydrophilic polymer [4]. By the sustained release method, therapeutically effective concentration can be achieved in the systemic circulation over an extended period of time, thus achieving better compliance of patients. Numerous sustained release oral dosage forms such as membrane controlled systems, matrices with water soluble/insoluble polymers or waxes, and osmotic systems have been developed. Intense research has recently focused on the designation of sustained release systems for poorly water soluble drugs [3]. Various drug delivery techniques have been developed to sustain the release of drugs, including triple-layered tablets and osmotic pumps with laser drilled holes. These technologies are intricate and relatively expensive to manufacture. As a result, there is a need of developing novel formulations which may allow sustained release of drugs using readily available and inexpensive excipients. Hydrophilic polymers have attracted considerable attention for use as sustained and controlled release devices for the delivery of both water soluble and water insoluble agents. Their characteristics and ability to hydrate and form a gel layer are well known and essential to sustain and control drug release from matrices [4]. The hydrated gel layer thickness determines the diffusion path of the drug molecules through the polymer mass into the diffusion medium [5]. Normally, plant products serve as a good alternative to the synthetic materials because of local accessibility, eco-friendliness and lower costs compared to the imported synthetic products. Gums are natural exudates from the bark of trees and they have been of great pharmaceutical importance. Plant polysaccharides have been shown to be useful for the construction of drug delivery systems for specific drug delivery. Some natural gums e. g. guar, tamarind, locust bean and okra gums as polymeric materials have been reported to be suitable in the design of controlled drug delivery systems because of their swelling or permeability profiles [6]. Hydrophilic polymers are widely used in the formulation of modified release oral dosage forms. Until now, a large number of natural and synthetic polymers, single or in combinations, have been listed as hydrophilic matrix excipients [7]. Cashew is readily available, and the most commonly used part are the nuts which are used as food ingredients, but the gum can be worked on and exploited for use in the pharmaceutical industry [8]. The basic idea behind the use of the matrix system is to maintain a constant level of drug in the blood plasma in spite of the fact that the drug does not undergo disintegration. Diclofenac is a non-steroidal anti-inflammatory drug (NSAID). It is used to reduce swelling and to treat pain. Diclofenac is used for musculoskeletal complaints, especially arthritis, rheumatoid arthritis, polymyositis, dermatomyositis, osteoarthritis, dental pain, spondylarthritis, ankylosing spondylitis, gout attacks, and pain management in cases of kidney stones and gallstones. An additional indication is the treatment of acute migraines. Also, diclofenac is used commonly to treat mild to moderate post-operative or post-traumatic pain, particularly when inflammation is also present, and is effective against menstrual pain and endometriosis [9]. A sustained effect of diclofenac sodium is required for the treatment of some chronic conditions like rheumatoid arthritis, osteoarthritis, chronic pain, ankylosing spondylitis and actinic keratosis.
MATERIALS AND METHODS
Diclofenac sodium (DS) was procured from Microlabs, Bangalore, India. Cashew gum was kindly gifted by Ayurvedic market, Mysore, India. Epichlorhydrin, sodium hydroxide (NaOH) and microcrystalline cellulose were procured from Sigma Chemicals, Bangalore, India. Talc and Magnesium stearate were procured from Reachem labs, New Delhi, India.
Methods
Purification of cashew gum
The crude cashew gum was cleaned by removing the bark and other extraneous materials by hand picking, breaking and sieving. The gum was dried in an oven at 50 ºC for about 8 h until it became sufficiently brittle. The dried gum was then sorted into two grades, light colored grade and dark colored grade. The light colored grade was selected for further processing by milling in a domestic blender into fine powder. The powdered gum was used in some of the subsequent tests and analysis as crude cashew gum powder. To purify the gum 100 gm of the crude gum powder was dissolved in 200 ml of distilled water and allowed to stand for 24 h with intermittent stirring as the gum was very soluble in water. Using a piece of calico, the gum mucilage obtained was filtered by squeezing to remove any insoluble debris or impurities. The filtered mucilage was re-filtered to ensure that all debris was removed. The filtered mucilage was purified by precipitating the gum out with about 350 ml of 96 % ethanol for 100 gm of CG and washed with diethyl ether and dried in the hot air oven at 50 ºC for about 8 h. The dried purified gum was milled and sieved through sieve number 80 [10].
Percentage yield was calculated by following equation,

Cross-linking of cashew gum
Natural gums being hydrophilic swell in the presence of the solution media. Hence, there is a possibility of the entrapped drug leaking out prior to arrival of the drug at its site of absorption. Thus, there is a need to reduce the enormous swelling of the gums by cross linking. The purified gum (1.00 gm) was mixed with 1.2 ml of 5 M NaOH and distilled water (2.4 ml-0.70 ml) until a homogeneous paste was formed. The epichlorohydrin (volume in the range of 0.1 ml-1.0 ml) was then added to the mixture and, was heated at 42 °C for 12 h, followed by a second heating time of 24 h at 70 °C. The cross linked gel was dialysed with distilled water for three to four washings initially for 1 h for and then freeze dried [10].
Moisture content of cashew gum
2 gm of powdered crude cashew gum was weighed accurately into a porcelain crucible which had previously been dried to a constant weight. The gum was placed in a hot air oven and maintained at a temperature of 105 °C. After 5 h, the gum was removed and cooled, after which it was placed in a desiccator for 30 min. The weight of the crucible and the gum was recorded. The determination was done in triplicate. The moisture content or loss on drying was expressed as a percentage of the cashew gum sample. The entire process was repeated for purified gum and cross-linked gum [11].
Viscosity of gum mucilage
Viscosity of cashew gum and cross-linked gum were determined using a Brookfield, DV-II+pro viscometer and spindle number 52 (LV2).
Preparation of matrix tablets of diclofenac sodium by factorial design
Factorial design is a computerized optimization technique, by which the factors involved and their relative importance can be assessed were adopted for the formulation of sustained release tablets of DS. 23 a full factorial design were employed. The amount of MCC, cashew gum and cross-linked cashew gum used were selected as the factors, which are studied at 2 levels each.
The model contains eight full factorial design points. The percent of drug released in 1 h and the percent of drug released at 12thh, and diffusion exponent (n) were taken as response variables Y1, Y2, and Y3 respectively [10, 12]. The tablets were prepared by direct compression and the weight was fixed to 360 mg. In order to maintain tablet weight constant, microcrystalline cellulose was used as a diluent in the sustained release tablet. Magnesium stearate and talc were used as glidant and lubricant. Tablets were compressed (Rimek mini press I) using 12 mm biconvex shape punches.
The formulations designed based on factorial design were evaluated for the response variables. The response values subjected for this analysis are;
Y1 = Percentage drug release in 1st h
Y2 = Percentage drug release at 12th h
Y3 = Diffusion exponent (n)
Characterization
In order to ascertain whether or not any interaction occurred between the polymers and drug substances, characterization of drug, polymer and physical mixtures of drug: polymer have been carried out using differential scanning calorimetry (DSC) and fourier transform infrared spectroscopy (FT-IR).
Fourier Transform Infrared Spectroscopy (FTIR) analysis
Fourier transform infrared analysis was conducted to verify the occurrence of chemical bonds between drug and polymer. The detector was purged carefully with clean dry helium gas to increase the signal level and reduce moisture. The sample powder was dispersed in KBr powder and the pellets were made by applying 5 ton pressure. FT-IR spectra were obtained by diffuse reflectance on a FT-IR spectrophotometer type FT-IR 8400S Shimadzu, Japan. FT-IR spectrum of DS was compared with FT-IR spectra of DS optimized formulation. Disappearance of DS peaks or shifting of peak in any of the spectra was studied [13].
Differential Scanning Calorimetry (DSC) analysis
All the dynamic DSC studies were carried out on DSC Instrument. Calorimetric measurements were made with empty cell (high purity alpha alumina discs) as the reference. The instrument was calibrated using high purity indium metal as standard. The dynamic scans were taken in nitrogen atmosphere at the heating rate of 10 °C min-1[13, 14].
In vitro evaluation
Pre-compression evaluation
Angle of repose
Angle of repose is the maximum angle possible between the surface of a pile and the horizontal plane. Angle of repose is considered as an indirect measurement of flowability. Improper flow of granules is due to frictional forces between the particles. These frictional forces are quantified by an angle of repose. Fixed funnel method was employed for determining angle of repose [15]. A funnel with the end of the stem cut perpendicular to its axis of symmetry is securely arranged above the graph paper placed on a flat horizontal surface. Granules were carefully poured through the funnel until the apex of the conical pile just reaches the tip of the funnel. The radius and height of the pile were then determined. The angle of repose (θ) for samples were calculated using the formula,
Angle of repose (θ) = tan-1 (h/r) (2)
Where 'h' is height of heap and 'r' is radius of the heap.
Angle of repose represents whether the given sample was free flowing or not.
Compressibility
Carr’s index is a dimensionless quantity, which proved to be useful to the same degree as the angle of repose values for predicting the flow behavior. Both poured bulk and tapped bulk densities were determined. According to the method, quantity (3 gm) of granules from each formula, previously lightly shaken to break any agglomerates formed, was introduced into a 10 ml measuring cylinder. After the initial volume was observed, the cylinder was allowed to fall under its own weight onto a hard surface from the height of 2.5 cm at 2 second intervals. The tapping was continued until no further change in the volume was noted. Carr’s index is calculated using the formula given below,
Carr’s index = (tapped density – bulk density) / tapped density (3)
Post-compression evaluation
Hardness
The hardness of the tablet is also termed as its crushing strength. The hardness of the tablet may be defined as the compressional force required to breaking or fracturing the tablet when such force is diametrically applied. Hardness was determined using Inweka hardness tester. It is expressed in kg/cm2.
Friability (F)
The friability of tablets was determined using Roche friabilator (Electrolab). It is expressed in percentage (%). Ten tablets were initially weighed (WInitial) and transferred into the friabilator. The friabilator was operated at 25 rpm for 4 min. The tablets were weighed again (WFinal). The percentage of friability was then calculated using the following formula,

Weight variation
Twenty tablets were randomly selected and weighed individually. The average weight of these tablets was determined. The weight variation of individual tablet was determined with respect to average the weight and percentage weight variation. As per U. S. Pharmacopoeia, in case of tablet’s average weight greater than 324 mg, the percentage deviation can be upto 5 % [16].
Drug content
Ten tablets containing diclofenac sodium were selected at random and the average weight was calculated. The tablets were then powdered. 100 mg equivalent tablet triturate was taken in 100 ml volumetric flask. The volume was made upto the mark with phosphate buffer pH 6.8 (stock I). 10 ml of the stock I solution was pipetted and transferred to 100 ml volumetric flask and diluted up to the mark with buffer (stock II). 2 ml of stock II was diluted to 10 ml and absorbance was measured spectrophotometrically at 276 nm [17].
In vitro release profile
Diclofenac sodium release studies were performed using a USP XXIV, type I apparatus (model TDT-081, Electrolab, Mumbai, India) at 100 rpm and 37 °C in 900 ml of phosphate buffer (pH 6.8) for 12 h. The media was maintained at 37+0.5 °C. This volume was chosen in order to maintain sink condition. 5 ml of the dissolution media was withdrawn at predetermined intervals and fresh dissolution media was replaced. The samples withdrawn were made up to 10 ml and were analyzed by UV method at 276 nm against reagent blank [16, 17].
Erosion and water uptake studies
Erosion and water uptake of the DS tablet formulations was determined under conditions identical to those described for dissolution testing. Water uptake and mass loss were determined gravimetrically according to the below mentioned equations. Three tablets were used per time point. At the predetermined times, the tablets were lightly patted with tissue paper to remove excess surface water. The swollen weight of tablets was determined (Ts), and then the same tablets were dried in a vacuum oven at 40 °C for 48 h, the remaining dry weight of the tablet (Tf) was determined which gave matrix erosion. The medium used was pH 6.8 buffer. The study was carried out in triplicate [18]. Swelling (%) and erosion (%) were calculated using equations mentioned below. Similarly the above said procedure was followed for diclofenac sodium but the medium used was phosphate buffer pH 6.8.
Swelling (%) = (Ts – T) / T X 100 (5)
Where, Ts is the weight of the swollen tablet and T is the initial of the tablet, i.e., prior to the test.
Erosion (%) = (T – Tf) / Tf X 100 (6)
Where, T is the initial weight of the tablet and Tf is the weight of the tablet after the erosion test.
Mathematical model fitting of obtained drug release data
In vitro drug release studies
The release data were fitted into various mathematical models using PCP Disso-V2.08 software to know which mathematical model best fits the obtained release profile. The parameters like ‘n’ the time exponent, ‘k’ the release rate constant and ‘R’ the regression co-efficient were determined to know the release mechanisms. The various models studied were First order, Zero order, Matrix model, Hixon-Crowell model and Peppas and Power model. The in vitro release studies data was fitted into various mathematical models to determine the best-fit model. The various parameters n-time exponent, k-release constant and R-regression coefficient, were also calculated [19-21].
Statistical analysis
The effect of formulation variables on the response variables were statistically evaluated by applying one way ANOVA using a commercially available software package design of experiments® 6.05 (Stat Ease, USA) [22]. The design was evaluated by polynomial model, which bears the following equation,
Y = B0+B1X1+B2X2+B3X3+…. +B12X1X2+B13X1X3+ B23X2X3 +…. +B123X1X2X3. (7)
Where,
Y is the response.
X1, X2, X3 are the level (concentration) of the 1, 2, 3 factor.
B1, B2, B3, B12, B13, B23, B123, are the polynomial coefficient.
B0 is the intercept (which represents the response when the level of all factors is low).
In vivo pharmacokinetic analysis
In vivo pharmacokinetic analysis performance for the prepared optimized formulation and the marketed formulation was evaluated by HPLC [22]. Albino rabbits were selected as suitable animal models for evaluation of sustained release dosage form. Study was conducted in accordance of provisions of declaration of Helsinki, as amended in Venice in 1983. Written approval was obtained from Institutional Animal Ethical Committee of JSS College of Pharmacy, Mysore, India. Detailed verbal and written experimental procedure on the study was provided to the committee and written consent was obtained (Date: 24/09/2013, Proposal No: 128/2013). In this technique 12 albino rabbits were taken weighing 2.5 kg to 3.0 kg and divided into two groups. Prior to oral administration, the rabbits were starved for 12 hrs and were allowed free access to water only. One group was kept as control and to the other group optimized tablet and marketed tablet was administered to fasting, healthy albino rabbits on two different occasions, separated by a wash out period of 2 weeks between dosing. The formulation was administered into the rabbit esophagus and washed with 5 ml of distilled water in order to avoid possible damage caused by chewing. Blood samples (1 ml) were withdrawn from the marginal ear vein of the rabbit at regular intervals of 0.5, 1, 2, 4, 6, 8, 12, 24 h. The plasma samples were separated by centrifugation and assayed for diclofenac sodium by high performance liquid chromatography (Shimadzu LC-2010AHT). Mobile phase was 20 mM phosphate buffer (pH 7) containing 0.1 % trifluoroacetic acid-acetonitrile (65:35 v/v). Column used was C-18 (4.6 mm × 150 mm). Temperature was maintained in the range of 25 °C and injection volume was 20 μl followed by flow rate 1.0 mL/min. Detector was UV-225 nm and retention time was 9.3 min.
Stability studies
The International Conference on Harmonization (ICH) Guidelines titled “Stability testing of new drug substances and product” describes the stability test requirements for drug registration application in the European Union, Japan and the U. S. A. [23].
Optimized formulation was selected for stability studies. Formulations were packed in screw capped bottles and studies were carried out for 90 days by keeping at 25±2 °C/60±5 % RH, 30 °C/65 % RH and 40±2 °C/75±5 % RH. Samples were withdrawn on 0th, 15th, 45th & 90th day and checked for changes in physical appearance and drug content spectrophotometrically at 276 nm.
RESULTS AND DISCUSSION
Purification of cashew gum
The percentage yield obtained from purification of cashew gum was 77.43 %. From the results, it can be said that the method of purification of the cashew gum was a very viable process because a lot of the crude cashew gum was recovered after purification. Crude gums are generally known to contain among other things dirt, debris and scraps of bark etc. These constituents were removed during purification thus the gum can be used.

Fig. 1: Crude and purified cashew gum
Cross-linking of cashew gum
Natural gums, being hydrophilic, swell in the presence of the solution media. Hence, there is a possibility of the entrapped drug leaking out prior to the arrival of the drug at its site of absorption. Thus, there is a need to reduce the enormous swelling of the gums by cross-linking. Fig. 2 shows cross linked cashew gum.

Fig. 2: Crosslinked cashew gum
Moisture content of cashew gum
The amount of moisture in crude gum, cashew gum and crosslinked cashew gum was found to be 13.84±0.12 %, 11.14±0.24 % and 9.80±0.64 % respectively. The moisture content calculated, complied with the required standard set in the British Pharmacopoeia as 15 % w/w. The moisture content affects the storage conditions, microbiological stability, viscosity and the flow properties of powders.
Viscosity of gum mucilage
The viscosity of cashew gum and crosslinked cashew gum was found to be 63.5 cps and 90.1 cps respectively. After crosslinking, the viscosity of native cashew gum increases due to cross-linking.
Characterization
Fourier Transform Infrared Spectroscopy (FTIR) analysis
Diclofenac sodium (DS), crude gum (CG), crosslinked cashew gum (CCG) and optimized formulation (OF) were subjected to FTIR studies, and spectra obtained were shown in fig. 3. Both the DS and tablet formulation showed characteristic peaks, Alkane C-H stretch (2924.18 cm-1), Aromatic C-H (771.55 cm-1), N-H stretch (3630.15 cm-1), Ester C=O stretch (1772.60 cm-1), Aromatic C=C stretch (1452.45 cm-1). It was observed that there was no appearance of any new peaks or any disappearance of existing peaks in spectra of formulation which proved that the drug and polymers used for the study are compatible. The FT-IR spectra of cashew gum and cross-linked gum showed the presence of band around 1730 cm-1 which is characteristic of C=O stretching vibration of glucuronic acid present in the starting polysaccharide (CG). OH stretching and C-H stretching vibrations were present at around 3450 cm-1 and 2920 cm-1 respectively.

Fig. 3: FTIR of CG, CCG, DS, and optimized formulation
Differential Scanning Calorimetry (DSC) analysis
In order to study any possible interactions between the drug and polymers, DSC studies were carried out. The DSC thermograms obtained are reported in the fig. 4. From the thermogram it was observed that DS displayed a single sharp peak at 282.5 °C corresponding to its melting point and formulation show peak at 286.8 °C. Hence it can be observed that there was no significant interaction between the drug and the polymers used.

Fig. 4: DSC thermograms of A) DS and B) Optimized formulation
In vitro evaluation
Pre-compression evaluation
From the results obtained and compared with standards for angle of repose and Carr’s index, it was concluded that sample had passable flowability and powdered granules were fair enough to pass. Table 1 depicts pre-compression evaluation of powdered granules.
Table 1: Pre-compression evaluation
| FC | Angle of repose(°) | Bulk density(g/ml) | Tap density(g/ml) | Carr’s index |
| F1 | 38±0.4 | 0.30±0.076 | 0.36±0.032 | 15.26 |
| F2 | 38±0.1 | 0.26±0.026 | 0.32±0.071 | 18.75 |
| F3 | 38±0.9 | 0.31±0.033 | 0.40±0.042 | 22.51 |
| F4 | 37±0.5 | 0.32±0.031 | 0.40±0.027 | 20.06 |
| F5 | 36±0.8 | 0.32±0.028 | 0.41±0.023 | 21.99 |
| F6 | 36±0.3 | 0.32±0.036 | 0.41±0.026 | 23.45 |
| F7 | 38±0.8 | 0.34±0.072 | 0.44±0.046 | 21.84 |
| F8 | 36±0.1 | 0.32±0.036 | 0.45±0.033 | 23.73 |
Table 2: Post-compression evaluation
| FC | Tablet weight(mg) | Hardness(kg/cm2) | Friability (%) | % Drug content |
| F1 | 357.5±3.1 | 5.86±0.36 | 0.64 | 98±0.55 |
| F2 | 358.6±3.8 | 6.44±0.45 | 0.37 | 98±0.69 |
| F3 | 357.9±4.3 | 6.37±0.34 | 0.42 | 99±0.75 |
| F4 | 355.6±3.9 | 5.59±0.41 | 0.64 | 100±0.87 |
| F5 | 357.2±3.1 | 6.35±0.23 | 0.47 | 98±0.36 |
| F6 | 358.7±2.5 | 6.43±0.33 | 0.39 | 97±0.45 |
| F7 | 359.6±3.5 | 6.57±0.44 | 0.43 | 99±0.56 |
| F8 | 350.6±2.3 | 5.69±0.32 | 0.44 | 98±0.88 |
Post-compression evaluation
The compositions of different matrix tablets and the results of physical evaluation of tablets such as weight variation, hardness, friability and drug content are summarized in table 2. The friability was less than 1.0 % and hardness ranged between 4-7 kg/cm2 respectively. Good uniformity in drug content was found among different batches with drug content being more than 96 %. From the results, it was observed that all the tablets from all batches had acceptable physical characteristics.
In vitro release profile
The release profiles of tablet formulations F1 to F8 are presented in fig. 5. F4 and F8 formulations release was found to be rapid (99.45±0.09 % and 99.71±0.27 % respectively) and failed to sustain the drug release beyond 5 h. The percentage of drug release increased, as the amount of the retarding polymer is decreased. Here the retarding polymer is cross-linked gum. Formulations F3 and F5 showed extended drug release beyond 12 h (99.9±0.49 % and 97.35±0.39 % respectively) because these formulations contained more concentration of cross-linked gums than cashew gum. Cross-linked gums are less soluble and reduce enormous swelling of the dosage form. Remaining formulations showed drug release varying from 7-10 h depending on the concentration of the cashew gum and crosslinked cashew gum.
Kinetic analysis of dissolution data
To understand the complex mechanism of drug release from the tablet, the in-vitro release data were fitted to Korsmeyer-Peppas release model and interpretation of diffusion exponent values (n) enlightens in understanding the release mechanism from the dosage form. When n is around 0.5, the transport mechanism is by fickian diffusion, and 0.5<n<1.0, it designates anomalous transport. If n=1 or above, it indicates case II or super case II transport, where drug release does not change over time but the release is characterized by polymer relaxation and chain disentanglement, which is often termed as zero-order release. The diffusion exponent values thus obtained ranged between 0.5 and 1.26 with limited burst effect, which may be due to controlled initial swelling of the gums. The release data was shown in the table 3. The best fit was Peppas model indicating that the release was guided by both diffusion & erosion & based on n values it varied from fickian diffusion to super case II transport.

Fig. 5: In vitro dissolution profile of formulations
Table 3: Kinetic analysis of dissolution data
FC |
R2 |
n |
||||
Zero order |
First order |
Peppas |
Higuchi |
Hixson |
||
F1 |
0.7849 |
0.9160 |
0.9675 |
0.9424 |
0.6727 |
0.4443 |
F2 |
0.8916 |
0.9475 |
0.9677 |
0.9653 |
0.815 |
0.7118 |
F3 |
0.9730 |
0.9037 |
0.9876 |
0.9180 |
0.9469 |
1.0858 |
F4 |
0.9895 |
0.7896 |
0.9857 |
0.9326 |
0.9500 |
1.010 |
F5 |
0.9866 |
0.8929 |
0.9796 |
0.9268 |
0.9533 |
1.184 |
F6 |
0.9204 |
0.9600 |
0.9720 |
0.9629 |
0.8523 |
0.9604 |
F7 |
0.8798 |
0.9361 |
0.9673 |
0.9576 |
0.8087 |
0.7365 |
F8 |
0.9605 |
0.8749 |
0.9738 |
0.9240 |
0.9237 |
0.9688 |
Erosion and water uptake studies
It was observed at the end of the first 3 h the rate of swelling ranged between 88.59 to 453.12 % and between 46.03 to 401.2 % at the end of the 12th h. The erosion was found to be between 16.73 to 62.67 % at the 3rd h and 69.56 to 94.32 % at the end of 12 h. The rate of swelling was gradual with slower erosion rate in formulations containing higher concentration of cross-linked gum and the opposite process was observed as the concentration of cashew gum increased. This phenomenon of swelling and erosion can be attributed to the polymer properties i.e., cross-linked gum being less hydrophilic shows gradual swelling and erosion compared to cashew gum which is more hydrophilic and less viscous allowing faster penetration of dissolution fluid into the tablet matrix leading to rapid erosion.
The formulations containing higher concentration of cashew gum rapidly swelled at the 3rd h and also showed the highest erosion at the end of the study period i.e., F4 and F8. But the opposite was true in case of formulations F3 and F5. This is due to the presence of cross-linked gum in more concentration. Table 4 shows % swelling and % erosion.
Table 4: % swelling and % erosion
(h) |
% swelling |
|||||||
F1 |
F2 |
F3 |
F4 |
F5 |
F6 |
F7 |
F8 |
|
3 |
188.71±3.3 |
193.67±3.1 |
96.89±1.8 |
453.12±7.1 |
88.59±2.1 |
115.6±5.6 |
100.78±2.5 |
421.1±2.1 |
6 |
205.46±3.1 |
209.34±3.2 |
156.92±5.6 |
210.7±5.3 |
148.87±4.9 |
177.9±6.7 |
123.52±2.8 |
86.78±3.5 |
9 |
245.92±3.2 |
251.78±3.4 |
201.67±8.9 |
98.85±3.5 |
189.45±6.2 |
367.3±9.2 |
198.57±2.1 |
40.78±3.6 |
12 |
279.89±2.8 |
274.89±3.5 |
243.98±10.4 |
46.03±3.9 |
228.37±7.9 |
401.2±10.7 |
242.56±2.7 |
37.82±3.3 |
(h) |
% erosion |
|||||||
3 |
26.74±2.8 |
29.76±2.5 |
29.86±2.8 |
31.43±3.1 |
16.73±0.9 |
32.75±2.6 |
23.13±2.9 |
62.67±2.1 |
6 |
53.15±3.2 |
52.35±2.8 |
48.26±2.1 |
60.78±5.1 |
35.78±1.3 |
53.46±3.1 |
39.92±2.8 |
80.78±2.2 |
9 |
65.73±3.3 |
66.71±3.1 |
61.24±2.9 |
77.62±3.8 |
51.56±4.2 |
66.36±3.0 |
50.60±3.0 |
90.21±2.4 |
12 |
83.18±3.5 |
84.12±3.4 |
78.23±3.0 |
92.67±4.3 |
70.83±3.8 |
79.02±3.2 |
69.56±3.1 |
94.32±2.5 |

Fig. 6: In vitro swelling and erosion profile of formulations
Statistical analysis
Diclofenac sodium tablet dosage form was formulated following 23 factorial design as the response surface methodology. Totally 8 formulations were prepared with the tablet weight fixed to 360 mg. The values of independent variables and the experimental runs with observed responses are given in table 5. The % CDR 1st h (Y1) ranged between 5.5 to 23.9 %. The % CDR at the 12th h (Y2) ranged between 97.35 % and 100 % for all the batches. The diffusion exponent values n (Y3) ranges between 0.4 and 1.1. Only statistically significant (p<0.05) coefficients were included to generate the polynomial equations.
Effect of formulation variables on responses
Response: percentage drug released in 1 h (Y1)
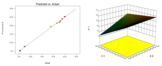
Values of "Prob>F" less than 0.0500 indicate model terms are significant. The effect of the studied factors on % release in 1st h is as shown in the fig. 7. As the concentration of the factor A increased the % CDR was increased upto 23.9 % As the concentration of factor B is increased the % CDR increased from 5.5 % to 23.9 %. As the concentration of the factor C is increased the % CDR decreased from 21.6 % to 5.5 % in the first hour. Factor C had negative effect on the drug release at the first hour.
Table 5: Design and summary response
FC |
Factors |
Responses |
||||
A |
B |
C |
Rel 1h |
Rel 12h |
n |
|
F1 |
10.00 |
100.00 |
100.00 |
18.9 |
100 |
0.443 |
F2 |
50.00 |
100.00 |
100.00 |
22.7 |
100 |
0.7118 |
F3 |
50.00 |
50.00 |
100.00 |
7.5 |
99.9 |
1.0858 |
F4 |
50.00 |
100.00 |
50.00 |
25 |
100 |
1.01 |
F5 |
10.00 |
50.00 |
100.00 |
5.5 |
97.35 |
1.184 |
F6 |
50.00 |
50.00 |
50.00 |
23.9 |
100 |
0.9604 |
F7 |
10.00 |
50.00 |
50.00 |
21.6 |
100 |
0.7365 |
F8 |
10.00 |
100.00 |
50.00 |
23.1 |
100 |
0.9688 |

Fig. 7: Predicted Vs actual plot and response surface graph for interaction factors A, B and C

Fig. 8: Predicted Vs actual plot and response surface graph for interaction factors A, B and C

Fig. 9: Predicted Vs actual plot and response surface graph for interaction factors A, B and C
Response: percentage drug released in 12th h (Y2)
The effect of the studied factors on % release at the 12th h is shown in the fig. 8. By increasing the concentration of factor A & B the % drug release at the 12th hr was increased. By increasing the concentration of factor C the value, was decreased. The factor C showed negative effect on release at the 12th h.
Response: diffusion coefficient (n) (Y3)
The effect of the studied factors on diffusion exponent ‘n’ is as shown in the fig. 9. By increasing the concentration of factor A, diffusion coefficient value, was increased from 0.443 to 1.184. By increasing the concentration of factor B the diffusion coefficient value was decreased from 0.7118 to 0.443. By increasing factor C the diffusion coefficient got decreased. The factor B and C showed negative effect on ‘n’.
Optimization
Development of optimized formula
For the generation of optimized formulation (OF), numerical optimization technique by desirability function was adapted with certain constraints on the responses as shown in the table 6. Based on the optimization result, one solution was predicted with desired responses as shown in the table 7. The optimized formula was rounded to nearest numbers. To validate the model, the predicted optimal formula was formulated and evaluated.
Table 6: Constraints for optimized formula
| Name | Goal | Lower limit | Upper limit |
| Factor A (MCC) | is in range | 10 | 50 |
| Factor B (CG) | is in range | 50 | 100 |
| Factor C (CCG) | is in range | 50 | 100 |
| Rel 1h (Y1) | is in target | 5.5 | 25 |
| Rel 12h (Y2) | is in target | 97.35 | 100 |
| n (Y3) | is in target | 0.443 | 1.184 |
Table 7: Predicted solution
Factors |
Responses |
Deseriability |
||||
A(mg) |
B(mg) |
C(mg) |
Rel 1h |
Rel 12h |
n |
0.999 |
27 |
50 |
62 |
18.75 |
100 |
0.9 |
|
The optimized tablet was evaluated for pre-compression and post-compression properties which are presented in the table 8. The powder showed a passable flow property based on an angle of repose and fairly good flow property based on Carr’s index. The physicochemical properties of the optimized formulation were found to be good and within the prescribed limits.
Table 8: Evaluation of pre and post-compression parameters for optimized formulation
Pre-compression |
||||
Formulation |
Angle of repose (°) |
Bulk density (g/ml) |
Tap density (g/ml) |
Carr’s index |
OF |
38±0.8 |
0.34±0.072 |
0.44±0.046 |
21.84 |
Post-compression |
||||
Formulation |
Tablet weight |
Hardness |
Friability (%) |
% Drug content |
OF |
359.6±3.5 |
6.57±0.44 |
0.43 |
99±0.56 |
In vitro drug release profile
The in vitro release profile of the optimized formulation is as shown in fig. 10. The % CDR was 29.68 % at the 1st h with complete release by 99.9±0.49 % at the end of 12 h. It was observed that the drug released at the faster rate initially followed by slower and more controlled release in later stages. This pattern of drug release is attributed to the dissolving of the drug present on the tablet surface, faster initial swelling followed by gradual swelling and erosion.

Fig. 10: In vitro drug release profile of optimized formulation
In vivo pharmacokinetic analysis
In vivo studies were carried out for Diclofenac sodium-SR (Product A) and selected optimized formulation (Product B) both containing 100 mg of DS on albino rabbits. Blood samples were withdrawn at different time intervals and plasma concentration of DS was estimated. Plasma drug concentration time profile is presented in fig. 11. From the data obtained, it may be observed that after oral administration, peak plasma concentration Cmax were 583.67±18.45 ng/ml and 607.67±12.86 ng/ml for product A and B. The Tmax for reference and test formulations was same (1.67 h). The observed values AUC0-24 were 5203.75±251.67 and 5975.08±345.35 ng. h/ml for product A and B. The t1/2 for reference and optimized formulation was found to be 11.00±2.50 h and 12.06±3.59 h respectively. The statistical analysis by performing t-test (p<0.05) proved that there was no significant difference between the test formulation and the reference. From the results, it was observed that optimized formulation showed sustained/extended release.

Fig. 11: Mean drug plasma concentrations time profiles of DS from product A and B
Table 9: Mean plasma concentration of DS from product A and B
| Time (h) | Product A(Conc. ng/ml) | Product B(Conc. ng/ml) |
| 0.5 | 358.66±22.16 | 370.66±27.29 |
| 1 | 519.33±27.68 | 546.11±23.69 |
| 2 | 557.5±20.91 | 581.83±19.87 |
| 4 | 415.33±19.14 | 441.33±25.96 |
| 6 | 300.14±15.49 | 342.23±19.29 |
| 8 | 213.17±18.61 | 265.83±21.12 |
| 12 | 149.33±17.71 | 181.16±15.82 |
| 24 | 89.33±9.34 | 115.66±11.91 |
Table 10: A statistical comparison of the mean values of pharmacokinetic parameters of product A and B
| Parameters | Product A | Product B | P |
| Cmax | 583.67±18.45 ng/ml | 607.67±12.86 ng/ml | <0.05 |
| Tmax | 1.67±0.52 h | 1.67±0.52 h | <0.05 |
| Ke | 0.0663±0.017 h-1 | 0.0606±0.013 h-1 | <0.05 |
| t ½ | 11.00±2.5 h | 12.06±3.5 h | <0.05 |
| AUC0-24 | 5203.75±951.6 ng. hr/ml | 5975.08±445.3 ng. hr/ml | <0.05 |
Product A-Voveran® SR tablet and Product, B-Optimized formulation
Table 11: Stability data of the optimized formulation
| Stability condition | Sampling in days | Drug content (%) |
| 25°C/60% RH | 0 | 98.89±0.18 |
| 15 | 98.47±0.35 | |
| 45 | 98.52±0.24 | |
| 90 | 98.68±0.22 | |
| 30°C/65% RH | 0 | 97.75±0.14 |
| 15 | 97.45±0.24 | |
| 45 | 97.39±0.19 | |
| 90 | 97.86±0.21 | |
| 40°C/75% RH | 0 | 96.79±0.34 |
| 15 | 96.67±0.19 | |
| 45 | 95.58±0.23 | |
| 90 | 94.47±0.11 |
Stability studies
Stability studies were carried out at 25 °C/60 % RH, 30 °C/65 % RH and 40 °C/75 % RH for 3 months and evaluated for their physical appearance and drug content at regular time intervals. The obtained data is presented in table 11. From the data, it was observed that the optimized formulation did not show significant difference in physical appearance except for slight color changes. No significant variation in terms of drug content was observed before and after stability studies.
CONCLUSION
The aim of study was to develop and evaluate oral sustained release tablets using cashew gum (CG) and cross-linked cashew gum as controlled release polymers. The model drug selected was diclofenac sodium (DS) based on its pharmacokinetic profile as it is a suitable candidates for sustained release. Matrix tablets of DS were prepared using combination of CG and its cross-linked derivative as matrix polymers. 23 full factorial design was employed to systematically optimize drug release profile. Matrix tablets were prepared by direct compression technique. The dependent variables selected were % of drug released at 1st hour (Y1), % of drug released at 12th hour (Y2) and diffusion exponent n (Y3). Fourier transform infrared spectroscopy (FTIR) and differential scanning calorimetry (DSC) studies confirmed drug-polymer compatibility. The pre-compression granular properties were evaluated which indicated fairly good flow properties. The results of evaluations of tablets were found to be within standard limits. The response variables studied were found as follows; Y1 ranged in between 5.5 to 23.9 %, Y2 was found to be in between 97.35 to 100 %, and Y3 ranged in between 0.4443 to 1.184 for all batches. Kinetic analysis of dissolution data indicated zero order release. Korsymer-peppas being the best fit model indicating diffusion and erosion as the mechanism. The experimental values for optimized formulation were in close agreement with the predicted response, indicating adequate fitting and validation of formula generated by constrained optimization. In vivo study for marketed product and optimized formulation showed no statistical significant difference between the two confirming that the prepared tablet showed sustained release profile. Results of the stability studies showed no significant changes in drug content and physical appearance. Thus, the present research work has been carried out adopting standard procedures to meet the set objectives. The research findings obtained from the studies were found to be satisfactory. It can be concluded that natural gums and their derivatives can be effectively used for preparation of sustained release tablets. The results have shown an indication of the usage of natural gums as effective alternative to synthetic polymers.
CONFLICT OF INTERESTS
Declared None
REFERENCES