
1Chemistry Department of Natural Compounds, National Research Centre, Dokki 12311, Giza, Egypt, 2Department of Therapeutic Chemistry, National Research Centre, Dokki 12311, Giza, Egypt, and Functional Nanomaterials, Institute for Materials Science, Christian Albrechts University Kiel, Kaiserstrasse, Germany 3Central Laboratory for Evaluation of Veterinary Biologics, Abbassia 13181, Cairo, Egypt
Email: hb_abosalem@yahoo.com
Received: 25 Jan 2015 Revised and Accepted: 20 Feb 2015
ABSTRACT
Objective: Marek's disease (MD) is a widespread, herpesvirus-induced neoplastic disease in the domestic chicken that is caused by Marek's disease virus (MDV). Marek’s disease virus (MDV) belongs to the alphaherpesvirus family such as Herpes simplex viruses 1 and 2 (HSV-1 and HSV-2). Recently Bag and co-workers 2014 reported that, 7-methoxy-1-methyl-4, 9-dihydro-3H-pyrido [3, 4-b]indole (Harmaline) showed potent anti-HSV-1 activity against both wild type and clinical isolates of HSV-1. The present work aimed to synthesize some new heterocyclic systems incorporated to indole moiety starting from ethyl 2-(3-acetyl-1H-indol-1-yl)acetate (1) in order to evaluate their antiviral activity in a trail to explore potential antiviral agents against MDV to limit the disease course and losses.
Methods: Reaction of ethyl 2-(3-acetyl-1H-indol-1-yl) acetate (1) with semicarbazide hydrochloride yielded semicarbazone derivative 2. The oxidative cyclization of 2 using thionyl chloride and selenium dioxide afforded 1, 2, 3-thia and 1, 2, 3-selenadiazole derivatives 3 and 4, respectively. On the other hand, reaction of 1 with 4-chloro and 4-nitrobenzaldehydes under Claisen-Schmidt conditions gave α, β-unsaturated keto derivatives 5a, b. Cyclization of 5a, b using hydrazine hydrate, phenyl hydrazine, urea, thiourea or guanidine led to the formation of pyrazoles 6a, b, 7a, b, and pyrimidines derivatives 8a, b-10a, b; respectively. Condensation of 1 with phenyl hydrazine followed by Vilsmeier Haack formylation gave pyrazole-4-carboxaldehyde derivative 12. Reaction of aldehydic function group of 12 with different reagents led to the formation of pyrazol-5-ones 14-16, thiazolidinone 18, aziditine 19, 1, 6-diaminopyridine 21, triazolo(1, 5-a)pyridine 22 and pyrano(2, 3-c) pyrazole derivatives 23. The in vitro antiviral activity of the selected compounds 6a, b 7a, b 8a, b 9a, b and 10a, b was studied against Marek's disease virus (MDV).
Results: Chicken embryo experiment showed that compounds 7b, 8b, 9b and 10a possessed significant antiviral activity with IC50 ranged between 5 and 6 µg/ml and substantial therapeutic indices (TI) of 80 and 83 were recorded. Cytotoxicity assay indicated that CC50 of 7b, 8b, 9b and 10 were greater than 400 and 500 mg/ml.
Conclusion: Compounds 7b, 8b, 9b and 10a showed promising effect as anti-MDV infectivity application.
Keywords: Ethyl 2-(3-acetyl-1H-indol-1-yl) acetate, Pyrazole, Pyridine, Pyrimidine Marek's disease virus (MDV).
INTRODUCTION
Marek's disease (MD) is a widespread, herpesvirus-induced neoplastic disease in the domestic chicken that is caused by Marek's disease virus (MDV) [1]. Marek’s disease virus (MDV) belongs to the alphaherpesvirus family such as Herpes simplex viruses 1 and 2 (HSV-1 and HSV-2). Because MDV is ubiquitous and chickens acquire environmental infection early in life, they must be protected by vaccination in the hatchery. MD outbreaks may be associated with mortality immune suppression or excessive condemnation of carcasses can experience MD outbreaks at any age [2]. Recently Bag and co-workers 2014 reported that, 7-methoxy-1-methyl-4, 9-dihydro-3H-pyrido [3, 4-b] indole (Harmaline) showed potent anti-HSV-1 activity against both wild type and clinical isolates of HSV-1 [3]. On the other hand, indole and its derivatives are reported to show wide variety of pharmacological properties besides antiviral activity [4-6] such as anti-inflammatory [7, 8], anti-cancer [9, 10], antimicrobial [11, 12] and antioxidant [13, 14]. Also, literature revealed that pyrazole, pyridine and pyrimidine derivatives are known for their antiviral activities [15-23]. Based on the previous observations, the present work aimed to synthesize some new heterocyclic systems incorporated to indole moiety starting from ethyl 2-(3-acetyl-1H-indol-1-yl)acetate (1) and evaluating their antiviral activity as a trail to explore potential antiviral agents against MDV to limit the disease course and losses.
MATERIALS AND METHODS
General
Melting points were determined on digital melting point apparatus (Electrothermal 9100, Electrothermal Engineering Ltd, serial No. 8694, Rochford, United Kingdom) and are uncorrected. The micro analytical data were achieved on a Perkin-Elmer 2400 analyzer (Perkin-Elmer, 940 Winter Street, Waltham, Massachusetts 02451, USA) and were found within±0.4 % of the theoretical values. IR spectra were recorded on a Perkin-Elmer 1600 Fourier Transform Infrared Spectrophotometer (Perkin-Elmer). The NMR spectra was recorded on a Bruker Avance digital spectrometer (BRUKER, Germany) in DMSO-d6, and chemical shifts (δ) are reported in ppm units relative to the standard tetramethylsilane (TMS). Mass spectra (EI) were recorded at 70eV with JEOL-JMS-AX500 mass spectrometer (JEOL Ltd. 1-2, Musashino 3-chome Akishima, Tokyo 196-8558, Japan). The chemicals and solvents were of commercial grad and used without further purification. Ethyl 2-(3-acetyl-1H-indol-1-yl)acetate (1), 2-cyanoacetic acid hydrazide, 3-amino-5-pyrazolone and 2'-acetyl-2-cyanoacetohydrazide were prepared as reported [24-27].
Synthesis
Ethyl 2-(3-(1-semicarbazidoethyl)-1H-indol-1-yl) acetate (2)
A mixture of ethyl 2-(3-acetyl-1H-indol-1-yl)acetate (1) (2.45 g, 10 m mol), semicarbazide hydrochloride (1.11 g, 10 m mol) and sodium acetate (0.86 g, 10 m mol) in absolute ethanol (20 ml) was refluxed for 2 h. The solid formed after cooling was collected by filtration, air dried and crystallized from absolute ethanol. Yield: 65%; MP: 200-202 °C; IR (KBr): 3380, 3210 (NH2), 3180 (NH), 1682 and 1654 (C=O), 1604 (C=N), 1597 cm-1 (C=C); 1H NMR (500 MHz, DMSO-d6): δ 1.33 (t, 3H, CH3), 2.23 (s, 3H, CH3), 4.22 (q, 2H, CH2), 5.26 (s, 2H, CH2), 6.36 (s, 1H, NH), 7.12-7.46 (m, 3H, Ar-H), 7.45 (s, 1H, indolyl H-2), 8.24 (d, 1H, indolyl H-4), 9.12 ppm (s, 2H, NH2); 13C NMR (125.7 MHz, DMSO-d6): δ 15.0 and 47.5 (2CH3), 61.4 (CH2), 110.4-144.2 (Ar-C), 157.7 and 169.2 ppm (2C=O); Anal. C15H18N4O3 (302.41): Calcd: C,59.59; H, 6.00; N, 18.53; Found: C, 59.44; H; 5.98; N, 18.40.
Ethyl 2-(3-(1, 2, 3-thiadiazol-4-yl)-1H-indol-1-yl) acetate (3)
To compound 2 (0.3 g, 1 m mol), thionyl chloride (0.6 ml, 5 m mol, d=1.6) was added gradually at ice-bath temperature and then allowed to stand for 30 min. Chloroform (20 ml) was added and the reaction mixture was decomposed with the saturated solution of sodium carbonate. The organic layer was separated and dried over anhydrous sodium sulphate. After evaporation of all solvent, the obtained residue was crystallized from methanol-charcoal. Yield: 55%; MP: 60-62 °C; IR (KBr): 1654 (C=O), 1604 (N=N), 1577 cm-1 (C=C); 1H NMR (200 MHz, DMSO-d6): δ 1.33 (t, 3H, CH3), 4.33 (q, 2H, CH2), 5.23 (s, 2H, CH2), 6.99 (s, 1H, thiadiazolyl H-5), 7.22-8.22 (m, 4H, Ar-H), 8.44 ppm (s, 1H, indolyl H-2); 13C NMR (60 MHz, DMSO-d6): δ 47.5 (CH3), 61.4 (CH2), 110.4-136.2 (Ar-C), 157.7 ppm (C=O); Anal. C14H13N3O2S (287.34): Calcd: C, 58.52; H, 4.56; N, 14.62; Found: C, 58.41; H, 4.35; N, 14.37.
Ethyl 2-(3-(1, 2, 3-selenadiazol-4-yl)-1H-indol-1-yl) acetate (4)
To a stirred and hot solution of compound 2 (0.3 g, 1 m mol) in glacial acetic acid (10 ml), powdered of selenium dioxide (0.14 g, 7 m mol) was added gradually. After complete addition, boiling and stirring were continued for another 1 h. The reaction mixture was filtered, then cooled and poured onto ice-water. The formed solid was collected, washed with water, air dried and crystallized from methanol-charcoal. Yield: 45%; MP: 97-100°C; IR (KBr): 1666 (C=O), 1602 (N=N), 1578 cm-1 (C=C); 1H NMR (200 MHz, DMSO-d6): δ 1.33 (t, 3H, CH3), 4.34 (q, 2H, CH2), 5.22 (s, 2H, CH2), 5.58 (s, 1H, selenadiazolyl H-5), 7.32-7.66 (m, 3H, Ar-H), 8.12 (d, 1H, indolyl H-4), 8.46 ppm (s, 1H, indolyl H-2); 13C NMR (60 MHz, DMSO-d6): δ 47.5 (CH3), 61.4 (CH2), 110.4-157.2 (Ar-C), 169.2 ppm (C=O); Anal. C14H13N3O2Se (334.23): Calcd: C, 50.31; H, 3.92; N, 12.57; Found: C, 50.21; H, 4.00; N, 12.32.
Synthesis of compounds 5a and 5b
A solution of compound 1 (2.45 g, 10 m mol), 4-chloro or 4-nitrobenzaldehydes (10 m mol) and aqueous potassium hydroxide solution (5 ml, 25 %) in ethanol (10 ml) was stirred at room temperature for 2 h, then left overnight in refrigerator. The solid that formed after neutralized with diluted hydrochloric acid (1:1) was collected by filtration, air dried and crystallized from absolute ethanol.
Ethyl 2-(3-((E)-3-(4-chlorophenyl) acryloyl)-1H-indol-1-yl) acetate (5a)
Yield: 80 %; MP: 178-180 °C; IR (KBr): 1705 (C=O), 1571 (C=C), 748 cm-1 (Cl); 1H NMR (500 MHz, DMSO-d6): δ 1.20 (t, 3H, CH3), 4.15 (q, 2H, CH2), 5.84 (s, 2H, CH2), 6.55 and 7.45 (2d, 2H, CH=CH), 7.07-8.00 (m, 8H, Ar-H), 8.43 ppm (s, 1H, indolyl H-2); MS (m/z): 367/369 [M+/M++2]; Anal. C21H18ClNO3 (367.83): Calcd: C, 68.57; H, 4.93; N, 3.81; Found: C, 68.42; H, 4.77; N, 3.65.
Ethyl 2-(3-((E)-3-(4-nitrophenyl) acryloyl)-1H-indol-1-yl) acetate (5b)
Yield: 78 %; MP: 260-262°C; IR (KBr): 1715, 1688 (C=O), 1602 cm-1 (C=C); 1H NMR (500 MHz, DMSO-d6): δ 1.31 (t, 3H, CH3), 4.21 (q, 2H, CH2), 5.42 (s, 2H, CH2), 7.26-8.04 (m, 8H, Ar-H), 8.50 and 8.67 (2d, 2H, CH=CH), 8.70 ppm (d, 1H, indolyl H-2); MS (m/z): 378 [M+]; Anal. C21H18N2O5 (378.38): Calcd: C, 66.66; H, 4.79; N, 7.40; Found: C, 66.51; H, 4.95; N, 7.24.
Synthesis of compounds 6a and 6b
A mixture of compound 5a or 5b (10 m mol) and hydrazine hydrate 99 % (0.5 ml, 10 m mol) in absolute ethanol (15 ml) and glacial acetic acid (0.5 ml) was refluxed for 2 h. The formed solid after cooling, was collected by filtration, air dried and crystallized from absolute ethanol.
Ethyl 2-(3-(5-(4-chlorophenyl)-4, 5-dihydro-1H-pyrazol-3-yl)-1H-indol-1-yl) acetate (6a)
Yield: 35 %; MP: 232-234 °C; IR (KBr): 3322 (NH), 1678 (C=O), 1616 (C=N), 1577 (C=C), 748 cm-1 (Cl); 1H NMR (500 MHz, DMSO-d6): δ 1.29 (t, 3H, CH3), 2.66 (dd, 1H, CH-pyrazolinyl), 4.25 (q, 2H, CH2), 4.44 (dd, 1H, CH-pyrazolinyl), 5.21 (dd, 1H, CH-pyrazolinyl), 5.51 (s, 2H, CH2), 7.21-8.21 (m, 8H, Ar-H), 8.24 (d, 1H, indolyl H-2), 8.97 ppm (s, 1H, NH); Anal. C21H20ClN3O2 (381.80): Calcd: C, 66.05; H, 5.28; N, 11.00; Found: C, 65.91; H, 5.02; N, 11.11.
Ethyl 2-(3-(5-(4-nitrophenyl)-4, 5-dihydro-1H-pyrazol-3-yl)-1H-indol-1-yl) acetate (6b)
Yield: 30 %; MP: 188-190 °C; IR (KBr): 3300 (NH), 1645 (C=O), 1610 (C=N), 1578 cm-1 (C=C); 1H NMR (500 MHz, DMSO-d6): δ 1.24 (t, 3H, CH3), 2.61 (dd, 1H, CH-pyrazolinyl), 4.15 (q, 2H, CH2), 4.38 (dd, 1H, CH-pyrazolinyl), 5.12 (dd, 1H, CH-pyrazolinyl), 5.45 (s, 2H, CH2), 7.17-8.25 (m, 8H, Ar-H), 8.52 (d, 1H, indolyl H-2), 9.75 ppm (s, 1H, NH); Anal. C21H20N4O4 (392.41): Calcd: C, 64.28; H, 5.14; N, 14.28; Found: C, 64.05; H, 5.01; N, 14.15.
Synthesis of compounds 7a and 7b
A mixture of compound 5a or 5b (10 m mol) and phenyl hydrazine (1.08 ml, 10 m mol) in absolute ethanol (15 ml) and glacial acetic acid (0.5 ml) was refluxed for 2 h. The formed solid after cooling, was collected by filtration, air dried and crystallized from absolute ethanol.
Ethyl 2-(3-(5-(4-chlorophenyl)-4, 5-dihydro-1-phenylpyrazol-3-yl)-1H-indol-1-yl) acetate (7a)
Yield: 40 %; MP: 147-149 °C; IR (KBr): 1678 (C=O), 1624 (C=N), 1578 (C=C), 748 cm-1 (Cl); 1H NMR (200 MHz, DMSO-d6): δ 0.88 (t, 3H, CH3), 1.19 (dd, 1H, CH of pyrazoline), 1.50 (dd, 1H, CH of pyrazoline), 3.29 (q, 2H, CH2), 4.19 (dd, 1H, CH of pyrazoline), 5.29 (s, 2H, CH2), 7.21-8.10 (m, 12H, Ar-H), 8.41 (d, 1H, indolyl H-4), 8.62 ppm (s, 1H, indolyl H-2); 13C NMR (60 MHz, DMSO-d6): δ 25.9 (CH3), 46.1, 61.4 and 62.4 (3CH2), 62.9 (CH of pyrazoline), 110.3-139.9 (Ar-C), 169.1 ppm (C=O); Anal. C27H24ClN3O2 (457.95): Calcd: C, 70.81; H, 5.28; N, 9.18; Found: C, 70.67; H, 5.12; N, 9.04.
Ethyl 2-(3-(5-(4-nitrophenyl)-4, 5-dihydro-1-phenylpyrazol-3-yl)-1H-indol-1-yl)acetate (7b)
Yield: 32 %; MP: 87-89 °C; IR (KBr): 1678 (C=O), 1620 (C=N), 1577 cm-1 (C=C); 1H NMR (200 MHz, DMSO-d6): δ 1.23 (t, 3H, CH3), 2.22 (dd, 1H, CH of pyrazoline), 4.23 (m, 3H, CH of pyrazoline and CH2), 5.19 (dd, 1H, CH of pyrazoline), 5.34 (s, 2H, CH2), 6.77-8.42 (m, 12H, Ar-H), 8.61 (d, 1H, indolyl H-4), 9.12 ppm (s, 1H, indolyl H-2); Anal. C27H24N4O4 (468.50): Calcd: C, 69.22; H, 5.16; N, 11.96; Found: C, 69.12; H, 5.03; N, 12.01.
Synthesis of compounds 8a and 8b
A mixture of compound 5a or 5b (10 m mol) and urea (0.6 g, 10 m mol) in dry ethanol (10 ml) and glacial acetic acid (0.5 ml) was refluxed for 5 h. After cooling, the reaction mixture was poured onto ice-water (50 ml). The solid that formed was collected by filtration, air dried and crystallized from absolute ethanol.
Ethyl 2-(3-(6-(4-chlorophenyl)-2-oxo-1H-pyrimidin-4-yl)-1H-indol-1-yl)acetate (8a)
Yield: 56 %; MP: 102-104 °C; IR (KBr): 3320 (NH), 1670 (C=O), 1616 (C=N), 1554 (C=C), 750 cm-1 (Cl); 1H NMR (200 MHz, DMSO-d6): δ 1.29 (t, 3H, CH3), 3.89 (s, 1H, NH), 4.29 (q, 2H, CH2), 5.12 (s, 2H, CH2), 5.23 (s, 1H, pyrimidinyl H-5), 7.16-8.43 (m, 8H, Ar-H), 8.69 ppm (s, 1H, indolyl H-2); Anal. C22H18ClN3O3 (407.85): Calcd: C, 64.79; H, 4.45; N, 10.30; Found: C, 64.61; H, 4.53; N, 10.18.
Ethyl 2-(3-(6-(4-nitrophenyl)-2-oxo-1H-pyrimidin-4-yl)-1H-indol-1-yl) acetate (8b)
Yield: 60 %; MP: 274-276 °C; IR (KBr): 3180 (NH), 1687 (C=O), 1645 (C=N), 1577 cm-1 (C=C); 1H NMR (200 MHz, DMSO-d6): δ 1.29 (t, 3H, CH3), 4.23 (q, 2H, CH2), 5.19 (s, 2H, CH2), 5.30 (s, 1H, pyrimidinyl H-5), 7.19-8.42 (m, 9H, Ar-H and NH), 8.82 ppm (s, 1H, indolyl H-2); Anal. C22H18N4O5 (418.40): Calcd: C, 63.15; H, 4.34; N, 13.39; Found: C, 63.02; H, 4.23; N, 13.22.
Synthesis of compounds 9a and 9b
A mixture of compound 5a or 5b (10 m mol) and thiourea (0.76 g, 10 m mol) in dry ethanol (10 ml) and glacial acetic acid (0.5 ml) was refluxed for 5 h. After cooling, the reaction mixture was poured onto ice-water (50 ml), and the solid that formed was collected by filtration, air dried and crystallized from absolute ethanol.
Ethyl 2-(3-(6-(4-chlorophenyl)-2-thioxo-1H-pyrimidin-4-yl)-1H-indol-1-yl)acetate (9a)
Yield: 61 %; MP: 170-172 °C; IR (KBr): 3228 (NH), 1670 (C=O), 1604 (C=N), 1567 (C=C), 1245 (C=S), 748 cm-1 (Cl); 1H NMR (500 MHz, DMSO-d6): δ 1.42 (t, 3H, CH3), 3.82 (q, 2H, CH2), 4.45 (s, 1H, prymidinyl H-5), 5.29 (s, 2H, CH2), 7.22-7.91 (m, 3H, Ar-H), 8.39 (d, 1H, indolyl H-4), 8.73 ppm (s, 1H, indolyl H-2); 13C NMR (125.7 MHz, DMSO-d6): δ 10.8 (CH3), 26.0 and 62.2 (CH2), 62.9 (CH of pyrmidine), 111.2-130.4 (Ar-C), 139.1 (C=S), 170.1 ppm (C=O); Anal. C22H18ClN3O2S (423.92): Calcd: C, 62.33; H, 4.28; N, 9.91; Found: C, 62.17; H, 4.45; N, 10.02.
Ethyl 2-(3-(6-(4-nitrophenyl)-2-thioxo-1H-pyrimidin-4-yl)-1H-indol-1-yl) acetate (9b)
Yield: 60 %; MP: 209-211 °C; IR (KBr): 3200 (NH), 1645 (C=O), 1601 (C=N), 1577 cm-1 (C=C); 1H NMR (200 MHz, DMSO-d6): δ 1.92 (t, 3H, CH3), 4.32 (q, 2H, CH2), 5.19 (s, 2H, CH2), 5.32 (s, 1H, pyrmidinyl H-5), 7.29-8.40 (m, 9H, Ar-H and NH), 8.89 ppm (s, 1H, indolyl H-2); Anal. C22H18N4O4S (434.47): Calcd: C, 60.82; H, 4.18; N, 12.90; Found: C, 60.72; H, 4.04; N, 12.81.
Synthesis of compounds 10a and 10b
To a solution of compound 5a or 5b (10 m mol) in dry ethanol (15 ml), guanidine hydrochloride (0.96 g, 10 m mol) and anhydrous sodium acetate (0.82 g, 10 m mol) was added and the reaction mixture was refluxed for 3 h. The solid formed after cooling was collected by filtration, air dried and crystallized from absolute ethanol.
Ethyl 2-(3-(6-(4-chlorophenyl)-2-imino-1H-pyrimidin-4-yl)-1H-indol-1-yl)acetate (10a)
Yield: 60 %; MP: 104-106 °C; IR (KBr): 3200 (NH), 1667 (C=O), 1614 (C=N), 1591 (C=C), 751 cm-1 (Cl); 1H NMR (500 MHz, DMSO-d6): δ 1.29 (t, 3H, CH3), 4.29 (q, 2H, CH2), 5.21 (s, 2H, CH2), 5.29 (s, 1H, pyrmidinyl H-5), 7.10-8.41 (m, 9H, Ar-H & NH), 8.39 (s, 1H, indolyl H-2), 9.99 ppm (s, 1H, NH); 13C NMR (125.7 MHz, DMSO-d6): δ 14.0 (CH3), 48.6 and 61.3 (CH2), 110.8-158.3 (Ar-C), 183.1 (C=N), 192.6 ppm (C=O); Anal. C22H19ClN4O2 (406.89): Calcd: C, 64.94; H, 4.71; N, 13.77; Found: C, 64.78; H, 4.56; N, 13.58.
Ethyl 2-(3-(6-(4-nitrophenyl)-2-imino-1H-pyrimidin-4-yl)-1H-indol-1-yl)acetate (10b)
Yield: 65 %; MP: 243-245 °C; IR (KBr): 3220 (NH), 1675 (C=O), 1645 (C=N), 1577 cm-1 (C=C); 1H NMR (500 MHz, DMSO-d6): δ 1.29 (t, 3H, CH3), 4.22 (q, 2H, CH2), 5.19 (s, 2H, CH2), 5.30 (s, 1H, pyrmidinyl H-5), 7.1 (s, 1H, NH), 7.22-8.39 (m, 8H, Ar-H), 8.77 ppm (s, 1H, indolyl H-2); 13C NMR (125.7 MHz, DMSO-d6): δ 31.1 (CH3), 48.3 (CH2), 111.3-148.1 (Ar-C), 170.1 (C=N), 183.1 ppm (C=O); Anal. C22H19N5O4 (417.42): Calcd: C, 63.30; H, 4.59; N, 16.78; Found: C, 63.18; H, 4.70; N, 16.82.
1-(1-(1-Ethylacetate-1H-indol-3-yl)ethylidine)-2-phenyl hydrazine (11)
A mixture of compound 1 (2.45 g, 10 m mol) and phenyl hydrazine (1.08 ml, 10 m mol) in absolute ethanol (15 ml) and glacial acetic acid (0.5 ml) was refluxed for 3 h. After cooling, the reaction mixture was triturated with ice-water and the precipitate that formed was collected by filtration, air dried and crystallized from absolute ethanol. Yield: 60 %; MP: 82-84 °C; IR (KBr): 3218 (NH), 1645 (C=O), 1620 (C=N), 1577 cm-1 (C=C); 1H NMR (500 MHz, DMSO-d6): δ. 1.23 (t, 3H, CH3), 2.60 (s, 3H, CH3), 4.21 (q, 2H, CH2), 5.21 (s, 2H, CH2), 6.51 (s, 1H, NH), 7.02-8.23 ppm (m, 10H, Ar-H); Anal. C20H21N3O2 (335.4): Calcd: C, 71.62; H, 6.31; N, 12.53; Found: C, 71.55; H, 6.22; N, 12.42.
Ethyl 2-(3-(4-formyl-1-phenylpyrazol-3-yl)-1H-indol-1-yl) acetate (12)
Vilsmeier-Haack reagent was prepared by an added phosphorus oxychloride (1.5 ml, 10 m mol) over a period of 0.5 h to a well stirred dimethylformamide (15 ml) at 0-5 °C. To this reagent, compound 11 (3.35 g, 10 m mol) in dimethylformamide (10 ml) was added gradually at 0-5 °C while stirring. The reaction mixture was stirred for 15 h at room temperature, and then poured onto ice-water. The solid that formed was collected by filtration, air dried and crystallized from absolute ethanol. Yield: 55 %; MP: 140-142 °C; IR (KBr): 1701 and 1645 (C=O), 1601 (C=N), 1576 cm-1 (C=C); 1H NMR (500 MHz, DMSO-d6): δ 1.29 (t, 3H, CH3), 4.20 (q, 2H, CH2), 5.32 (s, 2H, CH2), 7.19-8.11 (m, 8H, Ar-H), 8.42 (d, 1H, indolyl H-4), 8.51 (s, 1H, indolyl H-2), 9.41 (s, 1H, pyrazolyl H-5), 10.21 ppm (s, 1H, CHO); 13C NMR (125.7 MHz, DMSO-d6): δ 14.5 (CH3), 47.7 and 61.5 (CH2), 107.1-148.4 (Ar-C), 169.2 (C=O), 184.6 ppm (C=O of aldehyde); MS (m/z): 373 [M+]; Anal. C22H19N3O3 (373.4): Calcd: C, 70.76; H, 5.13; N, 11.25; Found: C, 70.65; H, 5.11; N, 11.11.
Ethyl 2-(3-(4-((2-cyanoacetoylimino)methyl)-1-phenylpyrazol-3-yl)-1H-indol-1-yl)acetate (13)
A mixture of compound 12 (3.73 g, 10 m mol) and 2-cyanoacetic acid hydrazide (0.99 g, 10 m mol) in glacial acetic acid (20 ml) was stirred at room temperature for 2 h. The solid that formed was collected by filtration, air dried and crystallized from absolute ethanol. Yield: 77 %; MP: 216-218 °C; IR (KBr): 3218 (NH), 2190 (CN), 1665 (C=o), 1618 (C=N), 1578 cm-1 (C=C); 1H NMR (500 MHz, DMSO-d6): δ 1.32 (t, 3H, CH3), 4.22 (q, 2H, CH2), 5.10 (s, 2H, CH2), 5.52 (s, 2H, CH2), 7.01-8.02 (m, 9H, Ar-H), 8.21 (s, 1H, indolyl H-2), 8.75 (s, 1H, CH=N), 9.21 (s, 1H, pyrazolyl H-5), 10.11 ppm (s, 1H, NH); Anal. C25H22N6O3 (454.48): Calcd: C, 66.07; H, 4.88; N, 18.49; Found: C, 66.22; H, 5.01; N, 18.31.
Ethyl 2-(3-(4-(4-cyano-2, 3-dihydro-3-oxo-1H-pyrazol-5-yl)-1-phenylpyrazol-3-yl)-1H-indol-1-yl)acetate (14)
Compound 13 (0.93 g, 2 m mol) was heated under reflux in absolute ethanol (10 ml) containing triethylamine (0.5 ml) for 1 h. The reaction mixture was triturated with ice-water after cooling, and the precipitate that formed was collected by filtration, air dried and crystallized from absolute ethanol. Yield: 35 %; MP: 236 dec. °C; IR (KBr): 3118 and 3200 (NH), 2192 (CN), 1675 (C=O), 1623 (C=N), 1577 cm-1 (C=C); 1H NMR (200 MHz, DMSO-d6): δ 1.41 (t, 3H, CH3), 2.11(s, 2H, 2NH), 4.61 (q, 2H, CH2), 5.61 (s, 2H, CH2), 7.10-8.41 (m, 10H, Ar-H), 8.99 ppm (s, 1H, pyrazolyl H-5); Anal. C25H20N6O3 (452.46): Calcd: C, 66.36; H, 4.46; N, 18.57; Found: C, 66.55; H, 4.32; N, 18.44.
Ethyl 2-(3-(4-(1-acetyl-4-cyano-2, 3-dihydro-3-oxo-1H-pyrazol-5-yl)-1-phenylpyrazol-3-yl)-1H-indol-1-yl)acetate (15)
A mixture of compound 12 (0.37 g, 1 m mol) and 2'-acetyl-2-cyanoacetohydrazide (0.141 g, 1 m mol) in absolute ethanol (15 ml) and triethylamine (1 ml) was refluxed for 3 h. The solid formed on hot was collected by filtration, washed with ethanol, air dried and crystallized from absolute ethanol. Yield: 45 %; MP: 199-201 °C; IR (KBr): 3220 (NH), 2220 (CN), 1645 (C=O), 1601 (C=N), 1577 cm-1 (C=C); 1H NMR (500 MHz, DMSO-d6): δ 1.29 (t, 3H, CH3), 1.81 (s, 3H, CH3CO), 2.10 (s, 1H, NH), 3.89 (q, 2H, CH2), 5.19 (s, 2H, CH2), 7.01-8.40 (m, 9H, Ar-H), 8.83(s, 1H, indolyl H-2), 8.99 ppm (s, 1H, pyrazolyl H-5); 13C NMR (125.7 MHz, DMSO-d6): δ 20.9 and 21.5 (2 CH3), 31.1 and 48.2 (2 CH2), 117.6 (CN), 118.2-170.1 (Ar-C), 183.6 and 206.9 ppm (C=O); Anal. C27H22N6O4 (494.5): Calcd: C, 65.58; H, 4.48; N, 16.99; Found: C, 65.47; H, 4.31; N, 17.00.
Ethyl 2-(3-(4-(4, 5-dihydro-5-oxo-1H-pyrazol-3-ylimino)methyl)-1-phenylpyrazol-3-yl)-1H-indol-1-yl)acetate (16)
A mixture of 12 (0.37 g, 1 m mol) and 3-amino-5-pyrazolone (0.1 g, 1 m mol) in absolute ethanol (15 ml) and glacial acetic acid (0.3 ml) was refluxed for 3 h. The solid formed on hot was collected by filtration, washed with ethanol, air dried and crystallized from acetic acid. Yield: 56 %; MP: 196-198 °C; IR (KBr): 3200 (NH), 1677 (C=O), 1616 (C=N), 1577 cm-1 (C=C); 1H NMR (200 MHz, DMSO-d6): δ 1.29 (t, 3H, CH3), 1.91 (s, 1H, NH), 2.19 (s, 2H, CH2), 4.21 (q, 2H, CH2), 4.91 (s, 2H, CH2), 6.99 (s, 1H, pyrazolyl H-5), 7.11-8.31 (m, 9H, Ar-H), 8.72 (s, 1H, indolyl H-2), 10.30 ppm (s, 1H, CH=N); Anal. C25H22N6O3 (454.48): Calcd: C, 66.07; H, 4.88; N, 18.49; Found: C, 66.22; H, 4.75; N, 18.34.
Ethyl 2-(3-(4-(4-nitrophenylimino)methyl)-1-phenylpyrazol-3-yl)-1H-indol-1-yl)acetate (17)
A mixture of compound 12 (3.73 g, 10 m mol) and 4-nitroaniline (1.4 g, 10 m mol) in absolute ethanol (20 ml) and glacial acetic acid (0.3 ml) was refluxed for 4 h. The reaction mixture was poured onto water after cooling and the solid that formed was collected by filtration, air dried and crystallized from acetic acid-water. Yield: 60 %; MP: 116-118 °C; IR (KBr): 1678 (CO), 1608 (C=N), 1577 cm-1 (C=C); 1H NMR (500 MHz, DMSO-d6): δ 1.31 (t, 3H, CH3), 4.21 (q, 2H, CH2), 5.21 (s, 2H, CH2), 7.12-8.21 (m, 13H, Ar-H), 8.32 (s, 1H, indolyl H-2), 8.75 (s, 1H, CH=N), 9.12 ppm (s, 1H, pyrazolyl H-5); Anal. C28H23N5O4 (493.51): Calcd: C, 68.14; H, 4.70; N, 14.19; Found: C, 68.22; H, 4.79; N, 14.22.
Ethyl 2-(3-(4-(4-oxo-3-(4-nitrophenyl)-thiazolidin-2-yl)-1-phenyl-1H-pyrazol-3-yl)-1H-indol-1-yl)acetate (18)
A solution of compound 17 (4.9 g, 10 m mol) and thioglycollic acid (0.92 g, 10 m mol) in dry 1, 4-dioxane (10 ml) was stirred for 4 h at room temperature, then anhydrous sodium sulphate (3 g) was added. The reaction mixture was refluxed for 6 h, and then filtered while hot. The solid that formed after cooling, was collected by filtration, air dried and crystallized from chloroform. Yield: 35 %; MP: 129-131 °C; IR (KBr): 1670 (C=O), 1614 (C=N), 1545 cm-1 (C=C); 1H NMR (500 MHz, DMSO-d6): δ 1.29 (t, 3H, CH3), 3.72 (s, 2H, CH2 of thiazolidine), 4.20 (q, 2H, CH2), 5.22 (s, 2H, CH2), 5.92 (s, 1H, CH of thiazolidine), 7.10-7.67 (m, 11H, Ar-H), 8.09 (d, 1H, indolyl H-7), 8.41 (d, 1H, indolyl H-4), 8.60 (s, 1H, indolyl H-2), 9.43 ppm (s, 1H, pyrazolyl H-5); 13C NMR (125.7 MHz, DMSO-d6): δ 14.5 (CH3), 31.1 (OCH2), 47.7 and 52.6 (2CH2), 61.5 and 66.82 (CH), 107.1-169.7 (Ar-C), 184.6 and 206.9 ppm (2C=O); Anal. C30H25N5O5S (567.62): Calcd: C, 63.48; H, 4.44; N, 12.34; Found: C, 63.29; H, 4.22; N, 12.11.
Ethyl 2-(3-(4-(3-chloro-1-(4-nitrophenyl)-4-oxoazetidin-2-yl)-1-phenylpyrazol-3-yl)-1H-indol-1-yl)acetate (19)
A solution of chloroacetyl chloride (10 m mol) in dry 1, 4-dioxane (5 ml) and triethylamine (0.5 ml) was added to a solution of compound 17 (4.9 g, 10 m mol) in dry 1, 4-dioxane (10 ml) and the reaction mixture was refluxed for 13 h. After cooling, the reaction mixture was poured onto cold water (10 ml) and the solid that formed was collected by filtration, air dried and crystallized from absolute ethanol. Yield: 40 %; MP: 134-136 °C; IR (KBr): 1665 (C=O), 1620 (C=N), 1545 (C=C), 751 cm-1 (Cl); 1H NMR (600 MHz, DMSO-d6): δ 1.29 (t, 3H, CH3), 3.60 and 3.26 (dd, 2H, 2CH azetidine), 4.20 (q, 2H, CH2), 5.30 (s, 2H, CH2), 7.22-7.69 (m, 11H, Ar-H), 8.10 (d, 1H, indolyl H-7), 8.49 (d, 1H, indolyl H-4), 8.60 (s, 1H, indolyl H-2), 9.40 ppm (s, 1H, pyrazolyl H-5); 13C NMR (150 MHz, DMSO-d6): δ 14.00 (CH3), 61.00 and 66.34 (CH2) and CH), 106.7-147.9 (Ar-C), 168.8, 184.2 and 206.9 ppm (C=O); Anal. C30H24ClN5O5 (570.00): Calcd: C, 63.21; H, 4.24; N, 12.29; Found: C, 63.41; H, 4.11; N, 12.32.
Ethyl 2-(3-(4-(2, 2-dicyanovinyl)-1-phenylpyrazol-3-yl)-1H-indol-1-yl)acetate (20)
A solution of compound 12 (3.73 g, 10 m mol) and malononitrile (0.66 g, 10 m mol) in absolute ethanol (10 ml) containing piperidine (0.5 ml) was stirred for 30 min at room temperature. The precipitate that formed was collected by filtration, washed with absolute ethanol, air dried and crystallized from absolute ethanol. Yield: 65 %; MP: 219-221 °C; IR (KBr): 2190 (CN), 1645 (C=O), 1602 (C=N), 1576 cm-1 (C=C); 1H NMR (500 MHz, DMSO-d6): δ 1.31 (t, 3H, CH3), 4.21 (q, 2H, CH2), 5.21 (s, 2H, CH2), 7.21-8.12 (m, 10H, Ar-H), 8.41 (s, 1H, CH=C), 8.42 ppm (s, 1H, indolyl H-2); Anal. C25H19N5O2 (421.45): Calcd: C, 71.25; H, 4.54; N, 16.62; Found: C, 71.11; H, 4.32; N, 16.54.
Ethyl 2-(3-(4-(1, 6-diamino-3, 5-dicyano-2-oxopyridin-4-yl)-1-phenylpyrazol-3-yl)-1H-indol-1-yl)acetate (21)
A mixture of compound 20 (0.84 g, 2 m mol) and 2-cyanoacetic acid hydrazide (0.198 g, 2 m mol) in absolute ethanol (20 ml) and piperidine (0.5 ml) was refluxed for 7 h. The solid that formed after cooling was collected by filtration, air dried and crystallized from absolute ethanol. Yield: 42 %; MP: 180-182 °C; IR (KBr): 3200, 3182 (NH2), 2190 (CN), 1677 (C=O), 1607 (C=N), 1577 cm-1 (C=C); 1H NMR (500 MHz, DMSO-d6): δ 1.29 (t, 3H, CH3), 2.91 (s, 2H, NH2), 4.21 (q, 2H, CH2), 5.21 (s, 2H, CH2), 7.01-8.21(m, 9H, Ar-H), 8.21 (s, 1H, indolyl H-2), 8.99 (s, 1H, pyrazolyl H-5), 10.22 ppm (s, 2H, NH2); Anal. C28H22N8O3 (518.53): Calcd: C, 64.86; H, 4.28; N, 21.61; Found: C, 64.75; H, 4.11; N, 21.52.
Ethyl 2-(3-(4-(2-methyl-5-oxo-6, 8-dicyano-1, 2, 3-triazolo(1, 5-a) pyridin-7-yl)-1-phenylpyrazol-3-yl)-1H-indol-1-yl)acetate (22)
A mixture of compound 20 (0.42 g, 1 m mol) and 2'-acetyl-2-cyanoacetohydrazide (0.141 g, 1 m mol) in dry ethanol (20 ml) was refluxed for 37 h. The solid that formed after cooling was collected by filtration, air dried and crystallized from absolute ethanol. Yield: 40 %; MP: 309 dec. °C; IR (KBr): 3300 (NH), 2209 (CN), 1675 (C=O), 1620 (C=N), 1598 cm-1 (C=C); 1H NMR (500 MHz, DMSO-d6): δ 1.21 (t, 3H, CH3), 1.51 (s, 3H, CH3), 4.21 (q, 2H, CH2), 5.51 (s, 2H, CH2), 6.66 (s, 2H, NH2), 7.11-8.24 (m, 9H, Ar-H), 8.34 (s, 1H, indolyl H-2), 8.91 ppm (s, 1H, pyrazolyl H-5); Anal. C30H22N8O3 (542.55): Calcd: C, 66.41; H, 4.09; N, 20.65; Found: C, 66.31; H, 4.22; N, 20.45.
Ethyl 2-(3-(4-(3, 6-diamino-5-cyano-7H-pyrano(2, 3-c)pyrazol-4-yl)-1-phenylpyrazol-3-yl)-1H-indol-1-yl)acetate (23)
A mixture of compound 20 (0.42 g, 1 m mol) and 3-amino-5-pyrazolone (0.1 g, 1 m mol) in absolute ethanol (15 ml) and piperidine (0.5 ml) was refluxed for 3 h. The solid formed on hot was collected by filtration, washed with ethanol, air dried and crystallized from ethanol-water (10:1). Yield: 35 %; MP: 238-240 °C; IR (KBr): 3320, 3218 (NH2), 2190 (CN), 1645 (C=O), 1611 (C=N), 1555 cm-1 (C=C); 1H NMR (500 MHz, DMSO-d6): δ 1.29 (t, 3H, CH3), 4.22 (q, 2H, CH2), 5.51 (s, 2H, CH2), 6.66 (s, 2H, NH2), 7.00-8.02 (m, 9H, Ar-H), 8.12 (s, 1H, indolyl H-2), 8.91 (s, 1H, pyrazolyl H-5), 9.55 ppm (s, 2H, NH2); Anal. C28H22N8O3 (518.53): Calcd: C, 64.86; H, 4.28; N, 21.61; Found: C, 64.75; H, 4.14; N, 21.54.
Antiviral evaluation
Virus
Herpes virus of turkeys (HVT) obtained from Hafez, Freie Universität, Berlin. The virus titre was 106.5TCID50/ml (50% tissue culture infective dose).
Chicken embryo fibroblasts (CEF)
The cell lines were maintained and grown using 5-10 % newborn calf serum in Minimum Essential Medium (MEM) with Earl's salt base.
Evaluation of samples as inhibitory agents against MDV and their cytotoxicity
In vitro assay was performed in 24-well tissue culture plates following the procedure of Cox et al. [28]. Ten tissue culture plates of monolayers of CEF cell were divided as follows: five plates were infected with 5000 TCID50/0.2 ml/well of virus and incubated for two days, while 2 wells were kept non-infected as control. After 2 d, the media was change and each sample at serial concentration of 5, 6, 7, 8, 9, 60, 70, 80, 500, 600, 700, 800, and 900 µg/ml was added separately, other three plates were infected with a mixture of 5000 TCID50/0.2 ml/well of MDV and each sample (at the same serial concentration). The final three plates were inoculated with different concentrations of each sample. Two days later, the medium was changed. The procedure was repeated for the cell control, virus infectivity control and each sample, separately. The tested plates were incubated at 37 °C and 5 % CO2 for seven days and examined for cytopathic changes. The procedure was carried out, separately for each sample. Cytotoxicity concentration fifty (CC50) of each test compound was determined as the concentration of compounds that induced any deviation of the morphology than the normal control cells in 50 % of Vero cell monolayer's. Antiviral inhibitory concentration fifty (IC50) of test compounds was assayed as the concentration of compounds that fully inhibited virus-cytopathic effect (100 TCID) in 50 % of monolayer's. Also, the therapeutic index (TI) of samples was expressed as CC50/IC50 [29].
RESULTS AND DISCUSSION
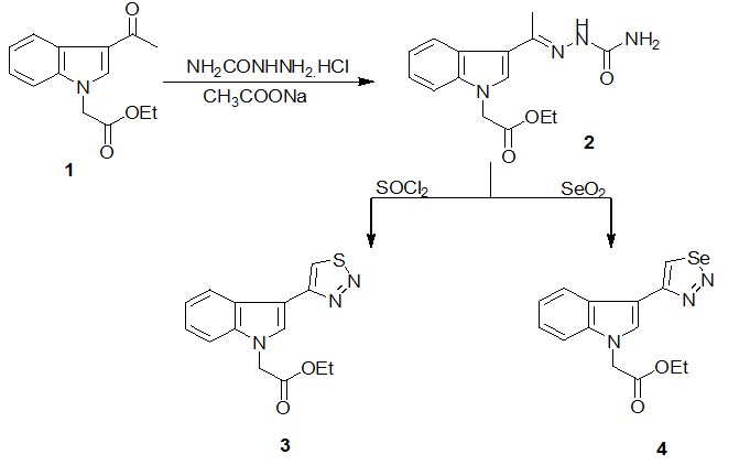
The synthetic routes of the target compounds are outlined in Schemes 1, 2, 3 and 4. Condensation of ethyl 2-(3-acetyl-1H-indol-1-yl) acetate (1) with semicarbazide hydrochloride in the presence of sodium acetate under reflux in absolute ethanol yielded the corresponding semicarbazone derivative 2, Scheme 1. 1H NMR spectrum of 2 revealed signals at δ 1.33 (t, CH3), 2.23 (s, CH3), 4.22 (q, CH2), 5.26 (s, CH2), 6.36 (s, NH exchangeable with D2O), 7.12-7.46 (m, 3H, Ar-H), 7.45 (s, indolyl H-2), 8.24 (d, indolyl H-4), 9.12 (s, NH2 exchangeable with D2O); Its 13C NMR revealed signals at δ 15.0 and 47.5 (2CH3), 61.4 (CH2), 110.4-144.2 (Ar-C), 157.7 and 169.2 (2C=O).

Scheme 1: Synthesis of 1, 2, 3-thiadiazole and 1, 2, 3-selenadiazole derivatives
Oxidative cyclization of compound 2 either with thionyl chloride or selenium dioxide led to the formation of ethyl 2-(3-(1, 2, 3-thiadiazol-4-yl)-1H-indol-1-yl)acetate (3) and ethyl 2-(3-(1, 2, 3-selenadiazol-4-yl)-1H-indol-1-yl)acetate (4), respectively, Scheme 1. 1H NMR of compounds 3 and 4 lacked the presence of singlet signals at δ 2.23, 6.36 and 9.12 ppm of compound 2 and revealed new singlet signals at 8.44 and 5.58 ppm due to thiadiazolyl H-5 and selenadiazolyl H-5, respectively.
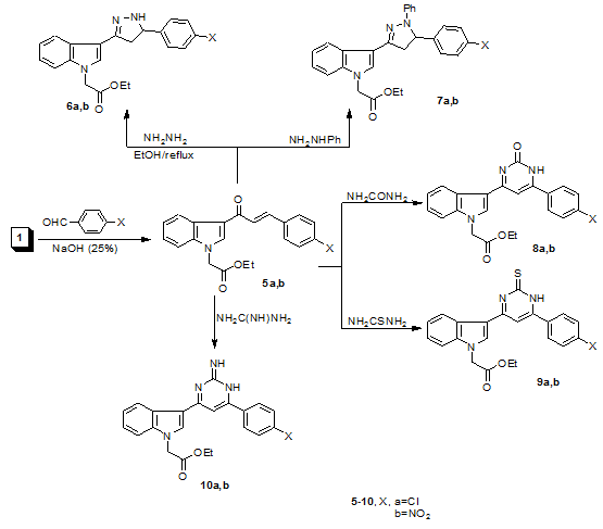
Reaction of 1 with 4-chloro and/or 4-nitrobenzaldehydes in ethanol and in the presence of aqueous potassium hydroxide 25 % at room temperature (Claisen-Schmidt reaction) furnished the corresponding α, β-unsaturated ketones 5a and 5b, respectively. Cyclocondensation the latter compounds either with hydrazine hydrate or phenyl hydrazine in the presence of glacial acetic acid as catalyst led to the formation of 4, 5-dihydro-1H-pyrazoles 6a, b and 4, 5-dihydro-1-phenylpyrazoles derivatives 7a, b, respectively, Scheme 2.
On the other hand, cyclocondensation of 5a and 5b either with urea or thiourea in the presence of glacial acetic acid as catalyst afforded 2-oxo-1H-pyrimidines 8a, b and 2-thioxo-1H-pyrimidines derivatives 9a, b, respectively. Also, cyclocondensation of 5a and 5b with guanidine hydrochloride in the presence of anhydrous sodium acetate yielded 2-imino-1H-pyrimidine derivatives 10a, b, Scheme 2.

Scheme 2: Synthesis of compounds 5a, b-10a, b
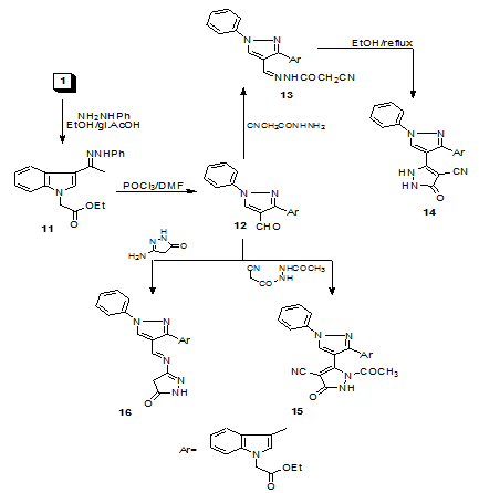
Acid catalyzed reaction of compound 1 with phenyl hydrazine afforded the corresponding hydrazone 11, which under Vilsmeier Haack formylation using 2.5 equivalent moles of Vilsmeier reagent (DMF/POCl3) preformed double addition of reagent on methyl group to afford ultimately after hydrolysis, the cyclized pyrazole-4-carboxaldehyde derivative 12, Scheme 3. Compound 12 was confirmed based on its correct elemental analysis, as well as spectral data besides its chemical reaction with 2, 4-dinitrophenyl hydrazine, which gave the reddish product (hydrazone) with MP: 140-2 °C. The IR spectrum of compound 12 showed strong absorption bands at 1705 cm-1 characteristic for the aldehydic group (C=O). It's 1H NMR spectrum lacked the singlet signal of CH3 protons of hydrazone 11 and revealed new singlet signal at 10.21 ppm for CHO proton besides characteristic singlet signal of pyrazolyl H-5 at 9.41 ppm. In addition, 13 C NMR spectrum revealed new signal at 184.6 ppm due to the aldehydic group (C=O). Mass spectrum of 12 showed molecular ion peaks at m/z: 373 [M+].
Condensation of 12 with 2-cyanoacetic acid hydrazide in glacial acetic acid under stirring at room temperature led to the formation of hydrazone 13 which on heating in absolute ethanol containing triethylamine as a catalyst yielded 4-cyano-2, 3-dihydro-3-oxo-1H-pyrazole derivative 14. On the other hand, reaction of 12 with 2'-acetyl-2-cyanoacetohydrazide under reflux in absolute ethanol and in the presence of triethylamine as a catalyst afforded 1-acetyl-4-cyano-2, 3-dihydro-3-oxo-1H-pyrazole derivative 15, Scheme 3. Moreover, acid catalyzed reaction of 12 with 3-amino-5-pyrazolone under reflux in absolute ethanol gave ethyl 2-(3-(4-(4, 5-dihydro-5-oxo-1H-pyrazol-3-ylimino)methyl)-1-phenylpyrazol-3-yl)-1H-indol-1-yl) acetate (16), Scheme 3.
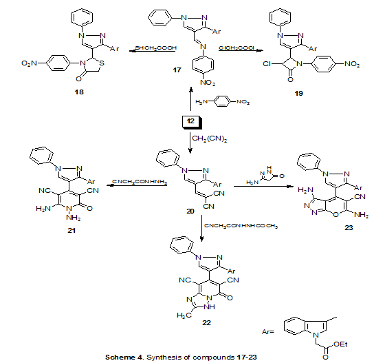
Acid catalyzed reaction of 12 with 4-nitroaniline yielded the corresponding Schiff base 17. Compound 17 reacted either with thioglycollic acid or chloroacetyl chloride in dry 1, 4-dioxane and gave 4-oxo-3-(4-nitrophenyl)thiazolidine 18 and 3-chloro-1-(4-nitrophenyl)-4-oxo-azetidine derivatives 19, respectively, Scheme 4. On the other hand, base catalyzed reaction of 12 with malononitrile afforded ethyl 2-(3-(4-(2, 2-dicyanovinyl)-1-phenylpyrazol-3-yl)-1H-indol-1-yl)acetate (20) Scheme 4.

Scheme 3: Synthesis of compounds 11-16

Scheme 4: Synthesis of compounds 17-23
Reaction of 20 with 2-cyanoacetic acid hydrazide in the presence of piperidine as catalyst yielded the cyclic 1, 6-diaminopyridine derivative 21, whereas, heating of 20 with 2'-acetyl-2-cyanoacetohydrazide under reflux in dry ethanol for 37 h led to the formation of fused system 1, 3, 4-triazolo(1, 5-a)pyridine derivative 22.
Finally, condensation of 20 with 3-amino-5-pyrazolone under reflux in absolute ethanol yielded the fused 3, 6-diamino-7H-pyrano (2, 3-c)pyrazole 23, Scheme 4.
In-vitro antiviral evaluation
The MDV infected CEF cell lines were used for evaluation of the in vitro antiviral effect of compounds 6a, b 7a, b 8a, b 9a, b and 10a, b. The results revealed that, compounds 7b, 8b, 9b as well as 10a showed effective antiviral activity with IC50 range of 5-6 µg/ml and substantial therapeutic indices (TI) of 80 and 83 were recorded, table 1. Cytotoxicity assay indicated that CC50 of 7b, 8b, 9b and 10 were greater than 400 and 500 mg/ml, table 1.
Table 1: CC50 and IC50 of tested compounds on CEF cell lines and their therapeutic indices (TI)
| Compound No. | CC50 | IC50 | TI |
| 6a | > 600 | ≤ 7 | 85 |
| 6b | > 600 | ≤ 7 | 85 |
| 7a | > 800 | ≤ 8 | 100 |
| 7b | > 500 | ≤ 6 | 83 |
| 8a | > 600 | ≤ 7 | 85 |
| 8b | > 400 | ≤ 5 | 80 |
| 9a | > 600 | ≤ 7 | 85 |
| 9b | > 500 | ≤ 6 | 83 |
| 10a | > 400 | ≤ 5 | 80 |
| 10b | > 600 | ≤ 7 | 85 |
CONCLUSION
A new series of 1, 2, 3-thiadiazole 3, 1, 2, 3-selenadiazole 4, pyrazoles 6a, b, 7a, b, pyrimidines 8a, b-10a, b, pyrazol-5-ones 14-16, thiazolidinone 18, aziditine 19, 1, 6-diaminopyridine 21, triazolo(1, 5-a)pyridine 22 and pyrano(2, 3-c)pyrazole derivatives 23, were prepared from ethyl 2-(3-acetyl-1H-indol-1-yl)acetate (1). The in vitro antiviral activity of compounds 6a, b 7a, b 8a, b 9a, b and 10a, b was studied against Marek's disease virus (MDV). Compounds 7b, 8b, 9b and 10a showed promising effect as anti-MDV infectivity application.
ACKNOWLEDGMENT
The authors are grateful to Functional Nanomaterials, Institute for Materials Science, Christian Albrechts University Kiel, Kaiserstrasse, Germany for carrying out NMR spectra.
CONFLICT OF INTERESTS
Declare None
REFERENCES
Cui ZZ, Zhang Z, Qin AJ, Lee LF. Analyzing the H19-and T65-epitopes in 38 kd phosphorylated proteinof Marek’s disease viruses and comparing chicken immunological reactions to viruses point mutated in the epitopes. Sci Chin C Life Sci 2004;47:82-6.
Gimeno IM. Marek’s disease vaccines: A solution for today but a worry for tomorrow? Vaccine 2008;26:C31-C41.
Bag P, Ojha D, Mukherjee H, Halder UC, Mondal S, Biswas A, et al. A dihydro-pyrido-indole potently inhibits HSV-1 infection by interfering the viral immediate early transcriptional events. Antiviral Res 2014;105:126-34.
Chen JJ, Wei Y, Drach JC, Townsend LB. Synthesis and antiviral evaluation of trisubstituted indole N-nucleosides as analogues of 2, 5, 6-trichloro-1-(β-D-ribofuranosyl) benzimidazole (TCRB). J Med Chem 2000;43:2449-56.
Olgen S, Altanlar N, Karatayli E, Bozdayi M. Antimicrobial and antiviral screening of novel indole carboxamide and propanamide derivatives. Z Naturforsch C 2008;63(3-4):189-95.
Giampieri M, Balbi A, Mazzei M, La Colla P, Ibba C, Loddo R. Antiviralactivity of indole derivatives. Antiviral Res 2009;83:179-85.
Mandour AH, El-Sawy ER, Shaker KH, Mustafa MA. Synthesis, anti-inflammatory, analgesic and anticonvulsant activities of 1, 8-dihydro-1-aryl-8-alkyl pyrazolo(3, 4-b) indole. Acta Pharm 2010;60:73-88.
Kaur J, Bhardwaj A, Huang Z, Knaus EE. N-1 and C-3 Substituted indole Schiff bases as selective COX-2 inhibitors: Synthesis and biological evaluation. Bioorg Med Chem Lett 2012;22:2154-9.
El-Sawy ER, Mandour AH, Khaled M, Islam IE, Abo-Salem HM. Synthesis, antimicrobial and anti-cancer activities of some new N-ethyl, N-benzyl and N-benzoyl-3-indolyl heterocycles. Acta Pharm 2012;62:157-79.
El-Sawy ER, Mandour AH, El-Hallouty SM, Shaker HS, Abo-Salem HM. Synthesis, antimicrobial and anticancer activities of some new N-methylsulphonyl and N-benzenesulphonyl-3-indolyl heterocycles. Arabian J Chem 2013;6:67-78.
El-Sawy ER, Bassyouni FA, Abu-Bakr SH, Rady HM, Abdlla MM. Synthesis and biological activity of some new 1-benzyl and 1-benzoyl 3-heterocyclic indole derivatives. Acta Pharm 2010;60:55-71.
Saundane AR, Vijaykumar K, Vaijinath AV, Walmik P. Synthesis, antimicrobial and antioxidant activities of some new indole derivatives containing pyridopyrimidine and pyrazolopyridine moieties. Med Chem Res 2013;22:806-17.
Estevao MS, Carvalho LC, Ribeiro D, Couto D, Freitas M, Gomes A Ferreira, et al. Antioxidant activity of unexplored indole derivatives: Synthesis and screening. Eur J Med Chem 2010;45:4869-78.
Naik N, kumar HV, Shubhavathi T. Synthesis and antioxidant evaluation of novel 5-methoxy indole analogues. Int J Curr Pharm Res 2011;3:109-13.
Ouyang G, Cai XJ, Chen Z, Song B, Bhadury PS, Yang S, et al.. Synthesis and antiviral activities of arylazole derivatives containing an oxime moiety. J Agric Food Chem 2008;56:10160-7.
El-Sabbagh OI, Baraka MM, Ibrahim SM, Pannecouque C, Andrei G, Snoeck R, et al. Synthesis and antiviral activity of new pyrazole and thiazole derivatives. Eur J Med Chem 2009;44:3746-53.
Wu L, Song B, Bhadury PS, Yang S, Hu D, Jin L. Synthesis and antiviral activity of novel pyrazole amides containing α-aminophosphonate moiety. J Hetero Chem 2011;48:389-96.
Vujasinović I, Paravić-Radičević A, Mlinarić-Majerski K, Brajša K, Bertoša B. Synthesis and biological validation of novel pyrazole derivatives with anticancer activity guided by 3D-QSAR analysis. Bioorg Med Chem 2012;20:2101-5.
Cobo J, Sánchez A, Nogueras M. Synthesis and antiviral evaluation of pyridine fused heterocyclic and nucleosidic derivatives. Tetrahedron 1997;53:8225-36.
Thirumurugan P, Mahalaxmi S, Perumal PT. Synthesis and anti-inflammatory activity of 3-indolyl pyridine derivatives through one-pot multi component reaction. J Chem Sci 2010;122:819-32.
Kassem EM, El-Sawy ER, Abd-Alla HI, Mandour AH, Abdel-Mogeed D, El-Safty M. Synthesis, antimicrobial and antiviral activities of some new 5-sulphonamido-8-hydroxyquinoline derivatives. Arch Pharm Res 2011;35:955-64.
Dragún M, Rada B, Novotný L, Beránek J. Antiviral activities of pyrimidine nucleoside analogues: Some structure activity relationships. Acta Virol 1990;34:321-8.
Selvam TP, James CR, Dniandev PV, Valzita SK. A mini review of pyrimidine and fused pyrimidine marketed drugs. Res Pharm 2012;2:1-10.
Muvvala V, Pramod D. An unusual and chemoselsective reduction of ester grouping in N-substituted-3-acetylindoles by sodium boron hydride. Lett Org Chem 2012;9:192-7.
Heibron I. Dictionary of organic compounds. 4thed. Oxford University Press: New York; 1965. p. 1374.
Graham G, Porter HD, Weissberger A. Synthesis and acylation of pyrazolines derived from hydrazine and methyl hydrazine. J Am Chem Soc 1949;71:983-8.
Callejo MJ, Lafuente P, Martin-Leon N, Quinteiro M, Seoane C, Soto JL. A convenient preparation of [1, 2, 4] triazolo [1, 5-a] pyridines from acetohydrazide derivatives: Synthetic and mechanistic aspects. J Chem Soc Perkin Trans 1 1990;1687-90.
Cox S, Buontempo PJ, Wright-Minogue J, De Martino JL, Skelton AM, Ferrari E, et al. Antipicorna virus activity of SCH 47802 and analogs in vitro and in vivo studies. Antiviral Res 1996;32:71-9.
Reed LJ, Muench H. Simple method of estimating 50 percent end point. Am J Trop Med Hygiene 1938;27:493-7.