
1Department of Pharmaceutics, Konkan Gyanpeeth Rahul Dharkar College of Pharmacy and Research Institute, Karjat, Maharashtra, India. 2Department of Drug Regulatory Affairs, Poona College of Pharmacy, Bharati Vidyapeeth University, Pune, Maharashtra, India. 3Sinhgad Institute of Pharmaceutical Science, Lonavala, Maharashtra, India. 4Faculty of Science, Charles University, Prague, Czechia. 5Department of Pharmaceutical Chemistry, Shri D. D. Vispute College of Pharmacy and Research Center, New Panvel, Maharashtra, India
*Corresponding author: Karıshma Waghmare; *Email: wkarishma7@rediffmail.com
Received: 08 Jan 2024, Revised and Accepted: 26 Mar 2024
ABSTRAC
Objective: The present investigation aimed to prepare a smilax china loaded nanoemulsion using tween 80 as a surfactant and propylene glycol as a co-surfactant. Formulation of such drugs in nanoparticulate drug delivery will be advantageous for reducing dosing frequency, longer residence time, improved permeation, and patient compliance.
Methods: High-speed homogenization method. The smilax china oil was prepared by collecting the extract of smilax china leaves into the coconut oil and then used as a solvent. The authentication studies of smilax china and coconut oil were evaluated for their organoleptic and physicochemical characteristics. The quantitative estimation and pre-formulation study of quercetin was carried out which has major anti-psoriatic properties. Surfactant and co-surfactant were selected and the solubility studies of oil and Surfactants were done. The nanoemulsion was characterized by particle size, polydispersity index, zeta potential, and entrapment efficiency (%).
Results: This nanoemulsion provides the particle size and entrapment efficiency range between 80.52 to 89.78 nm and 68.66 to 70.16 % respectively. Batch SC1 showed the lowest particle size, PDI, and optimized drug entrapment effectiveness (%), indicating good particle size consistency within the remaining formulation batches. The optimized formulation SC 1 was found to be stable for 90 d.
Conclusion: The formulated nanoemulsion showed significant antipsoriasis activity due to the presence of quercetin which has a rhetorical yield of 1.066 mg per 5 gm powder of smilax china leaves. Formulated smilax china-loaded nanoemulsion, has the potential as an effective antipsoriasis agent with a good spreading property with faster absorption which is beneficial for reducing drug concentration with maximum therapeutic effect.
Keywords: Smilax china, Tween80, High-speed homogenization method, Antipsoriatic, Nanoemulsion
© 2024 The Authors.Published by Innovare Academic Sciences Pvt Ltd. This is an open access article under the CC BY license (https://creativecommons.org/licenses/by/4.0/)
DOI: https://dx.doi.org/10.22159/ijpps.2024v16i5.50327 Journal homepage: https://innovareacademics.in/journals/index.php/ijpps
Psoriasis is a chronic, auto-immune, and recurrent inflammatory skin disorder that occurs when T-lymphocytes or T-cells attack healthy skin cells in both, the outer layer of the skin and the vascular layer [1]. Psoriasis is categorized into various types such as Plaque Psoriasis, Flexural Psoriasis, Pustular Psoriasis, Generalized Pustular Psoriasis (GPP), Palmoplantar Pustulosis, and Guttate Psoriasis. Amongst these, a common type is Plaque Psoriasis (psoriasis vulgaris) which affects around 85-90% of people [2-5]. Psoriasis can be classified into Mild (rashes), Moderate (scaly skin), and Severe (itchy) conditions. Various mediators are involved in the pathogenesis of psoriasis including Tumor Necrosis Factor-α (TNF-α), Interleukin-1 (IL-1), Interleukin-6 (IL-6), Interleukin-17 (IL-17) and Interleukin-22 (IL-22), etc, which are released when an immune cell passes from dermis to epidermis and these factors activate to keratinocytes which are the outermost layer of the skin [6-8] Hyperproliferation and abnormal differentiation of keratinocytes are responsible for the development of psoriasis [9]. Few therapies are used for the treatment of psoriasis. Treatment of psoriasis with the conventional formulation is considered to be inefficient because of its limitations such as low biocompatibility, inability to show target effect, and less absorption [10, 11]. A novel drug delivery system can complement these limitations to provide higher bioavailability and offer better therapy for psoriasis treatment via the topical route [12]. Skin irritation and toxicity are considered essential for the transdermal drug delivery system which can provide a target effect. Several technologies have been developed to enhance the efficacy and safety of topical drug therapy [13, 14]. Furthermore, the new drug strategy offers the opportunity to design new formulations for topical psoriasis therapy. By understanding these important things, the present study is focused on the preparation of nanocarrier-like nanoemulsion for anti-psoriasis treatment [15, 16]. Nanoemulsions are heterogeneous systems comprised of two immiscible liquids in which one liquid is dispersed as droplets in another liquid. Nanoemulsion is one of the valuable and reproducible dosage forms with the application of nanotechnology in pharmaceutical formulations and also this is a novel formulation for the topical delivery of drugs [17-20].
All the components like active drug molecules, surfactants, co-surfactants, and preparation techniques are commonly involved in nanoemulsion preparation. The high-speed homogenization method is efficient as it provides formulation with fine droplet size which is important for greater absorption [21, 22]. Surfactant like non-ionic surfactants amongst other surfactants, interacts potentially with albuminoid and lipids and enhances the permeation of the targeted molecule through the skin [23]. A wide variety of medicinal plants are useful in the treatment of a variety of different types of diseases [24]. Because of its high therapeutic effects, flavonoids are gradually rising as alternatives to conventional drugs for various diseases. The rhizome of the plant smilax china has a therapeutic value, as it is used in the treatment of various diseases such as rheumatism, gout, epilepsy, skin diseases, chronic nervous diseases, dyspepsia, colic, helminthiasis, psoriasis, and seminal weakness [25-30]. Smilax china also assists in the isolation of flavonoids like quercetin from the methanolic extract, which is present in the rhizome of smilax china [31, 32]. In this research, the smilax china-loaded nanoemulsion was prepared, characterized, and optimized.
Materials
The plant specimen for the proposed study was purchased from a commercial source in Assam, India. Tween 80 was procured from Loba Chemie Pvt. Ltd., Mumbai. Propylene glycol was procured from Loba Chemie Pvt. Ltd., Mumbai. Quercetin was purchased from Arkure Healthcare, Rohtak, Haryana. The grade of all other chemicals utilized were as analytical reagents.
Chemicals
Every chemical utilized in the investigation was of analytical grade. Acetone, propylene glycol, tween 80, carbon tetrachloride, toluene, sodium hydroxide, potassium dihydrogen phosphate, and ethanol were purchased from Loba Chemie Pvt. Ltd. Mumbai. Phenolphthalein, glacial acetic acid, and sodium thiosulphate were purchased from SD Lab Chemicals, Mumbai. Chloroform was purchased from Thermofiesher Scientific, Mumbai.
Selection of drugs and surfactants
Quercetin is the major antipsoriatic compound and is used as a biomarker in the study. It also restores skin barrier function. It shows anti-proliferate activity [33]. Tween 80 was selected as a surfactant that belongs to the nonionic class of surfactants and it was more effective in minimizing the mean droplet size compared to the polymer. Various combinations of Tween 80 with different co-surfactants were screened for the formation of nanoemulsion. Tween 80 was blended with each co-surfactant in fixed weight ratios (1:1, 2:1, 3:1).
Physicochemical characterization
Physicochemical evaluation of the smilax china and coconut oil extract was carried out.
Refractive index
The refractive index was calibrated against reference liquid with the help of Abbe’s refractometer (Labline stock center, Mumbai.) as shown in (table 1).
Table 1: Calibration against reference liquids
| S. No. | Reference liquid | ƞD20° |
| 1. | Distilled water | 1.3325 |
| 2. | Carbon tetrachloride | 1.4603 |
| 3. | Toluene | 1.4969 |
Determination of pH values
pH values were measured by using a pH meter (Electronics India). Before the readings pH meter was calibrated.
Determination of density
The density of the oils was determined by using the following formulae:
1. X(weight of oil) = A(weight of container with oil)–B(weight of empty container)
The above formula gives the mass of oils [34].
Density = 
Determination of saponification value
Dissolved 35 to 40 gm of potassium hydroxide in 20 ml water and added a sufficient amount of alcohol to make 1000 ml. Kept it overnight and pour off the clear liquor. Weighed it accurately about 2 gm of the substance in a tarred 250 ml flask, added 25 ml of alcoholic solution of potassium hydroxide, attached a reflux condenser, and boiled it in a water bath for an hour, frequently rotating the contents of the flask, cooled and added 1 ml of solution of phenolphthalein. Excess of alkali was titrated with 0.5 N hydrochloric acid. Noted the number of ml required (a). Repeated the experiment with the same quantities of the same reagents in the manner of omitting the substance. Noted the number of ml required (b). Calculated the saponification value from the following formula:
Saponification value = 
Where ‘W’ is the weight in grams of the substance, ‘b’ is the volume in ml of standard hydrochloric acid required for the blank, and ‘a’ is the volume in For the sample, ml of standard hydrochloric acid solution is needed [35].
Determination of acid value
Weighed accurately about 10 gm of oil into a 250 ml volumetric flask and added 50 ml of a mixture of equal volumes of alcohol and solvent ether. It was neutralized by adding 1 milliliter of phenolphthalein solution. Titrated the solution with 0.1 N potassium hydroxide, shaking constantly until a pink color, which persisted for fifteen seconds was obtained. Noted the number of ml required. Calculated the acid value from the following formula:
Acid value = 
Where ‘a’ is the number of ml of 0.1 N potassium hydroxide required and ‘W’ is the weight in gm of the oil taken [36].
Determination of peroxide value
Accurately weighed 5 gm of oil into a 250 ml glass-stoppered conical flask, added 30 ml of a mixture of 3 volumes of glacial acetic acid and 2 volumes of chloroform to it, swirled it until dissolved and added 0.5 volumes of saturated potassium iodide solution. Allowed the solution to stand for exactly 1 minute, with occasional shaking. Then 30 ml of water and titrated gradually with continuous and vigorous shaking until the blue color just disappeared (a). Repeated the operation omitting the oil being examined (b). The volume of 0.01 M sodium thiosulphate in the blank determination must not exceed 0.1 ml.
The peroxide value was calculated using the expression:
Peroxide value = 10 (a-b)/W
‘W‘ is the weight in gm of the oil, a titration volume of sample(ml), and ‘b’ titration volume of blank (ml).
Viscosity
The Smilax china oil and coconut oil were poured into the small-volume adaptor of the Viscometer (Fungi lab). The viscosities of both the oils were measured. The velocity was 100 rpm with the L1 spindle. Evaluations were conducted in triplicate.
Determination of drug content
In smilax china leaves
Quercetin was extracted utilizing a high-speed stirrer (Remi Electrotechnik Ltd., Mumbai, India) at 2000 rpm for 10 min after mixing 100 ml of methanol with 5 gm of smilax china leaves from the nearby region of maharashtra, india. The mixture was centrifuged for 75 min at 11,000 rpm and 2 °C temperature. The resultant supernatant was separated and scanned through a double-beam UV/Visible spectrophotometer (Shimadzu 1800, Japan) and absorbance was taken against methanol at λ max of 377 nm.
In smilax china oil
The smilax china oil was purchased from a standard ayurvedic store located in maharashtra. The drug content in smilax china oil was determined by the same method used for the determination of the drug content in smilax china leaves.
Pre-formulation studies of quercetin
Characterization of quercetin
Description
Smilax china includes many flavonoids, including quercetin. Quercetin is well known for its antioxidant qualities and has been investigated for significant health benefits [37-39]. Antioxidant characteristics may help protect skin cells from oxidative stress and damage. The sample of quercetin was analyzed for its nature, color, and physical properties.
Solubility study
Solubility test performed using water, methanol, dimethyl sulphoxide, and chloroform.
Melting point
The melting point was measured by introducing a small amount of substance in the small capillary attached to the thermometer's stem. Continuous heat was applied with assembly suspended in the Thiele’s tube containing a paraffin bath. The temperature at which the drug melting begins was noted as the melting point.
UV/Visible spectra
A drug solution of 10 μg/ml in distilled water and phosphate buffer (pH 7.4) was prepared and scanned by taking the appropriate solvent as blank and the UV spectrum was recorded in the range of 200-400 nm by using double beam UV/Visible spectrophotometer (Shimadzu 1800. Japan).
Construction of standard curve of quercetin
Standard curve of quercetin in methanol
The stock solution was prepared by dissolving 100 mg of the drug in 100 ml of methanol to get a 1000 μg/ml concentration. From the above solution, a second stock solution was prepared. 10 ml was removed and diluted suitably to 100 ml methanol to acquire a concentration of 100 μg/ml. The third stock solution prepared to dilute (0.1, 0.2, 0.3, 0.4, 0.5, 0.6, 0.7, 0.8, 0.9, and 1 ml) was removed and diluted suitably to 10 ml methanol to acquire the final concentration from 1 to 10 μg/ml. All the solutions were scanned through a double-beam UV/Visible spectrophotometer (Shimadzu 1800, Japan) and absorbance was taken against a blank of distilled water at λ max of 377 nm.
Standard curve of quercetin in phosphate buffer (pH 7.4)
The stock solution was prepared by dissolving 100 mg of the drug in 10 ml of methanol and 90 ml of phosphate buffer (pH 7.4) to get a 1000 μg/ml concentration solution. From the above solution, a second stock solution was prepared. 10 ml was removed and diluted suitably to 100 ml phosphate buffer to acquire a concentration of 100 μg/ml. The third stock solution prepared to dilute (0.1, 0.2, 0.3, 0.4, 0.5, 0.6, 0.7, 0.8, 0.9, and 1 ml) was removed and diluted suitably to 10 ml phosphate buffer to acquire the final concentration from 1 to 10 μg/ml. All the solutions were scanned through a double beam UV/Visible spectrophotometer (Shimadzu 1800, Japan) and absorbance was taken against a blank of phosphate buffer at λ max of 377 nm. The components required for the preparation of phosphate buffer (pH 7.4) are summarized in table 2.
Formulation studies
Preparation of nanoemulsion using pseudo ternary phase diagram
The advantage of using a pseudo-ternary plot for depicting compositions is that three variables can be conveniently plotted in a two-dimensional graph [40, 41]. The pseudo ternary phase diagram of oil, surfactant, and co-surfactant was constructed to obtain the components and their concentration ranges that can result in a large existing area of nanoemulsion. A selection of components for nanoemulsions suitable for pharmaceutical use involves a consideration of their toxicity and if the systems are to be used topical, their irritation and sensitivity properties. Anionic surfactants have been utilized in the formulation. Smilax china nanoemulsion was prepared by titration method using smilax china oil as an oil component, propylene glycol as co-surfactant tween 80 as surfactant, and distilled water as an aqueous phase. The oil phase was mixed with smilax china of a particular ratio, oil and smilax ratios (0-3:3-0) were taken in various ratios (1-9:9-1) and finally titrated with purified water was added to drug loaded internal phase in a dropwise manner under continuous stirring using high-speed homogenization (D-160, D-LAB, USA) (table 3).
Table 2: Compositions of phosphate buffer (PBS) pH 7.4
| S. No. | Ingredients | Quantity |
| 1. | Sodium hydroxide flakes | 8.0 gm |
| 2. | Potassium dihydrogen phosphate | 27.218 gm |
| 3. | Distilled water | 1000 ml |
Table 3: Different proportions of formulation components for formation of nanoemulsion.
| Smilax china: oil | Smilax china (ml) | Oil(ml) | S: CoS(1:1) | S: CoS(1:1:5) | S: CoS(1:2) | Water (ml) | Total | |||
| Tween80 | PG | Tween80 | PG | Tween80 | PG | |||||
| 1:1 | 10 | 10 | 05 | 05 | 04 | 06 | 03.35 | 06.70 | 90 | 100 |
| 1:1:3 | 15 | 20 | 07.50 | 07.50 | 06.00 | 09.00 | 05.00 | 10.00 | 70 | 100 |
| 15 | 20 | 07.50 | 07.50 | 06.00 | 09.00 | 05.00 | 10.00 | 100 | 100 | |
| 1:1:5 | 20 | 30 | 10.00 | 10.00 | 08.00 | 12.00 | 06.70 | 13.40 | 50 | 100 |
| 20 | 30 | 10.00 | 10.00 | 08.00 | 12.00 | 06.70 | 13.70 | 90 | 100 |
Formulation of preliminary batches of smilax china nanoemulsion
Smilax china-loaded nanoemulsions were prepared by a high-speed homogenization technique. To prepare the nanoemulsion, Water, and smilax china (1:2) were mixed and kept for stirring under the high-speed homogenizer (D-160, D-LAB, USA) at 4000 rpm. Then the prepared smilax china oil was dropped by using a syringe (26 gauges) with a constant speed (0.5 ml/min) into the above mixture. The mixture was homogenized using a high-speed homogenizer (D-160, D-LAB, USA) for 20 min at 4000 rpm after the complete addition of coconut oil.
Optimization of nanoemulsion
Nanoemulsions were evaluated for particle size, zeta potential, and polydispersity index characteristics. Considering the amount and solubility of the drug to be incorporated in the nanoemulsion for the formulation selection. The final composition of the nanoemulsion was optimized based on particle size, zeta potential, and polydispersity index characteristics.
Nanoemulsion optimization chart
As discussed above following chart has been used to capture the compositional observations concerning various levels of Oil: Smilax china: Water proportion in the nanoemulsion system (table 8).
Characterization of preliminary batches of smilax china nanoemulsion
Particle size, polydispersity index, and zeta potential measurements
The mean particle size and polydispersity index for the formulation were determined by nanoparticle Analyzer SZ-100 (Horiba Scientific, Japan) [42-45]. The zeta potential was determined by a laser doppler anemometer coupled with a nanoparticle analyzer SZ-100 (Horiba Scientific, Japan) [46-48]. All experiments were done in triplicate.
Formulation and characterization of final batches of smilax china nanoemulsion
Formulation and characterization of final batches of smilax china nanoemulsion were obtained by performing the same method used in preliminary batches of smilax china nanoemulsion.
Particle size, polydispersity index, and zeta potential measurements
Particle size, polydispersity index, and zeta potential of the final batch of smilax china nanoemulsion were measured by performing the same method used in preliminary batches of smilax china nanoemulsion.
Determination of drug entrapment efficiency (%)
The smilax china nanoemulsion (10 ml) was mixed with 100 ml methanol. The mixture was stirred for 10 min at 1000 rpm using a high-speed stirrer (Remi Elektrotechnik Ltd Vasai, India). Then the stirred mixture was centrifuged at 11,000 rpm at 2 °C using the cooling centrifuge instrument (C30 PLUS Remi, Mumbai, India)) for 75 min. The supernatant was separated; the absorbance was measured for the free drug content using a UV/Visible spectrophotometer at 377 nm (Shimadzu 1800, Japan). The entrapment efficiency of the smilax china nanoemulsion was determined by subtracting the free drug amount from the initial added amount of the drug. The entrapment efficiency (EE %) of all batches was calculated by using the following equation [49].

Optimization of nanoemulsion
The formulation of smilax china nanoemulsion containing different percentages of oil, surfactant cosurfactant mixture, and water was tabulated in (table 8). Nanoemulsions were evaluated for particle size, zeta potential, and polydispersity index characteristics. The final composition of the nanoemulsion was optimized based on Particle size, zeta potential, and polydispersity index characteristics. The batch with the smallest particle size was considered an optimized batch.
Stability assessment
Accelerated stability studies were carried out on an optimized smilax china nanoemulsion according to International Conference on Harmonization (ICH) guidelines [50, 51]. Sufficient replicates of the optimized nanoemulsions were kept at 40 °C±2 °C and 75%±5% RH. These were placed in a humidity chamber at 40 °C±0.5 °C and 75%±5% RH. Samples were withdrawn at 0, 30, 60, and 90 d. The samples were evaluated for particle size, polydispersity index, and zeta potential.
Primary studies of prepared smilax China oil
Determination of drug content
Theoretical yield
5 gm powder of smilax china leaves contains 1.066 mg quercetin.
Practical yield
5 gm powder of smilax china leaves contains 0.903 mg quercetin. 5 gm powder of smilax china oil contains 0.784 mg quercetin.
Pre-formulation studies
Characterization of quercetin
Description
Smilax china includes many flavonoids, including quercetin [52]. Quercetin is well known for its antioxidant qualities and has been investigated for significant health benefits [53, 54]. Antioxidant characteristics may help protect skin cells from oxidative stress and damage. The sample of quercetin was analyzed for its nature, color, and physical properties.
Solubility study
Quercetin was freely soluble in methanol, soluble in dimethyl sulfoxide and chloroform, and practically insoluble in water.
Melting point
The melting point was observed in the range between 148-153 °C which complies with that given in the literature i.e., 149-153 °C. The melting point was observed in triplicate and the average value was taken.
Table 4: Organoleptic characteristics of smilax china and coconut oil
| S. No. | Parameter | Observation | |
| Smilax china oil extract | Coconut oil | ||
| 1. | Color | Dark pink | Pale yellow |
| 2. | Smell | Pleasant smell | Pleasant smell |
| 3. | Touch | Oily | Oily |
Table 5: Physicochemical characteristics of smilax china and coconut oil
| S. No. | Reference liquid | ȠD20° | Observed ƞD |
| 1. | Distilled water | 1.33 | 1.32 |
| 2. | Carbon tetrachloride | 1.46 | 1.46 |
| 3. | Toluene | 1.49 | 1.33 |
The data represented as mean (n=3)
Table 6: Parameters and observations of smilax china oil and coconut oil
| S. No. | Parameter | Observation | |
| Smilax china oil | Coconut oil | ||
| 1. | Refractive index | 1.32 | 1.33 |
| 2. | pH value | 6.48 | 6.90 |
| 3. | Density | 0.83 | 0.75 |
| 4. | Saponification value | 187.86 | 194.94 |
| 5. | Acid value | 1.17 | 1.00 |
| 6. | Peroxide value | 0.80 | 1.98 |
Evaluations were conducted in triplicate. The viscosity of smilax china oil and coconut oil was observed as mean±SD; 56.46±2.32, 138.96±1.42, and 35.4±1.80 cp respectively.
UV/Visible spectra
A prepared drug solution was scanned for UV absorption in the range of 200-400 nm by using double double-beam UV/Visible spectrophotometer (1800, Shimadzu, Japan) [55, 56]. The spectrum was recorded, which showed absorbance maxima (λ max) of 377 nm for methanol and Sorenson’s PBS (pH 7.4). (fig. 1)
Construction of standard curve of quercetin
Standard curve of quercetin in methanol
The standard curve of the drug in methanol at λmax 377 nm was plotted by recording the absorbance of solutions depicted in table 4 of different concentrations. The Beers and Lamberts range was found to be in the range of 20-200 µg/ml.
Standard curve of quercetin in simulated tear fluid (pH 7.4)
The standard curve of the drug in Sorenson’s phosphate buffer solution (pH 7.4) at λ max 377 nm was plotted by recording the absorbance of solutions depicted in table 7 of different concentrations. The Beers and Lamberts range was found to be in the range of 20-200 µg/ml.
Formulation and characterization study
Formulation of preliminary batches of smilax china nanoemulsion
Screening, selection, and optimization of oil and surfactant
From the visual inspection, it was observed that quercetin showed maximum solubility in coconut oil, tween 80, and propylene glycol as well as low solubility in castor oil and PEG 400.

Fig. 1: Scanning graph showing λmax of quercetin
Table 7: Absorbance data of quercetin in methanol and Sorenson’s phosphate buffer solution (pH 7.4)
| S. No. | Concentrations (µg/ml) | Absorbance | |
| In methanol at 377 nm(mean±sd) | In PBS pH 7.4 at 377 nm(mean±sd) | ||
| 1. | 0 | 0 | 0 |
| 2. | 20 | 0.078+0.012 | 0.102+0.002 |
| 3. | 40 | 0.154+0.002 | 0.108+0.003 |
| 4. | 60 | 0.216+0.003 | 0.149+0.003 |
| 5. | 80 | 0.281+0.002 | 0.192+0.004 |
| 6. | 100 | 0.312+0.002 | 0.237+0.007 |
| 7. | 120 | 0.358+0.002 | 0.298+0.003 |
| 8. | 140 | 0.456+0.004 | 0.328+0.004 |
| 9. | 160 | 0.535+0.002 | 0.371+0.004 |
| 10. | 180 | 0.596+0.003 | 0.429+0.005 |
| 11. | 200 | 0.669+0.004 | 0.486+0.004 |
N=3

Fig. 2: Absorbance data of quercetin in methanol and phosphate buffer solution, a: Standard curve of quercetin in methanol. quercetin obeys beer-lamberts law in the range of 20-200 µg/ml and shows λmax 377 nm in simulated tear fluid, b: Standard curve of quercetin in Sorenson’s phosphate buffer solution (ph 7.4). quercetin obeys beer-lamberts law in the range of 20-200 µg/ml and shows λmax 377 nm in simulated tear fluid (pH 7.4)
Selection of oil and surfactant by solubility studies
Quercetin shows solubility in various oils and surfactants. Quercetin showed maximum solubility in coconut oil (10.00±0.002 mg/g) and minimum solubility in castor oil (5.12±0.0001 mg/g). Among surfactants, it showed maximum solubility in tween 80 (19.061±0.002 mg/g) and propylene glycol (8.4±0.0026). Quercetin showed minimum solubility in PEG 400 (2.503±0.0026 mg/g).
Visual Inspection of miscibility of selected surfactant with co-surfactant
Among surfactants, tween 80 has having highest solubility, followed by propylene glycol. Further, for the selection of co-surfactant, tween 80, PEG 400, and propylene glycol were screened for miscibility. Propylene glycol was selected as a co-surfactant, as it shows more miscibility with tween 80.
Development of pseudo-ternary phase diagram
Characterization of primary batches of smilax china nanoemulsion
The particle size of primary batches of smilax china nanoemulsion
The appearance of a bluish opalescence color in nanoemulsion revealed that the formulation was in the nanometer range [57, 58]. The particle size of the smilax china formulation was found with the help of nanoparticle size analyzer SZ-100 (Horiba Scientific, Japan) in the range between 82.58 nm to 90.36 nm.

Fig. 3: Pseudo ternary phase diagram(SC): 9.00%, 9.00%, and 81.00% concentration of smilax oil, and water, respectively shown in SC 1. 20.00%, 17.00%, and 63.00% concentration of smilax oil and water respectively shown in SC 2. 29.00%, 25.31% and 45.69% concentration of smilax oil and water respectively shown in SC 3

Fig. 4: a) Particle size of the primary size of the batch of sc1 = 82.58±9.2 (nm), b) particle size of the primary size of the batch of sc2 = 87.31±14.7(nm), c) particle size of the primary size of the batch of sc3 = 90.36±19.6 (nm)
Zeta potential of primary batches of smilax china nanoemulsion
The zeta potential is an important index of the stability of nanoemulsion because it quantifies the electrostatic barriers, which could prevent the nanoparticle from aggregation and agglomeration; higher positive or negative zeta potential values causes higher repulsive forces where electrostatic repulsion between particles with the same charges which avoid aggregation of the particle and thus confirms easy dispersion [59-64]. The zeta potential values of all formulations were found with the help of zeta sizer nano ZEN2600 (Malvern, UK) between-15.76 mV and-22.97 mV.
The Zeta potential of the optimized batch was found to be-15.76 mV, with negative zeta potential due to the negative surface charge of the surfactant tween 80 and co-surfactant propylene glycol. All other SC formulations showed negative zeta potential (fig. 5).

Fig. 5: Graphical representation of zeta potential (mV) of primary batches of SC. a) Zeta potential of primary batch of SC1 =-15.76±3.30 (mV), b) Zeta potential of primary batch of SC2 =-18.22±1.50 (mV), c) Zeta potential of primary batch of SC3 =-22.97±3.12 (mV)
Polydispersity ındex of primary batches of smilax china nanoemulsion
The Polydispersity index (PDI) values indicate the particle size distribution [65-67]. It offers a degree of particle size distribution [68]. It also suggests the stabilization of formulation. Its value range from 0.01 to 0.5 demonstrates a narrow size distribution, while PDI above 0.7 indicates a very broad size distribution. The Polydispersity Index of the formulations varies from 0.26 to 0.43. The optimized nanosuspension (SC 1) provides 0.26 PDI.
The PDI of all batches was found below 0.5, which suggests that narrow size distribution of particles. The result shows PDI was increased as there was an increase in oil content (fig. 6).

Fig. 6: Graphical representation of polydispersity Index of primary batches of SC, The data represented as mean (n=3)
Table 8: Physicochemical characterization of primary smilax china loaded nanoemulsions
| Formulation code | Formulation variables | Formulation response | ||||
| Oil % | Smilax % | Water ℅ | Particle size (nm) (mean±sd) |
Polydispersity index (mean±sd) |
Zeta potential (mV) (mean±sd) |
|
| SC 1 | 9.09 | 9.09 | 81.82 | 82.58±9.2 | 0.26±0.01 | -15.76±3.30 |
| SC 2 | 17.00 | 20.00 | 63.00 | 87.31±14.7 | 0.37±0.06 | -18.22±1.50 |
| SC 3 | 25.31 | 29.00 | 45.69 | 90.36±19.6 | 0.43±0.04 | -22.97±3.12 |
The data represented as mean±sd (n=3)
Characterization of final batches of smilax china nanoemulsion
Particle size, polydispersity index, and zeta potential measurements
Particle sizes of final batches of smilax china nanoemulsion
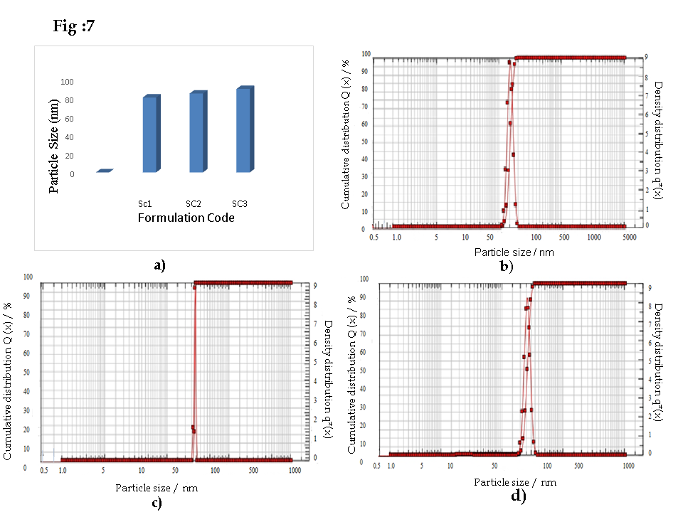
The appearance of a bluish opalescence color in nanoemulsion revealed that the formulation was in the nanometer range. The particle size of the smilax china formulation was found with the help of nanoparticle size analyzer SZ-100 (Horiba Scientific, Japan) which was between 80.52 nm to 89.78 nm. The result showed that the formulation SC 1 having the least oil content showed the smallest particle size, hence it was considered an optimized batch. All batches showed a small mean size (below 10 nm) (fig. 7).
Zeta potentials of final batches of smilax china nanoemulsion
The zeta potential values of all formulations were found in between-16.16 mV to-26.37 mV. The Zeta potential of the optimized batch was found to be-16.16 mV, negative zeta potential due to the negative surface charge of the surfactant tween 80 and co-surfactant propylene glycol. All other SC formulations showed negative zeta potential (fig. 8).

Fig. 7: Graphical representation of particle size (nm) of final batches of SC, b): Particle size 80.52±6.8 (nm) of a final batch of SC1, b): particle size 84.82±11.3 (nm) of a final batch of SC2, c): particle size 89.78±14.7 (nm) of a final batch of SC3

Fig. 8: Graphical representation of zeta potential (mV) of final batches of SC. a) Zeta potential of the final batch of SC1 =-16.16±1.70 (mV), b) Zeta potential of a final batch of SC2 =-18.39±4.18 (mV), c) Zeta potential of a final batch of SC3 =-26.37±6.03 (mV)
Polydispersity index of final batches of smilax china nanoemulsion
The optimized nanosuspension (SC 1) provides 0.36 PDI. The PDI of all batches was found below 0.5, which suggests that narrow size distribution of particles. The result shows that increase in oil content, there was an increase in PDI.
Drug entrapment efficiency (%) of final batches of smilax china nanoemulsion
Drug Entrapment efficiency (%) of the Smilax china-loaded formulations was found to be between 68.66 % to 70.16 %. All batches showed that increasing the amount of oil there is an increase in the drug entrapment efficiency (%). The optimized formulation (SC1) showed 68.66 % drug entrapment efficiency (fig. 10).
Optimization of nanoemulsion
As the smallest particle size was observed of SC 1 (1.52 nm), it is considered the optimized batch.
Stability assessment
The optimized batch SC 1 was assessed for its stability for 3 mo, as per ICH guidelines. The Formulation was evaluated for its particle size and zeta potential at intervals of 0 d, 30 d, 60 d, and 90 d.

Fig. 9: Graphical representation of PDI of final batches of SC, a) PDI of SC1 = 0.36±0.04, b) PDI of SC2 = 0.40±0.11, c) PDI of SC3 = 0.48±0.19 respectively. The data represented as mean±sd (n=3)

Fig. 10: Graphical representation of entrapment efficiency (%) of final batches of SC. The data represented as mean (n=3)

Fig. 11: Particle size determination for stability assessment, a) Particle size = 80.52 nm at the time interval of 0 d, b) Particle size = 80.58 nm at the time interval of 30 d, c) Particle size = 81.36 nm at the time interval of 60 d, d) Particle size = 82.36 nm at the time interval of 90 d

Fig. 12: a)Zeta potential is 26.37 mV at the time interval 0 d, b)Zeta potential is-17.80mV at the time interval 30 d, c) Zeta potential is-13.68mV at the time interval 60 d, d) Zeta potential is-13.68mV at the time interval 90 d
Zeta potential determination for stability assessment
Hence, The optimized formulation SC 1 was found to be stable for 90 d.
Enhancement of penetration and permeation is the main requirement for the design of a new drug delivery system for the transdermal route, which shows quick effect [69, 70]. The high-speed homogenization method was used for the preparation of nanoemulsion by using smilax china oil, tween 80, and propylene glycol. It was essential to select the suitable type and proper concentration of surfactant and cosurfactant. Non-ionic surfactants were less affected by changes in pH and ionic strength. Non-ionic surfactants are mostly used in nanoemulsion for transdermal drug delivery because of their low toxicity and compatibility with various ingredients. In this study, visual inspection and solubility of quercetin were performed by using various surfactants and oils. From this analysis, quercetin showed maximum solubility in tween 80 and coconut oil. Tween 80 was selected as a surfactant that belongs to the non-ionic class of surfactants and it was more effective in minimizing the mean droplet size compared to polymers. Whereas various co-surfactants were screened for miscibility with selected surfactants. Tumor necrosis factor-alpha (TNF-α) is a strong pro-inflammatory cytokine that plays a role in the pathogenesis of chronic inflammatory diseases. Psoriatic plaques have a large amount of TNF-α which is one of the key factors for the development of inflammation in psoriasis. Quercetin is indicated to have an ability to regulate immune response as it acts to prevent TNF-α production and gene expression. Therefore, quercetin acts as an anti-TNF-α agent [71]. By understanding this, further study of quercetin was carried out. The obtained melting point of quercetin complies with the melting point given in the literature. Studies have demonstrated that our values of absorption maxima, standard curve, and calibration curve of drug solution were following the standard range. This study presents that in smilax china oil, quercetin has antipsoriatic properties. One of the valuable properties that has a direct effect on the long-term stability, texture, and optical appearance of emulsions is the droplet size. The smaller particle size of the formulation is mainly considered an important factor for transdermal drug delivery. In this study, various factors were considered during the preparation of the smilax-loaded nanoemulsion.
The high-speed homogenization method which is convenient and efficient as compared to low-energy emulsification, because of its limitation as it provides less energy, was applied to overcome the obstacles and limitations of the conventional formulation [72]. In this technique, a homogenizer provided high energy to the mixture which was kept in it to lower the particle size. Reduction of particle size was obtained by increasing homogenization speed. The polydispersity index is a parameter used to define the particle size distribution. Characterization of primary and final batches of prepared nanoemulsion for particle size and polydispersity index showed the small particle size and narrow particle size distribution. In this research, The observations that batch SC1 showed the lowest particle size, PDI, and the optimized result of drug entrapment efficiency (%) indicate good uniformity of particle size among the various formulation batches. Zeta potential is the most commonly employed to predict the stability of nanoemulsions by measuring the surface charge of droplets. The evaluated primary and final batches had negative zeta potential. Zeta potential results supported that nanoemulsion is mainly stabilized by the electrostatic repulsion generated between the same negatively charged droplets. The stability assessment of the optimized batch was further studied, which indicates that the formulation was found to be stable for 90 d. Thus, the present study established nanoemulsion formulation provides better absorption and permeation into the skin.
Psoriasis is a condition in which skin cells build up and form scales and itchy, dry patches. According to the World Psoriasis Day Consortium, among the 125 million people worldwide, 2 to 3 percent of them have psoriasis. Several works have been done to formulate various formulations from the smilax china plant because of its tremendous therapeutic actions. This Present Study of smilax china loaded stable nanoemulsion with particle size between 82.58 nm to 90.36 nm was formulated by high-speed homogenization method, which was demonstrated for their antipsoriasis activity. The 5 gm extract of smilax china oil was mixed with 100 ml of methanol and this mixture was treated with a high-speed stirrer for the extraction of quercetin. This extracted compound was further characterized by solubility, melting point, and UV/visible spectra. This study illustrated that emulsification time, oil surfactant mixing ratio, and surfactant concentration had significant effects on nanoemulsion droplet diameter and stability. Surfactant concentration had an indirect relation with nanoemulsion droplet diameter along with a direct relation with nanoemulsion stability. The formulated nanoemulsion showed significant antipsoriasis activity due to the presence of quercetin which has a rhetorical yield of 1.066 mg per 5 gm powder of smilax china leaves. The optimized formulation SC 1 was found to be stable for 90 d. Formulated smilax china-loaded nanoemulsion, has the potential as an effective antipsoriasis agent with a good spreading property with faster absorption, which is beneficial for reducing drug concentration with maximum therapeutic effect.
Nil
Tumor Necrosis Factor-α-(TNF-α), Polydispersity Index-(PDI), Smilax china-(SC), Interleukin-1-(IL-1)
Study conception-AM, KW, SB; Design-AM, KW, Data collection-KW, VB, PK analysis, and interpretation of results-AM, VB, and manuscript draft and writing-VB, AM, KW.
The authors declare no conflicts of interest.
Di Meglio P, Villanova F, Nestle FO. Psoriasis. Cold Spring Harb Perspect Med. 2014 Aug 1;4(8):a015354:a015354. doi: 10.1101/cshperspect.a015354, PMID 25085957, PMCID PMC4109580.
Raharja A, Mahil SK, Barker JN. Psoriasis: a brief overview. Clin Med (Lond). 2021;21(3, May):170-3. doi: 10.7861/clinmed.2021-0257, PMID 34001566.
Langley RG, Krueger GG, Griffiths CE. Psoriasis: epidemiology, clinical features, and quality of life. Ann Rheum Dis. 2005;64Suppl 2:ii18-24. doi: 10.1136/ard.2004.033217, PMID 15708928.
Kamiya K, Kishimoto M, Sugai J, Komine M, Ohtsuki M. Risk factors for the development of psoriasis. Int J Mol Sci. 2019;20(18, Sep):4347. doi: 10.3390/ijms20184347, PMID 31491865.
Karmacharya P, Chakradhar R, Ogdie A. The epidemiology of psoriatic arthritis: a literature review. Best Pract Res Clin Rheumatol. 2021;35:101692. doi: 10.1016/j.berh.2021.101692, PMID 34016528.
Antony A, Tillett W. Diagnosis, classification, and assessment in psoriatic arthritis. Best Pract Res Clin Rheumatol. 2021 Jun;35(2):101669. doi: 10.1016/j.berh.2021.101669, PMID 33839045.
Bhutani T, Liao W, Nakamura M, editors. Evidence-based psoriasis. Updates in clinical dermatology. Berlin: Springer International Publishing; 2018. doi: 10.1007/978-3-319-90107-7.
Rajguru JP, Maya D, Kumar D, Suri P, Bhardwaj S, Patel ND. Update on psoriasis: a review. J Family Med Prim Care. 2020;9(1):20-4. doi: 10.4103/jfmpc.jfmpc_689_19. PMID 32110559.
Petit RG, Cano A, Ortiz A, Espina M, Prat J, Muñoz M. Psoriasis: from pathogenesis to pharmacological and nano-technological-based therapeutics. Int J Mol Sci. 2021 May 7;22(9):22(9):4983. doi: 10.3390/ijms22094983, PMID 34067151.
Man AM, Orasan MS, Hoteiuc OA, Olanescu Vaida-Voevod MC, Mocan T. Inflammation and psoriasis: a comprehensive review. Int J Mol Sci. 2023 Nov 8;24(22):16095. doi: 10.3390/ijms242216095, PMID 38003284.
Lee HJ, Kim M. Challenges and future trends in the treatment of psoriasis. Int J Mol Sci. 2023 Aug 28;24(17):13313. doi: 10.3390/ijms241713313, PMID 37686119, PMCID PMC10487560.
Armstrong AW, Read C. Pathophysiology, clinical presentation, and treatment of psoriasis: a review. JAMA. 2020 May 19;323(19):1945-60. doi: 10.1001/jama.2020.4006, PMID 32427307.
Vincent N, Ramya DD, Vedha HB. Progress in psoriasis therapy via novel drug delivery systems. Dermatol Reports. 2014 Sep 8;6(1):5451. doi: 10.4081/dr.2014.5451, PMID 25386329, PMCID PMC4224007.
Ufimtseva MA, Popov AA, Fedotova LV, Mylnikova ES, Bochkarev YuM, Zhunisova DS. Psoriasis and metabolic syndrome: a review. Obes Metabol. 2020 Dec 25;17(4):369-74. doi: 10.14341/omet12517.
Iriventi P, Guota N. Nanotechnology in management of psoriasis: a focus on herbal therapy. Indo Am J Pharm Res. 2017;7(1):7417-27. doi: 10.5281/zenodo.1006782.
Jufrı M, Iswandana R, Wardani DA, Malık SF. Formulatıon of red fruit oil nanoemulsion using sucrose palmitate. Int J App Pharm. 2022 Sep 7:175-80. doi: 10.22159/ijap.2022v14i5.44314.
Mohamad HS, Wenli S, Qi C. Tremendous health benefits and clinical aspects of Smilax china. Afr J Pharm. 2019 Oct 31;13(16):253-8. doi: 10.5897/AJPP2019.5070.
Tripathi D, Srivastava M, Rathour K, Rai AK, Wal P, Sahoo J. A promising approach of dermal targeting of antipsoriatic drugs via engineered nanocarriers drug delivery systems for tackling psoriasis. Drug Metab Bioanal Lett. 2023;16(2):89-104. doi: 10.2174/2949681016666230803150329, PMID 37534794.
Khan I, Nisar M, Ebad F, Nadeem S, Saeed M, Khan H. Anti-inflammatory activities of sieboldogenin from smilax china linn.: experimental and computational studies. J Ethnopharmacol. 2009;121(1):175-7. doi: 10.1016/j.jep.2008.10.009. PMID 19007873.
Peng J, Dong WJ, Li L, Xu JM, Jin DJ, Xia XJ. Effect of high-pressure homogenization preparation on mean globule size and large-diameter tail of oil-in-water injectable emulsions. J Food Drug Anal. 2015;23(4):828-35. doi: 10.1016/j.jfda.2015.04.004, PMID 28911501.
Kim WB, Jerome D, Yeung J. Diagnosis and management of psoriasis. Can Fam Physician. 2017 Apr;63(4):278-85. PMID 28404701, PMCID PMC5389757.
Marzano AV, Derlino F, Berti EF. Pathogenesis of psoriasis: focus on autoinflammation. Dermatopathology (Basel). 2018 Feb 2;5(1):14-5. doi: 10.1159/000486304, PMID 29719825, PMCID PMC5920958.
Boulton DW, Walle UK, Walle T. Extensive binding of the bioflavonoid quercetin to human plasma proteins. J Pharm Pharmacol. 1998 Feb;50(2):243-9. doi: 10.1111/j.2042-7158.1998.tb06183.x, PMID 9530994.
Labouta HI, el-Khordagui LK, Kraus T, Schneider M. Mechanism and determinants of nanoparticle penetration through human skin. Nanoscale. 2011 Dec;3(12):4989-99. doi: 10.1039/c1nr11109d, PMID 22064944.
Jakka V, Gayatrıramyamunagala DSP Patnala, R Kuruba. Nanosuspensıons: a strategy to increase the solubility and bioavailability of poorly water-soluble drugs. Asian J Pharm Clin Res. 2023;16(5):33-40. doi: 10.22159/ajpcr.2023.v16i5.46617.
Sumathi R, Tamizharasi S, Sivakumar T. Formulatıon and evaluation of polymeric nanosuspension of naringenin. Int J App Pharm. 2017;9:60. doi: 10.22159/ijap.2017v9i6.21674.
Hirlekar SDS, Bhairy S, Bhairy S, Hirlekar R, Hirlekar R. Preparatıon and characterization of oral nanosuspension loaded with curcumin. Int J Pharm Pharm Sci. 2018;10:90. doi: 10.22159/ijpps.2018v10i6.22027.
Kilor V, Sapkal N, Daud A, Humne S, Gupta T. Development of stable nanosuspension loaded oral films of glimepiride with improved bioavailability. Int J App Pharm. 2017;9(2, Mar):28. doi: 10.22159/ijap.2017v9i2.16714.
Purkayastha HD, Hossian SKI. Nanosuspensıon: a modern technology used in drug delıvery system. Int J Curr Pharm Sci. 2019 May:1-3. doi: 10.22159/ijcpr.2019v11i3.34098.
Singh D, Shrivastava S, Murthy C, Singh M, Pradhan M. Skin autoimmune disorders: lipid biopolymers and colloidal delivery systems for topical delivery. Sci Pharm. 2016;11(1):257-96. doi: 10.1016/B978-0-323-42868-2.00011-5.
Velraj M, Vijayalaxmi A, Ravichandiran V, Jayakumari S, Malarkodi V, Nirmala S. Screening of flavonoid ”quercetin” from the rhizome of smilax china linn. for antipsoriatic activity. Asian Pac J Biomed. 2012;5:269-75. doi: 10.1016/s2221-1691(12)60021-5.
Wang M, Bai QX, Zheng XX, Hu WJ, Wang S, Tang HP. Smilax china L.: a review of its botany, ethnopharmacology, phytochemistry, pharmacological activities, actual and potential applications. J Ethnopharmacol. 2024 Jan 10;318(B):116992. doi: 10.1016/j.jep.2023.116992, PMID 37541403.
Gardouh AR, Faheim SH, Noah AT, Ghorab MM. Influence of formulation factors on the size of nanostructured lipid carriers and nanoemulsions prepared by high shear homogenization. Int J Pharm Pharm Sci. 2018 Apr 1;10(4):10(4):61. doi: 10.22159/ijpps.2018v10i4.23142.
Ledet G, Pamujula S, Walker V, Simon S, Graves R, Mandal TK. Development and in vitro evaluation of a nanoemulsion for transcutaneous delivery. Drug Dev Ind Pharm. 2014;40(3):370-9. doi: 10.3109/03639045.2012.763137. PMID 23600657.
Srivastava R. A review on phytochemical, pharmacological, and pharmacognostical profile of wrightia tinctoria: adulterant of kurchi. Pharmacogn Rev. 2014;8(15):36-44. doi: 10.4103/0973-7847.125528, PMID 24600194.
Ghosh V, Saranya S, Mukherjee A, Chandrasekaran N. Cinnamon oil nanoemulsion formulation by ultrasonic emulsification: investigation of its bactericidal activity. J Nanosci Nanotechnol. 2013;13(1):114-22. doi: 10.1166/jnn.2013.6701, PMID 23646705.
Habibvand M, Yousefi M, Ahmed SA, Hassanzadeh H. Formulation of nanoemulsion carriers containing pennyroyal (Mentha pulegium) and Gijavash (Froriepia subpinnata) essential oils for enriching doogh (Iranian dairy drink). IET Nanobiotechnol. 2023 Apr;17(2):80-90. doi: 10.1049/nbt2.12106. PMID 36478175, PMCID PMC10116015.
Wang Y, Zheng Y, Zhang L, Wang Q, Zhang D. Stability of nanosuspensions in drug delivery. J Control Release. 2013;172(3, Dec):1126-41. doi: 10.1016/j.jconrel.2013.08.006, PMID 23954372.
Goel S, Sachdeva M, Agarwal V. Nanosuspension technology: recent patents on drug delivery and their characterizations. Recent Pat Drug Deliv Formul. 2019;13(2):91-104. doi: 10.2174/1872211313666190614151615, PMID 31203813.
Arora D, Khurana B, Rath G, Nanda S, Goyal AK. Recent advances in nanosuspension technology for drug delivery. Curr Pharm Des. 2018;24(21):2403-15. doi: 10.2174/1381612824666180522100251, PMID 29788880.
Casula L, Pireddu R, Cardia MC, Pini E, Valenti D, Schlich M. Nanosuspension-based dissolvable microneedle arrays to enhance diclofenac skin delivery. Pharmaceutics. 2023 Sep 9;15:2308. doi: 10.3390/pharmaceutics15092308, PMID 37765277.
Pınar SG, Oktay AN, Karakucuk AE, Celebi N. Formulation strategies of nanosuspensions for various administration routes. Pharmaceutics. 2023 May 5;15:1520. doi: 10.3390/pharmaceutics15051520, PMID 37242763.
Patel VR, Agrawal YK. Nanosuspension: an approach to enhance solubility of drugs. J Adv Pharm Technol Res. 2011 Apr 02;2:81-7. doi: 10.4103/2231-4040.82950, PMID 22171298.
Chin WW, Parmentier J, Widzinski M, Tan EH, Gokhale R. A brief literature and patent review of nanosuspensions to a final drug product. J Pharm Sci. 2014;103:2980-99. doi: 10.1002/jps.24098, PMID 25099918.
Bhat M, Pukale SS, Singh S, Mittal A, Chitkara D. Nano-enabled topical delivery of anti-psoriatic small molecules. Journal of Drug Delivery Science and Technology. 2021 Apr 1;62. doi: 10.1016/j.jddst.2021.102328.
Wu H, Wang Y, Zhang B, Li YL, Ren ZX, Huang JJ. Smilax glabra Roxb.: a review of its traditional usages, phytochemical constituents, pharmacological properties, and clinical applications. Drug Des Devel Ther. 2022;16:3621-43. doi: 10.2147/DDDT.S374439, PMID 36277602.
Zuccari G, Alfei S. Development of phytochemical delivery systems by nano-suspension and nano-emulsion techniques. Int J Mol Sci. 2023;24:9824. doi: 10.3390/ijms24129824, PMID 37372971.
Azimullah S, Vikrant, Sudhakar C, Kumar P, Patil A, Usman MR. Nanosuspensions as a promising approach to enhance bioavailability of poorly soluble drugs: an update. J Drug Delivery Ther. 2019;9(2):574-82. doi: 10.22270/jddt.v9i2.2436.
Jacob S, Nair AB, Shah J. Emerging role of nanosuspensions in drug delivery systems. Biomater Res. 2020;24:3. doi: 10.1186/s40824-020-0184-8, PMID 31969986.
Karthick G, Akiladevi D, Ahamed MI. A comprehensive review of a new nanosuspension for improving the oral bioavailability of poorly soluble drugs. J Pharm Res Int. 2022;24:16-21. doi: 10.9734/jpri/2022/v34i20B35828.
Budhrani AB, Sahu KG, Lote SB, Deshmukh MP, Wankhede SB, Khobragade DS. Nanosuspension: a modern approach in drug delivery system-a review. Int J Res Pharm Sci. 2020 Dec;11(SPL4):1526-30. doi: 10.26452/ijrps.v11iSPL4.4333.
Hirlekar SDS, Bhairy S, Bhairy S, Hirlekar R, Hirlekar R. Preparation and characterization of oral nanosuspension loaded with curcumin. Int J Pharm Pharm Sci;10(6):90-6. doi: 10.22159/ijpps.2018v10i6.22027.
Poulose P, Shreej K. Formulation and in vitro evaluation of mebendazole nanoemulsion containing oregano essential oil. Int J Curr Res 2017;9(6):52601-10.
Jain R, Rajput S. Development of pharmacognostical parameters and estimation of quercetin using HPTLC in leaves of nelumbo nucifera gaertn. Pharmacogn J. 2012;4(34):31-7. doi: 10.5530/pj.2012.34.6.
Akinola AA, Ahmad S, Maziah M. Total antioxidant capacity, total phenolic compounds and the effects of solvent concentration on flavonoid content in curcuma longa and curcuma xanthorhhiza rhizomes. Med Aromat Plants 2014;3:2. doi: 10.4172/2167-0412.1000156.
Patel R, Joshi J. An overview on nanoemulsion: a novel approach. Int J Pharm Sci Res. 2012;3(12):4640-50. doi: 10.13040/IJPSR0975-82323(12)4640-50.
Alam MS, Ali MS, Alam N, Siddiqui MR, Shamim M, Safhi MM. In vivo study of clobetasol propionate loaded nanoemulsion for topical application in psoriasis and atopic dermatitis. Drug Invent Today. 2013;5(1):8-12. doi: 10.1016/j.dit.2013.02.001.
Ngan CL, Basri M, Lye FF, Fard Masoumi HR, Tripathy M, Karjiban RA. Comparison of process parameter optimization using different designs in nanoemulsion-based formulation for transdermal delivery of fullerene. Int J Nanomedicine. 2014 Sep 15;9:4375-86. doi: 10.2147/IJN.S65689, PMID 25258528, PMCID PMC4172124.
Anand S, Kumar KR. Design, development and optimisation of carvedilol microemulsion by pseudoternary phase diagram and central composite design. Int J Res Pharm Sci. 2020;11(4):6619-32. doi: 10.26452/ijrps.v11i4.3569.
Shaker DS, Ishak RAH, Ghoneim A, Elhuoni MA. Nanoemulsion: a review on mechanisms for the transdermal delivery of hydrophobic and hydrophilic drugs. Sci Pharm. 2019;87(3):2-34. doi: 10.3390/scipharm87030017.
K Gurpret, SK Singh. Review of nanoemulsion formulation and characterization techniques. Indian J Pharm Sci. 2018;80(5). doi: 10.4172/pharmaceutical-sciences.1000422.
Kulawik Pioro A, Miastkowska M. Polymeric gels and their application in the treatment of psoriasis vulgaris: a review. Int J Mol Sci. 2021;22(10):5124. doi: 10.3390/ijms22105124, PMID 34066105.
Laila L, Candra A, Permata YM, Prasetyo BE. The influence of catharanthus roseus (l.) g. don. ethanol extract in clove oil nanoemulsion: physical characterization, antioxidant and antibacterial activities. Int J App Pharm. 2023;15(3):254-60. doi: 10.22159/ijap.2023v15i3.47138.
Sunil Dhoot A, Naha A, JuhiPriya JJ, NehaXalxo NN. Phase diagrams for three component mixtures in pharmaceuticals and its applications. JYP. 2018;10(2):132-7. doi: 10.5530/jyp.2018.10.31.
Jyothi SL, Krishna KL, Ameena Shirin VK, Sankar R, Pramod K, Gangadharappa HV. Drug delivery systems for the treatment of psoriasis: current status and prospects. J Drug Deliv Sci Technol. 2021;62(Apr):102364. doi: 10.1016/j.jddst.2021.102364.
Gomes GS, Frank LA, Contri RV, Longhi MS, Pohlmann AR, Guterres SS. Nanotechnology-based alternatives for the topical delivery of immunosuppressive agents in psoriasis. Int J Pharm. 2023;631(Jan):122535. doi: 10.1016/j.ijpharm.2022.122535, PMID 36566826.
Parmar PK, Sharma N, Wasil Kabeer S, Rohit A, Bansal AK. Nanocrystal-based gel of apremilast ameliorates imiquimod-induced psoriasis by suppressing inflammatory responses. Int J Pharm. 2022;622:121873. doi: 10.1016/j.ijpharm.2022.121873, PMID 35640806.
Ramanunny AK, Wadhwa S, Kumar Singh S, Kumar B, Gulati M, Kumar A. Topical non-aqueous nanoemulsion of Alpinia Galanga extract for effective treatment in psoriasis: in vitro and in vivo evaluation. Int J Pharm. 2022;624:121882. doi: 10.1016/j.ijpharm.2022.121882, PMID 35671853.
Laurindo LF, de Carvalho GM, de Oliveira Zanuso B, Figueira ME, Direito R, de Alvares Goulart R. Curcumin-based nanomedicines in the treatment of inflammatory and immunomodulated diseases: an evidence-based comprehensive review. Pharmaceutics. 2023;15:229. doi: 10.3390/pharmaceutics15010229, PMID 36678859.
Casula L, Pireddu R, Cardia MC, Pini E, Valenti D, Schlich M. Nanosuspension-based dissolvable microneedle arrays to enhance diclofenac skin delivery. Pharmaceutics. 2023 Sep 13;15(9):2308. doi: 10.3390/pharmaceutics15092308, PMID 37765277, PMCID PMC10536216.
Wang M, Bai QX, Zheng XX, Hu WJ, Wang S, Tang HP. Smilax china L.: a review of its botany, ethnopharmacology, phytochemistry, pharmacological activities, actual and potential applications. J Ethnopharmacol. 2024 Jan 10;318(B):116992. doi: 10.1016/j.jep.2023.116992, PMID 37541403.
Joo JH, Han MH, Kim JI, Kim JE, Jung KH, Oh HS. Antimicrobial activity of Smilax china L. root extracts against the acne-causing bacterium, cutibacterium acnes, and its active compounds. Molecules. 2022 Nov 29;27(23):8331. doi: 10.3390/molecules27238331, PMID 36500424, PMCID PMC9736125.