
1Department of Biochemistry, New Prince Shri Bhavani Arts and Science College, Medavakkam, Chennai-100, India. 2Department of Biochemistry, Sri Ramachandra Institute of Higher Education and Research, Sri, Ramachandra University, Porur, Chennai-116, India
*Corresponding author: Chitra Selvarajan; *Email: drchitrabiochemnpsb@gmail.com
Received: 05 Jan 2024, Revised and Accepted: 08 Feb 2024
ABSTRAC
Objective: Chalcones and their derivatives display a wide range of pharmacological activities. This study examined the effects of AM114, a boronic-chalcone derivative, on human THP-1-derived macrophages with and without interleukin-1β (IL-1β) stimulation.
Methods: AM114 and Aspirin-treated THP-1-derived macrophages underwent activation with or without interleukin-1β. The IC50 concentrations of AM114 and Aspirin were determined through an MTT test. Apoptosis was measured using various techniques, including staining with acridine orange/Ethidium bromide, Hoechst 33342, and rhodamine 123 assays. Caspase-3 activity was measured using the spectrofluorimetric technique, while DNA fragmentation was assessed via agarose gel electrophoresis. Pro-inflammatory cytokines such as interleukin-6 (IL-6) and chemokines like interleukin-8 (IL-8) were measured using enzyme-linked immunosorbent assays.
Results: AM114 and Aspirin showed dose-dependent cytotoxic effects on THP-1 macrophages. Induction of apoptosis was detected in AM114-treated THP-1 macrophages activated with IL-1β compared to macrophages without IL-1β. The gradation of dye uptake, membrane blebbing, increased caspase-3 activity, and DNA fragmentation ensures the induction of apoptosis, which indicates the cell's morphological changes, biochemical processes, and mitochondrial activity. Treating AM114 in IL-1β-activated THP-1 macrophages significantly reduced pro-inflammatory cytokines (IL-6) and chemokines (IL-8), suggesting its anti-cytokine potential in inflammatory diseases.
Conclusion: The study results emphasize that AM114 could act as an anti-inflammatory agent by triggering apoptosis and reducing the release of cytokines and chemokines in inflammatory conditions. As a result, it may be used as a therapeutic option for inflammatory diseases.
Keywords: Inflammation, THP-1 derived macrophages, Apoptosis, Caspase-3, Pro-inflammatory cytokines
© 2024 The Authors. Published by Innovare Academic Sciences Pvt Ltd. This is an open access article under the CC BY license (https://creativecommons.org/licenses/by/4.0/)
DOI: https://dx.doi.org/10.22159/ijpps.2024v16i3.50391 Journal homepage: https://innovareacademics.in/journals/index.php/ijpps
Inflammation is a vital part of the complex biological response of body tissues to various harmful stimuli. It is crucial in advancing many diseases, such as bacterial sepsis, cardiovascular diseases, and rheumatoid arthritis (RA) [1, 2]. One of inflammation's most important soluble mediators is interleukin-1β (IL-1β), a potent pro-inflammatory cytokine produced by blood monocytes that mediates a wide range of reactions involved in acute-phase responses. Monocytes and macrophages play a central role in both, contributing to the final consequence of chronic inflammation, represented by the loss of tissue function due to fibrosis. Activated macrophages are the vital inflammatory cells that play an essential role in inflammatory diseases by secreting pro-inflammatory cytokines such as IL-1β, tumor necrosis factor (TNF)-α, and interleukin-6 (IL-6) [3]. Therefore, targeting macrophage-mediated inflammatory responses is needed to develop a novel therapeutic approach against inflammatory conditions.
The ubiquitin-proteasome pathway has a central role in the selective degradation of intracellular proteins. Among the critical proteins modulated by the proteasome are those regulating inflammatory processes. Consequently, proteasome inhibition is a potential treatment option for cancer and inflammatory conditions. Thus far, proof of principle has been obtained from studies in numerous animal models for various human diseases, including inflammatory conditions such as rheumatoid arthritis, asthma, multiple sclerosis, psoriasis, and cancer.
A recent study investigated the biological activity of benzamide-derived triazole-linked chalcones and their pyrazoline derivatives [4]. Aspirin or acetylsalicylic acid (ASA), is a nonsteroidal anti-inflammatory drug effective in treating fever, pain, and inflammation in the body. It inhibits the proteasome function in RA and induces abnormalities in mitochondria, which play a critical role in the stimulation of apoptotic signals and anti-inflammatory responses [5].
Chalcones and their derivatives are precursors of flavonoids and isoflavonoids abundantly present in edible plants. It displays a wide range of pharmacological activities, such as antimalarial, anticancer, antiprotozoal (antileishmanial and antitrypanosomal), anti-inflammatory, antibacterial, antifilarial, antifungal, antimicrobial, larvicidal, anticonvulsant, and antioxidant. AM114 (3,5-Bis-[benzylidene-4-boronic acid]-1-methylpiperidin-4-one), a boronic-chalcone derivative, exhibits potent anticancer activity through inhibition of the proteasome on the human HCT 116 colon cancer cell line [6]. However, no study has reported the cytotoxic effect of AM114 on THP-1-derived macrophages. Thus, the present study aimed to examine the effects of AM114, a boronic-chalcone derivative, on human THP-1-derived macrophages with and without interleukin-1β (IL-1β) stimulation. THP-1 monocyte cell lines are used to mimic primary monocyte-derived macrophages. The IL-1β proinflammatory cytokine is used as a stimulant to mimic the inflammatory condition in rheumatoid arthritis (RA).
Chemicals and reagents
Roswell Park Memorial Institute Medium (RPMI) 1640, 10% fetal calf serum (FCS), 25 mmol 4-(2-hydroxyethyl)-1-piperazine ethane sulfonic acid (HEPES), two mmol L-glutamine, MTT [3-(4,5-dimethylthiazol-2-yl)-2,5-diphenyl tetrazolium bromide], and EnzChek® Caspase-3 Assay Kit were purchased from Invitrogen, EU. Penicillin, streptomycin, kanamycin, and fungizone were obtained from Himedia (Mumbai, India). AM114 was procured from Tocoris Biosciences, MO, USA. The following reagents were sourced from Sigma Aldrich (MO, USA): agarose, Tris Triton X-100 EDTA (TTE), sodium chloride (NaCl), isopropanol, ethanol, dimethyl sulfoxide (DMSO), Rhodamine 123, and Hoechst 33342. Human THP-1 monocyte cells were obtained from the esteemed National Centre for Cellular Sciences (NCCS) in Pune, India. Human recombinant IL-1β (rh IL-1β) was purchased from RandD Systems (MN). Human IL-6 and IL-8 ELISA kits were procured from Krishgen Biosystems (Mumbai, India). Other reagents and chemicals were of the highest purity.
Cell culture
Human THP-1 monocytes were suspended at 2 ×105/ml to 1×106/ml in RPMI 1640 media containing 10 % fetal calf serum. To differentiate THP-1 monocytes to macrophages the cell suspensions 1×105/ml were plated in RPMI 1640 media with 10% FCS, 5% human serum containing L-glutamine 2 mmol/l, HEPES 25 mmol, L-glutamine 2 mmol, penicillin 100 IU/ml, streptomycin 100 mg/ml, kanamycin 20µg/ml, fungizone 20 µg/ml at 37 °C with 5% CO2.
MTT assay
To assess the toxicity of AM114 and Aspirin on THP-1 cells, the cell viability was measured by 3-(4,5-dimethylthiazol-2-yl)-2,5-diphenyl tetrazolium bromide (MTT) assay method [7]. Determining the IC50 values for THP-1-derived macrophage viability in culture was a prerequisite that was carried out in a 96-well plate. Plates were seeded with 103 cells/ml of cells and treated with 0-5.0 µmol of AM114 or 0-10,000 µmol of Aspirin in triplicate. The viability of cells after 24 h was determined using MTT (10 µl) reagent and incubated further for four h. Dimethyl sulphoxide (100 µl) solubilization was done, and absorbance was measured with a microtiter plate reader (FLUO STAR OPTIMA BMG LABTECH) at 650 nm. Percent viability was calculated as (OD of drug-treated sample/control OD) × 100.
In vitro cell stimulation treatment
Adhered cells cultured in RPMI, 10% FCS with 5% human serum were pretreated with AM114 and Aspirin for 45 min and then stimulated with human IL-1β (10 ng/ml) for 24 h. The induction of apoptosis in AM114 and Aspirin-treated macrophages with or without IL-1β stimulation for 24 h were observed using (i) Acridine orange/Ethidium bromide (AO/EtBr) fluorescence staining, (ii) Hoechst 33342 assay and (iii) Rhodamine 123 assay.
Qualitative measurement of apoptosis
Acridine orange/Ethidium bromide (AO/EtBr) staining method
The efficacy of AM114 and Aspirin on apoptosis in THP-1 cells was determined by AO/EtBr dual staining [8]. After 24 h of drug treatment, cell media was removed and washed twice with PBS. 1 µl of dye mixture (100 mg/ml acridine orange (AO) and 100 mg/ml ethidium bromide (EtBr) in distilled water) was added per well and incubated for 1 min at room temperature. After staining, the cells were observed under an inverted phase contrast fluorescent microscope at ×200 magnifications (Nikon Eclipse, USA) with an excitation filter at 480 nm.
Hoechst 33342 staining method
Hoechst 33342 was employed to label both intact and apoptotic nuclei. The changes in the nucleus were detected by Hoechst 33342 staining assay [9]. Cells were seeded onto 24 well plates at a density of 1×105 cells/well. Following treatment, the cells were washed in ice-cold phosphate-buffered saline (PBS; pH 7.4), fixed with 4% (w/v) paraformaldehyde, and incubated with (10 mg/ml) Hoechst 33342 for 3 min at room temperature. Condensed and fragmented nuclei were evaluated by intercalating the fluorescent probe into nuclear DNA. The stained nuclei were visualized in blue channel fluorescence with an inverted phase contrast fluorescent microscope at ×200 magnifications.
Measurement of mitochondrial membrane potential by Rhodamine 123 efflux assay
The changes in mitochondrial membrane potential were measured by Rhodamine 123 staining assay [9]. For the Rhodamine 123 assay, the culture medium was discarded after 24 h of drug treatment, and the cells were washed twice with 1 ml PBS. The cells were fixed in 4% formaldehyde and incubated for 20 min at room temperature. After incubation, the plates were washed with methanol, followed by PBS. The Rhodamine 123 stain (1 mg/10 ml) was added and incubated at room temperature for 20 min. After incubation, cells were rinsed with methanol to remove the excess stain and washed with PBS. The mitochondrial depolarization patterns of drug-treated and control cells under an inverted phase contrast fluorescent microscope at ×200 magnifications were observed with excitation and emission wavelengths of 505 nm and 534 nm, respectively.
Quantitative measurement of apoptosis
Caspase-3 activity assay
According to the manufacturer's protocol, the caspase-3 activity was measured using the EnzChek Caspase-3 Assay Kit. Briefly, the cells 1×105 cells/tube were lysed for 10 min on ice in 50 µl of the lysis buffer provided by the manufacturer. After centrifugation (5000 g at four °C for 5 min), 50 µl lysates were incubated with caspase-3 substrate at 37 °C for 30 min. Fluorescence was measured in a fluorescence microplate reader (HYBRID MULTIMODE) using an excitation/emission wavelength of 496/520 nm.
Measurement of DNA damage by DNA fragmentation method
The DNA damage caused by apoptosis was analysed by DNA fragmentation by agarose gel electrophoresis [10]. The THP-1 cells' genomic DNA was extracted by adding 0.5 ml of lysis buffer (TTE solution), incubated for 1.5 h at 37 ℃ then centrifuged at 10,000 rpm/4 ℃/10 min. The supernatant was discarded, 0.5 ml of TTE solution was added, followed by 100 µl NaCl and vortexed. Then 0.7 ml of isopropanol and 0.1 ml 5 M NaCl were added. Tubes were incubated overnight at-20 ℃ then centrifuged at 10,000 rpm/RT/15 min. Afterward, the DNA pellets were rinsed by adding 500 µl of ice-cold 70% ethanol and centrifuged at 10,000 rpm for 10 min at four ℃. The DNA pellets were dissolved by adding 20-50 µl of Tris EDTA (TE) solution. Ten microliters of DNA samples were mixed with 3 µl loading buffer/lane and were run on 1% agarose gel to determine the DNA damage levels. After electrophoresis, the gel was stopped, and the DNA was photographed under GelDoc System (UVP).
Measurement of IL-6 and IL-8
The cells were plated into six-well plates and treated with AM114 and Aspirin for 45 min. After pretreatment, the cells were treated with IL-1β for 24 h. The IL-6 and IL-8 in culture supernatants were detected by enzyme-linked immunosorbent assay (ELISA) following the manufacturer’s instructions.
Statistical analysis
The experiments were carried out in triplicate, and the data were expressed as mean±standard error mean (SEM). The IC50 values were calculated using Graph pad Prism 6 software. A one-way analysis of variance (ANOVA) was calculated to compare the experimental groups using Graph Pad Instat 3 software.
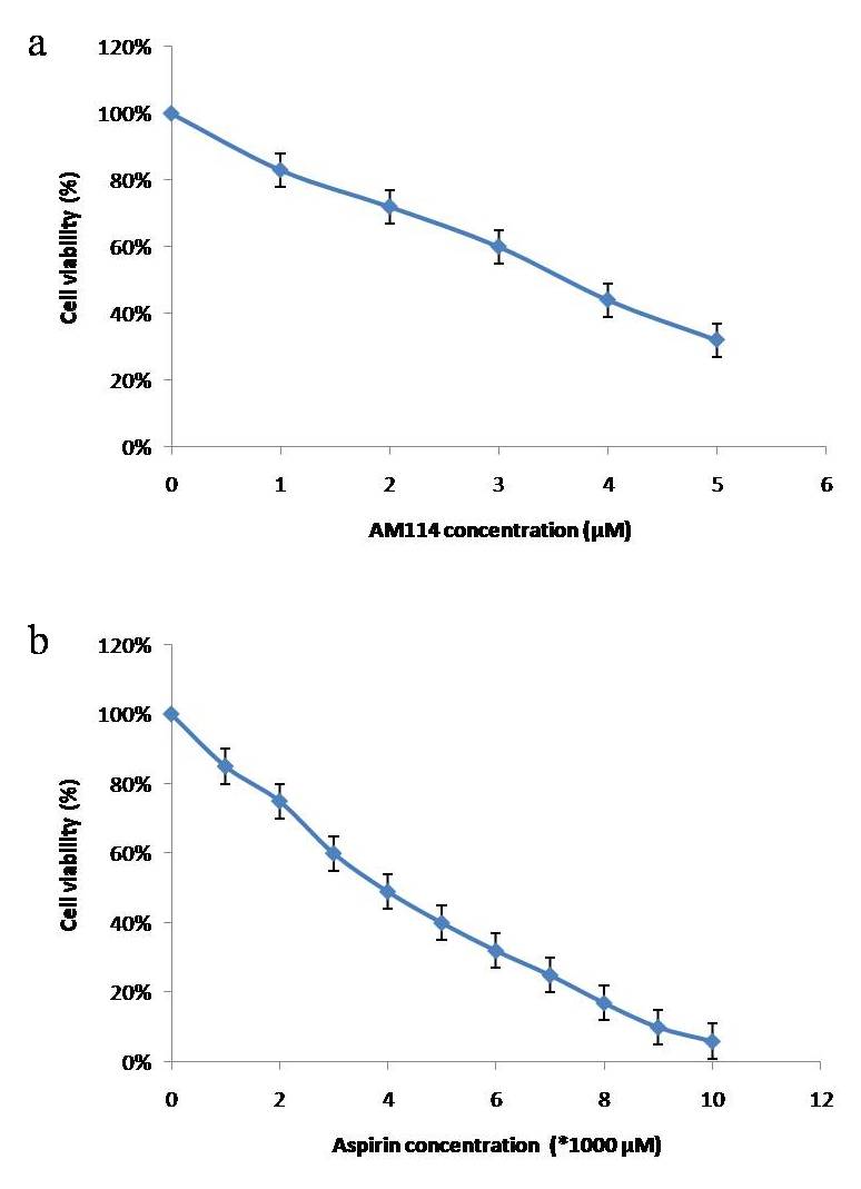
Cytotoxic effects of AM114 and aspirin on THP-1 cells
The study aimed to assess the influence of AM114 and Aspirin on the viability of macrophages derived from THP-1 cells. Cells were incubated for 24 h with different AM114 concentrations, ranging from 0 to 5 µmol, and Aspirin concentrations, ranging from 0 to 10,000 μmol, and cell viability was determined by MTT assay. As seen in fig. 1a and 1b, a dose-dependent decrease in cell viability was observed. The mean IC50 of these dose-response studies for AM114 and Aspirin were 3.6 µmol and 3900 μmol, respectively.
Induction of apoptosis by AM114 on THP-1-derived macrophages
Fig. 2 shows the fluorescence staining of the AO/EtBr assay. The fluorescence images revealed that the cells stained green represent viable cells, whereas yellow staining depicts early apoptotic cells, and reddish or orange staining embodies late apoptotic cells. In control, uniformly green live cells with standard and large nuclei were observed (fig. 2a). The macrophages stimulated with IL 1β alone did not show any apoptotic changes (fig. 2d). Whereas in AM114 and Aspirin-treated cells, yellow, orange, and red staining was observed to a lesser extent (fig. 2b and 2c) when compared to the drug-treated IL-1β stimulated macrophages (fig. 2e and 2f). The increased apoptosis was found to occur in AM114 with stimulation than in Aspirin with stimulation (fig. 2e and fig. 2f). The characterization of the cell death induced by AM114 and Aspirin was further examined with the use of a fluorescent DNA binding agent Hoechst 33342. These findings demonstrate that AM114 and Aspirin significantly induced apoptosis in stimulated THP-1-derived macrophages.

Fig. 1: MTT assay on THP-1 derived macrophages. Cytotoxic effect of (a) AM114 (IC50:3.6 μmol) and (b) Aspirin (IC50: 3900 μmol) on THP-1 cells. Data represented as mean±SEM n=3

Fig. 2: AO/EtBr assay on THP-1 derived macrophages. Fluorescence microscopy images of THP-1 derived macrophages exposed to AM114 (IC50: 3.6 μmol) and Aspirin (IC50: 3900 μmol) for 45 min followed by stimulation with and without IL-1β (10 ng/ml) for 24 h. The panel of images shows AO/EtBr staining for induction of apoptosis. Top panel: without IL-1β (a) Control (b) AM114 (c) Aspirin. Bottom panel: with IL-1β (d) Control (e) AM114 (f) Aspirin. Scale: 10 μm
Staining the nucleus with blue fluorescence Hoechst33342 showed the induction of apoptosis upon treatment of cells with AM114 and Aspirin with or without stimulation for 24h (fig. 3). The unstimulated THP-1 derived macrophages illustrated normal cell morphology (fig. 3a). In contrast clear induction of apoptosis was observed in AM114 and Aspirin-treated cultured macrophages (fig. 3b and fig. 3c). The cells processed with IL-1β alone did not induce apoptosis of macrophage cells (fig. 3d). The increased apoptotic characteristics such as membrane blebbing, fragmented nucleus, and condensed chromatin and apoptotic bodies were found to occur in AM114 with stimulated cells when compared to Aspirin with stimulation (fig. 3e and fig. 3f).

Fig. 3: Hoechst 33342 assay on THP-1 derived macrophages. Fluorescence microscopy images of THP-1 derived macrophages exposed to AM114 (IC50: 3.6 μmol) and Aspirin (IC50: 3900 μmol) for 45 min followed by stimulation with and without IL-1β (10 ng/ml) for 24 h. The panel of images shows Hoechst 33342 staining, which indicates nuclear fragmentation. Top panel: without IL-1β (a) Control (b) AM114 (c) Aspirin. Bottom panel: with IL-1β (d) Control (e) AM114 (f) Aspirin. Scale: 10 μm
Fig. 4 shows the fluorescence images of the rhodamine 123 assay. In THP-1-derived macrophages, rhodamine dye aggregates in mitochondria as a function of membrane potential, resulting in red fluorescence with brightness proportionate to the membrane potential (fig. 4a). In contrast, fewer mitochondrial membrane modifications and reduced red fluorescence in few cells were noted in AM114 and Aspirin-treated cultured macrophages (fig. 4b and 4c). The cells processed with IL-1β alone showed few bright red fluorescent cells, signifying the normal function of the mitochondrial membrane (fig. 4d). In contrast, IL-1β stimulation showed increased mitochondrial membrane changes with reduced red fluorescence in the large number of cells treated with the two drugs (fig. 4e and 4f).

Fig. 4: Rhodamine 123 assay on THP-1 derived macrophages. Fluorescence microscopy images of THP-1 derived macrophages exposed to AM114 (IC50: 3.6 μmol) and Aspirin (IC50: 3900 μmol) for 45 min followed by stimulation with and without IL-1β (10 ng/ml) for 24 h. The panel of images shows Rhodamine 123 assay staining, which indicates changes in mitochondrial membrane potential. Top panel: without IL-1β (a) Control (b) AM114 (c) Aspirin. Bottom panel: with IL-1β (d) Control (e) AM114 (f) Aspirin. Scale: 10 μm
The results of caspase-3 activity in AM114 and Aspirin-treated macrophages with or without stimulation are shown in fig. 5. The caspase-3 activity in IL-1β treated macrophages decreased by 0.2-fold than unstimulated THP-1 derived macrophages. In the presence of IL-1β, the AM114 showed 1.9-fold increased caspase-3 activities than the AM114 without stimulation. The Aspirin with IL-1β treated macrophages showed 0.6-fold elevated caspase-3 activity than the Aspirin without stimulation. Compared to Aspirin-stimulated cells, an increase of 3.2-fold caspase-3 activity was observed in AM114-stimulated cells.

Fig. 5: Caspase-3 activity assay on THP-1 derived macrophages. Caspase-3 activity in AM114 (IC50: 3.6 μmol) and Aspirin (IC50: 3900 μmol) treated THP-1 derived macrophages with and without IL-1β (10 ng/ml) for 24 h. Data represented as mean±SEM n=3
The extent of DNA damage by apoptosis on THP-1-derived macrophages is shown in fig. 6. Fig. 6(a) represents the DNA damage by DNA fragmentation assay on THP-1-derived macrophages. Fig. 6(b) shows the histogram of DNA damage percent represented in fold increases. In THP-1-derived macrophages, the DNA damage increased 1.4-fold in IL-1β stimulated macrophages (Lane 2) compared to unstimulated macrophages (Lane 1). Treatment with AM114 and Aspirin unstimulated macrophages showed a 2.8-and 1.8-fold increase in DNA damage (Lane 3 and Lane 4) compared with THP-1-derived macrophages (Lane 1). A significant increase of 5.0-and 3.0-fold DNA damage (Lane 5 and Lane 6) was observed in stimulated macrophages treated with AM114 and Aspirin compared to THP-1-derived macrophages (Lane 1).

Fig. 6: DNA damage by DNA fragmentation on THP-1 derived macrophages. (a) The DNA damage on 1% agarose gel electrophoresis. Lane 1-THP-1 derived macrophages; Lane 2-IL-1β stimulated THP-1 derived macrophages; Lane 3-AM114 treated THP-1 derived macrophages; Lane 4-Aspirin treated THP-1 derived macrophages; Lane 5-AM114 with IL-1β stimulated THP-1 derived macrophages; Lane 6-Aspirin with IL-1β stimulated THP-1 derived macrophages. (b) The histogram of DNA damage percentage on THP-1-derived macrophages represented a fold increase
Pro-inflammatory cytokine and chemokine
To evaluate the impact of AM114 and Aspirin on the release of pro-inflammatory cytokines and chemokines associated with inflammatory reactions, the concentrations of interleukin-6 (IL-6) and interleukin-8 (IL-8) were quantified in THP-1-derived macrophages following stimulation with or without interleukin-1β (IL-1β). Fig. 7 shows the measurement of IL-6 cytokine on THP-1-derived macrophages. The levels of IL-6 were significantly increased (p<0.001) in the IL-1β stimulated THP-1 macrophages compared to unstimulated THP-1-derived macrophages. The pretreatment of AM114 and Aspirin in unstimulated macrophages showed no significant changes compared to unstimulated macrophages of THP-1. However, the pretreatment with AM114 and Aspirin in stimulated macrophages showed highly significant suppression in the levels of (p<0.001) IL-6 cytokine compared to the stimulated macrophages of THP-1 without pretreatment. Comparable results, albeit with a lesser degree of magnitude, were discerned in cells subjected to Aspirin treatment under the influence of stimulation.

Fig. 7: Effect of AM114 at IC50 concentration on the production of IL-6 cytokine in the THP-1-derived macrophages. Macrophages were pretreated with AM114 and Aspirin for 45 min and further incubated with and without IL-1β (10 ng/ml) for 24 h. IL-6 production was measured in culture supernatants by the ELISA method. Data represents mean±SEM n=3. ***p<0.001-IL-1β stimulated THP-1 derived macrophages Vs Unstimulated THP-1 derived macrophages; ***p<0.001-Stimulated macrophages pretreated with AM114, Aspirin Vs Stimulated THP-1 derived macrophages
Fig. 8 shows the measurement of IL-8 chemokine on THP-1-derived macrophages. The levels of IL-8 were significantly increased (p<0.001) in the IL-1β stimulated THP-1-derived macrophages compared to unstimulated THP-1-derived macrophages. The pretreatment of AM114 and Aspirin in unstimulated macrophages showed no significant changes compared to the unstimulated macrophages of THP-1. However, the pretreatment with AM114 and Aspirin in stimulated macrophages showed highly significant suppression in the levels of (p<0.001) IL-8 cytokine compared to the stimulated macrophages of THP-1 without pretreatment. Similar results, but of lesser magnitude, were observed in Aspirin-treated stimulated cells.

Fig. 8: Effect of AM114 at IC50 concentration on the production of IL-8 chemokine in THP-1 derived macrophages. Macrophages were incubated with AM114 and Aspirin for 45 min and further incubated with and without IL-1β (10 ng/ml) for 24 h. IL-8 production was measured in culture supernatants by ELISA. ***p<0.001-IL-1β stimulated THP-1 derived macrophages Vs Unstimulated THP-1 derived macrophages; ***p<0.001-Stimulated macrophages pretreated with AM114 and Aspirin Vs Stimulated THP-1 derived macrophages
Chalcones are a class of organic compounds known for their diverse pharmacological properties, including anticancer, antimicrobial, anti-inflammatory, and antioxidant properties. A recent study explores the coumarin-chalcone derivative's efficient synthesis and biological activity [11]. The proteasome has a central role in regulating macrophage function by inhibiting the proteasome with several naturally occurring inhibitors [12]. Efficient therapies against TNF-α and IL-1β have identified vivo macrophages as a crucial target for therapeutic intervention [13].
In the present study, AM114 and Aspirin exerted cytotoxic effects in a dose-dependent manner on THP-1 cells. The IC50 concentrations of AM114 and Aspirin were 3.6 µmol and 3900 µmol in THP-1 cells, respectively. Previous reports have indicated that AM114 and Aspirin demonstrated cytotoxic effects on macrophages derived from the peripheral blood of rheumatoid arthritis (RA) patients at respective IC50 concentrations of 0.88 µmol and 1120 µmol [14]. Some of the studies explored the cytotoxicity of Aspirin against human adenocarcinoma HT-29 cell line and mouse neuro2a neuroblastoma cells with IC50 concentrations of 5 mmol and 2.5 mmol [15, 5]. The in vitro cytotoxicity of AM114 against the human HCT-116 colon cancer cell line has an IC50 of 1.5 µmol [6].
The insufficient apoptosis of inflammatory cells might contribute to the pathogenesis of inflammatory diseases such as RA [16]. Earlier studies on RA macrophages have explored the efficacy of AM114 on apoptosis induction in stimulated RA macrophages [12]. Aspirin and other NSAIDs induce apoptosis in several cell types, such as human colorectal tumor cell lines, fibroblast cell lines, B-cell chronic lymphocytic leukemia cells, and myeloid leukemia cell lines [15, 17-22].
Cells undergoing apoptosis manifest a spectrum of morphological and cellular alterations, encompassing cytoplasmic blebbing, nuclear shrinkage, chromatin condensation, irregularities in shape, DNA fragmentation, and the cleavage of essential cellular proteins, as documented in reports [23]. The studies have shown similar morphological changes in the cancer cells that undergo apoptosis [24]. Aspirin induces apoptosis through the inhibition of proteasome function. Evidence shows that mitochondrial membrane depolarization occurs in Neuro 2a cells following exposure to Aspirin [5]. Earlier reports have indicated that bortezomib induces apoptosis and inhibits T-cell activation in rheumatoid arthritis (RA) patients [25]. Similarly, the proteasome inhibitor lactacystin induced apoptosis in human monoblastic U937 cells [26].
Caspase-3 plays critical roles in the post-mitochondrial apoptotic pathway, including activating several caspases, which are the hallmarks of apoptosis [27, 28]. Caspase-3, when activated, has many cellular targets that produce the morphologic features of apoptosis [29]. It is a significant effector by cleaving numerous cell death substrates, leading to cellular dysfunction and destruction [30].
The earlier studies demonstrated the induction of apoptosis by proteasome inhibitor Aspirin in THP-1 cells, neuro 2a cells Jurkat, and HL-60 through the release of cytochrome c from mitochondria and activation of caspases [5]. Another study demonstrated the involvement of the caspase-3 pathway in cytokine-induced apoptosis in leukemic cell lines [31]. A biochemical hallmark of apoptosis was the cleavage of chromatin into small fragments, including oligonucleotides, which were described as DNA ladders in the electrophoresed gel [32]. Aspirin inhibits proteasome function and causes severe mitochondrial abnormalities, playing a critical role in the induction of apoptotic signals and anti-inflammatory responses [5].
The study results also confirm similar apoptotic features in AM114 and Aspirin-treated THP-1-derived macrophages stimulated with IL-1β. Furthermore, our findings demonstrated markedly elevated caspase-3 and DNA fragmentation in AM114 and Aspirin-treated cells with IL-1β. The identified phenomenon can be attributed to dysfunction in proteasome activity and irregular mitochondrial function, subsequently leading to the release of caspase-3. Notably, pretreatment with AM114 increased DNA fragmentation, as evidenced by agarose gel electrophoresis, highlighting the drug's effectiveness. This supports the notion that AM114 can potentially induce cellular damage and enhance apoptosis in inflammation.
In the current study, the pretreatment of AM114 showed suppression of releasing of IL-6 and IL-8 in IL-1β stimulated macrophages, indicating that AM114 has significant anti-cytokine potential that would be most beneficial in inflammatory disease conditions such as RA. In this respect, our data are consistent with previous reports that explored the effect of bortezomib on suppressing the production of pro-inflammatory cytokines in activated T cells of RA [25]. Similarly, the proteasome inhibitor tosyl phenylalanyl chloromethyl ketone (TPCK) suppressed the release of pro-inflammatory cytokines in cultured monocytes/macrophages [33]. In the same way, another study has demonstrated the effect of the MG132 proteasome inhibitor on the suppression of pro-inflammatory cytokines IL-6, TNF-α and IL-1β release in the lipopolysaccharide (LPS) stimulated human monocytic cell line U937 [34]. The outcome of various experiments in the present study led to the conclusion that AM114 is efficacious in inducing apoptosis and suppressing pro-inflammatory cytokines in THP-1-derived macrophages stimulated with IL-1β.
Inhibition of proteasome function by proteasome Inhibitors plays a critical role in the induction of apoptotic signals and anti-inflammatory responses in macrophages. The present study indicates that AM114 has the potential to induce macrophage apoptosis and, thereby, can be considered a therapeutic option. Altogether, our results showed that AM114 effectively induces apoptosis and decreases the release of pro-inflammatory cytokines and chemokines in IL-1β stimulated THP-1 macrophages compared to those without IL-1β. Therefore, the results of this investigation propose that AM114 could serve as a potential therapeutic candidate for inflammatory diseases.
The authors thank Dr. T. S. Lokeswari, Department of Biotechnology, Department of Biomedical Sciences, and Department of Biochemistry of Sri Ramachandra Institute of Higher Education and Research Institute for the necessary assistance.
Nil
Conceived and designed the experiment by Chitra Selvarajan and Nalini Ganesan. Experiment and data analysis, Manuscript preparation, and correspondence by Chitra Selvarajan, Correction by Nalini Ganesan.
Declared none
Gusev E, Zhuravleva Y. Inflammation: a new look at an old problem. Int J Mol Sci. 2022 Apr 21;23(9):4596. doi: 10.3390/ijms23094596, PMID 35562986.
Ferrero Miliani L, Nielsen OH, Andersen PS, Girardin SE. Chronic inflammation: importance of NOD2 and NALP3 in interleukin-1beta generation. Clin Exp Immunol. 2007 Feb;147(2):227-35. doi: 10.1111/j.1365-2249.2006.03261.x, PMID 17223962.
Yang X, Chang Y, Wei W. Emerging role of targeting macrophages in rheumatoid arthritis: focus on polarization, metabolism and apoptosis. Cell Prolif. 2020 Jul;53(7):e12854. doi: 10.1111/cpr.12854, PMID 32530555.
Krishnamoorthy B. Biological studies of 4-amino benzamide derived 1, 2, 3-triazole linked chalcone and its pyrazoline derivatives. Asian J Pharm Clin Res. 2022 Jun 13;15(9):94-7. doi: 10.22159/ajpcr.2022v15i9.45089.
Dikshit P, Chatterjee M, Goswami A, Mishra A, Jana NR. Aspirin induces apoptosis through the inhibition of proteasome function. J Biol Chem. 2006 Sep 29;281(39):29228-35. doi: 10.1074/jbc.M602629200, PMID 16880202.
Achanta G, Modzelewska A, Feng L, Khan SR, Huang P. A boronic-chalcone derivative exhibits potent anticancer activity through inhibition of the proteasome. Mol Pharmacol. 2006 Jul;70(1):426-33. doi: 10.1124/mol.105.021311, PMID 16636137.
Mosmann T. Rapid colorimetric assay for cellular growth and survival: application to proliferation and cytotoxicity assays. J Immunol Methods. 1983 Dec 16;65(1-2):55-63. doi: 10.1016/0022-1759(83)90303-4, PMID 6606682.
Brousseau P, Payette Y, Tryphonas H, Blakley B, Flipo D, Fournier M. Assessment of cell viability: determination of cell viability and cell concentration with ethidium bromide and acridine orange. In: Rose NR, de Macario EC, Folds JD, Lane HC, Nakamura RM, editors. Manual of immunological methods. San Diego: Academic Press; 1999. p. 28-9.
Thangam R, Sathuvan M, Poongodi A, Suresh V, Pazhanichamy K, Sivasubramanian S. Activation of intrinsic apoptotic signaling pathway in cancer cells by cymbopogon citratus polysaccharide fractions. Carbohydr Polym. 2014 Jul 17;107:138-50. doi: 10.1016/j.carbpol.2014.02.039, PMID 24702929.
Bossu P. Qualitative analysis of DNA fragmentation by agarose gel electrophoresis. In: Cossarizza A, Boraschi D, editors. Apoptosis: a laboratory manual of experimental methods. West Lafayette, (IN): Purdue University Press Cytometry Laboratories; 1999. p. 41-8.
Sathish Kumar KO, Jithendra C, Vijay K. Recent strategies for efficient synthesis and biological activities of coumarin-chalcone derivatives. Asian J Pharm Clin Res. 2020;13(5):28-37. doi: 10.22159/ajpcr.2020.v13i5.37039.
Qureshi AA, Tan X, Reis JC, Badr MZ, Papasian CJ, Morrison DC. Suppression of nitric oxide induction and pro-inflammatory cytokines by novel proteasome inhibitors in various experimental models. Lipids Health Dis. 2011 Oct 12;10:177. doi: 10.1186/1476-511X-10-177, PMID 21992595.
Pope RM. Apoptosis as a therapeutic tool in rheumatoid arthritis. Nat Rev Immunol. 2002 Jul;2(7):527-35. doi: 10.1038/nri846, PMID 12094227.
Selvarajan C, Ganesan N, T Srinivasan L, Gopalakrishnan R. The effect of proteasome inhibitor (AM114) on apoptosis in IL-1β-treated peripheral blood macrophage cultured cells from rheumatoid arthritis patients. Indian J Rheumatol. 2016;11(1):7-13. doi: 10.1016/j.injr.2015.10.005.
Castano E, Dalmau M, Barragan M, Pueyo G, Bartrons R, Gil J. Aspirin induces cell death and caspase-dependent phosphatidylserine externalization in HT-29 human colon adenocarcinoma cells. Br J Cancer. 1999 Sep;81(2):294-9. doi: 10.1038/sj.bjc.6690690, PMID 10496355.
Deng C, Zhang Q, He P, Zhou B, He K, Sun X. Targeted apoptosis of macrophages and osteoclasts in arthritic joints is effective against advanced inflammatory arthritis. Nat Commun. 2021 Apr 12;12(1):2174. doi: 10.1038/s41467-021-22454-z, PMID 33846342.
Piazza GA, Rahm AK, Finn TS, Fryer BH, Li H, Stoumen AL. Apoptosis primarily accounts for the growth-inhibitory properties of sulindac metabolites and involves a mechanism that is independent of cyclooxygenase inhibition, cell cycle arrest, and p53 induction. Cancer Res. 1997 Jun 15;57(12):2452-9. PMID 9192825.
Bellosillo B, Pique M, Barragan M, Castano E, Villamor N, Colomer D. Aspirin and salicylate induce apoptosis and activation of caspases in B-cell chronic lymphocytic leukemia cells. Blood. 1998 Aug 15;92(4):1406-14. doi: 10.1182/blood.V92.4.1406.
Shiff SJ, Qiao L, Tsai LL, Rigas B. Sulindac sulfide, an aspirin-like compound, inhibits proliferation, causes cell cycle quiescence, and induces apoptosis in HT-29 colon adenocarcinoma cells. J Clin Invest. 1995 Jul;96(1):491-503. doi: 10.1172/JCI118060, PMID 7615821.
Lu X, Xie W, Reed D, Bradshaw WS, Simmons DL. Nonsteroidal antiinflammatory drugs cause apoptosis and induce cyclooxygenases in chicken embryo fibroblasts. Proc Natl Acad Sci USA. 1995 Aug 15;92(17):7961-5. doi: 10.1073/pnas.92.17.7961, PMID 7644521.
Schwenger P, Bellosta P, Vietor I, Basilico C, Skolnik EY, Vilcek J. Sodium salicylate induces apoptosis via p38 mitogen-activated protein kinase but inhibits tumor necrosis factor-induced c-Jun N-terminal kinase/stress-activated protein kinase activation. Proc Natl Acad Sci USA. 1997 Apr 1;94(7):2869-73. doi: 10.1073/pnas.94.7.2869, PMID 9096313.
Klampfer L, Cammenga J, Wisniewski HG, Nimer SD. Sodium salicylate activates caspases and induces apoptosis of myeloid leukemia cell lines. Blood. 1999 Apr 1;93(7):2386-94. doi: 10.1182/blood.V93.7.2386.
Cohen MJ. Well. Mind, Well Earth: 97 Environmentally sensitive activities for stress management, spirit and self-esteem. Continuing education training manual: Environmental education ethics and counseling psychology; 1993.
Kerr JF, Winterford CM, Harmon BV, Apoptosis. Its significance in cancer and cancer therapy. Cancer. 1994;73(8):2013-26. doi: 10.1002/1097-0142(19940415)73:8<2013::aid-cncr2820730802>3.0.co;2-j, PMID 8156506.
Van der Heijden JW, Oerlemans R, Lems WF, Scheper RJ, Dijkmans BA, Jansen G. The proteasome inhibitor bortezomib inhibits the release of N Fkappa B-inducible cytokines and induces apoptosis of activated T cells from rheumatoid arthritis patients. Clin Exp Rheumatol. 2009 Jan-Feb;27(1):92-8. doi: 10.1093/rheumatology/kep001, PMID 19327235.
Imajoh Ohmi S, Kawaguchi T, Sugiyama S, Tanaka K, Omura S, Kikuchi H. Lactacystin, a specific inhibitor of the proteasome, induces apoptosis in human monoblast U937 cells. Biochem Biophys Res Commun. 1995 Dec 26;217(3):1070-7. doi: 10.1006/bbrc.1995.2878, PMID 8554559.
Boatright KM, Salvesen GS. Mechanisms of caspase activation. Curr Opin Cell Biol. 2003 Dec;15(6):725-31. doi: 10.1016/j.ceb.2003.10.009, PMID 14644197.
Zhao R, Gao X, Cai Y, Shao X, Jia G, Huang Y. Antitumor activity of Portulaca oleracea L. polysaccharides against cervical carcinoma in vitro and in vivo. Carbohydr Polym. 2013 Jul 25;96(2):376-83. doi: 10.1016/j.carbpol.2013.04.023, PMID 23768576.
Cohen GM. Caspases: the executioners of apoptosis. Biochem J. 1997 Aug 15;326(1):1-16. doi: 10.1042/bj3260001, PMID 9337844.
Riedl SJ, Shi Y. Molecular mechanisms of caspase regulation during apoptosis. Nat Rev Mol Cell Biol. 2004 Nov;5(11):897-907. doi: 10.1038/nrm1496, PMID 15520809.
Taburee P, Siripin D, Wongjindanon N, Fucharoen S, Tanyong DI. Interleukin-1beta and tumor necrosis factor-alpha induced apoptosis via caspase in leukemic K 562 and HL-60 cell lines. Available from: https://api.semanticscholar.org/corpus
Hu T, Wei X, Zhang X, Cheng F, Shuai X, Zhang L. Protective effect of potentilla anserine polysaccharide (PAP) on hydrogen peroxide induced apoptosis in murine splenic lymphocytes. Carbohydr Polym. 2010 Jan 20;79(2):356-61. doi: 10.1016/j.carbpol.2009.08.018.
Rovin BH, Dickerson JA, Tan LC, Hebert CA. Activation of nuclear factor-kappa B correlates with MCP-1 expression by human mesangial cells. Kidney Int. 1995 Oct;48(4):1263-71. doi: 10.1038/ki.1995.410, PMID 8569088.
Ortiz Lazareno PC, Hernandez Flores G, Dominguez Rodriguez JR, Lerma Diaz JM, Jave Suarez LF, Aguilar Lemarroy A. MG132 proteasome inhibitor modulates proinflammatory cytokines production and expression of their receptors in U937 cells: involvement of nuclear factor-kappa B and activator protein-1. Immunology. 2008;124(4):534-41. doi: 10.1111/j.1365-2567.2008.02806.x, PMID 18298552.