1Venus Medicine Research Centre, Hill Top Industrial Estate, Bhatoli Kalan, Baddi, India, 2Veterans Affairs Medical Centre, Kansas City, Missouri, USA, 3Institute for Heart Research, Slovak Academy of Sciences and Centre of Excellence of SAS, Bratislava, Slovakia
Email: pc@vmrcindia.com
Received: 30 Jan 2015 Revised and Accepted: 28 Feb 2015
ABSTRACT
Objective: Alcoholic and non-alcoholic fatty liver disease are found to affect more than 10% of the general population. Fatty liver condition in humans is directly correlated with psychosocial stress. Herbal formulations for the management of stress may present an alternative for the treatment of fatty liver disease. Ezenus is a polyherbal candy containing herbs that can ameliorate stress and consequent liver abnormality. The present study aimed to evaluate the effect of Ezenus in experimentally induced alcoholic and non-acloholic fatty liver condition.
Methods: Two models were studied simultaneously, prophylactic and therapeutic. Prophylactic groups received Ezenus along with fatty diet whereas the therapeutic groups received Ezenus only after induction of alcoholic or non-alcoholic fatty liver condition. Biochemical parameters were estimated in the serum on Days 0, 45 and 90. Lipid biochemistry of liver and histopathology were performed after terminal necropsy.
Results: Fatty liver condition was induced in rats within 45 days of fatty diet administration with or without alcohol. Results of the present study suggested that prophylactic administration of Ezenus prevented the development of fatty liver condition in rats to a certain extent. Therapeutic intervention with Ezenus after fatty diet intake for 45 days was able to prevent the deranging effects of fatty liver disease. This beneficial effect of Ezenus was attributed to the adaptogenic and antioxidant effects of the ingredients present in Ezenus.
Conclusion: Based on the results of the study, it was concluded that long term treatment of Ezenus exhibits a preventive effect in fatty liver disease. It not only protects the liver from toxic insults to a certain extent but also has the capability of maintaining the normal liver function.
Keywords: Ezenus, Andrographis paniculata, Boerhaavia diffusa, Vitis vinifera, Liver toxicity, Stress, Adaptogen, Steatohepatitis.
INTRODUCTION
Fatty liver disease may be broadly characterised into alchoholic and non-alcoholic origin. Alcoholic fatty liver disease comprises of fatty liver in association with hepatitis and cirrhosis. There is marked accumulation of fat in hepatocytes which is the most common observation of fatty liver disease, alcoholic or non-alcoholic. The incidence of alcoholic hepatitis and cirrhosis is nearly 20% in cases diagnosed to have alcoholic fatty liver disease [1, 2]. Co-accmulation of iron is reported to allow disease progression towards hepatocellular carcinoma. It may be decreed that a condition that starts with chronic intake of alcohol may thus proceed towards carcinoma and impending death. Non-alcoholic steatohepatitis (NASH) manifests in spite of non-alcoholism yet the clinicopathogical condition closely resembles with that of alchoholic liver disease [3]. NASH may involve simple fatty deposits in the liver to complex fibrosis which may progress to cirrhosis and liver failure [4]. NASH has been considered to be most common causative factor for the elevation of liver function tests and obesity, dyslipidemia and type 2 diabetes are known to be frequently associated with it [5, 6]. It may be said that NASH is the hepatic manifestation of metabolic syndrome. Subset of patients, diagnosed to have NASH, that progress to the development of cirrhosis form the largest part of liver-related cases of morbidity and mortality. Liver failure commonly ensues from the inception of cirrhosis. Metabolic disturbances are reported to be triggered by psychosocial stress triggers like low socioeconomic status, personal conflicts, racial discrimination and most importantly occupational-stress. Chronic stress is known to disrupt circadian rhythms leading to disruption of the hypothalamic-pituitary-adrenal axis activity. Altered carbohydrate and lipid metabolism due to such disruption may lead to overall disturbances in fat distribution including the liver. Not only this, release of glucocorticoids as a result of stress may lead to compulsive overeating and increase in abdominal fat depots. Clinical data suggest that humans who consider themselves to be distressed had a higher incidence of metabolic syndrome related conditions [7, 8]. Stress has been reported to exaggerate the inflammatory and fibrotic changes occuring in a cirrhotic liver. High stress levels have been found in patients suffering from hepatic cirrhosis of alcoholic-or non-alcoholic origin [3, 5]. Stress has been frequently associated with development of fatty liver disease. In fact, a positive correlation has been shown between chronic stress levels and chronic hepatitis C [9]. While NASH is a consequence of sedentary and food-abundant lifestyle, it often coincides with high levels of psychosocial stress. Chronic stress is also associated with elevated leptin levels and leptin is known to promote non-alcoholic fatty liver disease (NAFLD) in experimental NASH models [10]. Stress has also been related to development of chronic alcoholism which may lead to the development of fatty liver disease. In this manner, stress is associated with both alcoholic-and non-alcoholic fatty liver disease. Till date, no pharmacological agent has been approved for the management of fatty liver disease.
Ezenus is a herbal sugar free candy known to contain extracts of Andrographis paniculata, Boerhaavia diffusa and Vitis vinifera in very low concentrations. These extracts are known to contain actives like andrgrapholide, procyanidins, glycosides and flavanoids that relieve stress. In fact, we have previously shown that Ezenus relieves stress in animal models of chronic stress. As deliberated above that stress may be one of the causalities behind development of fatty liver disease, relieving stress may be a useful alternative in the managment/prevention of fatty liver disease. The present study was undertaken to evaluate the prophylactic and therapeutic efficacy of Ezenus in Alcoholic and Non-alcoholic steatohepatitis induced experimentally in rat model. Objective for study involved the identification of Ezenus as a prophylactic or therapeutic remedy in the case of fatty liver disease.
MATERIALS AND METHODS
Animals
Adult male sprague-dawley rats (8-12 weeks) were used for the study. Animals were housed in standard conditions (polypropylene cages, paddy husk bedding, 12hr light/dark cycle and 40-70% RH). No more than 3 animals were housed per cage. The animals were provided with pelleted feed (Ashirwad Industries, Chandigarh, India) and drinking water ad libitum unless indicated otherwise. The protocol for the study was approved by the institutional animal ethics committee of Venus Medicine Research Centre.
Doses
Human dose for Ezenus has been recommended to be 6 candies (weight of each candy = 2.5 g) per day. This dose was divided into 2 parts (i.e. equivalent to human consumption of 3 candies at once) and administered twice daily. Corresponding animal dose for rats based on body surface area [11] was calculated to be 775 mg/kg. Required amount of test item was weighed and dissolved in calculated volume of purified water under sterile conditions.
Study design and allocation of animals
The grouping and allocation of animals is shown in table 1. In order, to evaluate the prophylactic and therapeutic activity of Ezenus, two separate models were simultaneously developed wherein prophylactic groups received Ezenus during an induction period and therapeutic groups received treatment after induction of steatohepatitis (table 1).
Table 1: Grouping and allocation of animals
| Group | No. of Animals | Treatment |
| Group 1(G1) | 6 | Normal diet |
| Group 2 (G2) | 6 | Fatty diet |
| Group 3 (G3) | 6 | Fatty diet+Alcohol |
| Group 4 (G4) | 6 | Fatty diet+Ezenus prophylactic treatment group |
| Group 5 (G5) | 6 | Fatty diet+alcohol+Ezenus prophylactic treatment group |
| Group 6 (G6) | 6 | Induced animals (with fatty diet) treated with Ezenus (therapeutic group) |
| Group 7 (G7) | 6 | Induced animals (with fatty diet+alcohol) treated with Ezenus (therapeutic group) |
After acclimatization, animals were randomized and grouped on the basis of body weights into 7 groups of 6 animals each i.e. G1-G7. G1 served as normal healthy control group wherein animals were fed with normal feed and water. G2 served as Fatty diet control group wherein animals were fed with normal feed mixed with lard fat in the ratio 4:1 (feed: lard). G3 served as fatty diet and alcohol combined group wherein animals were fed with fatty diet and 40% alcohol was administered daily (p. o.) at the rate of 10 ml/kg body weight. Groups G4-G7 were administered Ezenus (775 mg/kg; 10 ml/kg; b. i. d) as mentioned in table 2. G4 served as a fatty diet combined with Ezenus prophylactic treatment group, wherein animals were concurrently fed with fatty diet and administration of Ezenus, twice daily. G5 served as fatty diet combined with alcohol+Ezenus prophylactic treatment group, wherein animals were concurrently fed with fatty diet+Alcohol (40%) and oral administration of Ezenus (775 mg/kg, b. i. d) (corresponding to human consumption of 6 candies/day). Alcohol was administered in a volume of 10 ml/kg and the dosing time was adjusted to fall between the respective administrations of Ezenus. Thus G4 and G5 served as prophylactic efficacy groups. G6 served as STH induced animals (through fatty diet) treated with Ezenus at the rate of 775 mg/kg, b. i.d. G7 served as alcoholic STH induced animals (fatty diet+alcohol) treated with Ezenus at the rate of 775 mg/kg, twice daily. Thus G6 and G7 served as the therapeutic efficacy groups, where Ezenus was administered after induction of STH (i. e from Day-46 to Day-90). Necropsy was performed on the terminal day and organs were collected for histopathological analysis.
The study design is explained in table 2. Blood sampling was performed on days 0, 45 and 90 in conical centrifuge tubes of 1.5 ml capacity. The samples were allowed to clot at room temperature and then centrifuged at 4000 rpm. Serum was obtained as the supernatant, which was carefully separated and stored at-70 °C until further use. On the 90th day animals were sacrificed after sampling and livers & hearts was dissected, washed with cold saline, blotted and preserved at-70 °C until further use.
Table 2: Study design
| Fatty diet | Alcohol | Ezenus treatment | Body weight | Blood sampling | Necropsy and liver harvesting for biochemistry & histopathology |
| G2-G7(Days 1-90) | G3, G5 and G7(Days 1-90) | G4 and G5(Days 1-90)G6 and G7(Days 46-90) | Every Week (Days 0, 7, 14, 21, 28, 35, 42, 49, 56, 63, 70, 77, 84) | Days 0, 45, 90 | Day 90 |
Estimation of parameters
Biochemical parameters were evaluated in the serum. Serum glutamate pyruvate transaminase (SGPT), serum glutamate oxaloacetate transaminase (SGOT), bilirubin, triglyceride and cholesterol content in the serum samples was determined using commercial kits as per manufacturers instructions. Livers were harvested and divided in two portions. One portion was fixed in 10% buffered formalin for histopathological evaluation and the other portion was homogenized in PBS, centrifuged and supernatant was used for estimation of total cholesterol and triglycerides. Parameters were analyzed in an automated biochemistry analyzer (EM200, Transasia Biotech Ltd., Mumbai) using commercial kits (Erba Mannheim, Germany) as per manufacturer's instructions. Results of all biochemical parameters were normalized against the standards provided by the manufacturer's of the commercial kits.
RESULTS
Effect of Ezenus on body weight
The effect of fatty diet, alcohol and concurrent Ezenus therapy is presented in fig. 1. As the study progressed, all the groups showed a normal trend towards increase in body weight. However, the disease control groups (G2 and G3) exhibited a steeper slope as compared to other groups. G3 showed significant (P<0.05) gain in body weight as compared to control group in the terminal week of the study.

Fig. 1: Effect of Ezenus on body weight. Data is presented as mean±SEM of 6 animals. * represents P<0.05 as compared to G1
This suggested a rapid gain body weight as a result of fatty diet intake. Ezenus prophylaxis resulted in preventing such a sharp increase in body weight in both the alcoholic and non-alcoholic group (G4 and G5 respectively). In coherence with the disease control groups, it was observed that the therapeutic groups (G6 and G7) showed a sharp increase in body weight during the initial half of the study. This rise was controlled after initiation of Ezenus. Thus, during the second half of the study, animals of G6 and G7 were found to exhibit normal body weight gain.
Effect of Ezenus on serum biochemistry
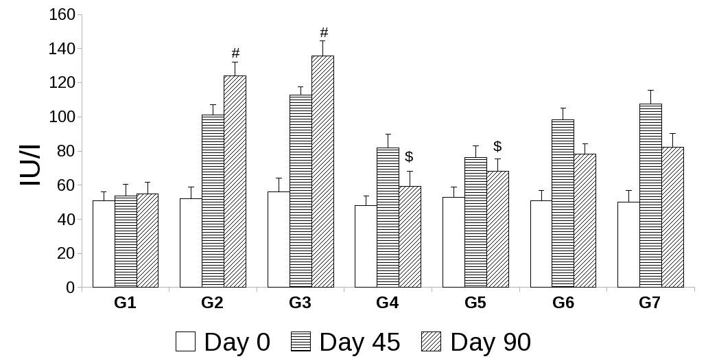
Effect of Ezenus on serum SGPT levels
Gradual increase in the levels of SGPT was observed in the fatty diet and fatty diet+alcohol group. Towards the end of the study it was found that serum SGPT levels were significantly higher (P<0.001) in the fatty diet (G2) and the fatty diet+alcohol group (G3) as compared to control (G1). Prophylactic Ezenus therapy was able to significantly prevent any rise in SGPT levels in the alcoholic as well as non-alcoholic fatty diet group. A trend towards lower SGPT values suggesting a prevention in the increase SGPT was observed in the prophylactic group towards Day-90. Animals of the therapeutic arm showed increase in SGPT levels upto 45 days. After initiation of treatment, a gradual reduction of the SGPT value towards normal values was observed. The SGPT values in the at Day-90 in the therapeutic groups (G6 and G7) were found to be lowered as compared to the SGPT levels in the same group at Day-45 (fig. 2).

Fig. 2: SGPT levels in the serum. Values are presented as mean±SEM (n=6). # indicates P<0.001 as compared to Day-0 of same group; $ indicates P<0.001 as compared to respective disease control group on Day-90
Effect of ezenus on serum SGOT levels
Fig. 3 represents the effect of Ezenus on serum SGOT levels. It was observed in the present study that continual fatty diet administration, with or without alcohol lead to a gradual rise in SGOT levels over a period of 90 days. This increased levels at 90 days were found to be significantly higher (P<0.001) than those of the control group. There was a moderate rise in the SGOT levels in the prophylactic group upto a period of 45 days which was found to recede towards control values at Day-90. The therapeutic arm showed increased SGOT levels at 45 days as compared to Day-0. After therapeutic intervention with Ezenus, it was found that there was a modest fall in the SGOT levels. Though the SGOT levels in the therapeutic group did not achieve normal values, they were found to be moderately reduced as compared to Day-45 values in the same group.
Effect of Ezenus on serum bilirubin levels
Administration of fatty diet, with or without alcohol, led to a gradual increase in serum bilirubin levels at 45 days which further increased to significant levels (P<0.05) at 90 days. These increased serum bilirubin levels were found to be significantly higher as compared to control values as well as values for the same animals on Day-0. This suggested that this change was related fatty liver disease. Minor non-significant fluctuations in the serum bilirubin towards the higher side were observed in animals of the prophylactic group (alcoholic and non-alcoholic) at Day-45 and Day-90 but these changes were found to be non-significant and data recorded at Day-90 revealed that the serum bilirubin levels in the prophylactic group are comparable to healthy animals.

Fig. 3: SGOT levels in the serum. Values are presented as mean±SEM (n=6). # indicates P<0.001 as compared to Day-0 of same group; $ indicates P<0.001 as compared to respective disease control group on Day-90
The animals of the therapeutic arm showed the modest increase in values of serum bilirubin until the beginning of treatment (i.e. upto Day-45). Initiation of treatment led to a gradual reduction in serum bilirubin levels (fig. 4) which were found to be not significantly different from values at Day-0 for the same group.

Fig. 4: Serum bilirubin levels. Data is presented as mean±SEM (n = 6). # indicates P<0.05 as compared to Day-0 of same group.
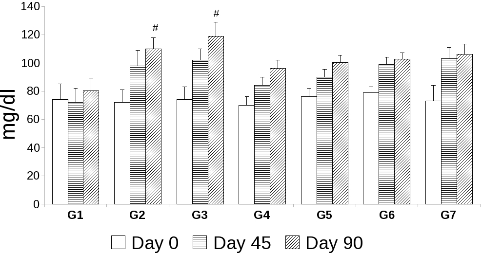
Effect of Ezenus on serum triglyceride levels
Fig. 5 indicates the effect of Ezenus on serum triglyceride levels. It was observed that serum triglyceride levels increased rapidly following fatty diet administration. The elevation in triglyceride levels was found to be comparable in both the disease control groups (G2 and G3). Prophylactic treatment with Ezenus was able to prevent the elevation of triglyceride levels in plasma due to fatty diet administration to certain extent as compared to controls. However, modest increase in the triglyceride levels was observed in both the prophylactic groups. The therapeutic groups showed significant increase in the levels of serum triglycerides at Day-45. However, Ezenus treatment was able to modestly prevent the elevation in levels of triglycerides but triglyceride levels were found to be increased as compared to Day-0.

Fig. 5: Serum triglyceride levels. Data is presented as mean±SEM (n = 6). # indicates P<0.001 as compared to Day-0 of same group
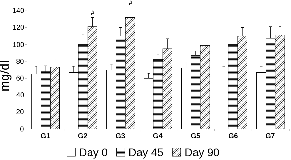
Effect of Ezenus on serum total cholesterol levels
Total cholesterol levels in the serum are shown in fig. 6. Administration of fatty diet (with (G3) or without (G2) alcohol) led to a rapid rise in serum total cholesterol levels. Significant increase in serum cholesterol levels was observed on Day-45 and Day-90 as compared Day-0 in both the disease control groups. Prophylactic Ezenus therapy (G4 and G5) showed that serum total cholesterol values were found to be lower as compared to the respective disease controls on Day-90. The results suggested that Ezenus prophylactic therapy prevented rise in serum cholesterol levels to a certain extent. The therapeutic arms (G6 and G7) suggested that serum total cholesterol values were significantly higher on Day-45 as compared to Day-0 of same group. Ezenus therapy for 45 days suggested that Ezenus therapy might show some effect in containing the elevation of cholesterol levels.

Fig. 6: Serum total cholesterol levels. Data is presented as mean±SEM (n = 6). # indicates P<0.001 as compared to Day-0 of same group
Effect of Ezenus on triglyceride and total cholesterol levels in the liver
Effect of Ezenus on triglyceride and total cholesterol levels in the liver is shown in fig. 7-8. Fig. 7 shows that triglyceride levels were significantly increased (P<0.001) in the alcoholic and non-alcoholic fatty diet groups (G2 and G3). Prophylactic therapy in G4 and G5 indicated that Ezenus was able to prevent increase in hepatic triglyceride levels. Data from therapeutic groups, G6 and G7, suggested that, although moderate in comparison the prophylactic groups, there was a prevention in the elevation of the levels of triglycerides as compared to the alcoholic and non-alcoholic fatty diet groups respectively. Fig. 8 suggested that fatty diet intake led to a drastic rise (4 fold; P<0.001) in hepatic total cholesterol levels in both the disease control groups as compared to control (G1). Prophylactic therapy with Ezenus prevented this increment in cholesterol levels to a moderate extent in both the alcoholic and non-alcoholic groups. A similar trend was observed with the therapeutic group where it was observed that hepatic total cholesterol levels were lower as compared to respective disease control groups on Day-90. This suggested that Ezenus therapy is able to show some beneficial effect in maintaining hepatic cholesterol levels.
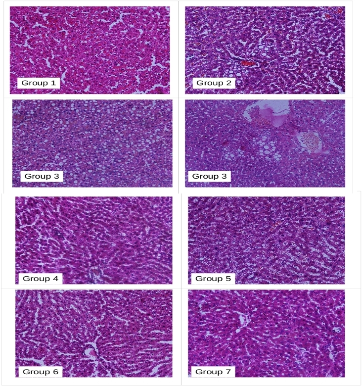
Gross necropsy and histopathology of liver
All observations were performed by a pathologist blinded to the treatments. The pathologist reported the macroscopic observations as seen with the naked eye. Gross necropsy of livers from disease control groups revealed that normal appeance of liver was changed and expressed abnormal morphology which is common to fat deposition. Greasy texture and abnormal coloration were also seen. Hepatomegaly was also evident. The treated groups all showed deposition of fats and abnormal morphology to a certain extent, however, hepatomegaly was not found in the prophylactic groups. In the therapeutic groups, hepatomegaly was evident with a lower propensity as compared to respective disease controls. Histopathological changes observed in the different groups are represented in fig. 9.
G1-Normal diet animals showed normal architecture of hepatocytes and sinosoid in liver. G2-fatty diet control animals showed fatty changes of grade (+3) severity along with macrovesicular fatty changes, with compression and displacement of the nuclei to the periphery of an affected hepatocytes suggesting steatosis which could result in hepatic degeneration. Mild congestion was also observed.

Fig. 7: Triglyceride levels in liver homogenate. Data is presented as mean±SEM (n = 6). $ and # indicate P<0.01 and P<0.001 respectively as compared to G1

Fig. 8: Total cholesterol levels in liver homogenate. Data is presented as mean±SEM (n = 6). # indicates P<0.001 as compared to G1

Fig. 9: Histopathlogical changes in the liver (representative images X200). 0, No changes; (+1) minimal changes; (+2) mild changes; (+3) moderate abnormality; (+4) Severe abnormality; (+5) Multiple damage
In G3-Fatty diet+alcohol treated group, fatty changes of grade (+4) severity, cytoplasmic vacuolization is diffuse and focal type and consists of both large and small cytoplasmic vacuoles within hepatocytes. The prophylactic treatment groups, G4 (Fatty diet+Ezenus prophylactic treated) and G5 (Fatty diet+alcohol+ Ezenus treated) revealed reduction in fatty condition of grade (+2) severity with mild congestion. However, animals in G6 and G7 (therapeutic arm) showed gentle reversal of hepatic abnormalities. The normal architecture was evidenced by the decrease in fatty (grade+1) changes.
DISCUSSION
Increased intake of dietary fat and alcohol threatens the functioning capacity of liver leading to swelling of liver cells(inflammation) followed by deposition of fat cells and subsequent damage of liver cells leading to cell death (hepatic necrosis). Although the liver is said to posses a high regeneration capacity, if the exposure of fat and alcohol persists for a long period, it can cause a damage that exceeds the regeneration capacity of liver [12]. A situation that develops owing to such an outcome is termed as steato hepatitis which may further worsen to a disease known as cirrhosis. The initial stage of steato hepatitis is reversible but as the degeneration proceeds towards cirrhosis, the damage becomes irreversible [13]. Elevation of liver enzymes such as SGOT, SGPT and bilirubin are common diagnostic markers for liver damage [13]. Oxidative stress at a cellular level is reported to be the root cause of pathogenesis for this degeneration [14, 15]. Thus, it would be prudent to assume that a regular boost of antioxidants through various nutritious foods and natural herbs is an essential requirement to combat oxidative stress and protect liver from damage. The ingredients present in Ezenus, Andrographis paniculata, Boerhaavia diffusa and Vitis vinifera have been reported to improve liver function by reduction in serum transaminases and their reported antioxidant effects [16-18]. Based on this concept, the present study was undertaken to determine the therapeutic and prophylactic efficacy of Ezenus (a polyherbal formulation composed of potent antioxidants and adaptogens) in fatty liver disease (steato hepatitis) induced by fatty diet or a combination of fatty diet & alcohol in experimental rat model. The therapeutic efficacy was assessed by administration of Ezenus post induction of steato hepatitis (starting from Day-46) whereas the prophylactic efficacy was assessed by administration of Ezenus along with dietary intake of fat and alcohol to animals from Day-1 as they were proceeding towards the development of steato hepatitis.
Body weight data suggested that disease control animals showed a rapid gain in body weight as compared to control animals [19, 20]. However, Ezenus treated groups showed normal body weight gain with a lower slope as compared to the respective treatment groups. It may be speculated that Ezenus leads to selective absoprtion of nutrients and thus helps in controlling body weight gain. Markers of hepatic function (SGOT, SGPT and bilirubin) also showed that there was significant derangement of liver function in the disease control groups. In fact, it could be noted that the derangement was slightly higher in the alcohol+fatty diet group suggesting that concurrent alcohol intake leads to higher propensity of development of steatohepatitis [21]. Prophylatic Ezenus therapy prevented the rise in SGOT and SGPT levels and preserved the normal liver function, indicated by values at Day-90 suggesting levels comparable to control. On similar lines, the therapeutic arms were able to show positive effect on the liver from any insult mediated by fatty diet with or without alcohol [16-18]. Though the values did not return to normal in the therapeutic arms, it was found that the levels of SGOT and SGPT showed some reduction as compared to the levels in the same animals on Day-45. Serum bilirubin values also showed significant increase at Day-90 in the disease control groups. However, Ezenus therapy was able to maintain normal levels of bilirubin in the prophylactic arm [21]. In the therapeutic arm, non-significant elevation of serum bilirubin was observed at Day-45 which was proceeded towards normalization with Ezenus treatment. Importantly, it was observed that triglyceride cholesterol levels in the serum and liver homogenate increased several manifold in the disease control groups (G2 and G3) as compared to the normal control group (G1) on Days-45 and 90 [22]. Prophylactic Ezenus therapy prevented elevations in the serum and hepatic values of triglycerides and total cholesterol. Towards the end of Day-90, it was found that triglyceride and total cholesterol levels were lower in the prophylactic treatment groups as compared to the respective disease control groups. The therapeutic arms (G6 and G7) exhibited significant rise in the triglyceride and total cholesterol levels in the serum and liver until Ezenus therapy was initiated (Day-45). After continuous Ezenus therapy for 45 days, triglyceride and total cholesterol levels were found to be abated as compared to Day-45 values in the same group.
There is an increasing need for natural therapy for various life style related diseases [23-26]. The data from the current study suggests that Ezenus supplement is not only a prophylactic alternative in preventing the development of fatty liver disease but also possesses the capability of maintaining the vitality and function of liver in case of noxious abuse. The extracts of Andrgraphis paniculata, Boerhaavia diffusa and Vitis vinifera are known to contain actives like andrographolides, procyanidins, anthocyanins, glycosides and flavanoids of different types. These herbal actives are reported to have pleiotropic effects which include increased antioxidant capacity, free radical scavenging, antihyperlipidemic potential, hepatoprotective and others [16-18]. These activities might be acting in concert with Ezenus, thus preventing the development of fatty liver disease in the prophylactic group and restoring the liver function towards normal in the therapeutic group.
CONCLUSION
The present study involved experimental induction of alcoholic and non-alcoholic fatty liver disease. Treatments were selected to be prophylactic and therapeutic. Results of the study provides scientific evidence of the beneficial effect of Ezenus, a herbal sugar free candy, on liver function. It not only protects the liver from toxic insults but also has the capability of restoring it towards a normal condition. Ultimately, the study concluded that Ezenus consumption can lead to beneficial effects towards a healthy liver and be used as a prophylactic or palliative remedy for protection of the liver.
ACKNOWLEDGMENT
All authors would like to thank Mr. Parveen kumar for his technical help. Also supported by APVV-0102-11 and VEGA SR 2/0201/15.
CONFLICT OF INTERESTS
Declared None
REFERENCES