a Dr. Reddy’s Laboratories Ltd. Active Pharmaceutical Ingredients, IPDO, Bachupally, Hyderabad 500072, A. P, India, bDepartment of Chemistry, Sri Krishnadevaraya University, Anantapur 515001, A. P, India
Email: grreddy@live.com
Received: 02 Feb 2015 Revised and Accepted: 01 Mar 2015
ABSTRACT
Objective: To develop a novel, simple, precise and stability indicating reverse phase ultra-performance liquid chromatographic (RP-UPLC) method and validate as per ICH guidelines for the quantification of R-Telaprevir in drug substance and pharmaceutical dosage form of Telaprevir.
Methods: The chromatographic separation was achieved with Acquity UPLC-BEH C-18 column (100 mm X 2.1 mm, 1.7 μm particle size column with mobile phase containing a gradient mixture of Mobile phase-A and B, flow rate of 0.25 ml/min and a detection wavelength of 210 nm. Mobile phase-A contains a mixture of 10 mm di-Potassium hydrogen phosphate anhydrous, pH adjusted to 11.5 with potassium hydroxide and methanol in the ratio 85:15 (v/v) and the mobile phase-B contains a mixture of Acetonitrile, methanol, 2-propanol and ethanol in the ratio 80:10:7:3 (v/v/v/v) respectively. Chromatographic separation was achieved on UPLC in gradient elution mode by QbD with Design-of-Experiments approach.
Results: The method exhibited consistent, high-quality recoveries [100±10%] with a high precision for R-Telaprevir. Linear regression analysis revealed an excellent correlation between peak responses and concentrations (r2value of 0.9996) for R-Telaprevir. The method is sensitive enough to quantifyR-Telaprevir above 0.05% and detect above 0.015% in Telaprevir. Forced degradation studies proved that the method is specific for R-Telaprevir.
Conclusion: An accurate, precise, linear, robust and specific UPLC method was developed and validated for the quantification of R-Telaprevir in drug substance and pharmaceutical dosage form of Telaprevir as per ICH guidelines. The method is stability-indicating and can be used for routine analysis of production samples and to check the stability of samples.
Keywords: UPLC, Stability-indicating method, QbD with Design-of-Experiments approach, ICH guidelines, Forced degradation.
INTRODUCTION
Hepatitis C virus (HCV) infection is a leading cause of chronic hepatitis, liver cirrhosis, and heptaocellular carcinoma. Around 60-80% of those infected with HCV become chronic carriers. Studies in patients who acquired CHC (chronic hepatitis C) by blood transfusion prior to the availability of HCV-screening indicate that, after 20 years of infection, around 20-30% will have progressed to cirrhosis, 5-10% will have end stage liver disease and 4-8% will have died of liver-related causes. It is estimated that up to 200 million people (3% of the population) worldwide are chronically infected with HCV and that 50% of these infections are due to genotype (GT) 1 HCV [1-4]. Previously for genotype 1 HCV infection treated by a combination of pegylated alpha interferon plus ribavirin (Peg-IFN-α/RBV) eradicates the infection in only about 40% of cases and is associated with substantial side effects. However, a significant number of patients do not respond to this therapy due to adverse effects or viral rebound due to resistant strains [5-11]. Recently HCV therapy entered a new era with the FDA and European Medicines Evaluation Agency approval of the directly acting antiviral (DAA) telaprevir [12]. Telaprevir drug is small lipophilic inhibitor of the HCV NS3-4A protease. It increases sustained virological response (SVR) rates to approximately 70% in treatment-naïve genotype 1 HCV infected patients [13]. This also significantly increases SVRs in those who previously failed therapy [14].
Telaprevir is a HCV (hepatitis C virus) protease inhibitor which inhibits HCV replication by binding the active site of NS3 4A serine protease and preventing cleavage of the viral polyprotein into functional units. Telaprevir was approved for ‘the treatment of chronic hepatitis C genotype 1 infection, in combination with Peg-IFN-α (pegylated interferon α) and RBV (ribavirin), in patients aged 18 years and older with compensated liver disease, including cirrhosis, who are treatment-naive or who have been previously treated with IFN-based treatment’ [15]. Telaprevir is a single diastereomer (S configuration) that binds to the active site of the NS3 4A protease necessary for the proteolytic cleavage of the HCV encoded polyprotein into the mature forms of NS4A, NS4B, NS5A and NS5B proteins and thereby directly inhibits HCV replication. Following repeated oral administration of telaprevir in combination with Peg-IFNα/RBV in subjects with chronic hepatitis C, one of the main metabolite of telaprevir was R-Telaprevir.
Telaprevir epimerises at position 21 via keto-enol tautomerism in vitro and in vivo to form its R-Telaprevir. R-Telaprevir was 30 fold less active than Telaprevir. The sponsor has also proposed specification limits for R-Telaprevir in the API and finished product of 0.5% and 3.5%, respectively. The LLOQ for telaprevir and R-Telaprevir in human plasma and urine was set at 2.00 ng/ml. (Lower limit of quantitation [LLOQ]) [15].
In the literature, there is no direct method for the estimation of R-Telaprevir in drug substance and pharmaceutical dosage forms of Telaprevir. All reported methods were LC-MS/MS methods for quantification of R-Telaprevir in human plasma only [16]. The major objective of the present work is to describe a Quality-by-Design based method development strategy with Design-of-Experiments to develop a new UPLC method for estimation of R-Telaprevir in drug substance and pharmaceutical dosage form of Telaprevir and also the method should have low LOD and LOQ values.
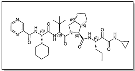
Hence a reproducible stability-indicating UPLC method was developed for quantitative determination of R diastereomer. This method was successfully validated according to the International Conference Harmonization (ICH) guidelines [17]. Telaprevir structure was shown in fig. 1.

Fig. 1: Structure of telaprevir
MATERIALS AND METHODS
Chemicals and reagents
Active pharmaceutical ingredient standard, impurity standard and the sample were obtained from Dr. Reddy’s Laboratories, IPDO, Hyderabad, India. Telaprevir is available as tablets with brand name INCIVEK with label claim of 375 mg of drug. The HPLC grade Methanol, acetonitrile, 2-propanol and AR grade di-Potassium hydrogen phosphate anhydrous, potassium hydroxide, sodium hydroxide, hydrochloric acid, hydrogen peroxide and ethanol were purchased from Merck (India) and Milli-Q water was obtained from Milli-Q water purification system (Millipore, Milford, USA) used during analysis.
Instruments and software
A calibrated electronic single pan balance Mettler toledo, and ultra sonicater Bandelin sonorex also used during the analysis. Cintex digital water bath was used for hydrolysis studies. Photo stability studies were carried out in a photo stability chamber (Sanyo, Leicestershire, UK). Thermal stability studies were performed in a dry air oven (Cintex, Mumbai, India). All analysis was performed on waters Acquity UPLC H-Class quarternary gradient pump and photo diode array detector with Empower 2 software.
Design-Expert version 9.0.1(Stat-Ease Inc., Minneapolis) was used for central composite design construction and interpretation. Microsoft Excel 2007 was used for analysis of validation results.
Chromatographic conditions
The method was developed using Acquity UPLC-BEH C-18 100 mm X 2.1 mm, 1.7 μm particle size columns with the mobile phase containing a gradient mixture of Mobile phase-A and B. Mobile phase-A contains a mixture of 10 mm di-Potassium hydrogen phosphate anhydrous, pH adjusted to 11.5 with potassium hydroxide and methanol in the ratio 85:15 (v/v) and the mobile phase-B contains a mixture of Acetonitrile, methanol, 2-propanol and ethanol in the ratio 80:10:7:3 (v/v/v/v) respectively. Mobile phases are filtered through a 0.22 μm PVDF membrane filter (Millipore, India). The binary gradient programme was set as follows [T (min)/mobile phase B (%)]:0.01/40, 3.0/55, 8.0/80, 8.1/40, 10/40. The flow rate of the mobile phase was 0.25 ml/min. The column temperature was maintained at 40 °C and sampler cooler was maintained at 10°C. Chromatogram was monitored at 210 nm with the PDA detector. The injection volume was 1μl. Acetonitrile and water in the ratio 60:40 (v/v) were used as the diluent for all preparations. The run time was 10 min.
System suitability solution preparation
10 mg of the R-Telaprevir standard was transferred into 100 ml volumetric flask, dissolved in diluent with sonication and diluted to volume with diluent. 10 mg of Telaprevir standard was transferred into 10 ml volumetric flask, dissolved in diluent with sonication to this added 0.5 ml of above R-Telaprevir standard solution and diluted to volume with diluent.
Sample preparation
Drug product
The drug was extracted from the tablet formulation of 375 mg label claim using diluent. Twenty tablets were weighed and crushed to a fine powder. Powder equivalent to 10 mg Telaprevir was accurately weighed into to a 10 ml volumetric flask and made up to volume with diluent. The contents of the flask were sonicated for 1-2 min to enable complete dissolution of Telaprevir. The solution was filtered with Randisc PVDF 0.22μm filter.
Drug substance (1000μg/ml)
About 10 mg of Drug substance was transferred into 10 ml volumetric flask, dissolved in diluent with sonication and diluted to volume with diluent.
LC-MS/MS conditions
For the identification of unknown impurity during forced degradation study (neutral stress condition) LC-MS/MS system (Agilent 1200 series liquid chromatography coupled with applied Biosystem 4000 Q Trap quadrupole mass spectrometer with analyst 1.4 software, MDSSCIEX, USA) was used. X-Bridge C18 column (150 mm X 4.6 mm, 3.5 μm) was used as stationary phase.
The flow rate was 1.0 ml/min and the column temperature was maintained at 55°C. Mobile phase-A contains a mixture of 10 mm of ammonium acetate buffer and methanol in the ratio 85:15 (v/v) and the mobile phase-B contains a mixture of Acetonitrile, methanol, and 10 mm of ammonium acetate buffer in the ratio 70:10:20 (v/v/v) respectively. Elution mode was isocratic with M. P-A: M. P-B 32:68 (v/v) ratio. Runtime was 25 min. The analysis was performed in positive electrospray ionization mode. Source and dissolution temperatures were 120 and 350°C. Capillary and cone voltages were 3.5 kV and 25 V. Dissolution gas flow was 650L h-1.
Method validation
The method has been validated as per ICH guidelines Q2 (R1). The method was validated for the following parameters: System suitability, Specificity/Forced degradation studies, Limit of quantitation (LOQ) and Limit of detection (LOD), Precision, Linearity, Accuracy, Robustness and Solution stability and mobile phase stability [17].
Specificity/Forced degradation studies
Specificity is the ability of the method to measure the analyte response in the presence of its potential impurities. The specificity of the developed UPLC method was carried out in the presence of R-Telaprevir. Forced degradation studies were carried at an initial concentration 1000μg/ml of Telaprevir to provide an indication of the stability indicating property and specificity of the proposed method [18-19].
Intentional degradation was attempted for the following stress conditions, Type of degradation Condition.
| Photo degradation | 1.2 million lux hours and 200watt h/m2. |
| Thermal degradation | in a hot air oven maintained at 105°C for 10d. |
| Base degradation | in 0.02N NaOH the solution was left under stirring for 10 min at RT. |
| Acid degradation | in 5N HCl the solution was left at 60-70°C in water bath under stirring for 1h. |
| Neutral (Water) degradation | in water with cosolvent the solution was left at 60-70°C in water bath under stirring for 60h. |
| Oxidative degradation | in 10% hydrogen peroxide solution and the solution was left in dark under stirring for 18hat RT. |
Before analysis acidic and alkaline samples were neutralized.
Peak purity was carried out for the Telaprevir and R-Telaprevir by using PDA detector in all stress samples. Assay of stress samples was performed by comparison with qualified reference standard and the mass balance (% assay+% R-Telaprevir+% degradation impurities) was calculated.
Limit of detection and quantification
The limit of detection (LOD) and LOQ for R-Telaprevir was estimated at signal-to-noise ratios of 3:1 and 10:1, respectively, by injecting a series of diluted solutions with known concentrations. A precision study was also conducted at the LOQ level by injecting six individual preparations of R-Telaprevir and calculating the % relative standard deviation (RSD) of the area. The accuracy at LOQ level was evaluated in triplicate for the R-Telaprevir by spiking the impurity at the estimated LOQ level to the test solution.
Precision
The repeatability of the impurities method was verified by injecting six individual preparations. Telaprevir was spiked with 0.50% of R-Telaprevir with respect to test concentration (1000 μg/ml) and the %RSD was calculated for R-Telaprevir content. The Intermediate precision of the method was also determined by repeating the same experiment on different days by different analysts using different equipment.
Linearity
Linearity solutions for the method of impurities were prepared by diluting impurity stock solutions to the required concentrations. The solutions were prepared at different concentration levels from the limit of quantification (LOQ) to 5.25%.
Accuracy
Recovery experiments were conducted to determine the accuracy of the impurities method for the quantification of R-Telaprevir in Telaprevir. The study was conducted by spiking theplacebo-based solution of test sample (1000 μg/ml) with the known amount of R-Telaprevir at 0.50, 3.50 and 5.25% in triplicate.
Robustness
The robustness of the developed method was evaluated from DoE experiments data and the effects graphs.
RESULTS
Method development and optimization of chromatographic conditions
During the method development R-Telaprevir formation in test sample was observed due to following method conditions,

Fig. 2: R-Telaprevir formations in alkaline pH [20]
Selection of detector and basis for initial wavelength selection
Telaprevir and R-Telaprevir solutions were prepared in methanol at a concentration of 100 μg/ml and scanned in an ultraviolet (UV)-visible spectrometer; Telaprevir and R-Telaprevir both had UV absorbance at 210 nm and 270 nm (fig. 3). 210 nm having maximum absorbance than 270 nm. Hence, detection at 210 nm was selected for the method development process.

Fig. 3: UV spectral overlay data for telaprevir and R-telaprevir
Selection of buffer and pH
The aim of this chromatographic method was to separate R-Telaprevir, control formation of R-Telaprevir and to elute Telaprevir as a symmetrical peak. The blend containing 1000μg/ml of Telaprevir and 5μg/ml of R-Telaprevir was injected in mobile phase containing acidic pH (KH2PO4 pH 3.00 with OPA) and neutral pH (10 mm KH2PO4 and 0.5g K2HPO4). In these two conditions, Telaprevir peak shape was observed very broad.
So basic pH (K2HPO4 pH 11.5 with KOH) was selected and blend solution was injected, in this condition symmetrical Telaprevir peak was observed. R-Telaprevir formation due to sample interaction with buffer was controlled in the method of analysis by decreasing run time.
Selection of organic modifier
Water degradation sample was chosen for initial method development, the following organic solvents were chosen for method development screening, and other chromatographic conditions are kept constant.
| Organic solvents/ratio | Observations |
| Methanol: Acetonitrile 70:30(v/v) | One degraded unknown peak was observed between Telaprevir and R-Telaprevir, the resolution is not satisfactory. |
| Methanol: Acetonitrile 10:90(v/v) | The resolution was improved between Telaprevir, unknown and R-Telaprevir, but not satisfactory. |
| Methanol: Acetonitrile: Ethanol: IPA 10:80:7:3(v/v/v/v) | With this condition, the selectivity of the unknown was changed and eluted after R-Telaprevir and found satisfactory results. (Resolution between Telaprevir and R-Telaprevir, R-Telaprevir and unknown impurity was more than 2.0), (fig. 12). |
Method optimization by design of experiments
Quality-by-Design (QbD), as defined by the ICH guideline Q8 (R2), is “a systematic approach to development that begins with predefined objectives and emphasizes product and process understanding and process control, based on sound science and quality risk management.” This approach can be extended to analytical method development and should replace the obsolete trail-and-error approach in which, for example, one-factor-at-a-time (OFAT) is varied. A modern Quality-by-Design approach uses more statistical concepts with experimental design plans (also referred as Design-of-Experiments) as an efficient and fast tool for method development. The Design-of-Experiments (DoE) is defined by the ICH guideline Q8 (R2) as “A structured, organized method for determining the relationship between factors affecting a process and the output of that process [21].
In a DoE-based QbD approach, a couple of experiments in a full or fractional factorial design are carried out, in which one or more factors are changed at the same time. Using statistic tools the effect of each factor on the separation and USP tailing is calculated to define a design space, an area in which the developed method is robust. Typical examples for the use of statistic tools are the widespread use of the “Plackett-Burman” design, a highly fractionated factorial design recommended for screening experiments only, or the more advanced Box-Behnken or Central Composite designs [22].
Based on method development results, flow rate, methanol content in mobile phase-B and buffer pH was selected as Critical Method Parameters (CMPs). The Design–of-Experiment for the scouting and the optimization runs was set up in Design-Expert 9.0.1 software by using two-level full factorial design options. The use of this statistical experimental design ensures that all important study factor effects will be expressed in the experimental data and taken together can comprehensively explore a multifactorial design space.
USP Resolution between Telaprevir and R-Telaprevir peaks, USP Resolution between R-Telaprevir and unknown Impurity (m/z = 583.6) peaks and USP tailing for Telaprevir peak were selected as Critical Quality Attributes (CQAs). Total 11 runs including three runs at center point were performed. In all the runs USP Resolution between Telaprevir and R-Telaprevir peaks (Response-1, Resolution 1), USP Resolution between R-Telaprevir and unknown Impurity (m/z = 583.6) peaks (Response-2, Resolution 2) and USP tailing for Telaprevir peak (Response-3, USP tailing) were monitored. The results from 11 runs are tabulated in table1.
Table 1: Design-of-experiments for the scouting
S. No. |
Run |
Type |
Factor-1 |
Factor-2 |
Factor-3 |
Response-1 |
Response-2 |
Response-3 |
A: Flow (ml/min) |
B: MeOH in MPB (ml) |
C: Buffer pH |
Resolution 1 |
Resolution 2 |
USP tailing |
|||
1 |
6 |
Factorial |
0.20 |
0.00 |
10.00 |
0.81 |
1.30 |
0.94 |
The effect of the Critical Method Parameters (independent variables) on the three Critical Quality Attributes (3 dependent variables) was explained by using Pareto charts (fig. 4, 5 and 6). The resolution 1 was majorly affected by C (buffer pH) and B (methanol content in mobile phase-B).
The resolution 2 was majorly affected by C (buffer pH) only. USP tailing for Telaprevir peak was majorly affected by C (buffer pH), B (methanol content in mobile phase-B) followed by mixed interaction of BC (buffer pH and methanol content in mobile phase-B).

Fig. 4: Pareto chart for critical quality attribute (CQA), USP resolution between telaprevir and R-telaprevir peaks (Response-1, Resolution 1)

Fig. 5: Pareto chart for critical quality attribute (CQA), USP resolution between R-Telaprevir and unknown Impurity (m/z = 583.6) peaks (Response-2, Resolution 2)
Design space graph was shown in (fig. 7). The definition for design space of a LC method can be “multidimensional combination and interaction of mobile phase variables (organic phase composition and buffer pH) and chromatographic parameters (Flow rate) that have been demonstrated to provide assurance of result obtained with the method”. The yellow region in Design space graph indicates the responses are in an acceptable range and the grey region shows the responses are below the desired level [23-25]. The center point parameters by changing buffer pH to 11.5 from 11.00 lying in middle of the design space; hence these parameters were finalized for normal operation.

Fig. 6: Pareto chart for critical quality attribute (CQA), USP tailing for telaprevir peak (Response-3, USP tailing)

Fig. 7: Overlay plot of design of experiments
To further verify the obtained design space, to better understand the edges of failures, and to verify the robustness of the method, two verification trails were done: one with all CMPs at significantly higher ranges and another with significantly lower ranges than the optimized condition. The obtained results were very close to the design space’s prediction and proved the inbuilt robustness of the method. The design space around normal operation indicates the robustness of the method.
A

B

Fig. 8: Chromatograms in final conditions. (A) Blank (B) System suitability solution
A

B

Fig. 9: Chromatograms in final conditions. (A) Innovator tablet (INCIVEK) (B) test solution (drug substance)
Chromatograms for Blank, System suitability solution, Innovator Tablet (INCIVEK) and Test solution (drug substance) in final Chromatographic conditions were shown in fig. 8 and 9.
DISCUSSION
Based on the final results, the successful separation of the analyte and R-Telaprevir from its impurities and degradation products was supplied by an Acquity UPLC-BEH C-18 100 mm X 2.1 mm, 1.7 μm particle size column, mobile phase A as 10 mm di-Potassium hydrogen phosphate anhydrous, pH adjusted to 11.5 with potassium hydroxide and methanol in the ratio 85:15 (v/v), mobile phase B as a mixture of Acetonitrile, methanol, 2-propanol and ethanol in the ratio 80:10:7:3 (v/v/v/v) at a detection wavelength of 210 nm, with the following gradient program [time (t)/percentage of solvent B]:0/40, 3/55, 8/80, 8.1/40, and 10/40.
The system suitability test (SST) results were as follows: the USP resolution between the Telaprevir and the R-Telaprevir peak was 2.1 and the tailing of the Telaprevir peak was 1.1.
Method validation
Specificity/Forced degradation study results
The diluent and placebo spiked solutions showed no peak interference with Telaprevir and the R-Telaprevir; moreover, the purity angle values of Telaprevir and the R-Telaprevir peaks were very much less than the purity threshold values, indicating the high specificity and selectivity of the method.
Each degraded sample was injected as such and spiked with R-Telaprevir. Peak purity for Telaprevir and the R-Telaprevir was ensured with a PDA detector. Telaprevir and the R-Telaprevir were well separated from the obtained degradation products.
From LC-MS data the unknown impurity which was observed in Water degradation sample shows protonated molecular ion at m/z = 583.6. The possible expected structure of the unknown impurity (m/z = 583.6) was shown in fig. 10. Peak purity plots along with spectrums for Telaprevir, R-Telaprevir and unknown impurity (m/z = 583.6) peaks were shown in fig. 11.
For degradation test chromatograms refer fig. 12, 13, 14 and 15. Data of degradation study was incorporated in table 2.

Fig. 10: Water degradationunknown impurity (m/z = 583.6) possible expected structure with mass spectra

Fig. 11: Chromatogram for Neutral stress condition along with PDA spectrums and purity plots

Fig. 12: Chromatogram for acid degradation condition

Fig. 13: Chromatogram for base degradation condition

Fig. 14: Chromatogram for neutral (H2O) degradation condition

Fig. 15: Chromatogram for peroxide (H2O2) degradation condition
Limit of detection and quantification
The obtained LOD, LOQ, LOQ precision, and accuracy are given in table 3.
Precision
The %RSD for the content of R-Telaprevir was found to be less than 1 % in all the studies. The results confirmed the high precision of the method.
Linearity
The calibration curve was drawn by plotting the average R-Telaprevir peak area for triplicate injection against the concentration. The result for the squared Correlation coefficient (r2) was shown in table 3.
Accuracy
Individual and average recoveries of three preparations and at three concentrations for R-Telaprevir were within 100±10%.
Robustness
The method was more robust within the normal operating range, i.e., flow rate, 0.25±0.05 ml min-1(factor 1); % methanol in mobile phase B, 10±5 % (factor 2); Buffer pH, 11.5±0.5 (factor 3); and column oven temperature, 40±5 °C, demonstrating the robustness of the method.
Solution stability and Mobile phase stability
The results from solution stability experiments confirmed that system suitability solution and impurities spiked test solutions was stable up to 24h at 10 °C. The results from mobile phase stability experiments confirmed that system suitability solution and impurities spiked test solutions in the mobile phase were stable up to 48h.
Method validation data was incorporated in table 3.
Table 2: Data of degradation study
| Degradation Condition | Time | Total impurities (%w/w) | Assay of active substance (%w/w) | Mass balance (%w/w) | Remarks |
| Thermal (105°C) | 10 d | 0.1 | 99.7 | 99.8 | Formation of R-Telaprevir was not observed. |
| Photo (UV open) | 7 d | 0.3 | 98.9 | 99.2 | Formation of R-Telaprevir was not observed. |
| Photo (Visible open) | 7 d | 0.2 | 100.1 | 100.3 | Formation ofR-Telaprevir was not observed. |
| Acid hydrolysis (5N HCl, 70°C) | 1 h | 4.4 | 93.7 | 98.1 | Minor formation of R-Telaprevir was observed. |
| Base hydrolysis (0.02N NaOH, RT) | 10 min | 6.3 | 93.1 | 99.4 | R-Telaprevir was major degradation product. |
| Water hydrolysis(70°C) | 60 h | 5.8 | 93.6 | 99.4 | R-Telaprevir was major degradation product. |
| Oxidation (10%H2O2) | 18 h | 4.1 | 94.7 | 98.8 | Formation of R-Telaprevir was not observed. |
Table 3: Summary of method validation
| Component | R-Telaprevir | Acceptance criteria |
| Retention time (min) | 6.00 | Report the result |
| Relative retention time (RRT) | 1.09 | Report the result |
| USP resolution | 2.10 | Not less than 1.5 |
| LOD in ppm | 0.150 | Report the result |
| LOQ in ppm | 0.500 | Report the result |
| %RSD for repeatability at 100% | 0.3 | Not more than 5.0 % |
| %RSD for intermediate precision | 0.5 | Not more than 5.0 % |
| %RSD for repeatability at 150% | 0.8 | Not more than 5.0 % |
| %RSD at LOQ precision | 6.3 | Not more than 10.0 % |
| Squared Correlation coefficient (r2) | 0.9996 | Not less than 0.990 |
| Accuracy at LOQ | 101.6 | 100±20 % |
| Accuracy at 0.5% | 95.8 | 100±15 % |
| Accuracy at 3.5% | 93.2 | 100±15 % |
| Accuracy at 5.25% | 92.8 | 100±15 % |
CONCLUSION
A Quality by Design (QbD) approach to define an operating space within the design space is often based on knowledge gained through Design–of-Experiments. In this case study, we used the statistic Design-Expert version9.0.1 software to develop the simple UPLC method for quantitative estimation of R-Telaprevir in drug substance and pharmaceutical dosage form. An operating space within the design space is established and ensures a robust UPLC method, which increases confidence in the ability to validate that method. This simple UPLC method is precise, accurate, linear, robust and specific. The method is stability-indicating and can be used for routine analysis of production samples and to check the stability of samples.
ACKNOWLEDGEMENT
The authors wish to thank the management of Dr. Reddy’s group for supporting this work. An authors wish to acknowledge the process research group for providing the samples for our research.
CONFLICT OF INTERESTS
Declared None
REFERENCES