
1Amneal Pharmaceuticals Pvt. Ltd., PHARMEZ, Ahmedabad, Gujarat, India. 2Department of Chemistry, Veer Narmad South Gujarat University, Surat, Gujarat, India. 3Department of Chemistry, Pacific Academy of Higher Education and Research University, Udaipur, Rajasthan, India
*Corresponding author: Jigesh H. Shah; *Email: jigesh123@yahoo.co.in
Received: 09 Jul 2024, Revised and Accepted: 21 Sep 2024
ABSTRACT
Objective: A simple, reliable, and rapid HPLC method has been established for the detection of Dexamethasone (DEX) and its related impurities. The proposed method has been validated for specificity, linearity, system suitability, accuracy, precision, robustness, LOD, and LOQ as per International Council for Harmonisation (ICH) guidelines. All parameters were found to be within the accepted limits, affirming the method's reliability.
Methods: Analysis was conducted using HPLC on X-Bridge C18 column (250 mm×4.6 mm id, 3.5 µm) with a mobile phase-A comprising buffer and acetonitrile (90:10, v/v), mobile phase-B comprising buffer and acetonitrile (25:75, v/v) and a flow rate of 0.8 ml/min by following gradient elution. The detection was performed with a UV detector set at 240 nm. The method has been employed to investigate DEX and DEX-related impurities. These studies were conducted in tablet formulations of DEX.
Results: The Retention Time (tR) of DEX was about 41.589 min, and all parameters met acceptable limit values. The response exhibited linearity over a concentration range of 0.162 to 3.052 µg/ml (R2= 0.9999). The percentage of DEX recovered from the pharmaceutical tablet dosage form ranged from 96.3 % to 100.4 %. Sensitivity levels for the developed method were indicated by LOD and LOQ values of 0.081–0.162 µg/ml. The proposed method was validated according to ICH guideline.
Conclusion: Hence, a simple, reliable, accurate, and precise HPLC method was developed, proving suitable for the separation of DEX and DEX-related impurities in commercial formulations.
Keywords: HPLC, Dexamethasone, Impurities, Accurate, Precise
© 2024 The Authors. Published by Innovare Academic Sciences Pvt Ltd. This is an open access article under the CC BY license (https://creativecommons.org/licenses/by/4.0/)
DOI: https://dx.doi.org/10.22159/ijpps.2024v16i11.52010 Journal homepage: https://innovareacademics.in/journals/index.php/ijpps
INTRODUCTION
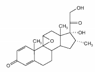
Dexamethasone (DEX) (fig.1) is chemically known as 9-Fluoro-11β, 17, 21-trihydroxy-16α-methylpregna-1, 4-diene, 3, 20-dione. DEX is the most potent synthetic glucocorticoid, which, unlike the naturally occurring cortisol and corticosterone, has virtually pure glucocorticoid activity. The potent anti-inflammatory and immunosuppressant properties of DEX render it useful in various inflammatory and autoimmune diseases [1, 2]. Its probable mechanism of action is by reducing the production of inflammatory mediators such as suppressing the increase in neutrophils, reversing the increase in capillary permeability, and suppressing the immune response [3]. It is a synthetic adrenocortical steroid used to treat many different conditions such as allergic disorders, skin conditions, ulcerative colitis, arthritis, lupus, psoriasis, or breathing disorders and is effective in acute respiratory distress syndrome [4-6].

Fig. 1: Chemical structure of DEX
Impurities in DEX formulations can arise from various sources, including synthesis, degradation, and environmental factors [7, 8].
As per the pharmacopeial forum, the official United States Pharmacopoeia (USP) method was available for the estimation of DEX and its impurities [9]. This method determined five impurities cited in table 1, whereas European pharmacopoeia (Ph. Eur.) has described an estimation method for DEX and its impurities [10], but it is controlled and separates only eleven impurities cited in table 1. Compendial methods, although commonly employed, may not adequately cover all impurities or provide the best separation conditions. It reveals that there is a limitation of individual methodologies with respect to the capability of separating multiple impurities within a single method.
The literature describes several High-Performance Liquid Chromatography (HPLC) methods available alone or in combination for the determination of DEX and its impurities [11-21]. Based on the literature survey, it has been observed that few methods are available for the estimation of DEX and individual impurities. Through a comprehensive literature search, it becomes evident that there is a lack of consensus regarding a robust analytical method capable of separating multiple impurities by using only one single method. Existing methods may have limitations such as inadequate resolution, longer analysis time and poor sensitivity, which hinder their applicability in pharmaceutical quality control.
MATERIALS AND METHODS
DEX related impurities
Based on available references of compendial pharmacopoeia and several literatures it is observed that there are multiple Impurities (around 32 impurities) in DEX, which are presented in table 1 [9-13].
Table 1: DEX related impurities
| Ph. Eur. | USP | Literature based impurity | Other possible impurities |
| EP Impurity J | l 6α-Methylprednisone (EP Impurity J) | Dexamethasone Impurity 8 | Dexamethasone Impurity l |
| EP Impurity B | Betamethasone (EP Impurity B) | Dexamethasone Impurity 9 | Dexamethasone Impurity 2 |
| EP Impurity K | Dexamethasone 7,9-diene (EP Impurity K) | Dexamethasone Glyoxal analog (Peak 1 and 2) | Dexamethasone Impurity 3 |
| EP Impurity F | Desoximetasone (EP Impurity F) | 6β-hydroxy Dexamethasone | Dexamethasone Impurity 5 |
| EP Impurity G | Dexamethasone acetate (EP Impurity G) | 16,17-unsaturated dexamethasone | Dexamethasone acid ethyl ester |
| EP Impurity A | -- | 17-Carboxy-17-Desoxy analog | 6-keto dexamethasone |
| EP Impurity C | -- | DOB-F | 21-dehydro Dexamethasone |
| EP Impurity D | -- | DOB-JN | Dexamethasone Impurity 10 |
| EP Impurity E | -- | DOB-MN | Dexamethasone Dipropionate |
| EP Impurity H | -- | DOB-AA | Dexamethasone epimeric glycolic acid |
| EP Impurity I | -- | Pregnatriene acetate | -- |
Impurity’s name and structures are cited below in fig. 2.
![]() |
![]() |
![]() |
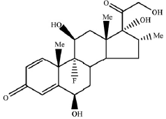
| Betamethasone/EP Impurity B | Dexamethasone Acetate/EP Impurity G | 16α-Methylprednisone/EP Impurity J |
![]() |
![]() |
![]() |
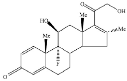
| Dexamethasone 7,9-diene/ EP Impurity K |
Desoximetasone/ EP Impurity F |
EP Impurity A |
![]() |
![]() |
![]() |
| EP Impurity C | EP Impurity D | EP Impurity E |
![]() |
![]() |
![]() |
| EP Impurity H | EP Impurity I | Impurity 1 |
![]() |
![]() |
![]() |
| Impurity 2 | Impurity 3 | Impurity 5 |
![]() |
![]() |
![]() |
| Impurity 8 | Impurity 9 | Dexamethasone Glyoxal analog |
![]() |
![]() |
![]() |
| 6β-hydroxydexamethasone | 16,17-unsaturated dexamethasone | DexaEpimeric glycolic acid |
![]() |
![]() |
![]() |
| 17-Carboxy-17-Desoxy analog | 6-keto dexamethasone | DOB-AA |
![]() |
![]() |
![]() |
| DOB-MN | DOB-JN | DOB-F |
![]() |
![]() |
![]() |
| 21-Dehydro Dexamethasone | Impurity 10 | Dexamethasone acid ethyl ester |
![]() |
![]() |
|
| Pregnatriene acetate | Dexamethasone dipropionate |
Fig. 2: Structures and name of DEX related impurities
Chemicals and reagents
The pure DEX drug was procured from Sanofi Chimie. The pharmaceutical formulation of DEX was manufactured by Amneal Pharmaceutical Private Ltd. HPLC grade Acetonitrile (ACN), Methanol and ACS grade Ortho-phosphoric acid (OPA) was sourced from Avantor India Private Ltd., HPLC grade water and ACS grade dibasic potassium phosphate was sourced from Sigma-Aldrich Chemicals Private Ltd.
Instrumentation and chromatographic conditions
Chromatographic analysis was conducted using a Shimadzu HPLC system equipped with a UV detector and an automatic injector. An X-Bridge C18 column (250 mm×4.6 mm id, 3.5 μm particle size) was employed, and Empower-3 software facilitated data processing. The flow rate (gradient) was maintained at 0.8 ml/min, and UV detection was performed at a wavelength of 240 nm. Additional equipment included an Ultra Sonicator (PCI Analytic Pvt Ltd Thane, Mumbai), a digital analytical balance (XPE205DR Mettler Toledo, USA), and a 0.45 µm membrane filter. Optimized chromatographic conditions are summarized in table 2.
Preparation of diluent
Diluent has been prepared by mixing of water and methanol in the proportion of 20:80 (v/v) respectively and stirred well.
Preparation of buffer
1000 ml of HPLC-grade water was used to dissolve 1.36 g of dibasic potassium phosphate (K2HPO4). The pH of the solution was adjusted to 6.70±0.05 using diluted OPA. Filter the solution through a 0.45 µm polyvinylidene fluoride (PVDF) membrane filter.
Table 2: Chromatographic conditions
| Parameters | Optimum chromatographic conditions |
| Instrument | RP–HPLC Shimadzu (Japan) equipped with SPD-20A UV-visible detector and LC-20AT |
| Column | X-Bridge C18, (250 mm x 4.6 mm), 3.5 µm |
| Guard column | Welch Ghost buster column, (50 mm x 4.6 mm) |
| Flow rate | 0.8 ml/minute |
| Detector | UV detector |
| Wavelength | 240 nm |
| Column oven temperature | 40 °C |
| Sample cooler temperature | 15 °C |
| Injection volume | 10 µl |
| Run time | 100 min (Gradient program) |
Gradient elution was performed as per the below table 3.
Table 3: Gradient program
| Time (min) | % Mobile phase-A | % Mobile phase-B |
| 0 | 80 | 20 |
| 8 | 80 | 20 |
| 40 | 77 | 23 |
| 85 | 20 | 80 |
| 86 | 80 | 20 |
| 100 | 80 | 20 |
Preparation of mobile phase
Preparation of mobile phase-A
Mobile Phase-A has been prepared by mixing of buffer and ACN in the ratio of 90:10 (v/v) respectively and stirred and degassed well.
Preparation of mobile phase-B
Mobile Phase-B has been prepared by mixing of buffer and ACN in the ratio of 25:75 (v/v) respectively and stirred and degassed well.
Preparation of standard solution
Standard solution of 2 µg/ml is prepared by weighing quantity of 50 mg of DEX was transferred to a 100 ml volumetric flask. Add about 70 ml of diluent and sonicate it to dissolve. Dilute to volume with diluent to obtain a solution with a concentration of 500 µg/ml. Subsequently, 5 ml of this solution was pipetted out and filled up to the mark with the diluent in another 50 ml volumetric flask to achieve a concentration of 50 µg/ml. Further dilution was performed by transferring 4 ml of this solution to a 100 ml volumetric flask and adjusting the volume to 100 ml with the diluent, resulting in a final concentration of 2 µg/ml.
Preparation of sample solution
Ten DEX tablets were weighed, and a powder equivalent to 20 mg of DEX was transferred to a clean, dry 50 ml volumetric flask. The powder was then mixed with the appropriate amount of diluent and sonicated for about 10 min. The volume was adjusted to the mark with the diluent, resulting in a sample solution concentration of 400 µg/ml. To clarify the filtration step, filter the final solution through a 0.45 µm Millipore PVDF filter and collect the filtrate after discarding 5 ml of the initial filtrate.
DEX impurities
The concentration of Dexamethasone Impurity 1, Impurity 2, Impurity 3, Impurity 8, Impurity 9 and Dexamethasone Glyoxal analog is about 0.5 µg/ml whereas other remaining impurities concentrations are about 0.3 µg/ml. The purpose of this exercise is only to identify individual impurities, the concentration is prepared based on the availability of the physical quantity of individual impurity.
Selection of wavelength for detection
The HPLC method is sensitive to the choice of the detection wavelength. An ideal wavelength provides a robust response for drugs while facilitating the detection of impurities. In this case, the wavelength was chosen from the spectrum at 240 nm.
Determination of retention time of DEX
The standard solution of DEX with a concentration of 2 µg/ml was injected into the HPLC system at a gradient flow rate of 0.8 ml/min, and the wavelength used was 240 nm. The retention time (tR) of the drug was then recorded.
Validation of developed HPLC method for DEX analysis
Method validation study of DEX was performed in compliance with the ICH Q2 (R2) requirements [22]. All these impurities are well separated from DEX. So, the method is specific to these impurities. A method validation study has been performed on DEX as other impurities are to be quantified against DEX. The following validation parameters were evaluated during the validation process.
System suitability
The system suitability properties were examined to validate the approach, column performance, and system. The system was injected with a standard solution of DEX six times, and system suitability traits were evaluated [23].
Specificity
Specificity has been performed by injecting a standard concentration of 2 µg/ml, sample solution 400 µg/ml; Impurity 1, Impurity 2, Impurity 3, Impurity 8, Impurity 9 and Dexamethasone Glyoxal analog of about 0.5 µg/ml and other remaining impurities are about 0.3 µg/ml [23, 24].
Linearity
The linearity of an analytical procedure is its ability to obtain test results that are directly proportional to the concentration of analyte in a sample. Ideally, a Linearity study is performed with five concentration levels, for betterment one additional concentration level was also performed. The linearity is established by analysing the linearity solutions of different concentrations ranging from 0.162 µg/ml to 3.052 µg/ml of DEX. The linearity of an analytical method was tested to ensure that it could produce test findings that were directly proportional to the concentration of analyte in samples within a given range, or by a well-defined mathematical transformation [25].
Accuracy
DEX recovery studies were performed at LOQ, 50%, 100% and 150 % levels of the sample concentration. These samples were analysed, and the recoveries for each are computed [19].
Precision
The intraday precision research was carried out by creating a solution of the same concentration and analysing it six times during the day. To determine interday precision, the identical process was used on two distinct days. The outcome was given as % RSD [23].
LOD and LOQ
The LOD and LOQ were determined using the equations recommended by the ICH guidelines as given below.
and 
Where σ = Standard deviation of Y-intercept. S = Slope of the calibration curve.
Robustness
Robustness was assessed by altering the chromatographic parameters, such as the composition of the mobile phase, the flow rate, the column temperature etc. The % RSD should be given. Small adjustments were allowed under ideal circumstances, and the method’s resilience was established. We tried individual variations of flow rate of ±0.2 ml, column oven temperature of ±5 °C and mobile phase composition of ±5 %. Solutions of standard concentration were injected into the system in six replicates under ideal circumstances [23-25].
RESULTS AND DISCUSSION
Method development
Various combinations of the mobile phase and stationary phase were employed to optimize the HPLC parameters. Satisfactory separation of multiple impurities from DEX and a well-symmetrical peak of DEX were achieved using the mobile phase-A (buffer: ACN, 90:10 v/v) and mobile phase-B (buffer: ACN, 25:75 v/v) with a gradient flow rate of 0.8 ml/min and detection at 240 nm. The chromatogram of DEX standard is shown in fig. 3, whereas the chromatogram of DEX with all impurities is shown in fig. 5. Optimized chromatographic condition ensures reliable and precise separation of DEX and all impurities in the analysis.
The formation of all the above impurities (table 1) is dependent on the type of formulation (Tablet, Capsule, Injection, Suspension etc); one can check the method feasibility with respect to specific impurities based on the type of formulation and can be considered for the method validation. All the above impurities cannot be formed in each finished dosage form. By considering this fact, a method validation study has been performed on DEX, as all impurities are to be quantified against DEX.
Validation of the optimized method
System suitability
System suitability criteria were examined to validate the system, approach, and column performance. The system was given six injections of DEX standard, and its suitability was assessed [23]. The chromatogram of DEX is shown in fig. 3 and the results of the studies are presented in table 4.

Fig. 3: Representative chromatogram of DEX standard
Table 4: System suitability
| Parameters | DEX |
| Theoretical plates | 45368 |
| Tailing factor | 1.1 |
| Resolution | 0.0 |
Specificity
Specificity has been evaluated by assuring no interference is observed from each impurity [22]. All impurities are well separated from the retention of the DEX retention time (41.775). Hence the method is specific as shown in table 5.
Linearity
Linear correlation (R2= 0.9999) was obtained between peak area Vs concentration of DEX in the range of 0.162 µg/ml to 3.052 µg/ml and the equation obtained is y=28522.8157x-91.8711. The linearity of the calibration curve was validated by the high value of the correlation coefficient of regression as shown in fig. 4.
Accuracy
Recovery studies were conducted to validate the accuracy of the proposed method. The acceptable range for recovery percentage is 95.0% to 105.0%, and the accuracy study results are given in table 6.
Table 5: Retention time (tR) and relative retention time (RtR) of DEX impurities [9-13]
| S. No. | Impurity name | tR | RtR |
| 1 | 6β-hydroxy Dexamethasone | 6.434 | 0.154 |
| 2 | Dexamethasone Impurity 2 | 8.593 | 0.206 |
| 3 | Dexamethasone epimeric glycolic acid | 9.641 | 0.231 |
| 4 | Dexamethasone Impurity 5 | 11.299 | 0.270 |
| 5 | 17-Carboxy-17-Desoxy analog | 13.218 | 0.316 |
| 6 | Dexamethasone Impurity 1 | 13.866 | 0.332 |
| 7 | 6-keto dexamethasone | 22.612 | 0.541 |
| 8 | Dexamethasone Impurity 9 | 23.364 | 0.559 |
| 9 | EP Impurity I | 24.304 | 0.582 |
| 10 | DOB-AA | 25.270 | 0.605 |
| 11 | EP Impurity A | 35.229 | 0.843 |
| 12 | EP Impurity J | 37.078 | 0.888 |
| 13 | Dexamethasone Impurity 3 | 38.370 | 0.918 |
| 14 | EP Impurity B | 39.552 | 0.947 |
| 15 | EP Impurity C | 45.526 | 1.090 |
| 16 | DOB-MN | 48.135 | 1.152 |
| 17 | EP Impurity D | 49.063 | 1.174 |
| 18 | EP Impurity K | 50.843 | 1.217 |
| 19 | 16,17-unsaturated dexamethasone | 53.773 | 1.287 |
| 20 | EP Impurity E | 53.951 | 1.291 |
| 21 | EP Impurity F | 56.854 | 1.361 |
| 22 | Dexamethasone Impurity 8 | 58.118 | 1.391 |
| 23 | 21-dehydro Dexamethasone | 58.596 | 1.403 |
| 24 | EP Impurity G | 64.668 | 1.548 |
| 25 | Dexamethasone Glyoxal analog (Peak 1 and 2) | 66.147 and 66.734 | 1.583 and 1.597 |
| 26 | Dexamethasone Impurity 10 | 69.834 | 1.672 |
| 27 | Dexamethasone acid ethyl ester | 70.908 | 1.697 |
| 28 | Pregnatriene acetate | 71.297 | 1.707 |
| 29 | EP Impurity H | 71.492 | 1.711 |
| 30 | DOB-JN | 74.517 | 1.784 |
| 31 | DOB-F | 78.471 | 1.878 |
| 32 | Dexamethasone Dipropionate | 79.738 | 1.909 |

Fig. 4: Calibration curve of DEX

Fig. 5: Overlaid chromatograms of DEX and related impurities
Table 6: Results of recovery studies
| Level of addition | % Mean* recovery | Amount added (µg/ml) | Amount Found (µg/ml) | % Recovery | % RSD |
| LOQ | 96.3±3.100 | 0.162 | 0.161 | 99.4 | 3.2 |
| 0.151 | 93.2 | ||||
| 0.156 | 96.3 | ||||
| 50 % | 98.3±0.252 | 0.406 | 0.398 | 98.0 | 0.3 |
| 0.399 | 98.3 | ||||
| 0.400 | 98.5 | ||||
| 100 % | 99.7±0.755 | 0.813 | 0.805 | 99.0 | 0.8 |
| 0.810 | 99.6 | ||||
| 0.817 | 100.5 | ||||
| 150 % | 100.4±0.153 | 1.220 | 1.222 | 100.2 | 0.2 |
| 1.225 | 100.4 | ||||
| 1.226 | 100.5 |
*Data are given as mean ±SD(n=3), SD (Standard deviation), %RSD (Percentage relative standard deviation)
Table 7: Results of intraday and interday precision (n=6)
| Sample # | Concentration (µg/ml) | Intraday | Interday |
| 1 | 2 | 57198 | 56082 |
| 2 | 56315 | 55695 | |
| 3 | 56852 | 55094 | |
| 4 | 56581 | 55699 | |
| 5 | 56855 | 55808 | |
| 6 | 56693 | 55362 | |
| Mean±SD | 56749±297.71 | 55623±347.51 | |
| %RSD | 0.5 | 0.6 |
Data are expressed as mean ±SD, n=6, %RSD values lower than 2 % indicates acceptable precision of the method.
Table 8: Results of robustness studies
| Parameter | Condition | *Mean area±SD | %RSD |
| Flow rate (ml/min) | 0.6 | 77070±167.68 | 0.2 |
| 0.8 | 56749±297.71 | 0.5 | |
| 1.0 | 46316±297.71 | 0.3 | |
| Column oven Temperature (°C) | 35 | 59136±274.97 | 0.5 |
| 40 | 56749±297.71 | 0.5 | |
| 45 | 59183±263.37 | 0.4 | |
| Mobile phase (v/v) | buffer: ACN, (905:95) | 58142±68.48 | 0.1 |
| buffer: ACN, (900:100) | 56749±297.71 | 0.5 | |
| buffer: ACN, (895: 105) | 58071±210.83 | 0.4 |
*Data are expressed as mean±SD, n=6
Precision
Method precision was assessed by preparing six replicates of concentration and calculating the % RSD of results [23]. The results for intraday and interday precision are presented in table 7.
LOD and LOQ
The LOD and LOQ of the proposed method were determined to be 0.081 µg/ml and 0.162 µg/ml, respectively.
Robustness
Robustness was examined using various deliberate alterations in chromatographic settings, such as variations in flow Rate, column oven temperature and organic solvent. According to the robustness investigation, the RSD for the DEX is less than 1%. Hence it is robust and complies with ICH guidelines. Table 8 displays the results.
USP method determines 16α-Methylprednisone, Betamethasone, Dexamethasone 7,9-diene, Desoximetasone and Dexamethasone acetate impurities, whereas the European pharmacopeia method determines EP Impurity J, EP Impurity B, EP Impurity K, EP Impurity F, EP Impurity G, EP Impurity A, EP Impurity C, EP Impurity D, EP Impurity E, EP Impurity H and EP Impurity I impurities [9, 10]. Chen Q. et al. have used the method for determination of Dexamethasone Impurity 8, Dexamethasone Impurity 9 as well as 6β-hydroxy dexamethasone and 16, 17 unsaturated dexamethasone impurities [11]. Dexamethasone glyoxal, 17-carboxy-17-desoxy analogs impurities have been analyzed by Ummiti et al., whereas Spangler et al. were determined DOB-F, DOB-JN, DOB-MN, DOB-AA and Pregnatriene acetate impurities in Dexamethasone [12, 13]. However, there is no such method available to estimate the Dexamethasone Impurity 1, 2, 3, 5 and 10, Dexamethasone acid ethyl ester, 6-keto dexamethasone, 21-dehydro Dexamethasone, Dexamethasone Dipropionate and Dexamethasone epimeric glycolic acid at a same time.
The USP method determines five impurities, whereas European pharmacopoeia method determines eleven impurities from Dexamethasone. Moreover, other available literature written by Chen Q. et al. determines four impurities, Ummiti et al. determine two impurities and Spangler et al. determine five impurities. Therefore, an attempt has been made to estimate the other ten impurities along with the published literature’s impurities together by the HPLC method by changing different parameters. This newly developed HPLC method separates all possible 32 impurities together in a single analysis which is superior as compared to all existing published methods.
CONCLUSION
In conclusion, a novel single HPLC method is developed for the simultaneous separation of multiple impurities in DEX drug products. This method addresses the limitations of the compendial methods and multiple literature methods. By bridging the gaps in existing analytical approaches, this method offers several advantages including high resolution, sensitivity, efficiency, and low solvent consumption as compared to multiple traditional methods. As per the overlaid chromatograms, it is evident that multiple impurities of DEX are well separated from the DEX peak. The method's selectivity makes it suitable for routine analysis of DEX formulations, also ensuring compliance with respect to quality and regulatory standards.
ACKNOWLEDGEMENT
The authors express their gratitude to Amneal Pharmaceuticals Pvt. Ltd., PHARMEZ, Ahmedabad, Gujarat for their unwavering support and provision of necessary facilities, which played a crucial role in the successful execution of this research project. The author is also thankful to the Dean and management of the Pacific Academy of Higher Education and Research University, Department of Chemistry, Udaipur, Rajasthan for providing required support.
FUNDING
Nil
AUTHORS CONTRIBUTIONS
JS contributed to the experimental work. SM and AP did the manuscript preparation. TM, AC, RA and BT contributed to hypothesis and finalization of the manuscript. All authors read and approved the final manuscript.
CONFLICT OF INTERESTS
The authors declared no conflict of interest.
REFERENCESReferences
Ong SL, Zhang Y, Whitworth JA. Mechanisms of dexamethasone-induced hypertension. Curr Hypertens Rev. 2009;5(1):61-74. doi: 10.2174/157340209787314315.
Pratiwi R, Rahmawaty A, Hasanah AN. Simple analytical method on the determination of dexamethasone in herbal medicine. J Spectrosc. 2022;2022:1-5. doi: 10.1155/2022/5141647.
Timmermans S, Souffriau JB, Libert C. A general introduction to glucocorticoid biology. Front Immunol. 2019 Jul 4;10:1545. doi: 10.3389/fimmu.2019.01545, PMID 31333672.
Mukherjee B, Mahapatra S, Gupta R, Patra B, Tiwari A, Arora P. A comparison between povidone ethylcellulose and povidone eudragit transdermal dexamethasone matrix patches based on in vitro skin permeation. Eur J Pharm Bio Pharm. 2005;59(3):475-83. doi: 10.1016/j.ejpb.2004.09.009, PMID 15760728.
Anand K, Pandey A. Validation study of steroidal drugs (dexamethasone and betamethasone) by UV spectrophotometric method. Asian J Pharm Clin Res. 2018;11(7):501-5. doi: 10.22159/ajpcr.2018.v11i7.22794.
Villar J, Ferrando C, Martinez D, Ambros A, Munoz T, Soler JA. Dexamethasone treatment for the acute respiratory distress syndrome: a multicentre randomised controlled trial. Lancet Respir Med. 2020;8(3):267-76. doi: 10.1016/S2213-2600(19)30417-5, PMID 32043986.
ICH guidelines for impurities in new drug substances Q3A(R2). International Conference on Harmonisation of Technical Requirements for Registration of Pharmaceuticals for Human Use, Chicago, USA; 2006.
ICH guidelines for impurities in new drug products Q3B(R2). International Conference on Harmonisation of Technical Requirements for Registration of Pharmaceuticals for Human Use, Chicago, USA; 2006.
The United States Pharmacopoeia 43 Rockville MD, editor. Asian: USP Convention Inc. Vol. 1284; 2024.
The European pharmacopoeia. 11th ed. the European Directorate for the Quality of Medicines and Health Care; 2024.
Chen Q, Zielinski D, Chen J, Koski A, Werst D, Nowak S. A validated stability indicating HPLC method for the determination of dexamethasone related substances on dexamethasone coated drug-eluting stents. J Pharm Biomed Anal. 2008 Nov 4;48(3):732-8. doi: 10.1016/j.jpba.2008.07.010, PMID 18722070.
Ummiti K, Vakkala S, Panuganti V, Annarapu MR. Isolation identification and characterization of 17-oxo dexamethasone an oxidative degradation impurity of dexamethasone using flash chromatography and NMR/HRMS/IR. Journal of Liquid Chromatography & Related Technologies. 2014;37(17):2403-19. doi: 10.1080/10826076.2013.836712.
Spangler M, Mularz E. A validated stability indicating method for the assay of dexamethasone in drug substance and drug product analyses and the assay of preservatives in drug product. Chromatographia. 2001;54(5-6):329-34. doi: 10.1007/BF02492678.
Grippa E, Santini L, Castellano G, Gatto MT, Leone MG, Saso L. Simultaneous determination of hydrocortisone dexamethasone indomethacin phenylbutazone and oxyphenbutazone in equine serum by high-performance liquid chromatography. Journal of Chromatography B Biomedical Sciences and Applications. 2000;738(1):17-25. doi: 10.1016/S0378-4347(99)00478-8.
Iqbal MS, Shad MA, Ashraf MW, Bilal M, Saeed M. Development and validation of an HPLC method for the determination of dexamethasone dexamethasone sodium phosphate and chloramphenicol in presence of each other in pharmaceutical preparations. Chromatographia. 2006;64(3-4):219-22. doi: 10.1365/s10337-006-0019-3.
Song YK, Park JS, Kim JK, Kim CK. HPLC determination of dexamethasone in human plasma. J Liq Chromatogr Relat Technol. 2004;27(14):2293-306. doi: 10.1081/JLC-200025726.
Huetos O, Ramos M, Martin DE Pozuelo M, Reuvers TB, San Andres M. Determination of dexamethasone in feed by TLC and HPLC. Analyst. 1999;124(11):1583-87. doi: 10.1039/a906378a.
Garcia CV, Breier AR, Steppe M, Schapoval EE, Oppe TP. Determination of dexamethasone acetate in cream by HPLC. J Pharm Biomed Anal. 2003;31(3):597-600. doi: 10.1016/s0731-7085(02)00695-7, PMID 12615249.
Kumar V, Mostafa S, Kayo MW, Goldberg EP, Derendorf H. HPLC determination of dexamethasone in human plasma and its application to an in vitro release study from endovascular stents. Pharmazie. 2006 Nov;61(11):908-11. PMID 17152981.
Karami F, Ranjbar S, Ghasemi Y, Negahdaripour M. Analytical methodologies for determination of methotrexate and its metabolites in pharmaceutical biological and environmental samples. J Pharm Anal. 2019;9(6):373-91. doi: 10.1016/j.jpha.2019.06.001, PMID 31890337.
Sireesha KR, Prakash K. HPLC UV method for simultaneous determination of ofloxacin and dexamethasone sodium phosphate. Int J Pharm Pharm Sci. 2012;4(1):415-18.
ICH guidelines for validation of analytical procedures Q2(R2). Int Counc Harmonisation Tech Requirements Requirements for Pharm Hum Use Chicago, USA; 2023.
Sharma S, Goyal S, Chauhan K. A review on analytical method development and validation. Int J App Pharm. 2018;10(6):8-15. doi: 10.22159/ijap.2018v10i6.28279.
Tsvetkova B, Pencheva I, Zlatkov A, Peikov P. High-performance liquid chromatographic assay of indomethacin and its related substances in tablet dosage forms. Int J Pharm Pharm Sci. 2012;4(3):549-52.
Grace AC, TP, TS. Development and validation of a high-performance liquid chromatographic method for determination of dapagliflozin and its impurities in tablet dosage form. Asian J Pharm Clin Res. 2019;12(3):447-53. doi: 10.22159/ajpcr.2019.v12i3.30853.