*R & D centre, Bharathiar university, Coimbatore, Tamilnadu. aDepartment of chemistry, B. N. M. Institute of technology, Bangalore, bDepartment of studies in chemistry, University of Mysore, Manasagangotri Mysore
Email: roopakp@sapthagiri.edu.in
Received: 09 Feb 2015 Revised and Accepted: 05 Mar 2015
ABSTRACT
Objectives: cefazolin sodium and cefalothin sodium are the broad spectrum of antibiotics, are mainly used to control gram positive and gram negative bacterial infections. Cefepime is used to treat moderate-severe nosocomical pneumonia, infections caused by multi resistant microorganisms.(eg. pseudomonos aeruginosa) and empirical treatment of febrile neutropenia. The objective of our method is to develop an effective, simple and sensitive spectrophotometric method for the assay of the above mentioned drugs in both tablet and in pharmaceutical dosage forms.
Methods: The method is based on the reaction of cephalosporin’s with ninhydrin reagent in the presence of sodium molybdate by maintaining the pH (5.5) using citrate buffer. The reaction is carried out at a temperature of 100 0C for 10 min for CEPM, 15 min for both CFZS and CFLS. The resulting Ruhemann’s purple product having the absorption maximum at 570 nm is measured against the reagent blank.
Results: Beer’s law is obeyed in the concentration range of (1-10 µg/ml) for cefepime, (2-20 µg/ml) for cefazolin sodium and (6-40 µg/ml) for cefalothin sodium respectively. The correlation coefficient’s (r2), molar absorptivity (€), Sandell’s sensitivity (s), Limit of detection (LOD) and quantification limits (LOQ) for the studied drugs were calculated. Recovery studies shows that this method is accurate and can be successfully employed for the determination of the studied cephalosporin’s.
Conclusion: Recovery studies, optical parameters and statistical comparisons justify that the present proposed method can be applied to routine drug formulation in pure and dosage forms and can be recommended for routine analysis and also for quality control of these drugs.
Keywords: Cephalosporin’s, Ninhydrin, Sodium molybdate, Spectrophotometry.
INTRODUCTION
Cephalosporin’s are a class of β-lactum antibiotics discovered in 1950’s and are produced by various species of the mold cephalosporium and from semi-synthetic processes. Cephalosporin’s are the broad spectrum of antibiotics are mainly used to control gram positive and gram negative bacterial infections. They are generally used in the treatment of upper respiratory and urinary tract infections. Cephalosporin’s are the second most important β-lactum after penicillin for treating infectious diseases. They are generally useful for the rare patient who is sensitive to penicillin although sensitivity to Cephalosporin’s is also sometimes found. Cephalosporin’s are derivatives of 7-aminocephalosporanic acid (7-ACA), which composed of a β-lactum ring fused with dihydrothiazone ring, but differ in the nature of substituent at the 3-and/or 7-positions of cephem ring. Cephalosporin’s are traditionally divided into first, second, third & fourth agents based roughly on the time of their discovery and their antibacterial properties.
Cefazolin sodium and cefalothin sodium are two of first generation cephalosporin’s. Both have broad spectrum activity against gram positive and gram negative bacteria. cefazolin sodium, Sodium (6R,7R)-3-(((5-methyl-1,3,4-thiadiazol-2-yl)thio)methyl)-8-oxo-7-(2-(1H-tetrazol-1-yl) acetamidol)-5-thia-1-azabicyclo(4.2.0)oct-2-ene-2-carboxylate, is semi-synthetic broad spectrum antibiotic.
Cefalothinsodium, Monosodium (6R, 7R)-3-acetomethyl-8-oxo-7-2(2-(thiophen-yl)acetylamido}-5-thia-1-azabicyclo(4.2.0)octo-2-ene-2-carboxylate, is used to study the mechanism of liposome encapsulated antibiotics.
Cefepime, (6R,7R)-7-{((2Z)-2- (2-Amino-1,3-thiazol-4-yl)-2 (methoxy imino) acetyl) amino} -3-((1-methyl-1-pyrrolidiniumyl)methyl)-8-oxo-5-thia-1-azabicyclo(4.2.0)oct-2-ene2) carboxylate,is a fourth generation cephalosporin antibiotic. Cefepime is usually reserved to treat moderate-severe nosocomical pneumonia, infections caused by multi resistant microorganisms.(eg. pseudomonos aeruginosa) and empirical treatment of febrile neutropenia.
Ninhydrin(2,2-dihydroxyindane-1,3-dione), was first prepared by Riemann in an attempt to oxidize 1-hydrindone to 1,2-diketo-hydrindene with p-nitro so dimethylaniline (Ruhemann’s, 1910). Ninhydrin, a well known carbonyl reagent was applied in the pharmaceutical assay of different nitrogeneous compounds. Amino acids, amines, amides, hydrazine’s, piperazines and cyanides were all assayed using ninhydrin, as it was known to form a condensation product of a distinctive purple color that would be measured Spectro photometrically.
Several methods have been reported for the analysis of the cephalosporin’s. The methods include spectrophotometry (1–3) and (13-20), High performance liquid chromatography (4, 5, 6), Fluorimetry (7), Colorimetric (8), polorography (9), Chemiluminescence (10), Kinetic spectrophotometry (11), Reversed phase liquid chromatography (12). While each of these reported methods has some disadvantages, majority of them are extensively time consuming, tedious and utilizes reagents which are expensive. In the present paper we reports an elegant method for the spectrophotometric determination of few cephalosporin’s using ninhydrin and sodium molybdate.
In this paper, a new simple, sensitive and precise method for the estimation of cefepime, cefazolin sodium and cefalothin sodium in both pure and pharmaceutical dosage forms were developed. The method was based on the reaction of the amine or amide groups of the cited drugs with ninhydrin in the presence of sodium molybdate as a catalyst, yielding Ruhemann’s purple product with a maximum absorption at 570 nm.
The structure of studied cephalosporin’s are

Scheme 1: Chemical structures of the investigated cephalosporin’s
| Name | R1 | R2 | R3 |
| Cefepime | ![]() |
![]() |
-COOH |
| Cefazolin sodium | ![]() |
![]() |
-COONa |
| Cefalothin sodium | ![]() |
CH2OCOCH3 | -COONa |
MATERIALS AND METHODS
Apparatus
A BL 198 Bio spectrophotometer (UV–VIS) with 1.0 cm matched cells were used for electronic spectral measurements. The pH measurements and adjustments were performed using a digital pH meter (Equiptronics, Mumbai, India, Model EQ-614).
Reagents and solutions
A cephalosporin’s (cefepime, cefazolin sodium and cefalothin sodium) (gift sample from Mylon Brazil), Ninhydrin (Merck, Germany), Sodium molybdate (Merck, Germany), citric acid(AR) and NaOH(AR) were used for the experiment. All other chemicals and solvents used were of analytical reagent grade. De ionised water was used to prepare all solutions and in all experiments.
Preparation of standard solution
Cefepime (CEPM), cefazolin sodium (CFZS), cefalothin sodium (CFLS).
Stock solutions of each drug containing 100 µg/ml were prepared by dissolving 10 mg of the respective drugs in 100 ml of water. The solutions were further diluted quantitatively according to their linearity range. The pharmaceutical preparations were purchased from a local market and analyzed.
Preparation of citrate buffer of pH 5.5
This was prepared by dissolving 21.0 g of citric acid and 200 ml 1.0 M NaOH in water and making up the volume to 1000 ml with water.
Preparation of ninhydrin and sodium molybdate mixture (NSM)
Equimolar concentrations of 0.206 M ninhydrin and sodium molybdate were dissolved in citrate buffer at pH 5.5 and made up the volume to 25 ml This solution was used within 8 h of preparation.
Standard procedure
Aliquots of the different working standard solution of CEPM (1–10 µg/ml), CFZS (2–20 µg/ml) and CFLS (6–40 µg/ml) were transferred into a series of 10 ml calibrated flasks. To each flask 1.0 ml, 1.5 ml, 1.5 ml of NSM solution and 1.0 ml, 1.0 ml and 0.5 ml of citrate buffer (pH 5.5) was added for CEPM, CFZS and CFLS respectively. Then the flasks were heated on water bath at 100 0C for 10 min for CEPM, 15 min for both CFZS and CFLS. After cooling the flasks to room temperature, the solutions were made up to the mark with distilled water. The absorbance of the solutions were measured against reagent blanks at 570 nm and the calibration graphs were constructed by plotting absorbance versus concentration of each drug. No appreciable changes were observed if the order of addition of reagents were changed.
Procedure for the assay of cephalosporin’s in commercial samples
Analysis of injections: For the analysis of an injection, the powder for injection was transferred in to a 100 ml calibrated flask and 50 ml of water was added and shaken thoroughly for about 30 min. The volume was made up to the mark with distilled water, mixed well and filtered using quantitative filter paper. Appropriate aliquots of drug solution were taken and the proposed standard procedure was followed for the analysis of the drug content. The same drug samples were also analyzed by the reference method (1, 2, 3) and the results are given in (table 4).
RESULTS AND DISCUSSION
Spectral characterization
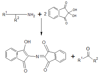
The method is based on the reaction of ninhydrin with drug molecules in the presence of sodium molybdate in citrate/citric acid buffer solution at pH 5.5 to give Ruhemann’s purple product having maximum absorbance at 570 nm. Primary amine and amides reacts with ninhydrin in the presence of sodium molybdate as a catalyst in citric acid buffer at pH 5.5 giving a condensation product. This product is formed via, oxidative deamination and then condensation with two molecules of ninhydrin giving Ruhemann’s purple color with a 𝛌max at 570 nm. The suggested possible reaction mechanism is presented in the following (scheme 2).
The absorption spectra of CEPM, CFZS, CFLS and blank is as shown in (fig. 1) The corresponding reagent blanks have practically negligible absorbance at these wavelengths. The unknown concentration of the drug can be calculated by knowing the absorbance at the 𝛌max using the regression equation.

Fig. 1: Absorption spectra of CEPM at (7 µg/ml), CFZS at (10 µg/ml)and CFLS at (40 µg/ml)
Optimization of reaction variables
Investigations were carried out to establish the most favorable condition to achieve maximum color development in the determination of these drugs.
Concentration of NSM
Different concentration combinations of ninhydrin and sodium molybdate in citrate buffer (pH 5.5) were attempted, which showed that concentration equivalent to 0.206 M of ninhydrin and sodium molybdate gave the best result. For CEPM, CFZS and CFLS drugs, the volume ranged from 0.5–3.0 ml of NSM were tested. The maximum color development for CEPM, CFZS and CFLS obtained at 1 ml, 1.5 ml and 1.5 ml of NSM at 570 nm.
Effect of pH
The maximum color intensity was observed at pH 5.5 in citrate buffer for all the drugs. The effect of different pH for CEPM, CFZS and CFLS is as shown in (fig. 2).

Fig. 2: Effect of pH in the absorbance of CEPM (5 µg/ml), CFZS (10 µg/ml), CFLS (20 µg/ml)

Fig. 3: Time course of color development of CEPM at (5 µg/ml), CFZS at (10 µg/ml) CFLS at (20 µg/ml)
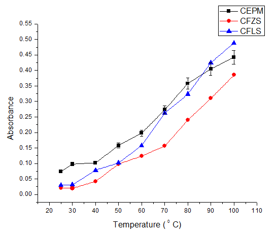
Effect of reaction time, temperature and stability of the colored product
Effect of heating time and temperature
The optimum reaction time and temperature were determined by carrying out the reaction at different temperatures (25–100 0C) and the time intervals (0–20 min). Satisfactory result, maximum color intensity and reproducible absorbance’s were obtained when the reaction mixtures were heated to 100 0C for 10 min for CEPM and 15 min for CFZS and CFLS. The effects of reaction time and temperature for CEPM, CFZS and CFLS are shown in (fig. 3 and 4) respectively.
The colored products were obtained by heating the solutions after the addition of all the reagents on a boiling water bath for about 10-15 min followed by cooling to room temperature. The colored products were stable for 1 h at room temperature.

Fig. 4: Effect of temperature of CEPM at (5 µg/ml), CFZS (10 µg/ml), CFLS (20 µg/ml)
Effect of solvent
Water, methanol, ethanol and acetonitrile were tried. Water gave the best result for all the drugs.
Validation of the proposed method
Linearity, detection and quantification limit
The Beer’s law range, molar absorptivity, sandell’s sensitivity, regression equation and correlation coefficient were determined for each drug investigated. A linear relationship was found within the range 1–10 µg/ml for CEPM, 2–20 µg/ml for CFZS and 6–40 µg/ml for CFLS. Regression analysis of Beer’s law plots revealed good correlation. The limits of detection were 0.034, 0.076 and 1.353 µg/ml for CEPM, CFZS and CFLS. The optical characteristics and parameters are given in (table 1).
Sensitivity
Sensitivity parameters such as apparent molar absorptivity, sandell’s sensitivity values and the limit of detection and quantification are calculated as per the current ICH guidelines (27). The limit of detection(LOD) and limit of quantification(LOQ) were calculated according to the guidelines using the formulae,
LOD = 3.3σ/S, LOQ = 10σ/S
Where σ is the standard deviation of reagent blank determination, and S is the slope of the calibration curve
Interference
In order to evaluate the suitability of the proposed method for the analysis of pharmaceutical preparations of the studied drugs, interference of associated common excipients such as starch, talc, magnesium stearate and lactose was studied. The results indicated that none of the excipients studied interfered in quantitative analysis by the present method. The results are given in (table 2).
Table 1: Optical characteristics and parameters of the studied cephalosporins
Parameters |
Optical characteristics |
||
CEPM |
CFZS |
CFLS |
|
color |
Purple |
Purple |
Purple |
𝛌max (nm) |
570 |
570 |
570 |
Beer’s law limit (µg/ml) |
1-10 |
2-20 |
6-40 |
Molar absorptivity(l mol-1 cm-2) |
4.55 X 104 |
4.11 X 104 |
8.87 X 103 |
Sandell’s sensitivity (µg cm-2) |
0.01056 |
0.0115 |
0.0471 |
Limit of Detection (LOD)(µg/ml) |
0.03423 |
0.07605 |
1.3532 |
Limit of Quantification (LOQ)(µg/ml) |
0.10375 |
0.2304 |
4.100 |
Regression equation(Y*) |
|
|
|
Slope (B) |
0.08064 |
0.0363 |
0.0233 |
Intercept(A) |
0.05066 |
0.0195 |
-7.8205 X 10-5 |
Correlation coefficient (r) |
0.9940 |
0.9918 |
0.9902 |
Relative standard deviationb |
0.018 |
0.019 |
0.0178 |
*Y= BX+A, where X is the concentration of the measured solution in µg/ml and Y is the unit for absorbance. bAverage of five determinations (concentrations of 5, 10 and 20 µg/ml of pure drugs of CEPM, CFZS and CFLS respectively.)
Table 2: Recovery of drugs from solutions with a 100 fold concentration of various additives present
Excipients |
% aRecovery±RSD |
||
bCEPM |
cCFZS |
dCFLS |
|
Lactose |
100.0±0.8 |
100.9±0.5 |
100.0±0.7 |
Starch |
99.9±0.2 |
99.9±0.8 |
99.9±0.3 |
Talc |
99.8±0.3 |
100.0±0.4 |
99.7±0.8 |
Magnesium stearate |
99.6±0.6 |
99.4±0.7 |
99.5±0.2 |
amean±RSD, n=3, amean of three determinations, bconcentration of CEPM used-5 µg/ml, cconcentration of CFZS used-10 µg/ml, dconcentration of CFLS used–20 µg/ml
Applications
Precision and accuracy
The precision and accuracy of the drugs were evaluated by measuring 5 independent samples at 3 different concentration levels (3, 4, 5 µg/ml) for CEPM, (4, 8, 12 µg/ml) for CFZS and (12, 20, 24 µg/ml) for CFLS. The results are presented in (table 3).
In order to check the validity of the proposed methods, CEPM, CFZS and CFLS were determined in some commercial formulations (table 4) gives the results of the determination from which it is clear that there is close agreement between the results obtained by the proposed methods and the label claim. The results were also compared statistically by a student’s t-test for accuracy and variance ratio F-test for precision with those of the reported methods (1, 2) and (3) at 95% confidence levels. The calculated t-and F-values (table 4) did not exceed the tabulated values (t = 2.44, F = 5.05) and indicated that there was no significant difference between the proposed method and the reported method.
Table 3: Evaluation of accuracy and precision of CEPM, CFZS and CFLS by the proposed method
| Drug | bAmount taken(µg/ml) | aAmount found(µg/ml) | SD(µg/ml) | % RSD | Range(µg/ml) | % RE |
| 3.0 | 2.90 | 0.002 | 0.95 | 0.1 | 3.3 | |
| CEPM | 4.0 | 3.94 | 0.001 | 0.32 | 0.06 | 1.5 |
| 5.0 | 4.86 | 0.002 | 0.46 | 0.14 | 2.8 | |
| 4.0 | 3.98 | 0.002 | 1.52 | 0.02 | 0.5 | |
| CFZS | 8.0 | 7.87 | 0.010 | 3.22 | 0.13 | 1.62 |
| 12.0 | 11.92 | 0.015 | 3.56 | 0.08 | 0.66 | |
| 12.0 | 12.01 | 0.003 | 1.28 | 0.01 | -0.88 | |
| CFLS | 20.0 | 19.99 | 0.005 | 1.19 | 0.01 | 0.05 |
| 24.0 | 24.03 | 0.003 | 0.69 | 0.03 | 0.12 |
a Mean value of five determinations, Where, SD is standard deviation, RSD is Relative standard deviation, RE is Relative error.
Table 4: Analysis of drugs in pharmaceutical formulations
Drug formulations |
Label claimed |
% Recovery±SD |
|
aProposed method |
* Reference method |
||
Cefepime powder for inj (Novapime, Lupin) |
500 mg |
100.3±0.62 |
99.61±0.93 (1) |
Cefazolin sodium powder for inj |
500 mg |
98.7±1.21 |
98.32±1.45 (2, Iodine method) |
Cefalothin sodium |
250 mg |
100.02±0.28 |
100.7±0.4 (3) |
*Mean of five determinations±Standard deviation. n=5; the t-and F-values obtained after comparison to the reference methods, which have the following theoretical values at 95% confidence limit t=2.44 and F=5.05. References inside the brackets are the reported methods given under references.
The accuracy and validity of the proposed method were further ascertained by performing recovery studies. Pre-analyzed injections were spiked with pure drugs at three different levels and the total volume was found by the proposed method. Each determination was repeated three times. The recovery of the pure drug added was quantitative and co-formulated substances starch, talc, magnesium stearate and lactose did not interfere in the determination. The results of recovery study are compiled in (table 5).
Table 5: Results of recovery experiments by standard addition method
| Formulation studied | Amount of drug taken in inj, µg | Amount of pure drug added, µg | *Total found, µg | Pure drug recovered % |
| 2.0 | 1.0 | 3.16 | 105.3 | |
| Novapime,500 mg | 2.0 | 2.0 | 4.18 | 104.5 |
| 2.0 | 3.0 | 5.16 | 103.2 | |
| 2.0 | 2.0 | 4.02 | 100.5 | |
| Reflin, 500 mg | 2.0 | 6.0 | 7.92 | 99.0 |
| 2.0 | 10.0 | 11.99 | 99.9 | |
| 4.0 | 8.0 | 12.1 | 100.8 | |
| Kefflin, 250 mg | 4.0 | 16.0 | 19.99 | 99.9 |
| 4.0 | 20.0 | 23.74 | 98.9 |
*Mean value of three determinations
CONCLUSION
The proposed method using ninhydrin and sodium molybdate for the analysis of studied drugs is simple, inexpensive and has great sensitivity and accuracy. The optical parameters and statistical comparisons justify that the present proposed method can be applied to routine drug formulation in pure and dosage forms. Therefore this method can be recommended for routine analysis and also for quality control of these drugs.
CONFLICT OF INTERESTS
Declared None
REFERENCES