
1Indus Biotech Limited, 1, Rahul Residency, off Salunke Vihar Road, Kondhwa, Pune-411026, India. 2Alfa Level Consultants, 96, East Samarth Nagar, Wardha Road, Nagpur-440015, India
*Corresponding author: Pallavi Deshpande; *Email: pallavi@indusbiotech.com
Received: 23 Aug 2024, Revised and Accepted: 21 Sep 2024
ABSTRACT
Objective: To investigate the prebiotic effects of defatted fenugreek seed flakes (Fenuflakes™) using a 48-hour colonic simulation model.
Methods: Fecal samples from three healthy adult human donors were exposed to treatment conditions of blank (medium control), Fenuflakes, or inulin (fiber control). The effects on microbial fermentation (pH and gas production), metabolite production [Short Chain Fatty Acid (SCFAs), Branched-Chain Fatty Acid (BCFA), ammonium and lactate production], and microbial community composition were evaluated at 0, 6, 24, and 48 h.
Results: In comparison to inulin, Fenuflakes demonstrated a significant reduction in gas production. Both inulin and Fenuflakes significantly increased beneficial SCFAs, but no significant change was observed in BCFA. Ammonium production increased upon Fenuflakes treatment due to a residual protein fraction reaching the colon, in contrast to inulin, which is in a protein-depleted state. The lactate levels significantly increased for Fenuflakes and inulin. The presence of Fenuflakes and inulin resulted in favorable fermentation by the colonic gut microbiota, indicating an increase in species enrichment and alpha diversity in the microbial community composition.
Conclusion: Fenuflakes exhibit prebiotic potential by increasing SCFA and promoting the enrichment of several beneficial colonic bacteria while maintaining normal colonic pH and producing less gas than inulin.
Keywords: Prebiotic, Short-chain fatty acids, Fenugreek flakes, Colonic simulation
© 2024 The Authors. Published by Innovare Academic Sciences Pvt Ltd. This is an open access article under the CC BY license (https://creativecommons.org/licenses/by/4.0/)
DOI: https://dx.doi.org/10.22159/ijpps.2024v16i11.52414 Journal homepage: https://innovareacademics.in/journals/index.php/ijpps
The human colon functions as a highly active fermentation site, housing a diverse community of over 100 trillion microorganisms, encompassing more than a thousand distinct microbial species [1]. Among these, Firmicutes (∼65%), Bacteroidetes (∼25%), Proteobacteria (∼8%), and Actinobacteria (∼5%) are the most prevalent [2]. Disruption of the Gastro-Intestinal (GI) microbiota leading to dysbiosis is recognized as a critical factor in various pathophysiological conditions, such as obesity, chronic liver diseases, cancer, diabetes mellitus, “Irritable Bowel Syndrome” (IBS), “Inflammatory Bowel Disease” (IBD), and neuropsychiatric disorders [3]. The GI microbiota can be influenced by genetics, host determinants (age of the host, disease, medication use, stress, diet, etc.), and environmental factors [4, 5]. Diet has been recognized as an upcoming avenue for modulating microbiota composition and metabolic functions. Thus, “Fermentable Oligosaccharides, Disaccharides, Monosaccharides, and Polyols” (FODMAP) in foods and prebiotics, such as dietary fibers, have gained increasing importance for enhancing the gut microbiota [6].
Soluble and insoluble dietary fibers have been widely recognized for their fermentation process in the colon, where bacterial enzymes metabolize complex carbohydrates to monomers, leading to the production of “Short-Chain Fatty Acids” (SCFAs) and gases such as hydrogen, methane, and carbon dioxide [7]. Soluble dietary fibers, such as inulin, fructooligosaccharides, glucomannan, and guar gum, influence the composition and function of gut microbiota through fermentation, thereby exhibiting a prebiotic effect [8, 9]. While most prebiotics demonstrate dynamic effects, frequent or excessive consumption may lead to GI adverse effects, such as gas, cramps, bloating, and diarrhea [10]. Hence, there is a need for a product that can produce the required fermentation metabolites without inducing undesirable effects.
Fenugreek (Trigonella foenum-graecum) seeds are widely used as spices and medicine for diabetes [11] and hyperlipidemia [12]. Fenugreek seeds contain approximately 45.4% dietary fiber composed of 32% insoluble and 13.3% soluble fiber [13, 14]. Defatted fenugreek seed flakes (Fenuflakes™) are taste-neutral dietary fibers that have been established as safe for consumption in a previous toxicological study [15]. Fenuflakes are promising prebiotic candidates with more than 50% dietary fiber content and low FODMAP certification.
To study the prebiotic efficacy and related side effects of a product, several in vitro systems have been developed that mimic GI tract and intestinal microbial processes [16]. These systems serve as valuable alternatives to in vivo studies, which are constrained by ethical considerations, high experimental costs, challenges in obtaining gut samples, inter-individual variations, and the inability to isolate the gut microbiome from other host-derived factors [17]. The most extensively used in vitro systems include the “Continuous Simulator of the Human Intestinal Microbial Ecosystem” (SHIME®), Lacroix model, EnteroMix, and in vitro model of the colon by the independent research organization, Toegepast Natuurwetenschappelijk Onderzoek (TNO) [18]. The SHIME system places particular emphasis on simulating the microbial community of the colon, offering flexibility in the addition of reactor compartments, and enabling the study of microbiomes from diverse human groups (including adults versus infants and healthy versus diseased individuals) [18]. In this study, a short fecal batch experiment was performed in a single reactor, representing a simplified replication of SHIME.
The objective of this study was to investigate the prebiotic efficacy of Fenuflakes using a short-term colonic simulation model. Prebiotic effects were evaluated based on microbial fermentation, microbial metabolic activity, and microbial community composition.
Fenuflakes were ground and sieved to produce the Fenuflakes powder supplied by Indus Biotech Ltd. (Pune, India). The Fenuflakes powder contained 62.83% total dietary fiber, 27.45% soluble fiber, 35.38% insoluble fiber, 35.24% protein [analyzed by High-Performance Liquid Chromatography (HPLC)], 0.25% net carbohydrates, and 0.60% total fat. Inulin, a non-digestible oligosaccharide, is a soluble fiber of fructose monomers linked by β-(2-1)-d-fructosyl fructose bonds [19, 20]. Frutafit® TEX, obtained from Sensus (Roosendaal, The Netherlands), contains ≥ 99.5% inulin with 0% sweetness, 97 g carbohydrates, 0 g proteins, and 0 g fats, with an average “Degree of Polymerization” (DP) of 2 – 60.
Fecal samples from three healthy human adult donors who had no history of chronic diseases and had abstained from antibiotic use in the last three months were mixed with a modified cryoprotectant [21] to form suspensions with a concentration of 75 g/l (w/v), which were preserved at -80 °C under anaerobic conditions. Fecal samples were procured from Ghent University Hospital (ethical approval number: ONZ-2022-0267) and stored in the ProDigest biobank. Prior to the experiment, an aliquot was thawed and immediately added to the reactors to protect the functioning of the intestinal bacteria, as bacterial membranes can be damaged by repeated freezing cycles, resulting in loss of function and, ultimately, viability.
Pre-digestion
The current digestion method followed a previously reported protocol [22]. To simulate the GI passage, a pre-digested Fenuflakes medium was obtained. This involved preparing a 25 g/l test product stock solution and subjecting it to various phases: the oral phase (saliva medium and α-amylase solution), gastric phase (gastric juice, lecithin, and pepsin), and small intestinal phase (pancreatic juice, trypsin, chymotrypsin, lipase, and α-amylase). Additionally, small intestinal absorption was simulated by dialysis with 3.5 kDa membranes. A pre-digested blank medium was prepared simultaneously. After pre-digestion, the intestinal solutions were sparged with nitrogen gas until anaerobiosis. Inulin is resistant to hydrolysis by digestive enzymes because of the β-configuration of C-2 [20]. Approximately 90% of inulin reaches the colon in its undigested form, where it undergoes selective fermentation by the colonic microflora [23]; hence, the pre-digestion of inulin is deemed unnecessary.
Short-term colonic incubation using a static model was performed as previously described [24]. A preliminary examination with a single donor revealed that adding 5 g/l inulin decreased colonic pH, approaching the lower limit of the colonic pH range (pH 5.63). Consequently, there is a likelihood that pH levels may further decrease when the microbiota of other donors ferment a product. Consequently, 4 g/l inulin was prepared by adding 280 mg inulin to the inulin reactors, and the Fenuflakes concentrations were matched. As the human colon volume in the fed state is approximately 600 ml [25], an in vitro dose of 4 g/l Fenuflakes corresponds to the daily ingestion of 2.4 g Fenuflakes. The Inulin and blank reactors contained the pre-digested blank medium whereas the Fenuflakes reactors contained pre-digested Fenuflakes medium.
Microbial fermentation was measured based on pH and gas production. Microbial metabolic activity was measured using SCFAs (acetate, propionate, and butyrate), “Branched-Chain Fatty Acid” (BCFAs) (isobutyrate, isovalerate, and isocaproate), ammonium (NH4+), and lactate markers. Microbial community composition was analyzed using a combination of 16S rRNA-targeted Illumina sequencing and flow cytometry to map community shifts induced by various treatments [26]. Sequencing provided the proportional abundances of different taxa at multiple phylogenetic levels, whereas flow cytometry accurately quantified the total number of bacterial cells in the sample. The study methodology is illustrated in .

Fig. 1: Study methodology
The pH was measured using a Senseline F410 (ProSense, Oosterhout, Netherlands). Gas production was measured using a handheld pressure indicator (CPH6200; Wika, Echt, Netherlands). Samples were collected at the start of the experiment [0 h] (control only) and after 6 h, 24 h and 48 h.
SCFAs and BCFAs were analyzed using a liquid-liquid extraction sample preparation method. Samples were analyzed by “Gas Chromatography” (GC) coupled with a “Flame Ionization Detector” (FID) [27]. Lactate concentrations were determined using an Enzytec kit (R-Biopharm AG, Darmstadt, Germany). Ammonium concentration was determined by colorimetric analysis using the “Indophenol Blue Spectrophotometric” (IPB) method. Samples were collected at 0 h (control only), 6 h, 24 h, and 48 h, except for ammonium, which was assessed at 0 h, 24 h, and 48 h due to minimal changes at 6 h.
The 16S rRNA Illumina sequencing involved primers spanning two hypervariable regions (V3-V4) of the 16S rRNA gene, 341F (5′-CCTACGGGNGGCWGCAG-3′) and 785R (5′-GACTACHVGGGTATCTAAKCC-3′), with the reverse primer to increase coverage [28]. Using a pair-end sequencing approach, 2 × 250 bp sequencing resulted in 424 bp amplicons. These fragments were taxonomically more informative than smaller fragments. The read assembly and cleanup were derived mainly from the MiSeq Standard Operation Procedure (SOP) described by the Schloss laboratory. Briefly, mothur (v.1.44.3) [29] was used to assemble reads into contigs, perform alignment-based quality filtering (alignment to the mothur-reconstructed SILVA SEED alignment, v138), remove chimeras (vsearch v2.13.3), assign taxonomy using a naïve Bayesian classifier and SILVA NR v138_114 [30], and cluster contigs into Operational Taxonomic Units (OTUs) at 97% sequence similarity. All sequences classified as eukaryotes, archaea, chloroplasts, and mitochondria and those that remained unclassified at the super-kingdom level, were removed. The most abundant sequence within an OTU was selected as the representative sequence. Flow cytometry (BD Accuri C6 Plus Flow Cytometer; BD Biosciences, Franklin Lakes, NJ, USA) was used to quantify the total number of bacterial cells. The samples were run at high flow rates. Bacterial cells were separated from the medium debris and signal noise by applying a threshold level of 700 to the SYTO channel. Proper parent and daughter gates were used to determine the populations. Samples were collected at the start of the experiment [0 h)] (control only) and after 48 h.
Microbial fermentation and metabolic activity parameters were analyzed using two-way repeated measures Analysis of Variance (ANOVA) to determine the effects of time and treatment conditions, as well as the interaction effect of these two factors on each marker. For parameters with a significant interaction effect, a simple main effect analysis was performed to separately explore the effects of time and condition. A pair-wise comparison of means for each condition across time and for each time across conditions was performed, and the statistical significance of difference was observed. The significance was tested at a 5% level, and the analyses were performed using SPSS version 26.0 (IBM Corp, ARMONK, USA).
Ordination analysis was performed to explore the relationship between donor samples, microbial fermentation, and metabolite parameters. Redundancy Analysis (RDA) was performed using R-programming tools (R-4.4.0, R Core Team, 2024, R Foundation for Statistical Computing, Vienna, Austria), where one of the generated ordinations was defined by the matrix of response variables and another by the matrix of explanatory variables.
For microbial community composition analysis, OTU data before treatment (0 h) and after treatment (48 h) were obtained using 16S rRNA analysis. Relative abundance at the species level was obtained using OTU data. The difference in abundance levels for each unit of species across conditions was obtained using the chi-square test, with p-values adjusted using multiple testing corrections. Diversity analyses were performed by obtaining alpha diversity indices (Richness, Chao1, Shannon, and Simpson’s diversity index). The statistical significance of differences across conditions was based on the respective metric values using the Kruskal-Wallis test. Beta diversity was assessed using hierarchical cluster analysis and represented through a dendrogram. Furthermore, differential abundance analysis was performed for the paired treatment conditions to determine the abundance of species in each comparison 48 h after the start of incubation. The analysis was performed using the ‘deseq2’ method. Fold change values (log) for species were plotted against the p-values to determine the statistical and biological relevance of the abundance of species in the comparison and were represented using a volcano plot. No multiple testing correction was performed to adjust the p-values. All the microbial analyses were performed using R-programming tools (R-4.4.0, R Core Team, 2024, R Foundation for Statistical Computing, Vienna, Austria). Statistical significance was set at P<0.05.
The mean pH and gas production at 0 h were not significant across the three treatments. There was a significant change in the mean pH and gas production across all three treatments at 6, 24, and 48 h (P<0.001). The mean pH was reduced across all treatments. Across all the time points, statistical significance was not reached for the blank and Fenuflakes; however, the reduction in pH was statistically significant for inulin (P<0.001). The mean gas production increased significantly in all conditions over time (P<0.001). The time × group interaction was statistically significant for the pH and gas concentration (P<0.001) ().
The mean acetate levels at 0 h were not significantly different across any of the three treatments. At 6 h, a significant change in the mean acetate levels was observed in the inulin treatment compared with the other two treatments (P = 0.002). At 24 and 48 h, there was a statistically significant increase in the mean acetate levels across all three treatments (P = 0.002). Within the treatments, the mean acetate level significantly increased under all conditions over time (P<0.001). Furthermore, the time × group interaction was statistically significant (P<0.001). The mean propionate levels at 0 h and 6 h were not significant across any of the three treatments. At 24 and 48 h, there was a statistically significant increase in the mean propionate levels across all three treatments (P = 0.005). Within treatments, the mean propionate level significantly increased in all treatments over time (P<0.001). Additionally, the time × group interaction was statistically significant (P<0.001). The mean butyrate levels increased but were not significantly different across all three treatments (P = 0.171) at all four time points (P = 0.067). The time × group interaction was non-significant (P = 0.163) ().
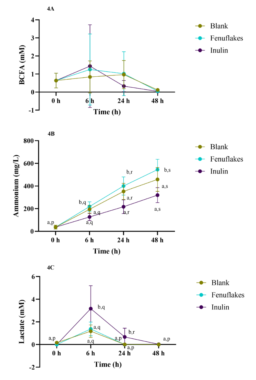
The mean BCFA levels increased between 0 and 6 h and then decreased at 24 and 48 h. These changes were not significant across all three treatments (P = 0. 763) at all four time points (P = 0.631). The time × group interaction was also not significant (P = 0.388). The mean ammonium levels at 0 h were not significant across any of the three treatment conditions. At 6, 24, and 48 h, the mean ammonium levels in Fenuflakes were significantly higher than those in the other two treatments (P<0.001). Within treatments, the mean ammonium level significantly increased in all treatments over time (P<0.001). Additionally, the time × group interaction was statistically significant (P<0.001). The mean lactate levels at 0 and 48 h were not significantly different across any of the three treatments. At 6 and 24 h, the mean lactate levels in inulin were significantly higher than those in the other two treatments (P = 0.049). Within the blank and Fenuflakes treatments, the mean lactate level significantly increased only at 6 h (P = 0.014). In the inulin group, the mean lactate levels varied significantly at 6 and 24 h (P = 0.014). Furthermore, the time × group interaction was statistically significant (P<0.026) (.
The microbial community composition of the donor’s original fecal samples analyzed at the start of the experiment revealed that Bacteroides had the highest abundance, followed by Faecalibacterium and Bifidobacterium. In blank, at 48 h, Escherichia-Shigella showed the highest abundance, followed by Bacteroides and Bifidobacterium. In inulin, Bacteroides had the maximum abundance, followed by Escherichia-Shigella and Bifidobacterium. In Fenuflakes, Bacteroides showed maximum abundance across all conditions, followed by Escherichia-Shigella. Furthermore, the difference in the relative abundance of each species across treatment conditions was statistically significant (P<0.0001). Other species were less than 10% abundant in the samples ().


Fig. 2: Microbial fermentation. (A) mean pH at different time points (0 h, 6 h, 24 h, 48 h) of the 48 h incubation across the three donors with error bars; (B) mean gas production across donors (kPa) during different timeframes of the 48 h incubation, with error bars. N = 3. Data are represented as mean±SD. Data were analyzed using a two-way repeated-measures ANOVA. Similar superscripts indicate statistical non-significance. a, b or c-between the group comparison; p, q, r or s – within the group comparisons


Fig. 3: Mean acetate (A), propionate (B), and butyrate (C) production across donors (mM) during different time frames of the 48 h incubations with error bars. N = 3. Data are represented as mean±SD. Data were analyzed using two-way repeated measure ANOVA. Similar superscripts indicate statistical non-significance. a, b or c-between the group comparison; p, q, r or s – within the group comparisons

Fig. 4: Mean BCFA (mM) (A), ammonium (mg/l) (B), and lactate (mM) production and consumption (C) across donors (mM) during different timeframes of the 48 h incubations, with error bars. N = 3. Data are represented as mean±SD. Data were analyzed using two-way repeated measure ANOVA. Similar superscripts indicate statistical non-significance. a, b, or c-between the group comparisons; p, q, r, or s – within the group comparisons

Fig. 5: Relative abundance according to species under different treatment conditions
The boxplot representation of various alpha diversity metrics in different conditions showed that the median richness was the highest at 0 h, followed by the blank, Fenuflakes, and inulin at 48 h. The difference in median values across conditions was statistically significant (P = 0.041). Chao1 is another index of richness, with a maximum median value corresponding to 0 h, followed by Fenuflakes, Blank, and inulin at 48 h. The difference in the median values was not statistically significant (P = 0.347). Post-treatment, Fenuflakes showed higher species richness, although the differences were insignificant across treatments. The median Shannon index, responsible for species richness and evenness, was highest at 0 h, followed by blank, inulin, and Fenuflakes at 48 h (P = 0.055). Simpson’s diversity index revealed that the median index was maximum at 0 h, blank, inulin, and Fenuflakes at 48 h (P = 0.038). A smaller median index for Fenuflakes suggests a greater diversity in the group. Beta diversity, as demonstrated by hierarchical clustering through a dendrogram, showed that a smaller difference was observed in the species abundance between inulin-and Fenuflakes-treated samples than that between those and the blank ().

Fig. 6: Alpha diversity (A) in various conditions 48 h after the start of incubation (the average across donors is presented). The analysis was based on relative abundance data (total sum scaling). Beta diversity (B), presented by hierarchical clustering in the form of a dendrogram, shows relatedness under treatment conditions based on species abundance
The ordination biplot of RDA had two components, RDA1 and RDA2, which explained 72.08% of the total variation (). RDA1 classified donors from each other irrespective of treatment, whereas RDA2 classified donors based on treatment, with inulin showing high scores for each donor. Marker ordination revealed that pH and NH4+were highly correlated; lactate and butyrate were highly correlated; and acetate, gas, and propionate were highly correlated. All these groups of markers were almost uncorrelated with BCFA. Two of the donors (A and C), showed higher association with pH and NH4+after treatment with Fenuflakes and blank. Markers such as lactate, butyrate, acetate, and gas showed a higher association after treatment with inulin for two donors (A and B).

Fig. 7: Ordination biplot of RDA for various markers and donor samples
Differential abundance analysis by TreeclimbR showed that species like Bacteroides, Monoglobus, and Bacteroidales unclassified were biologically and statistically significant in the Fenuflakes compared to blank; Faecalibacterium, Dialister, Bacteroides, Holdemanella, and Sutterella in inulin as compared to the blank; UCG-002 and Flavonifractor in blank compared to inulin; Faecalibacterium, Dialister, Bacteria unclassified, and Holdemanella in inulin as compared to Fenuflakes-treated samples; and Monoglobus, UCG-002, and UCG-003 in Fenuflakes as compared to inulin. All other species showed statistical and biological non-significance ().

Fig. 8: Volcano plots showing differential abundance of species in paired comparisons of A) Fenuflakes with Blank B) inulin with blank, and C) Fenuflakes and inulin-treated conditions
The present study demonstrated the potential prebiotic benefits of Fenuflakes, not only by enhancing the production of SCFAs but also by positively impacting the bacterial community composition by promoting efficient fermentation.
Dietary fibers are carbohydrates that resist hydrolysis by human intestinal enzymes but are fermented by colonic microflora. In recent decades, extensive research has been conducted to analyze their health benefits. Dietary fibers can be classified as soluble or insoluble depending on their solubility. Soluble dietary fibers, such as psyllium, inulin, β-glucan, and galactomannan, are fermented by anaerobic bacteria, promoting the production of gases, short-chain fatty acids, and other metabolic products that are believed to cause symptoms such as bloating, abdominal distension, and flatulence [31]. In addition to promoting regular bowel movements, soluble fibers exhibit beneficial effects on digestion, blood cholesterol reduction, and blood glucose management [31]. Insoluble fibers, including cellulose, hemicellulose, chitosan, and lignin, are only partially fermented and serve almost exclusively as bulking agents, resulting in a shorter transit time and increased fecal mass [20]. Insoluble fibers play a role in promoting insulin sensitivity, potentially contributing to diabetes risk reduction [32].
Some dietary fibers have been proven to be prebiotics. However, commonly marketed prebiotics have limitations. A study on short-chain fructooligosaccharides, a soluble fiber, for four weeks at a dose of 8 g/day revealed that excess flatus and bloating were significantly more frequent during ingestion than at baseline [33]. Glucomannan causes bloating, hiccups, and mild diarrhea [34]. Chicory inulin is composed of oligosaccharides and causes adverse GI events. All the above-mentioned fibers had a higher percentage of soluble fibers. Fenuflakes are novel products with similar proportions of soluble and insoluble fibers, offering the benefit of lower gas production compared to standard prebiotics at much higher doses.
Fermentation is vital for a substance to be termed a prebiotic. The pH initially drops to 5.7 as a result of gut microbial fermentation and the subsequent release of metabolites, including SCFAs and lactate [35]. The pH changes observed for blank, inulin, and Fenuflakes were in the typical colon pH range of 5.6-6.9, thus providing optimal conditions for functioning the colonic microbiota and enabling cross-feeding interactions. However, a sharp decrease in pH was observed in inulin during the 6–24 h period, raising concerns about whether increasing the dose will cause further pH reduction. Inulin may have decreased pH due to enhanced SCFA and lactate levels. The ordination biplot of the RDA revealed that donors A and C showed a higher association with pH.
In addition to pH, gas production is a measure of the overall microbial activity and speed of fermentation. As inulin is classified as a soluble fiber, its fermentation process can lead to the generation of substantial amounts of gas, resulting in GI symptoms [37]. Gas production significantly increased in the blank, Fenuflakes, and inulin during 6 – 24 h. At a dose of 4 g/l, inulin produced a sharp increase in gas at 48 h (56.35±0.42kPa) in vitro. This can be correlated with the RDA plot, which suggests that donors A and B, receiving inulin treatment, showed a higher association with gas production. This is critical because an increase in the dose would increase gas production. This can be correlated with previous studies reporting that a dose of 10 g shorter chain inulin fibers [37] and 5 g agave inulin [39] (P<0.05) substantially increased bloating and flatulence compared to control in vivo. Interestingly, gas production was lower in Fenuflakes than in inulin, suggesting that in vivo consumption of Fenuflakes could be accompanied by fewer adverse GI side effects, such as bloating and abdominal pain.
The gut microbiota generates diverse metabolites through fermentation, which are associated with both beneficial and detrimental effects on gut physiology and systemic health. While most (90–95%) are SCFAs, smaller proportions of BCFAs, including isobutyrate, isocaproate, and isovalerate, are also produced.
Fenuflakes were enriched in Bacteroides, Bifidobacterium, Blautia, Escherichia-Shigella, Lachnospiraceae, and Parabacteroides. Inulin-enriched Bacteroides, Bifidobacterium, Blautia, Dialister, Escherichia-Shigella, Faecalibacterium, and Holdemanella. The enrichment of Bacteroides after inulin treatment is consistent with the results of a previous study [49]. The acetogenic effects were induced by Bacteroides spp [40], Bifidobacterium, and Blautia [41]. Propionogenic effects occur upon enrichment of Bacteroides spp [40], Blautia [41], and Dialister [42]. The enrichment of Bacteroides spp. was correlated with the acetogenic and propionogenic effects of Fenuflakes. Bifidobacterium has been correlated with an acetogenic effect, and Blautia with an acetogenic and propionogenic effect [41]. Additionally, Parabacteroides are SCFA-producing bacteria [44] that were enriched upon Fenuflakes treatment, owing to the significant enrichment of these species, Fenuflakes and inulin showed significant acetogenic and propionogenic effects. The enrichment of Lachnospiraceae can be correlated with the butyrogenic effect of Fenuflakes [41] and that of inulin by Faecalibacterium and Holdemanella. The ordination biplot showed that butyrate and acetate had a stronger association with inulin treatment in donors A and B. Donor B, irrespective of treatment, showed a stronger association with propionate.
BCFA and ammonium are proposed as colonic protein fermentation indicators, a process that results in the concurrent generation of additional protein fermentation byproducts, such as phenol and p-cresol, which have the potential to inflict cellular damage within the intestinal milieu [44]. Therefore, high colonic BCFA and ammonium production are associated with detrimental health effects [44]. The production of BCFAs was donor-dependent in Fenuflakes (reduced in one donor, stimulated in another donor, and unaffected in the third donor); hence, statistical significance was not reached. Inulin treatment was associated with decreased BCFA production in two of the three donors, and the levels were unaffected in the third donor; thus, significance was not reached. According to the ordination biplot, donor C, irrespective of treatment, showed a higher association with BCFA.
Ammonium production, a marker of proteolytic fermentation, tended to increase upon Fenuflakes treatment. This is attributable to a residual protein fraction reaching the colon, in contrast to inulin, which is protein-depleted. Donors A and C showed a higher association with ammonium after treatment with Fenuflakes.
Lactate decreases environmental pH and inhibits pathogenic growth, as pathogens typically favor a higher pH milieu. In addition, lactate is converted to butyrate and propionate by specialized microorganisms. Lactate produced by Fenuflakes may have been consumed via cross-feeding interactions. A vital observation was that an in vitro dose of 5 g/l inulin was sufficient to disrupt normal colonic pH. Additionally, inulin significantly elevated lactate levels between 0 and 24 h. Inulin enhanced Bifidobacterium the most, followed by blank and Fenuflakes. Bifidobacterium produces lactate, which acts as an intermediate fermentation product for butyrate production [45]. This could explain the observed spike in lactate production in inulin. Lactic acidosis following excessive inulin fermentation in the gut has been reported previously [46]. Thus, inulin can induce intestinal microbiota-driven lactic acidosis. This can be correlated with the side effects of inulin, including abdominal pain and cramps, as lactic acidosis is known to cause abdominal pain. Lactate showed a higher association with inulin treatment for donors A and B.
Community composition analysis confirmed that the gut microbiota fermented Fenuflakes and inulin well, as it increased alpha diversity (species richness). However, the lower Shannon index value in the Fenuflakes, as compared to blank and inulin, suggests an uneven distribution of species. The smallest median Simpson index for Fenuflakes compared to the blank and inulin suggests greater diversity in the group. However, there was a clear shift in the microbial composition from before to after treatment. The difference in the species abundance between Inulin and Fenuflakes-treated samples was smaller compared to the blank, as shown by beta diversity.
IBS symptoms can be mitigated through diet modification, particularly by consuming low-FODMAP foods [47]. Recent findings have indicated the efficacy of diets that exclude high FODMAP foods, the effectiveness of which can be attributed to potential microbial composition modulation and useful metabolite production [48]. Many patients struggle to adhere to a low-FODMAP diet because of the time-consuming meal preparation, recipe modifications, and limited convenience food options. Researchers at Monash University certified Fenuflakes (20 g/d) as a low-FODMAP product. Owing to its neutral taste, Fenuflakes can be added to almost every food, thereby catering to the needs of the patients.
Despite the limited donors and some variability in the observed effects, the overall findings indicate that Fenuflakes and inulin displayed noteworthy prebiotic efficacy in terms of fermentation, production of beneficial SCFA, and augmentation of gut microbiota. Parallel control arms and simulations of the upper digestive and absorptive processes were implemented to ensure definitive prebiotic effects. Fenuflakes did not decrease colonic pH as much as inulin did. Additionally, Fenuflakes demonstrated lower gas production compared to inulin, thereby mitigating the issue of bloating associated with inulin consumption. Thus, Fenuflakes might hold a higher and more consistent therapeutic potential when used at optimal doses. A limitation of this study was the small sample size. Due to the small sample size, we observed inconsistencies in the enrichment of Escherichia-Shigella. More donors are necessary to establish a correlation between Escherichia-Shigella and treatment. We recommend that future clinical studies investigating the prebiotic effects of Fenuflakes should be conducted in a larger population.
In summary, the gut microbiota of all three donors effectively fermented Fenuflakes, thereby boosting SCFA production while maintaining normal colonic pH and producing less gas than inulin. Metagenomics has provided new insights into the effects of Fenuflakes on species enrichment and alpha diversity. Fenuflakes demonstrate health-promoting prebiotic potential through donor-specific enrichment and proliferation of several colonic bacteria.
We acknowledge ProDigest, Belgium, for providing contract research services.
This study was funded by Indus Biotech Limited, Pune, India.
PT, PD and SB were involved in the conception and design of study. PD and SN were involved in project supervision and administration. DR was involved in the data analysis and interpretation of data. All authors were involved in writing, reviewing, and approving the manuscript.
This study was supported by Indus Biotech Limited, Pune, India, but had no role in the collection and analysis of data.
Sadrani H, Dave J, Vyas B. Screening of potential probiotic lactobacillus strains isolated from fermented foods fruits and of human origin. Asian J Pharm Clin Res. 2014;7(7)Suppl:216-25.
Wang M, Wichienchot S, HE X, FU X, Huang Q, Zhang B. In vitro colonic fermentation of dietary fibers: fermentation rate short chain fatty acid production and changes in microbiota. Trends Food Sci Technol. 2019;88(7):1-9. doi: 10.1016/j.tifs.2019.03.005.
Aleman RS, Moncada M, Aryana KJ. Leaky gut and the ingredients that help treat it: a review. Molecules. 2023;28(2):619. doi: 10.3390/molecules28020619, PMID 36677677.
Hou K, WU ZX, Chen XY, Wang JQ, Zhang D, Xiao C. Microbiota in health and diseases. Sig Transduct Target Ther. 2022;7(1):135. doi: 10.1038/s41392-022-00974-4, PMID 35461318.
Maciel Fiuza MF, Muller GC, Campos DM, DO Socorro Silva Costa P, Peruzzo J, Bonamigo RR. Role of gut microbiota in infectious and inflammatory diseases. Front Microbiol. 2023 Mar 27;14:1098386. doi: 10.3389/fmicb.2023.1098386, PMID 37051522.
Bootz Maoz H, Pearl A, Melzer E, Malnick S, Sharon E, Bennet Y. Diet induced modifications to human microbiome reshape colonic homeostasis in irritable bowel syndrome. Cell Rep. 2022;41(7):111657. doi: 10.1016/j.celrep.2022.111657, PMID 36384106.
Han X, MA Y, Ding S, Fang J, Liu G. Regulation of dietary fiber on intestinal microorganisms and its effects on animal health. Anim Nutr. 2023 Jun 22;14:356-69. doi: 10.1016/j.aninu.2023.06.004, PMID 37635930.
Singh SP, Jadaun JS, Narnoliya LK, Pandey A. Prebiotic oligosaccharides: special focus on fructooligosaccharides its biosynthesis and bioactivity. Appl Biochem Biotechnol. 2017;183(2):613-35. doi: 10.1007/s12010-017-2605-2, PMID 28948462.
Kaur AP, Bhardwaj S, Dhanjal DS, Nepovimova E, Cruz Martins N, Kuca K. Plant prebiotics and their role in the amelioration of diseases. Biomolecules. 2021;11(3):440. doi: 10.3390/biom11030440, PMID 33809763.
JI J, Jin W, Liu SJ, Jiao Z, LI X. Probiotics prebiotics and postbiotics in health and disease. Med. 2023;4(6):e420. doi: 10.1002/mco2.420, PMID 37929014.
Dimple KA, Kumar A, Kumar V, Tomer V. Traditional medicinal systems for treatment of diabetes mellitus: a review. Int J Pharm Pharm Sci. 2018;10(5):7-17. doi: 10.22159/ijpps.2018v10i5.25374.
Verma N. Introduction to hyperlipidemia and its treatment: a review. Int J Curr Pharm Sci. 2016;9(1):6-14. doi: 10.22159/ijcpr.2017v9i1.16616.
Ahmad A, Verma HN, Dev K. Indian medicinal plant Trigonella foenum-Graecum: phytocompounds detection and pharmacological studies. Asian J Pharm Clin Res. 2018;11(8):230-6. doi: 10.22159/ajpcr.2018.v11i8.21200.
Wani SA, Kumar P. Fenugreek: a review on its nutraceutical properties and utilization in various food products. J Saudi Soc Agric Sci. 2018;17(2):97-106. doi: 10.1016/j.jssas.2016.01.007.
Thakurdesai PA, Deshpande PO, Pujari RR, Gumaste SA, Pore MP. Prenatal developmental oral toxicity evaluation of defatted fenugreek seed flakes (fenuflakestm) in laboratory rats. Curr Res Nutr Food Sci. 2023;11(1):187-98. doi: 10.12944/CRNFSJ.11.1.13.
Li C, Yu W, Wu P, Chen XD. Current in vitro digestion systems for understanding food digestion in human upper gastrointestinal tract. Trends Food Sci Technol. 2020;96 Suppl 2:114-26. doi: 10.1016/j.tifs.2019.12.015.
Sensoy I. A review on the food digestion in the digestive tract and the used in vitro models. Curr Res Food Sci. 2021 Apr 14;4:308-19. doi: 10.1016/j.crfs.2021.04.004, PMID 34027433.
Van DE Wiele T, Van Den Abbeele P, Ossieur W. The simulator of the human intestinal microbial ecosystem (shime®). In: Verhoeckx K, Cotter P, Lopez-Exposito I, editors. The impact of food bioactives on health: in vitro and ex vivo models. Cham (CH): springer; 2015.
Barboi OB, Ciortescu I, Chirila I, Anton C, Drug V. Effect of inulin in the treatment of irritable bowel syndrome with constipation. Exp Ther Med. 2020;20(6):185. doi: 10.3892/etm.2020.9315, PMID 33101475.
Chapter MD. 3-the interaction between insoluble and soluble fiber. In: Samaan RA, editor. Dietary fiber for the prevention of cardiovascular disease. Academic Press; 2017. p. 35-59.
Hoefman S, Pommerening Roser A, Samyn E, DE Vos P, Heylen K. Efficient cryopreservation protocol enables accessibility of a broad range of ammonia-oxidizing bacteria for the scientific community. Res Microbiol. 2013;164(4):288-92. doi: 10.1016/j.resmic.2013.01.007, PMID 23376087.
Mackie A, Rigby N. Info gest consensus method. In: Verhoeckx K, Cotter P, Lopez-Exposito I, Kleiveland C, Lea T, Mackie A. editors. The impact of food bioactives on health: in vitro and ex vivo models. Berlin: Springer; 2015. p. 13-22.
Micka A, Siepelmeyer A, Holz A, Theis S, Schon C. Effect of consumption of chicory inulin on bowel function in healthy subjects with constipation: a randomized double blind placebo controlled trial. Int J Food Sci Nutr. 2017;68(1):82-9. doi: 10.1080/09637486.2016.1212819, PMID 27492975.
Van Den Abbeele P, Kamil A, Fleige L, Chung Y, DE Chavez P, Marzorati M. Different oat ingredients stimulate specific microbial metabolites in the gut microbiome of three human individuals in vitro. ACS Omega. 2018;3(10):12446-56. doi: 10.1021/acsomega.8b01360, PMID 30411009.
Pritchard SE, Marciani L, Garsed KC, Hoad CL, Thongborisute W, Roberts E. Fasting and postprandial volumes of the undisturbed colon: normal values and changes in diarrhea predominant irritable bowel syndrome measured using serial mri. Neurogastroenterol Motil. 2014;26(1):124-30. doi: 10.1111/nmo.12243, PMID 24131490.
Vandeputte D, Kathagen G, D Hoe K, Vieira Silva S, Valles Colomer M, Sabino J. Quantitative microbiome profiling links gut community variation to microbial load. Nature. 2017;551(7681):507-11. doi: 10.1038/nature24460, PMID 29143816.
DE Weirdt R, Possemiers S, Vermeulen G, Moerdijk Poortvliet TC, Boschker HT, Verstraete W. Human faecal microbiota display variable patterns of glycerol metabolism. FEMS Microbiol Ecol. 2010;74(3):601-11. doi: 10.1111/j.1574-6941.2010.00974.x, PMID 20946352.
Klindworth A, Pruesse E, Schweer T, Peplies J, Quast C, Horn M. Evaluation of general 16s ribosomal RNA gene PCR primers for classical and next generation sequencing based diversity studies. Nucleic Acids Res. 2013;41(1):e1. doi: 10.1093/nar/gks808, PMID 22933715.
Schloss PD, Westcott SL, Ryabin T, Hall JR, Hartmann M, Hollister EB. Introducing mothur: open source platform independent community supported software for describing and comparing microbial communities. Appl Environ Microbiol. 2009;75(23):7537-41. doi: 10.1128/AEM.01541-09, PMID 19801464.
Quast C, Pruesse E, Yilmaz P, Gerken J, Schweer T, Yarza P. The silva ribosomal RNA gene database project: improved data processing and web based tools. Nucleic Acids Res. 2012;41(D1):D590-6. doi: 10.1093/nar/gks1219.
Guan ZW, YU EZ, Feng Q. Soluble dietary fiber one of the most important nutrients for the gut microbiota. Molecules. 2021;26(22):6802. doi: 10.3390/molecules26226802, PMID 34833893.
Barber TM, Kabisch S, Pfeiffer AF, Weickert MO. The health benefits of dietary fibre. Nutrients. 2020;12(10):3209. doi: 10.3390/nu12103209, PMID 33096647.
Bouhnik Y, Achour L, Paineau D, Riottot M, Attar A, Bornet F. Four week short chain fructo oligosaccharides ingestion leads to increasing fecal bifidobacteria and cholesterol excretion in healthy elderly volunteers. Nutr J. 2007 Dec 5;6:42. doi: 10.1186/1475-2891-6-42, PMID 18053236.
Fang Y, MA J, Lei P, Wang L, QU J, Zhao J. Konjac glucomannan: an emerging specialty medical food to aid in the treatment of type 2 diabetes mellitus. Foods. 2023;12(2):363. doi: 10.3390/foods12020363, PMID 36673456.
Firrman J, Liu L, Mahalak K, Tanes C, Bittinger K, TU V. The impact of environmental pH on the gut microbiota community structure and short chain fatty acid production. FEMS Microbiol Ecol. 2022;98(5):fiac038. doi: 10.1093/femsec/fiac038, PMID 35383853.
Sheng W, JI G, Zhang L. Immunomodulatory effects of inulin and its intestinal metabolites. Front Immunol. 2023 Aug 10;14:1224092. doi: 10.3389/fimmu.2023.1224092, PMID 37638034.
Bonnema AL, Kolberg LW, Thomas W, Slavin JL. Gastrointestinal tolerance of chicory inulin products. J Am Diet Assoc. 2010;110(6):865-8. doi: 10.1016/j.jada.2010.03.025, PMID 20497775.
Holscher HD, Doligale JL, Bauer LL, Gourineni V, Pelkman CL, Fahey GC. Gastrointestinal tolerance and utilization of agave inulin by healthy adults. Food Funct. 2014;5(6):1142-9. doi: 10.1039/c3fo60666j, PMID 24664349.
LI LL, Wang YT, Zhu LM, Liu ZY, YE CQ, Qin S. Inulin with different degrees of polymerization protects against diet induced endotoxemia and inflammation in association with gut microbiota regulation in mice. Sci Rep. 2020;10(1):978. doi: 10.1038/s41598-020-58048-w, PMID 31969646.
Bagenholm V, Reddy SK, Bouraoui H, Morrill J, Kulcinskaja E, Bahr CM. Galactomannan catabolism conferred by a polysaccharide utilization locus of bacteroides ovatus: enzyme synergy and crystal structure of a β-mannanase. J Biol Chem. 2017;292(1):229-43. doi: 10.1074/jbc.M116.746438, PMID 27872187.
Zhang D, Jian YP, Zhang YN, LI Y, GU LT, Sun HH. Short chain fatty acids in diseases. Cell Commun Signal. 2023;21(1):212. doi: 10.1186/s12964-023-01219-9, PMID 37596634.
Ghannoum MA, Ford M, Bonomo RA, Gamal A, McCormick TS. A microbiome driven approach to combating depression during the Covid-19 pandemic. Front Nutr. 2021 Aug 24;8:672390. doi: 10.3389/fnut.2021.672390, PMID 34504858.
Cui Y, Zhang L, Wang X, YI Y, Shan Y, Liu B. Roles of intestinal parabacteroides in human health and diseases. FEMS Microbiol Lett. 2022 Aug 29;369(1):fnac072. doi: 10.1093/femsle/fnac072, PMID 35945336.
Rios Covian D, Gonzalez S, Nogacka AM, Arboleya S, Salazar N, Gueimonde M. An overview on fecal branched short chain fatty acids along human life and as related with body mass index: associated dietary and anthropometric factors. Front Microbiol. 2020;11:973. doi: 10.3389/fmicb.2020.00973, PMID 32547507.
Alsharairi NA. Therapeutic potential of gut microbiota and its metabolite short chain fatty acids in neonatal necrotizing enterocolitis. Life. 2023;13(2):561. doi: 10.3390/life13020561, PMID 36836917.
Yunusbaeva M, Borodina L, Terentyeva D, Bogdanova A, Zakirova A, Bulatov S. Excess fermentation and lactic acidosis as detrimental functions of the gut microbes in treatment naive TB patients. Front Cell Infect Microbiol. 2024 Feb 9;14:1331521. doi: 10.3389/fcimb.2024.1331521.
Morariu ID, Avasilcai L, Vieriu M, Lupu VV, Morariu BA, Lupu A. Effects of a low fodmap diet on irritable bowel syndrome in both children and adults a narrative review. Nutrients. 2023 May;15(10):2225. doi: 10.3390/nu15102295, PMID 37242178.
Gibson PR, Halmos EP, Muir JG. Review article: fodmaps prebiotics and gut health the fodmap hypothesis revisited. Aliment Pharmacol Ther. 2020;52(2):233-46. doi: 10.1111/apt.15818, PMID 32562590.