1School of Science, Vile Parle (West), Mumbai, Maharashtra, India, 2Bombay College of Pharmacy, Santacruz (East), Mumbai, Maharashtra, India
Email: krishnapriyamohanraj@gmail.com
Received: 09 Feb 2015 Revised and Accepted: 04 Mar 2015
ABSTRACT
Objective: To develop and validate a selective stability indicating high performance liquid chromatographic method for fenoxazoline hydrochloride, to carry out its forced degradation and to identify the degradation products using hyphenated techniques like liquid chromatography-mass spectrometry, thin layer chromatography-mass spectrometry and tandem mass spectrometry.
Methods: The optimised chromatographic conditions involved the use of Methanol: 10 mM Ammonium acetate (v/v) with 0.3% triethylamine with pH adjusted to 4 using formic acid (55:45) and 0.5 ml/min flow rate. Fenoxazoline hydrochloride was subjected to hydrolytic, oxidative, photolytic and thermal stress conditions as per International Conference on Harmonisation guidelines. The degradation products were characterized by liquid chromatography-mass spectrometry, tandem mass spectrometry and a novel hyphenated technique, thin layer chromatography-mass spectrometry. Fragmentation pathways and degradation pathways of the drug and the degradation products were postulated.
Results: The drug was found to be highly susceptible to degradation under alkaline conditions. Two degradation products were formed in all the stress conditions with aqueous media. This method was validated as per ICH guidelines and was found to comply with the standard norms. The calibration curve was found to be linear between 0.07-100 μg/ml. Limit of detection and quantitation was 0.02 μg/ml and 0.07 μg/ml respectively.
Conclusion: A simple, isocratic and selective stability-indicating high performance liquid chromatographic method has been developed and validated for the determination of fenoxazoline hydrochloride. The validated method was found to be linear, precise, accurate and robust. The degradation products were identified as 2-(2-isopropylphenoxy)-N-(2-aminoethyl) acetamide and 2-(2-isopropylphenoxy) acetic acid, which are novel impurities for fenoxazoline hydrochloride.
Keywords: Fenoxazoline hydrochloride, Impurities, Forced degradation, Stability indicating method, TLC-MS.
INTRODUCTION
Impurity profiling is now gaining critical attention from regulatory authorities. The presence of impurities, even in a small amount, may influence the efficacy and safety of pharmaceutical products. A stability indicating method is defined as a validated analytical procedure that can accurately and precisely measure active ingredients (drug substance or drug product) free from process impurities, excipients and degradation products [1]. The International Conference on Harmonization (ICH) guideline, Q1A (R2) requires forced decomposition of the drugs under conditions of hydrolysis, oxidation, photolysis, and thermal stress to determine their intrinsic stability and to justify the stability-indicating nature of the analytical method employed in stability studies [2]. It also lays emphasis on the establishment of the degradation pathway of the drug. Numerous studies have been reported in the literature on the protocol of stress testing [3-5], establishment of stability-indicating assays [6-9] and characterization of degradation products by carrying out LC–MS and MS/MS fragmentation studies [10-13].
Fenoxazoline (FEN), chemically known as 2-[(2-propan-2-ylphenoxy) methyl]-4, 5-dihydro-1H-imidazole (fig. 1) is employed as a topical nasal decongestant with rapid and prolonged action [14]. FEN is not yet official in any of the pharmacopoeias. The purpose of the present study was to develop a stability indicating high performance liquid chromatographic assay method to separate the drug and its degradation products and to characterize the degradation products of fenoxazoline using various mass spectrometry techniques. Till recently there were no reports of any studies on forced degradation of fenoxazoline and development of stability indicating method, except for a very recent article which describes forced degradation studies of fenoxazoline hydrochloride [15]. But our observations and degradation products were found to be different.

Fig. 1: Structure of Fenoxazoline hydrochloride (FEN)
MATERIALS AND METHODS
Chemicals and reagents
Fenoxazoline hydrochloride was received as a gift sample from Precise Chemipharma (Navi Mumbai, Maharashtra, India) and was used without further purification. HPLC grade methanol (MeOH), Ethyl acetate (EA), Diethylamine (DEA) and analytical reagent (AR) grade hydrochloric acid (HCl) was purchased from Merck (Mumbai, India). Ammonium acetate (CH3COONH4), hydrogen peroxide (H2O2), sodium hydroxide (NaOH) and triethylamine (TEA) were purchased from S. D. Fine-Chemicals Ltd. (Mumbai, India) and HPLC grade water was prepared by using a quartz double distillation assembly of Lab-Sil Instruments (Bangalore, India).
Instrumentation
Stability studies
A stability chamber (Scientico, Mumbai) was used to carry out solid state thermal stress studies. Photostability studies were carried out in a photostability chamber (Thermolab Scientific Equipments Pvt. Ltd., India).
Liquid chromatography
The high performance liquid chromatography (HPLC) system was Jasco 800 series fitted with a 20 µl injection loop and a series 975 UV detector. The output signal was monitored and processed using Borwin software. The components were separated using Inertsil ODS 3V (150 x 4.6 mm, 5 µm) column and 10 mM ammonium acetate: methanol (45:55) as the mobile phase in an isocratic mode. The wavelength used was 220 nm. Flow rate was adjusted to 0.5 ml/min as lower LC flow rates are generally preferred for LC-MS since the MS operates under vacuum and can only handle a limited load generated from the LC eluent [16].
LC-MS
LC-MS studies of drug and degradants were carried out on Waters Micromass-Quatramicro API system. Conditions for degradation products: Degradation product 1 (DP1): Capillary voltage, 3.14 KV; Cone voltage, 10 V; Extractor, 2; Rf lens; 0.2; Temperature: Source temperature, 100 °C; Desolvation temperature, 300 °C. Varying conditions for degradation product 2 (DP2): Capillary voltage, 3.10 KV; Extractor, 5.
MS/MS
MS/MS studies were carried out using an Applied Biosystems MDS SCIEX system. Triple quadrupole mass spectrometric analysis was performed on API Applied Biosystems Hybrid Q-Trap API 2000 Mass Spectrometer (AB-MDS Sciex, Toronto, Canada) equipped with electrospray ionization source (ESI). Data acquisition and analysis were performed using Analyst software 1.3.1 (AB SCIEX, USA). The mass spectrometer was run in positive and negative electrospray ionization (ESI) mode with mass to charge (m/z) ratio in the range of 50–300 m/z.
The operating conditions for MS scan for FEN and DP1 were: A) Compound dependent parameters: Declustering potential (DP), 60.00 V; Entrance potential (EP), 10.00 V; Collision Entrance Potential (CEP), 10.00 V; Collision Energy (CE), 35.00 eV; Collision Exit Potential (CXP) 4.00 V B) Gas Parameters: Curtain gas (CUR), 15.00 psi; GS1 (nebulizer gas), 80.00 psi; GS2 (Heater gas), 20.00 psi; Ionisation potential (ISP) 4000.00 V; CAD, Medium.
The operating conditions for MS scan for DP2 were: A) Compound dependent parameters: Declustering potential (DP),-50.00 V; Entrance potential (EP),-10.00 V; Collision Entrance Potential (CEP),-12.49 V; Collision Energy (CE),-25.00 eV; Collision Exit Potential (CXP), -5.00 V; B) Gas Parameters: Curtain gas (CUR), 15.00 psi; GS1 (nebulizer gas), 80.00 psi; GS2 (Heater gas), 20.00 psi; Ionisation potential (ISP),-3920.00 V; CAD, Medium.
HPTLC and TLC-MS
High performance thin layer chromatography was carried out using Camag Linomat 5 and the densitometer used was Camag Scanner IV. For carrying out TLC-MS analysis Camag TLC-MS interface and LCMS-2020 (Shimadzu Corporation, Japan) was used. The operating conditions for MS scan: Desolvation line temperature: 250 °C; Nebulising gas: 1.5 l/min; Heating block: 450 °C; drying gas: 15 l/min
Forced degradation studies
FEN was subjected to different stress conditions such as hydrolysis, oxidation, dry heat and photolysis. A stock solution of 1000 µg/ml of the drug was prepared in methanol. This was used further for all the stress studies. FEN was subjected to hydrolytic decomposition under acidic condition using 5 N HCl for 48 h at 60 °C, under basic condition using 0.1 N NaOH for 25 min at room temperature, and under neutral condition with water at 60 °C for 3 h. For oxidative stress, the drug was treated with 30% H2O2 at room temperature for a month. For thermal degradation, the solid drug and its 1% solution form in water were heated in a stability chamber at a temperature of 40 °C/75% relative humidity (RH) for 24 h. For photolytic degradation, the solid drug and its 1% solution form in water was exposed to 1.2 million lux h fluorescent light and 200 Wh/m2 of UV light. After the specified time intervals the samples were collected and stored in the refrigerator at 4 °C.
Sample preparation
In case of all the stress conditions, samples were diluted with mobile phase to achieve a concentration of 50 µg/ml. The samples from acid and base hydrolytic conditions were initially neutralized with equivalent strength of base or acid respectively and further diluted with mobile phase.
Validation
Specificity
To perform specificity a mixture was prepared by combining the stressed solutions. The solution was evaluated for resolution of the drug from the generated impurities.
Linearity
For linearity, solutions were prepared from stock solution at concentration levels from 0.07-100 μg/ml of analyte concentration. The graph of peak area versus concentration was plotted by least-squares linear regression analysis.
LOD and LOQ
LOD and LOQ were calculated directly from the calibration plot. The limits of detection (LOD) and quantification (LOQ) were calculated as 3.3σ/S and 10σ/S, respectively, where σ is the standard deviation of intercept and S is the slope of the calibration plot.
Precision
Precision was determined by measuring the intra-day precision and the inter-day precision, both expressed as RSD (%). It was evaluated at three concentrations levels of 20, 40 and 60 μg/ml in bulk drug sample, in triplicates.
Accuracy
Accuracy was determined by carrying out recovery studies. It was evaluated at three concentrations levels of 20, 40 and 60 μg/ml in bulk drug sample, in triplicates.
Robustness
Robustness was performed by carrying out deliberate changes in flow rate (±0.1 ml/min), mobile phase ratio (±1 ml) and pH of the mobile phase (±0.2 units).
Isolation of the impurities
In order to characterize the impurities, it was decided to carry out isolation to obtain a pure form of the impurities. The isolation was carried out using preparative high performance thin layer chromatography (HPTLC). The method developed, employed HPTLC aluminium plates precoated with silica gel 60F-254 as the stationary phase. Method development was carried out with various mobile phase systems to achieve a good separation. A mixture of acid and base stress condition samples was used as the sample for isolation. Densitometric scanning was performed using Densitometer scanner IV. The plate was kept in the TLC visualizer and the drug and impurity bands were marked. The selected areas were then cut out along with the silica, in thin long strips. The impurities and drug were then extracted from the silica gel with methanol and the extracts were pooled. The pooled extract was filtered and the solvent was evaporated to constant weight.
RESULTS AND DISCUSSION
Stress studies and development of stability indicating assay method
Stability indicating assay methods can be of two types, specific stability indicating assay method and selective stability indicating assay method. ‘Specific stability-indicating assay method (Specific SIAM)’ can be defined as ‘a method that is able to measure unequivocally the drug(s) in the presence of all degradation products.’ ‘Selective stability-indicating assay method (Selective SIAM)’ can be defined as ‘a method that is able to measure unequivocally the drug(s) and all degradation products [9].’ The second method can be used for assay of the drug as well as for quantifying the impurities. The authors have developed a selective stability indicating assay method for FEN. Since impurity standards were not available, validation for only the drug peak was performed. Fenoxazoline degraded to give two products, after it was exposed to different stress conditions. The degradants were labeled as degradation product 1 (DP1) and degradation product 2 (DP2) in the sequence of their elution. The retention time of the drug was found to be 7.9 min and retention times of the DP1 and DP2 were observed to be 9.5 and 24.5 min respectively. All stress conditions lead to the formation of a common degradation product, DP1. Degradation product 2 (DP2) was observed in both acid hydrolysis and oxidative stress conditions. Under acid hydrolysis, the drug degraded (12.92%) to form two products DP1 and DP2 after exposure to 5 N HCl for 48 h at 60 °C. In case of neutral hydrolysis, the drug degraded (16.75%) to form DP1, when the drug was exposed to water at 60 °C for 3 h. Under base hydrolysis, the drug was found to degrade (14.69%) to form DP1 within 25 minutes of exposure to 0.1 N NaOH at room temperature. The drug was found to be highly susceptible to degradation in basic condition as bases are known to be stronger nucleophiles. The degradation was slower in case of neutral hydrolysis and much slower in case of acid hydrolysis. The drug degraded to form DP1 when it was treated with 30% H2O2 for four days at room temperature. Unlike acid hydrolysis, degradation of DP1 to form DP2 was observed only when the drug was treated further for a month. The drug was exposed to heat in a stability chamber at 40 °C±2 °C/75% RH±5% RH for 24 h in both solid as well as in solution forms. The drug in solid form was found to be stable. However, in solution form, the drug was found to degrade to form DP1. The drug was exposed to 1.2 million lux h of fluorescent light and 200 Wh/m2 UV light in both the solid form as well as in the solution form. The drug in solid form was found to be stable. However, in solution form, the drug degraded to form DP1. The degradation exceeded 20% in oxidation, thermal and photolytic stress conditions. The percent degradation for all the stress conditions was calculated by area normalization method considering the response factor of all the components to be 1.
A solution was prepared by mixing the stress samples in which the degradants were observed. This solution was analyzed using the developed HPLC method. Chromatogram of mixed stressed sample showing the separation of the drug FEN and the two degradation products is shown in fig. 2.

Fig. 2: HPLC Chromatogram of mixed stressed sample showing the separation of the drug FEN and the two degradation products namely DP1 and DP2
The developed LC method was able to separate the impurities from the drug as well as from each other, hence the method can be said to be a selective stability indicating method. This method can be used for quantification of the drug since all the impurities were well resolved and it met all. l the system suitability parameters.
Validation
Specificity
The method was found to be specific and stability indicating as the degradants were well resolved from the drug and from one another. The resolution was observed to be>2 for all the peaks (fig. 2).
Linearity
The response of the drug was found to be linear over the concentration range from 0.07 µg/ml-100 µg/ml (r2=0.999). The equation of the line was observed to be y= 74914x+11452.
LOD and LOQ
Limit of detection, LOD was calculated to be 0.02 µg/ml and the limit of quantitation, LOQ was calculated to be 0.07 µg/ml using standard deviation of the response and the slope method [17].
Precision
The percent RSD was found to be less than 2% for both intra-day and inter-day precision which indicates that the method is precise. Precision data is represented in table 1.
Accuracy
Mean recovery of the drug was observed to be 101.36% which suggests that the method is accurate. Recovery data is presented in table 2.
Robustness
It was observed that deliberate changes made in the method with regards to the flow rate, mobile phase ratio and the pH of the mobile phase did not cause any significant changes in the resolution, accuracy and precision indicating that the method is robust.
Isolation of impurities
No thin layer chromatographic method for FEN and its degradation products has been reported. There are reports on thin layer chromatographic analysis of antazoline, an analogue of fenoxazoline for separation of the drug from its degradation products [18]. Different mobile phase compositions were tried to achieve a good separation of the drug from its degradation products. The mobile phase Ethyl acetate: Methanol: Diethylamine (7.5:2:0.5) was found to give a good resolution between the drug and its degradation products (fig. 3). However, the yield obtained after isolation was very low. A newer hyphenated technique, TLC-MS was explored in this study for identification of the degradation products.
TLC-MS studies
TLC-MS Interface
TLC is a fast and a relatively inexpensive chromatographic method for separating complex mixtures and mass spectrometry (MS) is a suitable technique for identification due to its high sensitivity [19]. Coupling of thin layer chromatography (TLC) and mass spectrometry (MS) opens up new possibilities for both techniques. TLC-MS interface can semi-automatically extract zones of interest and direct them online into HPLC-MS systems. This technique has been quite widely explored in the field of forensic sciences [19-21] and for determination of analytes in different biological matrices [22]. The authors have tried to explore this technique for identification of degradation products of fenoxazoline.
For carrying out TLC-MS, a TLC plate was developed using the optimised conditions mentioned earlier. The developed plate was kept in the UV chamber and the bands were marked. This plate was placed on the interface which was positioned between the HPLC system and the mass spectrometer. The precise positioning of the elution head is done semi-automatically with the help of a laser pointing device. After extraction, the eluent is directed to the mass spectrometer.
Table 1: Intra-day and inter-day precision
| Actual concentration (µg/ml) | Intraday precision(µg/ml)±SD; %RSD (n=3) | Interday precision(µg/ml)±SD; %RSD (n=3) |
| 20 | 21.07±0.16; 0.79 | 21.03±0.16; 0.76 |
| 40 | 40.3±0.15; 0.38 | 40.34±0.30; 0.74 |
| 60 | 60.48±0.34; 0.56 | 60.6±0.41; 0.68 |
Table 2: Recovery
| Amount added | Amount recovered | % Recovery±SD (n=3) |
| 20 | 20.35 | 101.27±0.79 |
| 40 | 40.52 | 101.22±0.39 |
| 60 | 61.02 | 101.60±0.63 |

Fig. 3: Separation of impurities by HPTLC

Fig. 4: TLC-MS spectrum of (A) Fenoxazoline (B) DP1 (C) DP2

Fig. 5: TLC-MS of Blank in positive ionisation mode

Fig. 6: TLC-MS of Blank in negative ionisation mode
The spectra obtained, are shown in the fig. 4A, 4B and 4C. The MS conditions were first optimized for the drug and then the same conditions were tried for DP1 and DP2. A blank spectrum was taken in both positive and negative ESI modes (fig. 5 and fig. 6). The peaks which were observed in the blank spectra were not taken into consideration during interpretation of the spectra. The molecular ions m/z 219 for the drug, m/z 237 for DP1 could be observed as shown in fig. 4A and 4B respectively. However, when the same conditions were applied to DP2, no molecular ion peak was observed. Negative ionization mode was tried for DP2. A number of low intensity molecular ion peaks were observed (fig. 4C), making it very difficult to unmistakably identify the molecular ion for DP2. The drug and DP1 were observed in positive ESI mode. The high intensity peaks which were observed in both the blank as well as the sample could have led to a lower relative intensity of the molecular ion peaks of the degradation products.
LC-MS studies of the drug and degradation products
For confirmation of the identity of the impurities, LC-MS studies were also carried out. For this, the developed HPLC method with slight modification was employed. Triethylamine tends to cause persistent background problems with the MS system and hence was not used during the analysis [23, 24]. This caused a shift in the retention times of the drug and the degradation products. The rest of the conditions were kept the same as those used for the HPLC method.
A mixture of stressed samples (acid, base, neutral and oxidation) was injected into the system. The parameters for analysis were optimized to obtain information about the molecular ion peak of the drug. The LC-MS spectrum is shown in fig. 7. The molecular weight of FEN is 218.29. [M+H]+ion of m/z 219 (fig. 7A) was observed in the positive ESI mode. The impurity peak of DP1 showed an [M+H]+ion at m/z 237(fig. 7B) in the positive ESI mode indicating that the molecular weight of DP1 is 236. However, when the same parameters were applied to DP2, it did not show any molecular ion peak. The impurity peak of DP2 showed an [M-H]-ion at m/z 193 (fig. 7C) in the negative ionization mode indicating that the molecular weight of DP2 is 194 and DP2 could possibly be having an acidic functional group. Tandem MS/MS studies were carried out on the drug and the degradation products to confirm these predictions.
Characterization of the degradation products using MS/MS
Tandem MS was performed by infusing the stress samples into the mass spectrometer via the syringe pump. Both positive mode and negative mode of electrospray ionization were used for analysis. The parameters for analysis were initially optimized to carry out the fragmentation of the molecular ion peak of the drug, followed by DP1 and DP2.

Fig. 7: LC-MS spectra of mixed stress sample (A) [M+H]+ion of FEN (B) [M+H]+ion of DP1 (C) [M-H]-ion of DP2
Fragmentation pathway
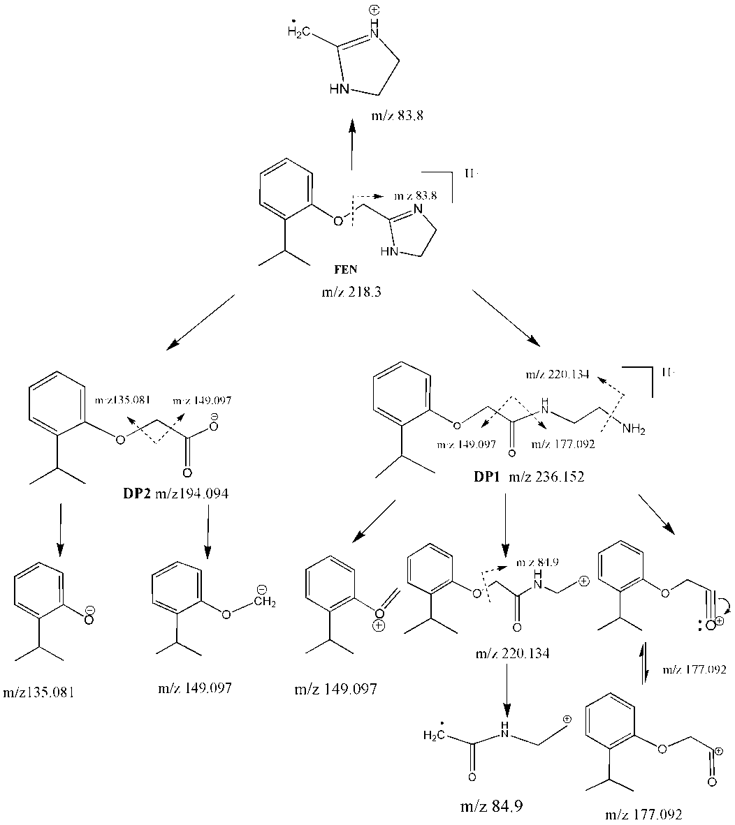
The mass spectrum of the drug can be observed in fig. 8A. The MS/MS analysis of the drug (m/z 219) gave a product ion at m/z 83.8 (fig. 8B). The MS/MS analysis of the DP1 (m/z 237) gave four product ions at m/z 220.3, 178.1, 148.9 and 84.9 (fig. 8C). Fragment ion of m/z 220 has a difference of 17 amu from that of DP1, which could be attributed to the loss of an ammonium ion. The fragment ion m/z 84.9 is formed on further fragmentation occurring in the fragment ion of m/z 220. A difference of 58.9 amu between DP1 and the fragment ion at m/z 177.09 can be attributed to the loss of ethane-1, 2-diamine. DP1 undergoes α-fission leading to the fragment ion m/z 148.9 owing to a loss of N-(2-aminoethyl) formamide of mass 88.07.
The MS/MS analysis of DP2 (m/z 193) gave two product ions at m/z 135 and 149. Fragment ion of m/z 135 has a difference of 58 amu which can be attributed to loss of acetic acid from the moiety. Fragment ion m/z 149 is formed by a neutral loss of carbon dioxide of 44 amu (fig. 8D). Indumati et al. have carried out forced degradation of FEN and identified the degradation products [15]. The reported masses of the degradation products are very different from the masses reported in this study. No other impurities were observed under the stress conditions employed in the present study. It was observed that FEN was highly susceptible to alkaline conditions and a degradation of 14.69% was observed within 25 min of exposure to 0.1 N NaOH at room temperature. Extensive exposure to alkaline conditions caused the drug to degrade entirely. The authors have carried out tandem mass spectrometry and elucidated the structures from the fragments that were observed. The fragmentation pathway is depicted in fig. 9. From the elucidated structures of the degradation products, the most probable degradation pathway of the drug was postulated.

Fig. 8: (A) Mass spectrum of the fenoxazoline (B) MS/MS spectrum of fenoxazoline(C) MS/MS Spectrum of DP1 (D) MS/MS spectrum of DP2

Fig. 9: Mass fragmentation pathways for fenoxazoline, DP1 and DP2
Degradation pathway
DP1 showed a molecular ion peak at m/z 237 which has a difference of 18 amu from the molecular ion peak of the drug m/z 219. This can be attributed to addition of water moiety to the drug molecule. During hydrolysis, the nucleophilic attack of water takes place and leads to ring opening. This further undergoes amide–iminol tautomerism leading to formation of DP1. There are reports of degradation studies on antazoline and naphazoline, both containing imidazoline rings, wherein the imidazoline ring present in the structure opens up to form the amide form of the molecule on hydrolysis, and shows a difference of 18 amu between the molecular weights of the degradation products and the drug itself [25, 26].
It can be suggested that FEN underwent the same kind of degradation. DP2 had a molecular weight of 194 amu which has a difference of 24 amu from the molecular weight of FEN. It can be suggested that DP1 further undergoes amide hydrolysis to form an acid DP2. Korodi T. et al. have reported a degradation impurity of naphazoline, 1-naphthylacetic acid [26]. This impurity shows a difference of 24 amu from the molecular weight of naphazoline. It can be suggested that FEN could have also undergone the same process leading to formation of DP2. The degradation pathway is depicted in fig. 10.

Fig. 10: Degradation pathway of Fenoxazoline to form DP1 and DP2
CONCLUSION
A simple and an isocratic HPLC-UV selective stability indicating assay method was developed and validated for Fenoxazoline hydrochloride for the first time. It underwent degradation in all the stress conditions to form two impurities DP1 and DP2. It was found to be highly labile to alkaline conditions leading to formation of DP1. DP1 was formed in presence of water by hydrolysis of the drug, with the imidazoline ring opening to give the amide form. This amide hydrolysed further to give the carboxylic acid DP2. A newer technique TLC-MS was explored for structural elucidation of the degradation products and the results were confirmed by LC-MS and MS/MS studies. The molecular masses of the degradation products were obtained by recording MS/MS scans in both+ESI and–ESI modes. DP1 was found to be 2-(2-isopropylphenoxy)-N-(2-aminoethyl) acetamide and DP2 was found to be 2-(2-isopropylphenoxy) acetic acid. Degradation and fragmentation pathways for both degradation products were postulated.
ACKNOWLEDGEMENT
The authors wish to thank Precise Chemipharma for providing a gift sample of Fenoxazoline hydrochloride. Aarti drugs Ltd., Anchrom Enterprises (I) Pvt. Ltd. and Shimadzu Analytical (India) Pvt. Ltd. for helping in carrying out the LC-MS, HPTLC and TLC-MS studies respectively and University Grants Commission for partly funding this study.
CONFLICT OF INTERESTS
The authors have declared no conflict of interest.
REFERENCES