
Department of Pharmacy, Alka Tyagi, Shri. Pandit Baburao Chaughule College of Pharmacy, Thane, India
*Corresponding author: Tyagi Alka; *Email: tyagi.alka090@gmail.com
Received: 06 Sep 2024, Revised and Accepted: 10 Dec 2024
ABSTRACT
A large majority of instances of dementia, which is a chronic neurological disease, are directly associated with Alzheimer's Disease (AD). AD affects cognitive abilities over time and is caused by a variety of mechanisms, but still the cholinergic hypothesis is the most workable approach. This study aims to compile the most recent and interesting scaffolds/scaffold/pharmacophoric combinations to cure AD. In our search for new therapeutic leads for the treatment of AD, some nitrogen and oxygen-containing heterocyclic, including alkaloids, have been highlighted as interesting prospects. The Cholinergic Hypothesis is still the most effective and obvious treatment option for this debilitating and progressive condition and should be used for further study. The outcomes strongly suggest that the hybridization approach is also a successful strategy for identifying novel scaffolds with desirable bioactivities. This article evaluates promising therapeutic compounds and molecules that have recently been introduced as multi-target-directed agents, such as quinoline, quinoxalines, chalcones, coumarins, chromenes, piperazine, carbazoles, tacrine hybrids, donepezil hybrids, rivastigmine hybrids, galantamine hybrids etc. This includes study of workable scaffolds/scaffold/pharmacophoric combinations that may be used as future anti-Alzheimer drugs. We discuss future work that would improve our understanding of this escalating disease.
Keywords: Alzheimer’s disease, AD, AChE inhibitor, MTDL, Neuroprotective, Neurodegenerative disorder
© 2025 The Authors. Published by Innovare Academic Sciences Pvt Ltd. This is an open access article under the CC BY license (https://creativecommons.org/licenses/by/4.0/)
DOI: https://dx.doi.org/10.22159/ijpps.2025v17i2.52596 Journal homepage: https://innovareacademics.in/journals/index.php/ijpps
The selections of articles for the current review were searched from specialized databases (Range of years: 1985-2024) such as Elsevier, PubMed, and Cambridge using the keywords Alzheimer’s disease, AD, acetylcholinesterase (AChE) inhibitor, Multi-Target Directed Ligand (MTDL), neuroprotective, Neurodegenerative disorder etc. Other selections include articles from Springer, information from Internet sources, and online published articles from The Molecules and Bentham Sciences. AD is a progressive, incurable neurological ailment that causes episodic and semantic memory loss as well as cognitive impairment. According to data from the European Prevention of Alzheimer's Dementia, AD already affects more than 40 million individuals globally, and during the next 20 y, its prevalence is predicted to increase. Additionally, AD is presently the fourth most common cause of mortality for persons over 65 y of age worldwide, making it a serious health, social and economic problem for society at large [1]. The main characteristic features of AD are malfunction/abnormality of cholinergic and glutamatergic neurotransmitter systems, built up of aberrant proteins in the brain, for instance, tau protein and beta-amyloid proteins in the form of senile plaques and neuro-fibrillary tangles, and wreckage of some of the mitochondrial functions [2–4]. Significant evidence also points to the possibility that AD causes synaptic disruption early in the course of the disease, altering connectivity within neuronal circuits that are essential for memory and other cognitive functions. The neuronal degeneration found in this puzzling condition has been linked to the accumulation of abnormal proteins both inside and outside of neurons. The most common pathological lesions are plaques and tangles. Extracellular amyloid protein accumulations known as "Senile plaques" are formed of insoluble Amyloid β protein (Aβ). Typically, over the course of their lifespan, neuronal cells release soluble Aβ when the Amyloid Precursor Protein (APP) breaks down. As a result of this breakage, aberrant proteins called Neurofibrillary Tangles (NFT) and senile plaques, which are thick beta sheets, precipitate from Aβ. NFT may result in the death of neurons by obstructing the regular operation of the neuronal axon[5]. Cholinesterase inhibitors, which work to raise the brain's amount of acetylcholine, are only partially effective in reducing behavioural alterations in those who are afflicted. Furthermore, it has been demonstrated that deficiencies in the serotonergic, GABAergic, noradrenergic, dopaminergic, and glutamatergic pathways, among others, are associated with the progression of this neurodegenerative disease [6].
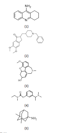
Despite intensive research in this field, a single a fresh drug (for AD) has not entered the market for the last 19 y i.e., since 2003 [7]. Till now, only few drugs are available in the market which are approved and currently used to counteract AD and these drugs also alleviate the symptoms only, giving temporary facilitation to the impaired cognitive and/or behavioural functions. Basically, these drugs include AChE inhibitors viz Tacrine (1), Donepezil (2), Galantamine (3) and Rivastigmine (4), as well as N-Methyl-D-Aspartate (NMDA) antagonist, Memantine (5)[8]. Tacrine (1) was the first drug introduced in market as anti-Alzheimer agent. The forth with used therapy for AD is symptom based only and basically includes the use of anticholinesterase agents and the NMDA receptor antagonist agents. Several pathogenic pathways to treat AD include targeting AChE, NMDA, Monoamine Oxidase A and B (MAO A AND B), β-site amyloid precursor protein cleaving enzyme (BACE-1) receptors, Ca2+channel blockers, serotonergic antagonists etc.
To solve the problems with the one-target paradigm and address the interconnected aetiology of disease, researchers have developed the MTDLs strategy. The evolving MTDLs strategy is founded on the useful finding that combining various molecules/pharmacophores in a single formulation may improve therapeutic opportunity. Combining two or more well-known chemical scaffolds with the required pharmacological characteristics into a single moiety by pharmacophoric hybridization results in the formation of hybrids [9]. Also, using a single molecule, the recently adopted MTDLs method simultaneously targets several pathogenic pathways of AD. This strategy, which is focused on simultaneous engagement with numerous targets to slow the evolution of the illness, was used due to the complex and multifarious character of AD[10]. Still, the AChE inhibitors are most workable therapeutic option to treat AD and a lot of research is going on in this field.

Structural moeities as promising therapeutic scaffolds
The literature survey suggests that the structural moieties (6-81) act as promising therapeutic scaffolds as anti-Alzheimer agents. All the scaffolds are discussed in this review in a systematical manner.
Donepezil hybrids based compounds
Due to its powerful, low toxic, and well-tolerated AChE inhibitory activity, donepezil, the first choice medicine now used to treat AD, is one of the most well-liked pharmacophore inspirations in the design of novel treatment candidates [11]. As a result, other more recent donepezil-other pharmacophore hybrids have been created, produced, and tested as versatile anti-Alzheimer drugs [12].
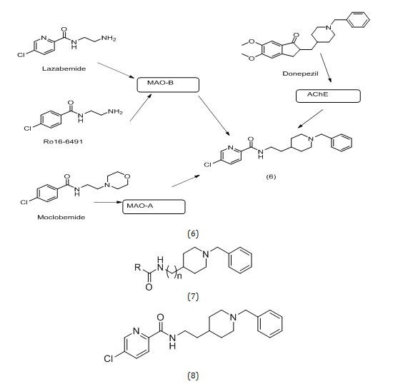
Fan Li et al. synthesized 23 compounds that resemble donepezil that have been discovered to possess potential properties, such as the ability to inhibit both MAOs as well as ChEs [13]. Their plan was to synthesize compounds resembling structure (6) by adding the benzamide component from lazabemide, Ro16-6491, or moclobemide, which have MAOs inhibitory action while retaining the 1-benzylpiperidine fragment from donepezil, which inhibits ChEs [14]. They modified the carbon spacer's length to acquire an alternative conformation that might improve the efficiency of the proposed compounds because the AChE's ability to accommodate the hybrid could be affected by the linker's length [15]. Fan and colleagues synthesized 23 compounds of general formula (7). Out of the synthesized derivatives, compound (8) was found the most potent one.

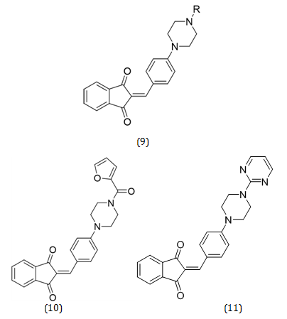
A set of 2-(4-(4-substituted piperazin-1-yl) benzylidene)-1H-indene-1,3(2H)-diones were created by Mezeiova et al., which include an indanone moiety, a curcumin fragment, and a piperazine moiety inside of one framework only. Researchers have found that the indanone moiety is crucial in the inhibition of AChEs. The piperazine moiety is also widely employed to show AChE inhibition, neuroprotection as well as antioxidant properties, and curcumin showed promising Aβ aggregation inhibition activity[16]. Out of the total 11 compounds synthesized (general formula 9), Compounds 10 and 11 demonstrated strong inhibition against AChE and looked to be the most active multifactorial agents among all synthesized compounds (IC50= 0.048 μM: 5; 0.036 μM: 6) [17].

Antioxidants can mitigate AD symptoms and halt the spread of the disease, according to a number of studies. Consequently, pharmaceuticals with a focus on antioxidant activity may be helpful for both the treatment and prevention of AD [17, 18].
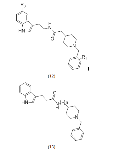
Xiao-Bing Wang et al. developed a novel class of drugs for the treatment of AD by combining the antioxidant melatonin with the AChE inhibitor donepezil. Wang and colleagues synthesized 21 such hybrid compounds (general structures 12 and 13). Among them compound (14) has shown the maximum inhibition activity (IC50 value of 193 nM for eel AChE). The outcomes strongly suggested that the hybridization approach is a successful strategy for identifying novel scaffolds with desirable bioactivities [19].


Tacrine based hybrids
Multitarget small molecules (MTSM) represent the most effective and alluring therapeutic method to develop new therapeutics forthe therapy of AD, in light of the multifunctional nature of disease. Youssef Dgachia et al. designed, synthesized and biologically evaluated Kojo Tacrines (KTs) by combining certain pharmacophoric motifs from tacrine and kojic acid. Tacrine was the first AChE Inhibitor (AChEI) for AD therapy to be commercially available and approved, but it was quickly withdrawn due to hepatotoxicity [20, 21]. Despite this, the development of novel non-hepatotoxic analogues for AD has mainly followed the tacrine model. A known antioxidant, KA, is a naturally occurring metabolite of fungi [18]. 12 novel kojotacrines (KTs) having (general structure15) were developed, synthesized, and tested as potential cholinesterase inhibitors (ChEIs) augmented with antioxidant characteristics after taking into account KA's capacity to scavenge reactive oxygen species. The hit agent (16) was found to be less hepatotoxic than tacrine [22].

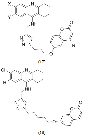
Tahmineh Akbarzadeh et al. created, synthesized, and evaluated a new class of tacrine-coumarin hybrids (17) connected to 1, 2, 3-triazole as powerful dual binding site cholinesterase inhibitors (ChEIs) for the treatment of AD. The strongest anti-AChE activity was shown by compound 18 (IC50= 0.027 μM). These brand-new tacrine-coumarin hybrids might be useful therapeutically in the treatment of AD in the future [23, 24].

Coumarin analogs
Natural plant compounds called coumarins have a variety of biological characteristics, including anti-inflammatory, anti-tumor, anti-HIV-1, antiviral and neuroprotective effects etc[25]. Additionally, studies have demonstrated that both naturally occurring and chemically synthesized coumarin analogues have strong AChE inhibitory action[26]. The synthesis of novel compounds showing enhanced AChE inhibition effect and other therapeutic activities, such as inhibition of beta secretase (BACE) associated to decreased Aβ deposition and inhibition of MAO, have been made possible by identification of important structural characteristics in the coumarin motif[27]. Additionally, coumarin derivatives shield neurons from oxidative stress and free radicals driven on by Aβ aggregation [28].
In an attempt to develop powerful AChE inhibitors with additional pharmacological properties that are also thought to be crucial for the successful treatment of AD, Piazzi et al. synthesized a unique series of coumarin derivatives AP2238 (19)and enasaculine (20) [29].

Abbas Shaifee et al. synthesized a series of 7-hydroxycoumarins of general formula (21) as potent anti-cholinesterase agents. The Compound (22) was found to be the most potential agent against AD [30].

A series of 3-substituted coumarin, most of which were embellished with methoxy groups at positions 6 and 7, were designed, created, and tested as cholinesterase inhibitors by M. Catto et al. AChE inhibitory action was somewhat high in 6,7-dimethoxycoumarin derivatives with a benzyl amino group attached to position 3 by appropriate linkers. The spacer's length, shape, and methoxy substituents on the coumarin scaffold all had a significant impact on the inhibitory activity. The compound (23) was found to be the most active molecule (IC50 7.6 nM)[31].

Piperidine analogs
The most effective AChE inhibitor, donepezil, has an N-benzylpiperidine nucleus, which acts as a good AChE inhibitor. The research also argues in favour of altering another terminal component (the indanone nucleus), which would increase BACE-1's inhibitory capability[32]. Researchers suggest that ligands with an N-benzylpiperidine nucleus may have the ability to inhibit AChE and BACE-1 in a variety of ways based on the several findings. Sushant Kumar Shrivastava et al. developed and created a pool of N-benzylpiperidine analogs (24, 25) as multifunctional inhibitors of both AChE as well asβ-secretase-1 (BACE-1) with good to exceptional inhibitory activity. Additionally, the two most promising medicines, 26, 27, 28 and 29 improved cognitive impairment in AD rat models [33].


The pyridine moiety is more frequently found in numerous natural goods and pharmaceutically active substances than other heterocyclic compounds [34]. Additionally, efforts have been made to create pyridine scaffolds that can be used to treat AD [35]. The 4-amino-5-carboxylates of pyrazolo pyridines (Etazolate) is an anxiolytic drug that has also been known for its neuroprotective nature. A group of drugs from this scaffold; Tracazolate, Etazolate, LASSBio-872, LASSBio-873, LASSBio-981, and LASSBio-982 have been used to treat anxiety disorder related with GABA induced neuro-inhibition [36]. T. Umar et al. developed a series of potent neuroprotective agents against AD derived from pyrazolopyridine and evaluated their biological activities. 2-(piperazin-1-yl)-N-pyrazolo pyridine acetamides (30) are referred to as a new category of powerful AChEI as well as inhibitors of Aβ-aggregation. All compounds were evaluated for their acetylcholinesterase inhibitory activity. Out of 9 synthesized derivatives, compound (31) showed maximum activity. The derivative with the highest anti-AChE activity was the strongest one. (IC50 = 4.8 nM) [37].

Rivastigmine hybrids
While searching for novel anti –Alzheimer agents, Rong Sheng et al. studied newer MTDLs with the natural neuroprotectant curcumin and the AChE/Butyryl Cholinesterase (BuChE) inhibitor rivastigmine [38]. The FDA has recognized rivastigmine as the only carbamate AChEI [39]. A popular natural compound called curcumin has a number of biological activities along with neuroprotective qualities [40]. Rong Sheng et al. developed, produced, and assessed a number of newer carbamate compounds (32) which may act as better agents in management of multifactorial AD. The majority of them demonstrated well to exceptional AChE and BuChE inhibitory actions. With an IC50 value of 0.097l μM, compound (33) showed the strongest AChEI among all the substances [41].

Galantamine hybrids
An alkaloid called galantamine (GAL) has been found in the bulbs and blooms of Leucojum aestivum L. and Galanthus species. It is one of the approved drugs FDA permitted for the treatment of AD and is an AChE inhibitor. It is also identified as the allosteric nicotinic acetylcholine receptor (nAChR) modulator [42]. Both outcomes enhance the brain's thinking capacity. A naturally occurring polyphenolic substance called curcumin (CU) was discovered in the rhizomes of Curcuma longa L. p. Aβ-oligomers and fibrils are bound by CU, which prevents the production of β-sheets [43]. A series of GAL-CU hybrids (34) with promising anti-amyloid aggregation activity were developed by Georgi Stavrakov et al. as dual-site binding AChE inhibitors. The neurotox.icity and anti-AChE activity of the best 10 compounds was produced and assessed in vitro. Five of them exhibited activities between 41 and 186 times higher than GAL and were found less harmful than GAL and CU [44].

1, 3, 5Triazines analogues
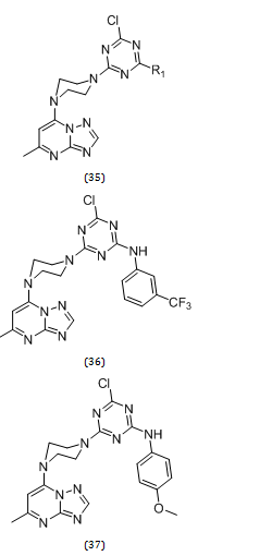
The manufacturing of antiviral antifungal, antimalarial, antibacterial, and anticancer medicines has a long history with the 1, 3, 5-triazine scaffold. Triazine has a generally planar structure; therefore, it was predicted that it would favour the Aβ disaggregation. Triazolopyrimidine nucleus was anticipated to interact with key residues on AChE's PAS, perhaps improving the capacity of medicinal molecules to inhibit the enzyme. Triazole scaffold has, in fact, been successfully used in the creation of multifunctional AChEIs [45]. A pool of triazine-triazolopyrimidine hybrids (35) were developed and synthesized in an effort to discover powerful MTDL for the treatment of AD in light of all these findings by Ehtesham Jameela, Poonam Meena, and colleagues [46]. Out of these compounds, (36 and 37) showed good AChE inhibitory activity (IC50 values 0.065 and 0.092μM respectively).

Potential cholinesterase inhibitors were described across numerous types of heterocyclic compounds, including those with the 1, 3, 5-triazine and β-carboline nuclei. β-Carboline derivatives demonstrated activity in neurological conditions linked to AD, serving as strong AChE and BuChE inhibitors [47]. A series of compounds (38) were created by Helena Sarragiotto and colleagues, who then tested their in vitro activity against AChE. The compound with the highest potency (39) showed the (IC50 values 7.6 μM) [48].

Numerous tiny hydrazinyl—triazine compoundswere identified as BACE-1 inhibitors in the researcher’s investigation. Najmeh Edraki created a triazine-thiophen skeleton with imide linkers and a suitable aryl pendant as the core structure. The biological activities of fifteen compounds (40), including β-Site Amyloid Precursor Protein Cleaving Enzyme 1 (BACE1) inhibition, antioxidant activity, and metal chelating potential, were studied. Using a FRET-based assay, the biological screening findings showed that the majority of our compounds exhibited strong inhibitory effects against (BACE1). Significant BACE-1 inhibitor characteristics were discovered for compounds (41) and (42), with IC50 values of 0.91μM and 0.69μ M, respectively [49].

Triazine scaffold has long been used by medicinal chemists in the creation of pharmaceuticals [50, 51]. Eight novel cyanopyridine-triazine hybrids (43) were created by Manisha Tiwari et al. as effective multifunctional AD therapy agents. All of the synthetic compounds were tested for their ability to inhibit cholinesterases and their ability to prevent Aβ from aggregating. Compounds (44 and 45) demonstrated strong inhibitory action against AChE among the produced derivatives, with IC50 values of 0.059 and 0.080 μM, respectively [52].


Triazole analogues
It has recently been demonstrated that 1, 2, 3-triazole isoindoline has potent neuroprotective properties and effective BACE-1 inhibition. The heterocyclic molecule benzoyl 1,2,3-triazole and its derivatives, which have a strong dipole moment and the ability to make hydrogen bond interactions with the active site, are significant [53]. As cholinesterase inhibitors, this primary scaffold is frequently used as a therapeutic possibility for the treatment of AD [54]. Seyedeh Sara Mirfazli et al. successfully synthesized and tested a pool of 1, 2, 3-triazole-methylindolinone derivatives (46) for their AChEI efficiency. Compound (47)was shown to have an anti-BuChE IC 50 value of 4.78 μM, making it more powerful than the benchmark medication donepezil (5.19 μM)[55].

Recent studies have demonstrated that the triazole moiety exhibits ChE inhibitory action in the micromolar concentration range. Researchers originally discovered an amino methylene triazole fragment as the primary substructure to inhibit BACE-1 using virtual screening of a limited targeted chemical library. Imino chromene ring has recently been identified as a strong neuroprotective agent. To assess the potential neuroprotective activity, the iminochromene group may be bioisosterically substituted with chromenone moiety [56].
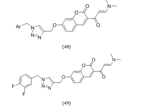
On the basis of the multi-target-directed ligands strategy, newer 1, 2, 3-triazolechromenone compounds (48) were produced by Karimi Askarani et al. with the goal of discovering novel anti-Alzheimer MTDL agents. Inhibition of AChE and BuChE, aggregation of β-amyloid, and neuroprotective properties were among the in vitro biological activities conducted. The findings showed a highly selective BuChE inhibitory action, with compound (49) being the most effective, with an IC50 value of 21.71 Μm [57, 58].

Quinoline analogues
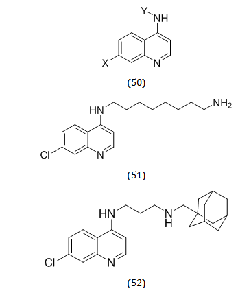
Numerous investigations have shown that compounds with quinoline structures are powerful inhibitors of both BuChE and AChE, two cholinesterases (BuChE)[59]. These compounds have a tacrine or quinidine moiety as their main structural components [60]. Furthermore, antimalarial medications like chloroquine, hydroxychloroquine, and primaquine have been shown to have anticholinesterase action [61, 62]. These compounds are 4-aminoquinoline derivatives, which have recently been identified as a viable initial structural scaffold for the subsequent development of novel multifunctional AChE inhibitors due to their unwavering structure and strong AChE inhibitory efficacy [63, 64]. The 4-aminoquinoline core's potent AChE inhibition was demonstrated by a number of amino quinolines in which the amino group was replaced at various positions along the quinoline ring.
Anita Bosak et al. synthesized some 4-aminoquinoline derivatives (50) with different groups attached to the C (4) and C (7) position. These compounds were evaluated for their activity as human AChE as well as BuChE inhibitors. Out of the 8 Compounds synthesized, two compounds 51 and 52 were found possessing the ability for further modification and the modified compounds may act as workable anti Alzheimer’s agents [65].

Kamila Czarnecka et al. synthesized some new cyclopentaquinoline hybrids (53) of general formula (4) having effectiveness against AD. The study consists of the synthesis of few quinoline derivatives with substituted nicotinic acid and appropriate linkers. Compound (54) was found to be the most potent acetylcholinesterase inhibitor [66].

The compound PZ001(1),carbazole–amino quinoline dimer, was synthesized by Xiao Zhang et al. Biological interpretation of the compound indicated that (55) was a multifunctional agent possessing neuro-protection activity [67].

Quinoxaline analogues
A significant building theme for the creation of novel medications has evolved from quinoxalines [68]. Quinoxaline derivatives in particular exhibit a wide range of pharmacological effects, including MAO and AChE inhibitory characteristics [69]. However, hydrazone derivatives have also been shown to be a viable scaffold for the development of anti-MAO and anti-AChE medicines [70]. Studies have revealed that coupling the hydrazone moiety with quinoxaline ring may create MTDL agents for the possible treatment of AD in an effort to produce novel MAO and AChE inhibitory drugs [71].
Ulviye Acarevik and colleagues created different substituted quinoxaline-hydrazone compounds (56) and looked into their in vitro activities, including their ability to inhibit MAOA/B and AChE/BuChE. In accordance with the findings of the experiments, substance (57) had good inhibitory efficacy on AChE (IC50 = 0.028μ M) and monoamine oxidase B (IC50 = 0.046 μM)[72].

A. M. Kanhed et al. developed a pool of indoloquinoxaline derivatives (58) in the quest to produce multitarget-directed ligands for AD. All of the synthesized derivatives exhibited moderate to good cholinesterase inhibitory activity, according to in vitro studies. The most effective and selective BuChE inhibitor was found to be the quinoxaline derivative(59) (IC50 14 0.96 μM) [73].

Phenyl sulfonylpyrazolo pyrimidine
Recently, 5HT6R has been regarded as one of the key biological targets for the treatment of AD[74]. It is reasonable to consider AVN-211(60) to be a unique medication candidate with exceptional therapeutic potency and selectivity against AD. A highly selective 5-HT6 R antagonist is AVN-211, also known as 5,7-dimethyl-2-(methylthio)-3-(phenylsulfonyl)pyrazolo[1,5-a]pyrimidine [75]. In the year 2011, it successfully completed phase IIa trials for schizophrenia and in mid-2013, phase IIb trials started. Avineuropharmaceuticals have also shown intention to start clinical trials of AVN-211 for Alzheimer disease in 2015 [76]. The 5-HT6 receptor antagonists, SAM-531, Lu-AE-58054 and SB-742457 are currently in phase II clinical trials for multiple mental disorders [77].

Serotonin 5-HT6 receptor (5-HT6R) has been suggested as a possible pharmacological target for improving cognition in AD in the hunt for novel treatment approaches. The hunt for novel, more powerful, and 5HT6R ligands was sparked by these findings, which led numerous groups to design and test a significant number of variants [76, 78, 79].
Alexandre V. Ivachtchenko and Elena S. Golovina synthesized a series of new 3-sulfonyl-pyrazolo pyrimidine compounds having general structure (61), and studied the structural–activity relationship of thus synthesized compounds. In his research, Researchers looked for highly powerful 5-HT6R antagonists and found that 62,63 and 64are the most potent 5-HT6 receptor antagonists [80].


Carbazole analogs
The naturally occurring alkaloid carbazole is a significant moiety and has demonstrated a wide range of biological functions [81], including anti-Alzheimer activity [82]. As powerful multifunctional drugs, a number of carbazole compounds have been created, and they have proven to have excellent multifunctional activity against AD models [83, 84]. Some carbazoles have also been mentioned as having neuroprotective properties [85, 86]. Tacrine-carbazole hybrids have been described by Thiratmatrakul et al. as powerful multifunctional agents with effective antioxidant, anti-Aβ disaggregation, and neuroprotective effects [87]. By fusing into a single molecule two biologically active pharmacophores that operate as cognitive enhancers or modulators of critical stages of neurodegenerative disease pathogenesis, G. F. Makhaeva et al. synthesized novel multitarget drugs by linking carbazole with amino adamantane via different spacers [6]. The fundamental pharmacophore pieces were derivatives of carbazoles with γ-carbolines, tetracarbazoles, phenothiazines, and amino adamantanes [88].
Mehdi Khoobi and colleagues created a number of compounds (65), which were then tested as cholinesterase inhibitors. These compounds contained the carbazole backbone connected to benzyl piperazine, benzyl piperidine, pyridine, quinoline, or isoquinoline moiety through an aliphatic linker. The most effective molecule against AChE was compound (66), which also demonstrated good inhibitory effectiveness for self-and AChE-induced Aβ aggregation [89].

It is well known that carbazoles and tetrahydro carbazoles exhibit a variety of biological activities. Numerous artificial and naturally occurring physiologically active chemicals share the carbazole skeleton as their primary structural motif. Recent years have seen the discovery of interesting molecules among carbazole derivatives for the design of disease-modifying medicines for the treatment of AD [90]. Sergey O. Bachurin created and studied a new class of substances like amino adamantane (67), carbazole (68), tetrahydro carbazole (69) etc. The conjugates of amino adamantane and carbazole derivatives (70) that show promise for the construction of novel multitarget therapeutic medicines for management of neurodegenerative illnesses. First of all, these substances selectively inhibit BuChE and have the ability to prevent nerve cells from dying under conditions of calcium overload. Of all studies, the leading chemical (71) has displayed the most promising results [91].
Amantadine (67)


Xanthone analogs
The "privileged structures" that are widely found in nature, xanthones and flavones, exhibit a wide range of biological actions [92]. Numerous studies and investigations have been conducted on natural and synthetic xanthone derivatives that affect the molecular targets of neurodegenerative disorders [93, 94]. These compounds have recently received a lot of interest as possible AD therapy options. AChE, BuChE, MAO, and Aβ peptide aggregation, as well as antioxidant ability, have been demonstrated to be inhibited by certain xanthones. Some xanthones and flavones have been found to act as antioxidants, inhibit AChE and MAO enzymes, and prevent the aggregation of Aβ-peptides [95, 96].
The biological assessment and synthesis of xanthone and flavone derivatives (72) with concurrent antioxidant and AChE inhibitory activity are described by Inês Cruz et al. The Mannich base (73) showed the ability to inhibit AChE as well as antioxidant properties, exerting dual action [97].

The type of substituents and their placements on the two phenyl rings that make up the core structure of xanthones, in particular, affect the biological activities of xanthones [98-101]. However, xanthones derived from natural resources are time-consuming to extract and purify and have a restricted range of substituents available on the rings [102]. In order to produce different xanthone derivatives, structural alteration of the xanthone-based skeleton is desirable [103]. Twenty-nine novel xanthone derivatives (74) were synthesized using ether, ester, hydroxyl, alkyl, alkenyl, alkynyl, and five other types of side chains by Z. H. Loh et al. The researchers further evaluated the synthesized compounds for their anti-cholinergic activities against both the ChEs. Out of synthesized derivatives, compounds (75 and 76) showed maximum activity [104].

Chalcone analogs
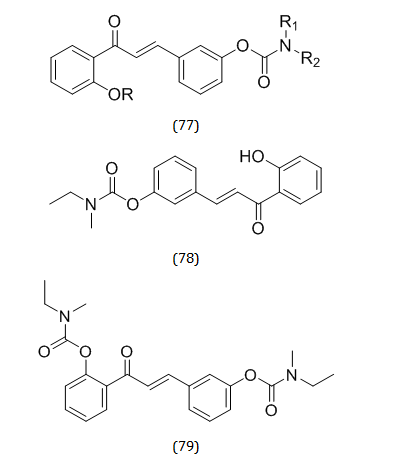
Small molecule with an unsaturated carbonyl group known as chalcone [(E)-1,3-diphenyl-2-propen-1-one] is a precursor or constituent of numerous naturally occurring flavonoids and isoflavonoids [105, 106]. In medicinal chemistry, it is one of the most privileged structures. Numerous medicinal chemists are studying this scaffold because of its vast spectrum of biological functions and the potential benefits it may have for treating neurodegenerative illnesses like AD [107]. The therapy of AD might benefit from the biological activities of chalcone compounds, which include anti-inflammatory, MAO-B inhibition, radical-scavenging, and neuroprotective effects [108]. Chalcone compounds are important secondary-metabolite precursors of flavonoids and isoflavonoids [109–111]. Using the multitarget-directed ligands approach, a series of chalcone-rivastigmine hybrids or chalcone-O-carbamate derivatives (77) were created with the goal of discovering multifunctional medicines for the treatment of AD. AChE/BuChE inhibition activity was assessed as in vitro biological activities. With IC50 values of 3.1 M and 1.2 M, respectively, compounds (78) and (79) demonstrated highly selective BuChE inhibitory action [112].

Syed Nasir Abbas Bukharie and colleagues synthesized a number of novel ligustrazine-based chalcones (80). A novel ligustrazine-based aldehyde was created to introduce tetramethylpyrazine (TMP) into the chemical structure of chalcone. For the incorporation of quinazolin-4-yl and pyrazin-2-yl amino moieties, new ketones were created. For AChE, BuChE, and MAO inhibitory activity, the recently synthesized compounds were tested. Compound (81) demonstrated the greatest activity and efficacy on a number of targets among the synthetic derivatives [113].

The Cholinergic Hypothesis is still the most effective and obvious treatment option for this debilitating and progressive condition and should be used for further study. AChE and/or dual AChE inhibitors, NMDA inhibitors, and MDTL methods may all be useful in enhancing cognitive and behavioural performance, according to studies. The outcomes strongly suggested that the hybridization approach is also a successful strategy for identifying novel scaffolds with desirable bioactivities. This article evaluates promising therapeutic compounds and molecules that have recently been introduced as multi-target-directed agents, such as quinoline, quinoxalines, chalcones, coumarins, chromenes, piperazine, carbazoles, tacrine hybrids, donepezil hybrids, rivastigmine hybrids, galantamine hybrids etc.
Alzheimer’s Disease (AD), Acetyl Cholinesterase (AChE), Butyryl Cholinesterase (BuChE), Aβ (Amyloid β), Serotonin 5-HT6 Receptor (5-HT6R), Monoamine Oxidase (MAO), Amyloid Precursor Protein (APP), N-Methyl D-Aspartate (NMDA), Multi Target Directed Ligand (MTDL) β-Site Amyloid Precursor Protein Cleaving Enzyme 1 (BACE1).
Nil
The author has done drafting, designing, writing and all the work related to manuscript.
The author declares no conflict of interest, financial or otherwise.
Ritchie CW, Molinuevo JL, Truyen L, Satlin A, Van Der Geyten S, Lovestone S. Development of interventions for the secondary prevention of alzheimers dementia: the European prevention of alzheimers dementia (EPAD) project. Lancet Psychiatry. 2016;3(2):179-86. doi: 10.1016/S2215-0366(15)00454-X, PMID 26683239.
Wang X, Wang W, LI L, Perry G, Lee Hyoung Gon, Zhu X. Oxidative stress and mitochondrial dysfunction in alzheimers disease. Biochim Biophys Acta Mol Basis Dis. 2014;1842(8):1240-7. doi: 10.1016/J.BBADIS.2013.10.015.
Dias KS, Viegas C. Multi target-directed drugs: a modern approach for design of new drugs for the treatment of alzheimers disease. Curr Neuropharmacol. 2014;12(3):239-55. doi: 10.2174/1570159X1203140511153200, PMID 24851088.
Perez Ortiz JM, Swerdlow RH. Mitochondrial dysfunction in alzheimers disease: role in pathogenesis and novel therapeutic opportunities. Br J Pharmacol. 2019;176(18):3489-507. doi: 10.1111/BPH.14585, PMID 30675901.
Sokolov VB, Aksinenko AY, Epishina TA, Goreva TV, Grigoriev VV, Gabrelyan AV. Synthesis and biological activity of N-substituted tetrahydro-γ-Carbolins bearing bis (dimethylamino) phenothiazine moiety. Russ Chem Bull. 2015;64(3):718-22. doi: 10.1007/s11172-015-0925-3.
Makhaeva GF, Shevtsova EF, Kovaleva NV, Rudakova EV, Neganova ME, Dubova LG. Aminoadamantane conjugates with carbazole derivatives as potential multitarget agents for the treatment of alzheimers disease effect of the spacer structure. Russ Chem Bull. 2018;67(11):2121-6. doi: 10.1007/s11172-018-2338-6.
Bachurin SO, Shevtsova EF, Makhaeva GF, Grigoriev VV, Boltneva NP, Kovaleva NV. Novel conjugates of aminoadamantanes with carbazole derivatives as potential multitarget agents for AD treatment. Sci Rep. 2017;7:45627. doi: 10.1038/srep45627, PMID 28358144.
Makhaeva GF, Shevtsova EF, Boltneva NP, Lushchekina SV, Kovaleva NV, Rudakova EV. Overview of novel multifunctional agents based on conjugates of γ-carbolines carbazoles tetrahydrocarbazoles phenothiazines and aminoadamantanes for treatment of alzheimers disease. Chem Biol Interact. 2019 Aug 1;308:224-34. doi: 10.1016/j.cbi.2019.05.020, PMID 31100279.
Mishra P, Kumar A, Panda G. Anti-cholinesterase hybrids as multi-target directed ligands against alzheimers disease 1998-2018. Bioorg Med Chem. 2019;27(6):895-930. doi: 10.1016/j.bmc.2019.01.025, PMID 30744931.
Rochais C, Lecoutey C, Gaven F, Giannoni P, Hamidouche K, Hedou D. Novel multi-target directed ligands (MTDLs) with acetylcholinesterase (AChE) inhibitory and activities as potential agents against alzheimers disease: the design of donecopride. Journal of Medicinal Chemistry. 2015 Apr 9;58(7):3172-87. doi: 10.1021/acs.jmedchem.5b00115.
Bautista Aguilera OM, Esteban G, Bolea I, Nikolic K, Agbaba D, Moraleda I. Design synthesis pharmacological evaluation QSAR analysis molecular modeling and ADMET of novel donepezil indolyl hybrids as multipotent cholinesterase/monoamine oxidase inhibitors for the potential treatment of alzheimers disease. Eur J Med Chem. 2014 Mar 21;75:82-95. doi: 10.1016/j.ejmech.2013.12.028, PMID 24530494.
Cai P, Fang SQ, Yang XL, WU JJ, Liu QH, Hong H. Rational design and multibiological profiling of novel donepezil trolox hybrids against alzheimers disease with cholinergic antioxidant neuroprotective and cognition-enhancing properties. ACS Chem Neurosci. 2017;8(11):2496-511. doi: 10.1021/acschemneuro.7b00257, PMID 28806057.
LI F, Wang ZM, WU JJ, Wang J, Xie SS, Lan JS. Synthesis and pharmacological evaluation of donepezil-based agents as new cholinesterase/monoamine oxidase inhibitors for the potential application against alzheimers disease. J Enzyme Inhib Med Chem. 2016 Jul;31 Suppl 3:41-53. doi: 10.1080/14756366.2016.1201814, PMID 27384289.
Golbraikh A, Bernard P, Chretien JR. Validation of protein based alignment in 3D quantitative structure-activity relationships with CoMFA models. Eur J Med Chem. 2000;35(1):123-36. doi: 10.1016/S0223-5234(00)00108-2, PMID 10733609.
Mao F, Chen J, Zhou Q, Luo Z, Huang L, LI X. Novel tacrine ebselen hybrids with improved cholinesterase inhibitory hydrogen peroxide and peroxynitrite scavenging activity. Bioorg Med Chem Lett. 2013;23(24):6737-42. doi: 10.1016/j.bmcl.2013.10.034, PMID 24220172.
Mezeiova E, Spilovska K, Nepovimova E, Gorecki L, Soukup O, Dolezal R. Profiling donepezil template into multipotent hybrids with antioxidant properties. J Enzyme Inhib Med Chem. 2018;33(1):583-606. doi: 10.1080/14756366.2018.1443326, PMID 29529892.
Mishra CB, Manral A, Kumari S, Saini V, Tiwari M. Design synthesis and evaluation of novel indandione derivatives as multifunctional agents with cholinesterase inhibition anti-β-amyloid aggregation antioxidant and neuroprotection properties against alzheimers disease. Bioorg Med Chem. 2016;24(16):3829-41. doi: 10.1016/j.bmc.2016.06.027, PMID 27353888.
Ismaili L, Refouvelet B, Benchekroun M, Brogi S, Brindisi M, Gemma S. Multitarget compounds bearing tacrine and donepezil like structural and functional motifs for the potential treatment of alzheimers disease. Prog Neurobiol. 2017 Apr;151:4-34. doi: 10.1016/j.pneurobio.2015.12.003, PMID 26797191.
Wang J, Wang ZM, LI XM, LI F, WU JJ, Kong LY. Synthesis and evaluation of multi-target directed ligands for the treatment of alzheimers disease based on the fusion of donepezil and melatonin. Bioorg Med Chem. 2016;24(18):4324-38. doi: 10.1016/j.bmc.2016.07.025, PMID 27460699.
Watkins PB, Zimmerman HJ, Knapp MJ, Gracon SI, Lewis KW. Hepatotoxic effects of tacrine administration in patients with alzheimers disease. JAMA. 1994;271(13):992-8. doi: 10.1001/jama.1994.03510370044030, PMID 8139084.
Gomes AJ, Lunardi CN, Gonzalez S, Tedesco AC. The antioxidant action of Polypodium leucotomos extract and kojic acid: reactions with reactive oxygen species. Braz J Med Biol Res. 2001;34(11):1487-94. doi: 10.1590/S0100-879X2001001100018, PMID 11668361.
Galdeano C, Viayna E, Arroyo P, Bidon Chanal A, Blas JR, Munoz Torrero D. Structural determinants of the multifunctional profile of dual binding site acetylcholinesterase inhibitors as anti-alzheimer agents. Curr Pharm Des. 2010;16(25):2818-36. doi: 10.2174/138161210793176536, PMID 20698824.
Najafi Z, Mahdavi M, Saeedi M, Karimpour Razkenari E, Asatouri R, Vafadarnejad F. Novel tacrine-1,2,3-triazole hybrids: in vitro in vivo biological evaluation and docking study of cholinesterase inhibitors. Eur J Med Chem. 2017;125:1200-12. doi: 10.1016/j.ejmech.2016.11.008, PMID 27863370.
Najafi Z, Mahdavi M, Saeedi M, Karimpour Razkenari E, Edraki N, Sharifzadeh M. Novel tacrine coumarin hybrids linked to 1,2,3-triazole as anti-alzheimers compounds: in vitro and in vivo biological evaluation and docking study. Bioorg Chem. 2019;83:303-16. doi: 10.1016/j.bioorg.2018.10.056, PMID 30396115.
Jiang N, Huang Q, Liu J, Liang N, LI Q, LI Q. Design synthesis and biological evaluation of new coumarin dithiocarbamate hybrids as multifunctional agents for the treatment of alzheimers disease. Eur J Med Chem. 2018;146:287-98. doi: 10.1016/j.ejmech.2018.01.055, PMID 29407958.
Changwong N, Sabphon C, Ingkaninan K, Sawasdee P. Acetyl and butyryl cholinesterase inhibitory activities of mansorins and mansonones. Phytother Res. 2012;26(3):392-6. doi: 10.1002/ptr.3576, PMID 21780212.
Rizzo S, Bartolini M, Ceccarini L, Piazzi L, Gobbi S, Cavalli A. Targeting alzheimers disease: novel indanone hybrids bearing a pharmacophoric fragment of AP2238. Bioorg Med Chem. 2010;18(5):1749-60. doi: 10.1016/j.bmc.2010.01.071, PMID 20171894.
Anand P, Singh B, Singh N. A review on coumarins as acetylcholinesterase inhibitors for alzheimers disease. Bioorg Med Chem. 2012;20(3):1175-80. doi: 10.1016/j.bmc.2011.12.042, PMID 22257528.
Piazzi L, Cavalli A, Belluti F, Bisi A, Gobbi S, Rizzo S. Brief articles; 2007. p. 4250-4.
Alipour M, Khoobi M, Moradi A, Nadri H, Homayouni Moghadam F, Emami S. Synthesis and anti-cholinesterase activity of new 7-hydroxycoumarin derivatives. Eur J Med Chem. 2014 Jul 23;82:536-44. doi: 10.1016/j.ejmech.2014.05.056, PMID 24941128.
Catto M, Pisani L, Leonetti F, Nicolotti O, Pesce P, Stefanachi A. Design synthesis and biological evaluation of coumarin alkylamines as potent and selective dual binding site inhibitors of acetylcholinesterase. Bioorg Med Chem. 2013;21(1):146-52. doi: 10.1016/j.bmc.2012.10.045, PMID 23199476.
Kryger G, Silman I, Sussman JL. Structure of acetylcholinesterase complexed with E2020 (Aricept): implications for the design of new anti-alzheimer drugs. Structure. 1999;7(3):297-307. doi: 10.1016/S0969-2126(99)80040-9, PMID 10368299.
Sharma P, Tripathi A, Tripathi PN, Prajapati SK, Seth A, Tripathi MK. Design and development of multitarget directed N-benzylpiperidine analogs as potential candidates for the treatment of alzheimers disease. Eur J Med Chem. 2019 Apr 1;167:510-24. doi: 10.1016/j.ejmech.2019.02.030, PMID 30784883.
Bagley MC, Bashford KE, Hesketh CL, Moody CJ. Total synthesis of the thiopeptide promothiocin A. J Am Chem Soc. 2000;122(14):3301-13. doi: 10.1021/ja994247b.
Kwong HC, Chidan Kumar CS, Mah SH, Mah YL, Chia TS, Quah CK. Crystal correlation of heterocyclic imidazo [1,2-a] pyridine analogues and their anticholinesterase potential evaluation. Sci Rep. 2019;9(1):926. doi: 10.1038/s41598-018-37486-7, PMID 30700752.
Marcade M, Bourdin J, Loiseau N, Peillon H, Rayer A, Drouin D. Etazolate a neuroprotective drug linking GABA (A) receptor pharmacology to amyloid precursor protein processing. J Neurochem. 2008;106(1):392-404. doi: 10.1111/j.1471-4159.2008.05396.x, PMID 18397369.
Umar T, Shalini S, Raza MK, Gusain S, Kumar J, Seth P. A multifunctional therapeutic approach: synthesis biological evaluation crystal structure and molecular docking of diversified 1H-pyrazolo [3, 4-b] pyridine derivatives against alzheimers disease. Eur J Med Chem. 2019 Aug 1;175:2-19. doi: 10.1016/j.ejmech.2019.04.038, PMID 31055149.
LI Y, Peng P, Tang L, HU Y, HU Y, Sheng R. Design synthesis and evaluation of rivastigmine and curcumin hybrids as site activated multitarget directed ligands for alzheimers disease therapy. Bioorg Med Chem. 2014;22(17):4717-25. doi: 10.1016/j.bmc.2014.07.009, PMID 25082512.
Hatcher H, Planalp R, Cho J, Torti FM, Torti SV. Curcumin: from ancient medicine to current clinical trials. Cell Mol Life Sci. 2008;65(11):1631-52. doi: 10.1007/s00018-008-7452-4, PMID 18324353.
Bailey JA, Lahiri DK. A novel effect of rivastigmine on pre-synaptic proteins and neuronal viability in a neurodegeneration model of fetal rat primary cortical cultures and its implication in alzheimers disease. J Neurochem. 2010;112(4):843-53. doi: 10.1111/j.1471-4159.2009.06490.x, PMID 19912467.
Anand R, Gill KD, Mahdi AA. Therapeutics of alzheimers disease: past present and future. Neuropharmacology. 2014;76(A):27-50. doi: 10.1016/j.neuropharm.2013.07.004, PMID 23891641.
Dajas Bailador FA, Heimala K, Wonnacott S. The allosteric potentiation of nicotinic acetylcholine receptors by galantamine is transduced into cellular responses in neurons: Ca2+ signals and neurotransmitter release. Mol Pharmacol. 2003;64(5):1217-26. doi: 10.1124/mol.64.5.1217, PMID 14573772.
Zhao LN, Chiu SW, Benoit J, Chew LY, MU Y. The effect of curcumin on the stability of Aβ dimers. J Phys Chem B. 2012;116(25):7428-35. doi: 10.1021/jp3034209, PMID 22690789.
Stavrakov G, Philipova I, Lukarski A, Atanasova M, Zheleva D, Zhivkova ZD. Galantamine curcumin hybrids as dual site binding acetylcholinesterase inhibitors. Molecules. 2020;25(15):3341. doi: 10.3390/molecules25153341, PMID 32717861.
Prasher P, Sharma M, Aljabali AA, Gupta G, Negi P, Kapoor DN. Hybrid molecules based on 1,3,5-triazine as potential therapeutics: a focused review. Drug Dev Res. 2020;81(7):837-58. doi: 10.1002/ddr.21704, PMID 32579723.
Jameel E, Meena P, Maqbool M, Kumar J, Ahmed W, Mumtazuddin S. Rational design synthesis and biological screening of triazine triazolopyrimidine hybrids as multitarget anti-alzheimer agents. Eur J Med Chem. 2017;136:36-51. doi: 10.1016/j.ejmech.2017.04.064, PMID 28478343.
Maqbool M, Manral A, Jameel E, Kumar J, Saini V, Shandilya A. Development of cyanopyridine triazine hybrids as lead multitarget anti-alzheimer agents. Bioorg Med Chem. 2016;24(12):2777-88. doi: 10.1016/j.bmc.2016.04.041, PMID 27157006.
Barea P, Barbosa VA, Alberto D, Maria C, Gomes B, Novello CR. Anticholinesterase activity of β-carboline-1,3, 5-triazine hybrids. 2022;58:e19958. doi: 10.1590/s2175-97902022e19958.
Iraji A, Firuzi O, Khoshneviszadeh M, Nadri H, Edraki N, Miri R. Synthesis and structure-activity relationship study of multi-target triazine derivatives as innovative candidates for the treatment of alzheimers disease. Bioorg Chem. 2018;77:223-35. doi: 10.1016/j.bioorg.2018.01.017, PMID 29367079.
Lozano V, Aguado L, Hoorelbeke B, Renders M, Camarasa MJ, Schols D. Targeting HIV entry through interaction with envelope glycoprotein 120 (Gp120): synthesis and antiviral evaluation of 1,3,5-triazines with aromatic amino acids. J Med Chem. 2011;54(15):5335-48. doi: 10.1021/jm200560r, PMID 21749165.
Singh UP, Bhat HR, Gahtori P. Antifungal activity SAR and physicochemical correlation of some thiazole-1,3,5-triazine derivatives. J Mycol Med. 2012;22(2):134-41. doi: 10.1016/j.mycmed.2011.12.073, PMID 23518015.
Maqbool M, Manral A, Jameel E, Kumar J, Saini V, Shandilya A. Development of cyanopyridine triazine hybrids as lead multitarget anti-alzheimer agents. Bioorg Med Chem. 2016;24(12):2777-88. doi: 10.1016/j.bmc.2016.04.041, PMID 27157006.
Vafadarnejad F, Mahdavi M, Karimpour Razkenari E, Edraki N, Sameem B, Khanavi M, Saeedi M, Akbarzadeh T. Design and synthesis of novel coumarin pyridinium hybrids: in vitro cholinesterase inhibitory activity. Bioorg Chem. 2018;77:311–9. doi: 10.1016/j.bioorg.2018.01.013.
Yazdani M, Edraki N, Badri R, Khoshneviszadeh M, Iraji A, Firuzi O. 5,6-diphenyl triazine thio methyl triazole hybrid as a new alzheimers disease-modifying agents. Mol Divers. 2020;24(3):641-54. doi: 10.1007/s11030-019-09970-3, PMID 31327094.
Saeedi M, Maleki A, Iraji A, Hariri R, Akbarzadeh T, Edraki N. Synthesis and bio-evaluation of new multifunctional methylindolinone-1,2,3-triazole hybrids as anti-alzheimers agents. J Mol Struct. 2021 Apr 5;1229. doi: 10.1016/j.molstruc.2020.129828.
Sang Z, Wang K, Shi J, Liu W, Cheng X, Zhu G. The development of advanced structural framework as multi target directed ligands for the treatment of alzheimers disease. Eur J Med Chem. 2020;192:112180. doi: 10.1016/j.ejmech.2020.112180, PMID 32131034.
Saeedi M, Safavi M, Karimpour Razkenari E, Mahdavi M, Edraki N, Moghadam FH. Synthesis of novel chromenones linked to 1,2,3-triazole ring system: investigation of biological activities against alzheimers disease. Bioorg Chem. 2017;70:86-93. doi: 10.1016/j.bioorg.2016.11.011, PMID 27914694.
Karimi Askarani H, Iraji A, Rastegari A, Abbas Bukhari SN, Firuzi O, Akbarzadeh T. Design and synthesis of multi-target directed 1,2,3-triazole-dimethylaminoacryloyl chromenone derivatives with potential use in alzheimers disease. BMC Chem. 2020;14(1):64. doi: 10.1186/s13065-020-00715-0, PMID 33134975.
Hamulakova S, Janovec L, Soukup O, Jun D, Janockova J, Hrabinova M. Tacrine coumarin and tacrine-7-chloroquinoline hybrids with thiourea linkers: cholinesterase inhibition properties kinetic study molecular docking and permeability assay for blood brain barrier. Curr Alzheimer Res. 2018;15(12):1096-105. doi: 10.2174/1567205015666180711110750, PMID 29992880.
Harel M, Schalk I, Ehret Sabatier L, Bouet F, Goeldner M, Hirth C. Quaternary ligand binding to aromatic residues in the active site gorge of acetylcholinesterase. Proc Natl Acad Sci USA. 1993;90(19):9031-5. doi: 10.1073/PNAS.90.19.9031, PMID 8415649.
Rydberg EH, Brumshtein B, Greenblatt HM, Wong DM, Shaya D, Williams LD. Complexes of alkylene linked tacrine dimers with torpedo californica acetylcholinesterase: binding of Bis5-tacrine produces a dramatic rearrangement in the active site gorge. J Med Chem. 2006;49(18):5491-500. doi: 10.1021/jm060164b, PMID 16942022.
Dawson LJ, Caulfield VL, Stanbury JB, Field AE, Christmas SE, Smith PM. Hydroxychloroquine therapy in patients with primary sjogrens syndrome may improve salivary gland hypofunction by inhibition of glandular cholinesterase. Rheumatology (Oxford). 2005;44(4):449-55. doi: 10.1093/RHEUMATOLOGY/KEH506, PMID 15590764.
Katewa SD, Katyare SS. Antimalarials inhibit human erythrocyte membrane acetylcholinesterase. Drug Chem Toxicol. 2005;28(4):467-82. doi: 10.1080/01480540500262912, PMID 16298876.
Lim LY, GO ML. The anticholinesterase activity of mefloquine. Clin Exp Pharmacol Physiol. 1985;12(5):527-31. doi: 10.1111/j.1440-1681.1985.tb00904.x, PMID 3878759.
Bosak A, Opsenica DM, Sinko G, Zlatar M, Kovarik Z. Structural aspects of 4-aminoquinolines as reversible inhibitors of human acetylcholinesterase and butyrylcholinesterase. Chem Biol Interact. 2019 Mar;308:101-9. doi: 10.1016/j.cbi.2019.05.024, PMID 31100281.
Czarnecka K, Girek M, Maciejewska K, Skibinski R, Jonczyk J, Bajda M. New cyclopentaquinoline hybrids with multifunctional capacities for the treatment of alzheimers disease. J Enzyme Inhib Med Chem. 2017;33(1):158-70. doi: 10.1080/14756366.2017.1406485, PMID 29210299.
Shi DH, Min W, Song M Qiu, S XX, LI MC, Zhang Z Yuan, Liu YW, Liu WW. Synthesis characterization crystal structure and evaluation of four carbazole coumarin hybrids as multifunctional agents for the treatment of alzheimers disease. J Mol Struct. 2020 Jun 5;1209:127897. doi: 10.1016/j.molstruc.2020.127897.
Khattab SN, Haiba NS, Asal AM, Bekhit AA, Amer A, Abdel Rahman HM. Synthesis and evaluation of quinazoline amino acid derivatives as monoamine oxidase (MAO) inhibitors. Bioorg Med Chem. 2015;23(13):3574-85. doi: 10.1016/j.bmc.2015.04.021, PMID 25922182.
Bashir M, Bano A, Ijaz AS, Chaudhary BA. Recent developments and biological activities of N-substituted carbazole derivatives: a review. Molecules. 2015;20(8):13496-517. doi: 10.3390/molecules200813496, PMID 26213906.
Mongre RK, Mishra CB, Prakash A, Jung S, Lee BS, Kumari S. Novel carbazole piperazine hybrid small molecule induces apoptosis by targeting BCL-2 and inhibits tumor progression in lung adenocarcinoma in vitro and xenograft mice model. Cancers (Basel). 2019;11(9):1245. doi: 10.3390/cancers11091245, PMID 31450709.
Pedro M, Cerqueira F, Sousa ME, Nascimento MS, Pinto M. Xanthones as inhibitors of growth of human cancer cell lines and their effects on the proliferation of human lymphocytes in vitro. Bioorg Med Chem. 2002;10(12):3725-30. doi: 10.1016/S0968-0896(02)00379-6, PMID 12413829.
Zhu D, Chen M, LI M, Luo B, Zhao Y, Huang P. Discovery of novel N-substituted carbazoles as neuroprotective agents with potent anti-oxidative activity. Eur J Med Chem. 2013;68:81-8. doi: 10.1016/j.ejmech.2013.07.029, PMID 23973819.
Yoon HJ, Kong SY, Park MH, Cho Y, Kim SE, Shin JY. Aminopropyl carbazole analogues as potent enhancers of neurogenesis. Bioorg Med Chem. 2013;21(22):7165-74. doi: 10.1016/j.bmc.2013.08.066, PMID 24095011.
Brown T. Design thinking. Harv Bus Rev. 2008;86(6):84-92. doi: 10.1002/med, PMID 18605031.
Hashim NM, Rahmani M, EE GC, Sukari MA, Yahayu M, Amin MA. Antioxidant antimicrobial and tyrosinase inhibitory activities of xanthones isolated from artocarpus obtusus FM jarrett. Molecules. 2012;17(5):6071-82. doi: 10.3390/molecules17056071, PMID 22614861.
Fiesel T, Gaid M, Muller A, Bartels J, El Awaad I, Beuerle T. Molecular cloning and characterization of a xanthone prenyltransferase from hypericum calycinum cell cultures. Molecules. 2015;20(9):15616-30. doi: 10.3390/molecules200915616, PMID 26343621.
Gluszynska A. Biological potential of carbazole derivatives. Eur J Med Chem. 2015;94:405-26. doi: 10.1016/j.ejmech.2015.02.059, PMID 25794500.
Choubdar N, Golshani M, Jalili Baleh L, Nadri H, Kucukkilinc TT, Ayazgok B. New classes of carbazoles as potential multi functional anti-alzheimers agents. Bioorg Chem. 2019 Oct;91:103164. doi: 10.1016/j.bioorg.2019.103164, PMID 31398601.
Graham WV, Bonito Oliva A, Sakmar TP. Update on alzheimers disease therapy and prevention strategies. Annu Rev Med. 2017 Jan 14;68:413-30. doi: 10.1146/annurev-med-042915-103753, PMID 28099083.
Greig NH, Lahiri DK, Sambamurti K. Butyrylcholinesterase: an important new target in alzheimers disease therapy. Int Psychogeriatr. 2002;14 Suppl 1:77-91. doi: 10.1017/S1041610203008676, PMID 12636181.
Hippius H, Neundorfer G. The discovery of alzheimers disease. Dialogues Clin Neurosci. 2003;5(1):101-8. doi: 10.31887/DCNS.2003.5.1/hhippius, PMID 22034141.
Saturnino C, Iacopetta D, Sinicropi MS, Rosano C, Caruso A, Caporale A. N-alkyl carbazole derivatives as new tools for alzheimers disease: preliminary studies. Molecules. 2014;19(7):9307-17. doi: 10.3390/molecules19079307, PMID 24991761.
Ivachtchenko AV, Golovina ES, Kadieva MG, Kysil VM, Mitkin OD, Tkachenko SE. Synthesis and SAR of 3-arylsulfonyl pyrazolo [1,5-a] pyrimidines as potent serotonin 5-HT6 receptor antagonists. Bioorg Med Chem. 2011;19(4):1482-91. doi: 10.1016/j.bmc.2010.12.055, PMID 21277782.
Ivachtchenko AV, Lavrovsky Y, Ivanenkov YA. AVN-211 novel and highly selective 5-HT6 receptor small molecule antagonist for the treatment of alzheimers disease. Mol Pharm. 2016;13(3):945-63. doi: 10.1021/acs.molpharmaceut.5b00830, PMID 26886442.
Ivachtchenko AV, Lavrovsky Y, Okun I. AVN-101: a multi-target drug candidate for the treatment of CNS disorders. J Alzheimers Dis. 2016;53(2):583-620. doi: 10.3233/JAD-151146, PMID 27232215.
Kanhed AM, Patel DV, Patel NR, Sinha A, Thakor PS, Patel KB. Indoloquinoxaline derivatives as promising multifunctional anti-alzheimer agents. J Biomol Struct Dyn. 2022;40(6):2498-515. doi: 10.1080/07391102.2020.1840441, PMID 33111617.
Singh M, Kaur M, Silakari O. Flavones: an important scaffold for medicinal chemistry. Eur J Med Chem. 2014;84:206-39. doi: 10.1016/j.ejmech.2014.07.013, PMID 25019478.
Tarek S. Mansour. 2006. 2006;5(1).
Loh ZH, Kwong HC, Lam KW, Teh SS, EE GC, Quah CK. New 3-O-substituted xanthone derivatives as promising acetylcholinesterase inhibitors. J Enzyme Inhib Med Chem. 2021;36(1):627-39. doi: 10.1080/14756366.2021.1882452, PMID 33557647.
Sokolov VB, Makhaeva GF, Aksinenko AY, Grigoriev VV, Shevtsova EF, Bachurin SO. Targeted synthesis and biological activity of polypharmacophoric agents for the treatment of neurodegenerative diseases. Russ Chem Bull. 2017;66(10):1821-31. doi: 10.1007/s11172-017-1953-y.
Negi JS, Bisht VK, Singh P, Rawat MS, Joshi GP. Naturally occurring xanthones: chemistry and biology. J Appl Chem. 2013;2013:1-9. doi: 10.1155/2013/621459.
Suwanhom P, Saetang J, Khongkow P, Nualnoi T, Tipmanee V, Lomlim L. Synthesis biological evaluation and in silico studies of new acetylcholinesterase inhibitors based on quinoxaline scaffold. Molecules. 2021;26(16):4895. doi: 10.3390/molecules26164895, PMID 34443482.
Pinto MM, Sousa ME, Nascimento MS. Xanthone derivatives: new insights in biological activities. Curr Med Chem. 2005;12(21):2517-38. doi: 10.2174/092986705774370691, PMID 16250875.
Rampa A, Montanari S, Pruccoli L, Bartolini M, Falchi F, Feoli A. Chalcone based carbamates for alzheimers disease treatment. Future Med Chem. 2017;9(8):749-64. doi: 10.4155/fmc-2017-0029, PMID 28498775.
Cruz I, Puthongking P, Cravo S, Palmeira A, Cidade H, Pinto M. Xanthone and flavone derivatives as dual agents with acetylcholinesterase inhibition and antioxidant activity as potential anti-alzheimer agents. J Chem. 2017;2017:1-16. doi: 10.1155/2017/8587260.
Zhang X, Rakesh KP, Bukhari SN, Balakrishna M, Manukumar HM, Qin HL. Multi targetable chalcone analogs to treat deadly alzheimers disease: current view and upcoming advice. Bioorg Chem. 2018 Oct;80:86-93. doi: 10.1016/j.bioorg.2018.06.009, PMID 29890362.
Duraes F, Resende DI, Palmeira A, Szemeredi N, Pinto MM, Spengler G. Xanthones active against multidrug resistance and virulence mechanisms of bacteria. Antibiotics. 2021;10(5):600. doi: 10.3390/antibiotics10050600, PMID 34069329.
Cevik UA, Osmaniye D, Saglik BN, Cavusoglu BK, Levent S, Karaduman AB. Multifunctional quinoxaline hydrazone derivatives with acetylcholinesterase and monoamine oxidases inhibitory activities as potential agents against alzheimers disease. Med Chem Res. 2020;29(6):1000-11. doi: 10.1007/s00044-020-02541-4.
Mishra CB, Gusain S, Shalini S, Kumari S, Prakash A, Kumari N. Development of novel carbazole derivatives with effective multifunctional action against alzheimers diseases: design synthesis in silico in vitro and in vivo investigation. Bioorg Chem. 2020;95:103524. doi: 10.1016/j.bioorg.2019.103524, PMID 31918396.
Son HU, Lee SH. Comparison of α-glucosidase inhibition by Cudrania tricuspidata according to harvesting time. Biomed Rep. 2013;1(4):624-8. doi: 10.3892/br.2013.111, PMID 24648998.
Souto JA, Vaz E, Lepore I, Poppler AC, Franci G, Alvarez R. Synthesis and biological characterization of the histone deacetylase inhibitor largazole and C7- modified analogues. J Med Chem. 2010;53(12):4654-67. doi: 10.1021/jm100244y, PMID 20491440.
Zamrodah Y. Faktor-faktor yang mempengaruhi konsumen terhadap pembelian beras organik (Studi kasus di Kecamatan Selopuro Kabupaten Blitar. 2016;15(2):1-23.
Vasilievich, A Savchuk. NF Fe, S. (12) United States Patent; 2013:4(3):62–8.
Huang W, Tang L, Shi Y, Huang S, XU L, Sheng R. Searching for the multi-target-directed ligands against alzheimers disease: discovery of quinoxaline based hybrid compounds with AChE, H₃R and BACE 1 inhibitory activities. Bioorg Med Chem. 2011;19(23):7158-67. doi: 10.1016/j.bmc.2011.09.061, PMID 22019465.
Thapa P, Upadhyay SP, Suo WZ, Singh V, Gurung P, Lee ES. Chalcone and its analogs: therapeutic and diagnostic applications in alzheimers disease. Bioorg Chem. 2021;108:104681. doi: 10.1016/j.bioorg.2021.104681, PMID 33571811.
Thiratmatrakul S, Yenjai C, Waiwut P, Vajragupta O, Reubroycharoen P, Tohda M. Synthesis biological evaluation and molecular modeling study of novel tacrine carbazole hybrids as potential multifunctional agents for the treatment of alzheimers disease. Eur J Med Chem. 2014;75:21-30. doi: 10.1016/j.ejmech.2014.01.020, PMID 24508831.
Sang Z, Wang K, Shi J, Liu W, Tan Z. Design synthesis in silico and biological evaluation of novel chalcone O carbamate derivatives as multifunctional agents for the treatment of alzheimers disease. Eur J Med Chem. 2019;178:726-39. doi: 10.1016/j.ejmech.2019.06.026, PMID 31229875.
Evranos Aksoz B, Yabanoglu Ciftci S, Ucar G, Yelekci K, Ertan R. Synthesis of some novel hydrazone and 2-pyrazoline derivatives: monoamine oxidase inhibitory activities and docking studies. Bioorg Med Chem Lett. 2014;24(15):3278-84. doi: 10.1016/j.bmcl.2014.06.015, PMID 24986657.
Xia Z, Zhang H, XU D, Lao Y, FU W, Tan H. Xanthones from the leaves of garcinia cowa induce cell cycle arrest apoptosis and autophagy in cancer cells. Molecules. 2015;20(6):11387-99. doi: 10.3390/molecules200611387, PMID 26102071.
Ruan J, Zheng C, Liu Y, QU L, YU H, Han L. Chemical and biological research on herbal medicines rich in xanthones. Molecules. 2017;22(10):1698. doi: 10.3390/molecules22101698, PMID 29019929.
Wang XQ, Zhou LY, Tan RX, Liang GP, Fang SX, LI W. Design synthesis and evaluation of chalcone derivatives as multifunctional agents against alzheimers disease. X Chem Biodivers. 2021;18(11):e2100341. doi: 10.1002/cbdv.202100341, PMID 34510699.
Wang M, Qin H L, Leng J, Ameeduzzafar, Amjad MW, Raja MA G, Hussain MA, Bukhari SN A. Synthesis and biological evaluation of new tetramethylpyrazine-based chalcone derivatives as potential anti-Alzheimer agents. Chem Biol Drug Des. 2018 Nov;92(5):1859-66. doi: 10.1111/cbdd.13355.