aDepartment of Pharmacognosy, Institute of Pharmacy, Nirma University, Ahmedabad, Gujarat, 382481, India, bDepartment of Pharmacology, Rofel College of Pharmacy, Vapi, Gujarat, 396191, India
Email: niyati20103@gmail.com
Received: 13 Feb 2015 Revised and Accepted: 20 Jun 2015
ABSTRACT
Objectives: Roots and stems of Gmelina arborea Roxb. (Verbenaceae) are used in many Ayurvedic (Dashmula) and herbal formulations (Diabecon) and reported to possess hypoglycemic activities which formed the basis of the present investigation. Methanolic extracts of stems and roots of Gmelina arborea were evaluated for antidiabetic activity in diabetic rats.
Methods: Total phenolics and flavonoids were estimated in methanolic, aqueous and ethyl acetate extracts of roots and stems of G. arborea. Antidiabetic activity of methanolic extracts of stems and roots of G. arborea was investigated in streptozotocin induced diabetic rats for 21 days at two dose levels (250 and 500 mg/kg) with glibenclamide (0.25 mg/kg) used as a standard drug.
Results: Methanolic extracts of stems and roots showed considerable amount of phenolics and flavonoids compared to aqueous and ethyl acetate extracts. It also showed significant (p<0.001) reduction in fasting blood glucose level in both normal and diabetic rats. Methanolic extract of stems and roots at 500 mg/kg showed significant decrease (54.69% and 45.31% respectively) in blood glucose levels when compared to the standard. In addition, change in body weight, serum lipid profile and GHb (whole blood) levels were also compared amongst various groups treated with different extracts and significant antidiabetic activity observed might be attributed to appreciable amount of phenolics and flavonoids in methanolic extract of roots and stems. The results clearly indicate potential antidiabetic effects of roots and stems of this plant.
Conclusion: These findings support the use of G. arborea in herbal formulations for diabetes and will be helpful to explore isolation and identification of bioactives from this drug to manage diabetes and related complications.
Keywords: G. arborea, Antidiabetic, Phenolics, Flavonoids, Gambhari
INTRODUCTION
Diabetes mellitus (DM) is a chronic disease caused inherited and/or by acquired deficiency in production of insulin by the pancreas, or by the ineffectiveness of the insulin produced resulting in increased concentrations of glucose in the blood, which in turn damage many of the body’s systems, in particular the blood vessels and nerves. It is a metabolic disorder characterized by hyperglycemia, glucosuria and negative nitrogen balance and it is mainly due to lack of insulin secretion in beta cells of pancreas and desensitization of insulin receptors for insulin. It causes number of micro vascular and macro vascular complications arisen from hyperglycemia like retinopathy, neuropathy and peripheral vascular insufficiencies [1, 2].
India leads the world with largest number of diabetic subjects earning the dubious distinction, “diabetes capital of the world". The reports of (Indian Council of Medical Research) ICMR-INDIAB national study indicate that 62.4 million people in India are suffering from type 2 diabetes and 77 million people are pre diabetics and these numbers are estimated to reach 101 million by 2030 [3].
Natural products have been playing a significant role throughout the world in treating and preventing human diseases. Apart from currently available therapeutic options, many herbal medicines have been recommended for the treatment of diabetes. Traditional plant medicines are used throughout the world for a range of diabetic complications. Many plants like Abelmoschus moschatus (Malvaceae), Acacia arabica (Leguminosae), Momordica charantia (Cucurbitaceae), Allium sativum (Amaryllidaceae), Allium cepa (Amaryllidaceae), Enicostemma littorale (Gentianaceae), Aloe vera (Liliaceae), Andrographis paniculata (Acanthaceae), Artemisia herba alba (Asteraceae), Artocarpus heterophyllus (Moraceae), Asteracanthus longifolia (Acanthaceae), Azadirachta indica (Meliaceae), Bacopa monnieri (Scrophulariaceae) and Bauhinia forficata (Fabaceae) have been reported for their antidiabetic activity exhibited either by the extracts or by isolated compounds [4]. Oxidation is essential to many living organisms for the production of energy to fuel biological processes. The role of oxygen radicals has been implicated in several diseases, including cancer, diabetes, cardiovascular diseases and aging. Oxidative stress has been considered as a cornerstone for pathogenesis of diabetes and its complications [5, 6]. Several studies revealed that medicinal plants containing appreciable amount of phenolics and flavonoids possess good antioxidant properties and exert anticarcinogenic, antimutagenic, antitumor, antibacterial, antiviral, antidiabetic and anti-inflammatory activities due to their redox properties [7], hydrogen donor and singlet oxygen quenching capabilities and by chelating metals [8, 9].
Gmelina arborea Roxb. (Family: Verbenaceae) is locally known as ‘Gambhari’ and in English, is known as the ‘Candahar tree’ or ‘White teak’. It is a moderate sized, deciduous tree, found in deciduous forests throughout the greater part of India up to 1500 m altitude [10]. The roots and stems of the plant are used in many Ayurvedic formulations like Dashmula (stem bark) [11], Chyawanprasha (roots and stem bark) [12], Dasamularista, Dasamulaharitaki, Dasmula ghrita, Dasmula satpalaka grita (roots), Candanasava, Karpuradi Kuzambu (Laghu), Dantadyarista, Usirasava (stem) as well as herbal formulations like Diabecon & Gluco Care (hydro-alcoholic extract, 10 mg) [13, 14] and Abana (roots) [15].
The useful parts of the plant are its root, stem bark and fruit. Folklore states that it promotes digestive power, improves memory and is useful in fever, heart disease, nervous disorders and piles [16, 17]. G. arborea contains number of chemical constituents like alkaloids, glycosides, phenylpropanoids, terpenoids, flavonoids and phenolics, lignans etc. Roots and heart wood of G. arborea have been reported to contain gmelinol, hentriacontanol, n-octacosanol and β-sitosterol [17]. The roots have been found to contain sesquiterpenoids, apiosylskimmin, a coumarin characterized as umbelliferone-7-apiosyl glucoside and gmelofuran, an apiose-containing coumarin glycoside [18]. The heartwood and bark of the plant mainly contain lignans arboreal, isoarboreol, gmelonone [19], gummadiol [20], 6”-bromo isoarboreol [21], paulownin [22] and arborone [23], flavonoids, alkaloids, sterols and various phenyl propanoid glycosides [24]. Heartwood also contains ceryl alcohol and a new long chain ester, cluytyl ferulate [17]. The roots are acrid, bitter, tonic, stomachic, and laxative, galactogogue, demulcent, antibilious, febrifuge and anthelmintic. Bark is bitter, hypoglycemic, antiviral, anticephalalgic and tonic [25]. The plant extracts are reported for their hypoglycemic activity [26], hypolipidemic activity [27], diabetic nephropathy [28], anthelmintic activity [29], nematocidal activity [30], anti-inflammatory activity [31, 32], antioxidant activity [33], antimicrobial [34], antiulcer activity [35], wound healing activity [36], antidiarrheal activity [37] and immunomodulatory activity [38]. Keeping in view the reports suggesting multifaceted uses of this drug in various formulations, present study was undertaken to evaluate and compare stems and roots of this plant in order to evaluate antidiabetic potential of stems and roots.
MATERIALS AND METHODS
Chemicals
All chemicals and reagents used were of analytical grade. All the solvents were procured from CDH chemicals, New Delhi (India) and enzymatic kits (total 5) were acquired from Lab Care Diagnostics Pvt. Ltd., Mumbai (India). Streptozotocin and glibenclamide were acquired from Sisco Research Laboratory, Mumbai (India) and Aventis Pharma Ltd., Mumbai (India) respectively.
Plant material
Fresh roots and stems were collected from fully-grown trees from fields from the outskirts of Ankleshwar city near Dist. Bharuch, in October 2010. Root and stem pieces were dried under the shade and powdered (passed through 40#). The powder was stored in air tight container and used for the further study. The authenticity was established by comparing its morphological and microscopical characteristics [39, 40] and by an ethanobotanist, Dr. Bhasker L. Punjani, of Smt. S. M. Panchal Science College, Talod (Dist. Sabarkantha). Voucher specimen, PL11NSAHKga001 was preserved at Department of Pharmacognosy, Institute of Pharmacy, Nirma University, Ahmedabad. Total phenolic and flavonoid content of roots and stems of G. arborea was determined in methanolic (ME), ethyl acetate (EAE) and aqueous extracts (AE) by subjecting root and stem powder to extraction with methanol, ethyl acetate and water respectively.
Estimation of phenolic substances [41]
One g of air-dried powder of roots and stems of G. arborea was extracted with 100 ml of methanol, water and ethyl acetate by maceration for 24 h to prepare different extracts and then filtered. The final volume of each filtrate was adjusted to 100 ml. Five ml of these extracts was diluted with an equal volume of methanol and was used for the estimation of phenolics.
To 10 ml of each extract, 10 ml of distilled water and 1.5 ml of diluted (1:2) Folin Ciocaulteau reagent was added and the mixture was kept for 5 min. After adding 4 ml of 20% Na2CO3 solution, the final volume was adjusted to 25 ml using distilled water. The absorbance was measured at 765 nm at an interval of 30 min up to 2 h and distilled water was used as a blank. The data was compared with similarly prepared set of standard substance-Gallic acid, in concentration range of 50 µg to 300 µg per 25 ml. Total phenolic content was calculated by the method described [41].
Estimation of flavonoids [42]
One g of air-dried powder of roots and stems of G. arborea was extracted with 100 ml methanol, water and ethyl acetate by maceration for 24 h and filtered. The final volume of each filtrate was adjusted to 100 ml. One ml of these extracts was diluted up to 10 ml with methanol and was used for the estimation of flavonoids. To 3 ml of the each extract, 3 ml of methanolic AlCl3 was added. After 10 min, the absorbance was read at 430 nm and distilled water was used as a blank. The data was compared with similarly prepared set of standard substance quercetin in concentration range of 25 µg to 300 µg per 25 ml. Total flavonoid content was calculated by the method described [42].
Extraction
Methanolic extracts of stems and roots showed appreciable amount of phenolics and flavonoids, hence methanolic extract was selected further for the evaluation of antidiabetic potential. 100 g of powder of roots and stems was subjected separately to continuous and sequential hot solvent extraction using 500 ml 50% methanol in a soxhlet apparatus for 48 h.
Filtrates were evaporated near to dryness and then dried at 40 °C in hot air oven and stored in air tight container for further use. Suspension of methanolic extract of roots (MER) and stems (MES) of G. arborea were prepared using 0.5% carboxymethyl cellulose (CMC) in normal saline because MER and MES were not fully insoluble in distilled water.
Pharmacological activity
Animals
Healthy adult Wistar rats of either sex weighing between 250-300 g were selected for the study. Animals were maintained at 25±2 °C and kept in a well-ventilated animal house under natural photoperiodic condition in polypropylene cages with free access to food and water. During the period of experiment, the animals were fed with the standard rat diet. They were kept for 1 week in laboratories before the experiments for acclimatization to the laboratory conditions. Prior to experimental treatments, animals were fasted overnight but were allowed free access to water. Six animals were used for each group of study.
All experiments and protocols described in present study were approved by the Institutional Animal Ethics Committee (IAEC) of Institute Of Pharmacy, Nirma University, Ahmedabad and with permission from Committee for the Purpose of Control and Supervision of Experiments on Animals (CPCSEA), Ministry of Social Justice and Empowerment, Government of India. Protocol number for the present study was given IPS/PCOG/MPH1011/2016 and item number given was 16. MER and MES of G. arborea were given orally in doses of 250 and 500 mg/kg and glibenclamide (0.25 mg/kg) were given orally while STZ was given intravenously into tail vein (45 mg/kg) after dissolving in citrate buffer (1 mol, pH 4.5).
Sample collection and estimation of blood glucose level
Blood samples were collected by retro-orbital plexus puncture method using glass capillary without any anticoagulant, then each of the blood sample was centrifuged at 10 000 rpm for 30 min at 5 °C and the serum was separated and kept at 5 °C until further use. Blood glucose (mg/dl) was measured using Glucose SLR enzymatic kit (Lab Care Diagnostics, Mumbai (India) Pvt. Ltd) [43].
Effect of MER and MES of G. arborea on normal rats (Normoglycemic activity) and oral glucose tolerance test (OGTT) on glucose loaded rats
Rats were divided randomly into six different groups (n=6) each for normoglycemic and OGTT study and received the treatment like Control group: 0.5% CMC, (1 ml/kg), Standard group: glibenclamide (0.25 mg/kg), R250:methanolic extract of roots (250 mg/kg), R500:methanolic extract of roots (500 mg/kg), S250:methanolic extract of stems (250 mg/kg), S500:methanolic extract of stems (500 mg/kg).
All samples were given orally using oral gastric gavages and blood samples from each group were collected after oral administration at 0, 1, 2, 3, 5 and 24 h and total blood glucose level was estimated [43]. In OGTT model, all groups were administered glucose solution (2 g/kg, p. o.) along with the respective doses of the treatment to induce glucose loading and fasting blood sugar level of each rat was determined at zero time, after overnight fasting with free access to water. Glucose solution was administered 30 min after the administration of MER and MES. Blood samples were collected before (0 min) and after oral administration of vehicle, standard, MER (250 and 500 mg/kg) and MES (250 and 500 mg/kg) at 30, 60, 120, 150 and 180 min and total blood glucose levels of each animal was estimated in glucose loaded rats [43, 44].
Evaluation of antidiabetic activity of MER and MES of G. arborea on streptozotocin (STZ) induced diabetic rats
Induction of diabetes
Diabetes was induced in rats by the intravenous (i. v.) injection STZ in tail vein at a dose of 45 mg/kg body weight dissolved in citrate buffer (1 M, pH 4.5) (1 ml/kg). Animals were allowed to fast overnight prior to STZ injection. To avoid the hypoglycemia during the first day after the STZ administration, all the diabetic rats were given 5% glucose solution orally. Three days after the injection, blood glucose levels were measured and the animals with blood glucose levels above 250 mg/dl were confirmed as diabetic ratsand used for further study [43].
Evaluation of antidiabetic activity
The diabetic rats were randomly divided into seven different groups with six rats in each group with dosage regimen, control: 0.5% CMC, (1 ml/kg), diabetic control: STZ, 45 mg/kg, i. v., glibenclamide as standard (0.25 mg/kg), R250:methanolic extract of roots (250 mg/kg), R500:methanolic extract of roots (500 mg/kg), S250:methanolic extract of stems (250 mg/kg), S500:methanolic extract of stems (500 mg/kg). Standard as well as extracts were administered orally and all groups except the control group received STZ (45 mg/kg, i. v.) along with respective doses of treatment.
All test samples and standard drug were administered orally using oral gastric gavages tube for 21 days consecutively. Blood glucose levels were determined at day 1, 7, 14 and 21 of the study. Finally on day 21, blood samples were collected from all the groups and evaluated for various parameters in blood and serum and the blood samples were collected on 30th day for estimation of insulin [44-46].
Biochemical estimations
The serum levels of Glucose [47], Creatinine [48], Total Protein (TP) [49], Triglyceride (TG) [50], Total Cholesterol (TC) [51], Insulin and High Density Lipoprotein cholesterol (HDLC) [52] were determined spectrophotometrically using enzymatic colorimetric assay kits (Lab Care Diagnostics Pvt. Ltd., Mumbai, India). While Low Density Lipoprotein Cholesterol (LDLC), Very Low Density Lipoprotein Cholesterol (VLDLC) and Antiartherogenic Index (AAI) were calculated using Friedewald’s equations [53, 54]. The blood level of glycosylated hemoglobin (GHb) [54] was determined spectro photometrically by enzymatic colorimetric assay kits (Lab Care Diagnostics Pvt. Ltd., Mumbai, India).
Statistical analysis
All the values are expressed as mean±S. E. M. and statistics was applied using Graph pad prism 5. Two way ANOVA followed by Bonferroni was used to determine the statistical significance between different groups in determination of blood sugar levels and one way ANOVA followed by Dunnett’s was used for the determination of significance between various groups for biochemical parameters.
RESULTS
Estimation of total phenolic and total flavonoids content
On determination of total phenolic and flavonoid content in methanolic extract (ME), aqueous extract (AE) and ethyl acetate extract (EAE) of roots and stems, it was observed that the methanolic extract of roots (MER) contained highest amount of phenolics (0.925 %) while flavonoid content (0.8%) was found higher in AE. In case stems, methanolic extract (MES) showed highest amount of phenolics (0.634%) and flavonoid content (0.9%) (fig. 1 and 2). On the basis of considerable amount of phenolics and flavonoids in methanolic extracts, MER and MES were selected further for evaluation of antidiabetic activity (fig. 3 and 4).
Effect in normoglycemic rats (NG) and Oral glucose tolerance test in rats (OGTT)
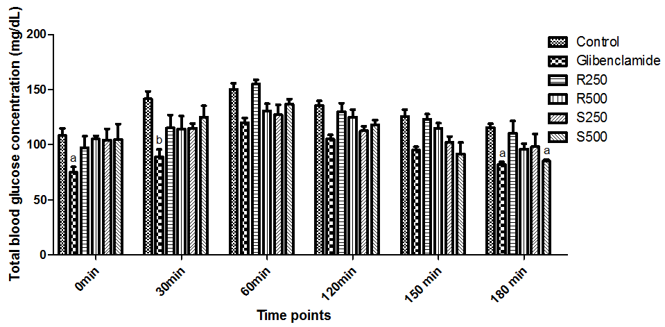
Administration of MER and MES of G. arborea showed decrease in blood glucose level after 60 min in all groups of animals (fig. 5). The group treated with glibenclamide showed significant (p<0.01) reduction in blood glucose levels at the beginning and at 30 min (p<0.001) and 180 min (p<0.01) after glucose administration compared to control group, thereby indicating induction of hypoglycemic condition.

Fig. 1: It shows standard curve for total phenolic content estimation (Gallic acid)

Fig. 2: It shows standard curve for total flavonoid content estimation (Quercetin)

Fig. 3: It shows total flavonoid and phenolic content of roots of G. arborea (n=3)

Fig. 4: It shows total flavonoid and phenolic content of stems of G. arborea (n=3)
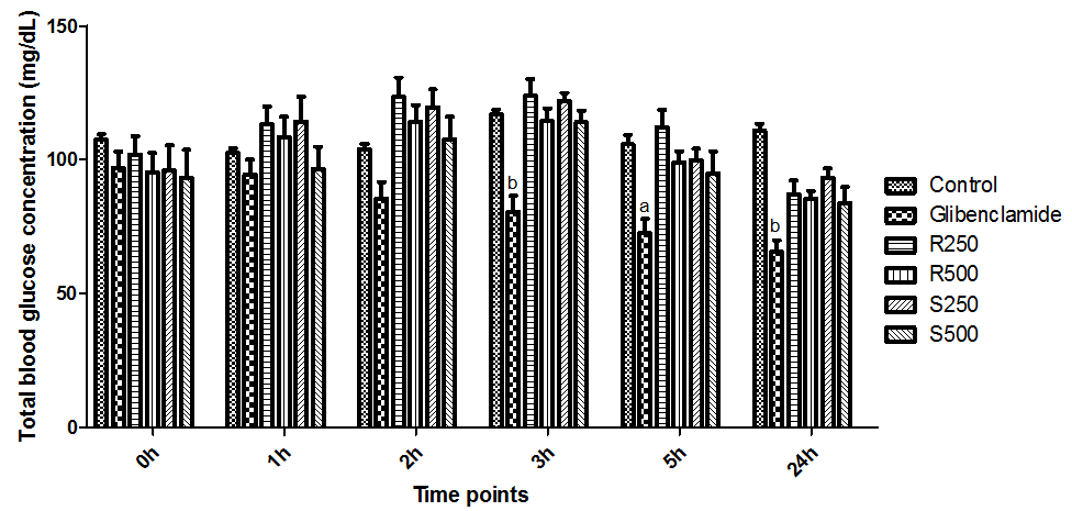
We observed that group treated with S500 showed significant decrease (P<0.001) (85 mg/dl) in blood glucose levels compared to the control group at 180 min. Results of the study in normoglycemic indicated that MER and MES showed slight increase in blood glucose level, followed by the decrease in blood glucose level after 3 h (fig. 6). The group treated with glibenclamide showed significant reduction in blood glucose levels at 3 h (p<0.001), 5 h (p<0.01) and 24 h (p<0.001) after treatment as compared to control group, while decrease in blood glucose levels in test groups were found within the normal range.

Fig. 5: It shows effect of different concentrations of MER and MES of G. arborea on oral glucose tolerance test (OGTT)
Values are expressed as mean±SD from 6 rats in each group, asignificantly different from control group p<0.01 and bsignificantly different from control group P<0.001

Fig. 6: It shows effect of different concentrations of methanolic extracts of powdered roots and stems of G. arborea on normoglycemic animals, Values are expressed as mean±SD from 6 rats in each group, asignificantly different from control group p<0.01 and bsignificantly different from control group p<0.001

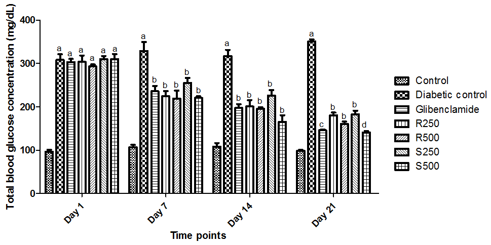
Fig. 7: It shows effect of different concentrations of methanolic extracts of powdered roots and stem of G. arborea on total blood glucose level in STZ induced diabetic rats, Values are expressed as mean±SD from 6 rats in each group, asignificantly different from control group, p<0.001;bsignificantly different from disease control and control group, (p<0.001); csignificantly different from disease control (p<0.001) and control group (p<0.01); dsignificantly different from disease control group (p<0.001)
Evaluation of antidiabetic activity of MER and MES of G. arborea on streptozotocin (STZ) induced diabetic rats
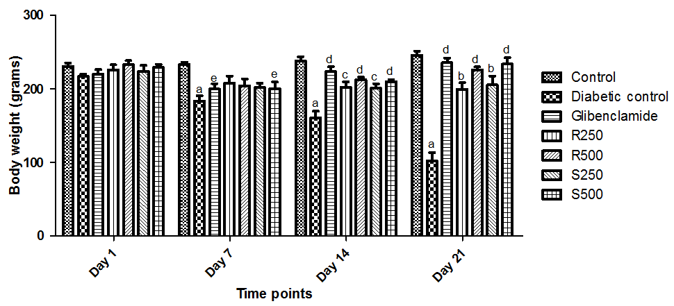
In order to determine chronic effect, MES and MER were administered at two dose levels (250 and 500 mg/kg) to the rats for 21 days and blood glucose levels were monitored changes in blood glucose levels were followed by 7 days in all groups (fig. 7). S500 showed highest % decrease in blood glucose level (54.69%) compared to R250, R500 and S250 which showed marked decrease in the order, R500 (45.31%)>S250 (41.05%)>R250 (40.57%) compared to standard (52.01%). Body weights of animals were found to decrease significantly (p<0.001) in diabetic control group as compared to control from day 7 (fig. 8). Our results suggested that R250 and S250 were able to show restoration of body weights near to normal significantly (p<0.001) after 21 days.

Fig. 8: It shows effect of different concentrations of methanolic extracts of powdered roots and stem of G. arborea on body weight of STZ induced diabetic rats, Values are expressed as mean±SD from 6 rats in each group, asignificantly different from control group, P<0.0001;bsignificantly different from disease control and control group, (p<0.001); csignificantly different from disease control (p<0.001) and control group (p<0.01); dsignificantly different from disease control group (p<0.001); esignificantly different from control group, (p<0.01)
Table 1: It shows effect of MER and MES (250 and 500 mg/kg) of G. arborea on serum profile and whole blood (GHb) in STZ induced diabetic rats
| Group | TG | TC | HDLC | LDLC | VLDLC | AAI | TP | Creatinine | GHb |
| (mg/dl) | (mg/dl) | (mg/dl) | (mg/dl) | (mg/dl) | (%) | (g/dl) | (mg/dl) | (%) | |
| Control | 47.54±4.098 | 82.74± 2.381 |
30.21± 1.905 |
30.92± 1.387 |
21.61± 1.863 |
57.48± 3.106 |
7.854± 0.129 |
0.4167± 0.125 |
3.603± 0.863 |
| Disease control | 129.1± 14.02a |
104.2± 4.167a |
12.79± 1.361a |
48.7± 2.946a |
58.68± 5.46a |
13.97± 1.06a |
2.057± 0.032a |
2.292± 0.042a |
7.678± 0.170a |
| Glibenclamide (Standard) | 53.28± 2.459b |
96.13± 0.8929a |
27.22± 2.722b |
32.69± 2.66b |
24.22± 1.118b |
39.62± 5.00 |
10.63± 2.438b |
0.7083± 0.083b |
5.571± 0.093b |
| R250 | 86.89± 2.063abc |
91.27± 0.7154 |
23.95± 0.5443b |
26.96± 1.142b |
35.49± 1.9376b |
35.84± 0.6276 |
3.9± 0.043c |
1.333±0.002abc | 5.394± 0.022b |
| R500 | 74.32± 2.236b |
70.63± 0.1984bc |
36.47± 1.089b |
19.52± 1.390b |
33.78± 1.017b |
106.56± 16.36abc |
5.4± 0.064 |
1.042± 0.083ab |
4.937± 0.199b |
| S250 | 68.04± 1.224b |
93.75± 0.8929 |
26.06± 1.905b |
28.82± 3.363b |
27.45± 0.7554b |
38.49± 4.503 |
4.35± 0.032c |
1.167± 0.041abc |
4.262± 0.06b |
| S500 | 60.03± 0.473b |
92.26± 2.976 |
29.66± 0.816b |
24.59± 3.12b |
30.92± 0.2151b |
47.29± 1.219 |
6.482± 0.161 |
0.875± 0.003ab |
3.969± 0.202b |
TG: Triglyceride; TC: Total cholesterol; HDLC: High density lipoprotein cholesterol; LDLC: Low density lipoprotein cholesterol; VLDLC: Very low density lipoprotein cholesterol; AAI: Antiatherogenic Index, TP: Total protein; GHb: Glycosylated Hemoglobin, Values are expressed as mean±SD from 6 rats in each group. asignificantly different from control group at p<0.001, bsignificantly different from diabetic control group at P<0. 001 and csignificantly different from standard group (glibenclamide treated) at p<0.001(ANOVA followed by Dunnett)

Fig. 9: It shows effect of methanolic extracts of powdered roots and stems of G. arborea on insulin in streptozotocin induced diabetic rats
Values are expressed as mean±SD from 6 rats in each group. asignificantly different from control group p<0.01 and bsignificantly different from diabetic control group P<0.05 (ANOVA followed by Dunnett)
Biochemical estimations
Effects of MER and MES (250 and 500 mg/kg) of powdered G. arborea on serum profile is summarized in table 1. Significant increase in the levels of TG, TC, LDLC, VLDLC, creatinine and GHb while decrease in levels of HDLC, AAI and TP was observed in the diabetic group compared to the normal control group (table 1). All the extracts as well as standard showed significant decrease (p<0.001) in TG, TC and LDLC and showed increased levels of HDLC and AAI comparable to standard. The animals treated with glibenclamide showed highest decrease in TC levels amongst all, while animals in group S500 showed highest decrease in TG (60.04±0.473 mg/dl) from all test groups. Group treated with R500 showed most significant decrease (p<0.001) in TC (70.63±0.1984 mg/dl) and LDLC (19.52±1.390 mg/dl) as well as most significant increase in HDLC (36.47±1.089 mg/dl) levels and AAI (106.56±16.36 %) amongst all groups compared to the diabetic control and standard. Standard as well as Group S500 showed highest decrease in glycosylated hemoglobin (3.969±0.202 %), significant decrease (p<0.001) in serum creatinine and insulin (22.52±2.941 μU/ml) levels. Results of all the biochemical parameters indicated that R 500 was highly active in restoring the levels of TC, HDLC, LDLC and AAI whereas S500 was highly active in restoring the levels of TG, TP, creatinine, GHb and Insulin.
DISCUSSION
Stems and roots G. arborea have been explored for its chemical profile but exhaustive literature review of this plant revealed that systemic and scientific reports for its antidiabetic potential are very limited. Preliminary phytochemical screening of stems and roots revealed highest amounts of phenolics (0.925 %) and flavonoids (0.634 %) respectively in MER and MES of G. arborea and they possess a wide range of therapeutic uses. Within that context, antidiabetic activity of MER and MES of G. arborea was investigated in streptozotocin induced diabetic rats which is a widely used model for assessment of antidiabetic activity [43]. Both extracts showed hypoglycemic activity in glucose loaded animals (OGTT) and MES (500 mg/kg) showed good hypoglycemic action after 60 min, comparable with the standard. Up on administration of STZ to the normal rats, experimental diabetes was observed with severe hyperglycemia and decreased body weight due to increased muscle wasting and loss of tissue proteins [58]. This model is mimicking type 1 diabetes mellitus and hence there is destruction of the β cells of islets of Langerhans in the pancreas, and thus the normal blood sugar levels were not achieved by most of the extracts in our study. Only MES (500 mg/kg) showed 54.69 % decrease in blood glucose level which was comparable with reference standard, glibenclamide (52.01 %). While MER (500 mg/kg), MES (250 mg/kg) and MER (250 mg/kg) showed significant decrease in blood glucose level, 45.31 % (p<0.001), 41.05 % (p<0.001) and 40.57 % (p<0.001) respectively. Results of antidiabetic experiment revealed that MES (500 mg/kg) possessed most significant (p<0.001) hypoglycemic activity. Further, animals treated with MER and MES at 500 mg/kg and standard showed remarkable protection against loss of body weight as compared to diabetic control animals.
In diabetic condition, there is an elevation in total cholesterol, triglyceride, phospholipids, protein composition, creatinine level and glycosylated hemoglobin levels [54]. After 21 days treatment with MER, MES and glibenclamide, depletion observed in levels of triglyceride, total cholesterol, LDL cholesterol, VLDL cholesterol, antiatherogenic index and glycosylated hemoglobin. HDL cholesterol, total protein and creatinine level were found increased as compared to diabetic control group suggesting that protective effect of MER and MES might be through affecting the cholesterol synthesis [59].
Group MER (500 mg/kg) showed highest decrease in TC and LDLC and highest increase in HDLC level as well as AAI, while MES (500 mg/kg) also reduced TG, TC, LDLC and VLDLC levels whereas increased HDLC levels. This result indicates that both roots and stems have potential to maintain normal levels of cholesterol and triglycerides in diabetic condition. Diabetes mellitus often involves abnormal lipid metabolism and hyperglycemia produces marked increase in serum triglycerides and total cholesterol. This hyperlipidemia associated with diabetes mellitus may be attributed to insulin deficiency. Under normal circumstances, insulin activates lipoprotein lipase which hydrolyzes triglycerides. Insulin deficiency results in failure to activate the enzymes, thereby causing hypertriglyceridemia [36, 60]. Normalization of the blood glucose resulted in significant reductions in serum cholesterol and triglycerides protein. In the present study, MER and MES (500 mg/kg) resulted in normalization of serum lipids as standard, which might have contributed to the beneficial effect on pancreatic β cells. Glycosylated hemoglobin is a marker of glycemic control and in uncontrolled or poorly controlled diabetic condition increased glycosylation of number of proteins has been reported [61]. Our results suggest that MER and MES at all tested levels were able to significantly (p<0.001) lower GHb and the results were quite comparable with the standard. Further, marked decrease in TP in diabetic control groups was restored near to normal in groups treated with MER and MES but not in the standard group.
The effects of streptozotocin on glucose and insulin homeostasis reflects the abnormalities in β-cell functioning [62, 63]. In our study, the insulin was found significantly (P<0.05) elevated compared to greatly depleted levels in diabetic control (13.03±1.136 µU/ml) with the highest levels observed in S500 (22.52±2.941 µU/ml) followed by R500 (22.14±2.848 µU/ml) and S250 (22.06±2.133 µU/ml). The decreased serum glucose as well as increased serum and pancreatic insulin observed in our study indicated that amongst all test groups, MER and MES have presented promising antidiabetic action.
CONCLUSION
The present research suggests a strong platform for further studies of mechanism behind the observed anti diabetic activity of MER and MES. Flavonoids and phenolics rich composition of stems and roots might be responsible along with the other constituents for promising anti diabetic activity. MER and MES (500 mg/kg) may be further subjected to investigation and bioactivity guided separation of markers from the plant.
CONFLICT OF INTERESTS
Declared None
REFERENCES