Center of advance studies, Department of chemistry, University of Rajasthan, Jaipur 302004, India
Email: minimaharani@yahoo.com
Received: 20 Feb 2015 Revised and Accepted: 08 May 2015
ABSTRACT
Objective: Synthesis of a series of novel indole derivatives (6a-h) by condensation of indolyl chalcones (5a-h) with thiobarbituric acid to evaluate free radical scavenging and DNA cleavage activity.
Methods: The newly synthesized compounds were screened for free radical scavenging activity by DPPH method. The DNA cleavage activity of some indole derivatives was studied by agarose gel electrophoresis method. The structures of the synthesized compounds are assigned on the basis of elemental analysis, IR, 1HNMR, 13C NMR and mass spectral data.
Results: Among the synthesized compounds the simple indole derivative (6a) has very good scavenging activity, chloro and fluoro substituted indole derivatives (6g), (6h) have shown moderate activities and methyl derivatives (6e), (6f) have shown least activity compare with the standard. All the tested compounds in the series have exhibited promising DNA cleavage activity.
Conclusion: A series of novel indole derivatives were synthesized and evaluated for free radical scavenging and DNA cleavage activity. The compound (6g) was found most active among all the synthesized compounds.
Keywords: Indolyl chalcones, Thiobarbituric acid, Free radical scavenging activity, DNA cleavage activity.
INTRODUCTION
Indole nucleus annulated to carbocyclic and heterocyclic ring(s) is one of the most ubiquitous scaffolds found in astonishing variety of pharmaceuticals [1], functional materials [2-4], agrochemicals [5], and alkaloids [6] endowed with potent and multiform biological activities. These are also reported to possess antimicrobial [7], anti-inflammatory [8], and antifungal [9], and antioxidant [10], etc. activities. Indole derivatives display a diverse variety of pharmacological activities that are useful in the treatment of fibromyalgia, chronic fatigue, and irritable bowel syndrome [11-13]. Besides being biologically active, they are also used extensively as synthons in the organic synthesis that possesses potentially reactive site for a variety of chemical reactions. Indole-3-carboxaldehyde is a naturally occurring component of Brassica vegetables. It induces a G-1 cell cycle arrest of human breast cancer [14]. The diversity of the indole nucleus has motivated research aimed at the development of some novel compounds having indole moiety.
Free radicals produced as a result of normal biochemical reactions in the body are responsible for cardiovascular diseases, neurodegenerative diseases, cancer, and inflammation and also for cellular and metabolic injury. Many anti-inflammatory agents are known to act through the scavenging of oxygen radicals [15, 16]. Some indole derivatives, such as melatonin and serotonin act as antioxidant and play an important role in the immune system [17]. Due to the important role of free radicals in the pathophysiology of various disorders, there is a growing interest in the development of novel antioxidant compounds containing indole moiety as a clinically effective drug for the treatment of these disorders.
DNA is the primary target molecule for most anticancer and antiviral therapies [18, 19], synthetic nucleases has provided important tools in the hand of a chemist to manipulate DNA and cooperate with molecular biologists [20]. DNA cleavage studies have enriched the area of drug design [21]. The research efforts directed towards the isolation and evaluation of naturally occurring DNA cleaving agents and towards the design and synthesis of model compounds that can specifically recognize and cut DNA has been increasing continuously. The potential scope of the utility of these compounds is enormous and ranges from the creation of synthetic restriction enzymes for use by molecular biologists to the development of chemotherapeutic agents that may be effective against a variety of diseases. Several potent antitumor, antibiotic natural products such as dynemicin [22], calichemicin [23] and neocarzinostatin [24] cleave DNA by hydrogen atom abstraction from deoxyribose sugar. Because of the toxicity of these natural products, great effort has been directed towards the design of synthetic analogues capable of cleaving DNA in a similar manner [24]. During literature survey, it was revealed that some indole derivatives have been reported as efficient DNA cleavage agents [25].
The reaction of indolyl chalcones with thiobarbituric acid gave indolyl pyrimidine derivatives. Pyrimidine based heterocycles are potent bioactive molecules and exhibit antibacterial, anti-inflammatory, antioxidant, antitumoral, analgesic, antitubercular and antiviral activities. 5-Fluoro-uracil and fturafur are reported to be potent anticancer agents [26]. Many classes of chemotherapeutic agents containing pyrimidine nucleus are in clinical use such as antibacterial (Sulfadiazine, sulfamerazine), antiviral (Iodoxuridine, trifloridine) antifungal (flucytocine) and antimalarial (pyrimethamine) agents. Nitrogen containing heterocycles such as pyrimidine and indole is a promising structural moiety for drug designing. It has been observed that the incorporation of fluorine atom into the indole ring would tend to increase drug persistence by increasing its solubility in lipid material and fat deposits in the body [27]. Therefore, with continuation of our research program on indole derivatives [28, 29], Keeping these observations in view, and a series of novel indole derivatives have been designed and synthesized by effective condensation of indolyl chalcones with thiobarbituric acid in acidic media. Synthesized compounds further screened for their free radical scavenging and DNA cleavage activity.
MATERIALS AND METHODS
Chemistry
Melting points of all the synthesized compounds are determined in open capillary tubes and are uncorrected. The IR spectra (Vmax in cm-1) were recorded on a Perkin Elmer-557 model. Reactions are monitored by thin-layer chromatography (TLC). The mobile phase was chloroform and benzene (1:1) and the spots were visualized using UV light and iodine. 1H NMR and 13C NMR spectra were recorded on BRUKER AVENE II 400-MHz NMR Spectrometer using tetramethylsilane (TMS) as an internal standard and DMSO-d6/CDCl3 as a solvent. The mass spectral data were obtained on a JEOLD-300 spectrometer.
Biological activities
Free radical scavenging assays (FRSA)
Free radical scavenging activity was done by DDPH method. The DPPH is a stable free radical and is widely used to assess the radical scavenging activity of antioxidant compounds. This method is based on the reduction of DPPH in methanol solution in the presence of a hydrogen–donating antioxidant due to the formation of the nonradical form DPPH-H (Blois, 1958). This transformation results in a color change from purple to yellow, which was measured by spectrophotometrically. The disappearance of the purple color monitored at 517 nm. The reaction mixture (3.0 ml) consists of 1.0 ml of DPPH in methanol (0.3 mM), 1.0 ml of the compound and 1.0 ml of methanol. It incubated for 10 min in dark, and then the absorbance was measured at 517 nm. In this assay, the positive controls can be ascorbic acid (Blois, 1958), the percentage of inhibition can be calculated using the formula.
Inhibition (%) = (A0–A1/A0) × 100
Where; A0 is the absorbance of control and A1 is the absorbance of the sample.
DNA cleavage analysis
Preparation of culture media
DNA cleavage experiments were done according to the literature method [33]. Nutrient broth [Peptone, 10; yeast extract, 5; NaCl, 10; in (g/l) was used for culturing of Escherichia coli. 50 ml media was prepared, autoclaved for 15 min at 121 °C under 15 lb pressures. The autoclaved media were inoculated for 24 h at 37 °C.
Isolation of DNA
The fresh bacterial culture (1.5 ml) was centrifuged to obtain the pellet which was then dissolved in 0.5 ml of lysis buffer (100 mM tris pH 8.0, 50 mM EDTA, 10 % SDS).
To this 0.5 ml of saturated phenol was added and incubated at 55 °C for 10 min, then centrifuged at 10,000 rpm for 10 min and to the supernatant, an equal volume of chloroform: isoamyl alcohol (24:1) and 1/20th volume of 3 M sodium acetate (pH 4.8) was added. This was further centrifuged at 10,000 rpm for 10 min and to the supernatant, 3 volumes of chilled absolute alcohol was added. The precipitated DNA was separated by centrifugation and the pellet was dried and dissolved in TAE buffer (10 mM tris pH 8.0, 1 mM EDTA) and stored in cold condition.
Agarose gel electrophoresis
The cleavage products were analyzed by agarose gel electrophoresis method [33]. Test samples (1 mg/ml) were prepared in DMF. The samples (25 mg) were added to the isolated DNA of E. coli. The samples were incubated for 2 h at 37 °C and then 20 ml of DNA sample (Mixed with bromophenol blue dye at 1:1 ratio) was loaded carefully into the electrophoresis chamber wells along with standard DNA marker containing TAE buffer (4.84 g tris base, pH 8.0, 0.5 M EDTA/1 L) and finally loaded on agarose gel and passed the constant 50 V of electricity for 30 min.
Removing the gel and stained with 10.0 mg/ml ethidium bromide for 10e 15 min, the bands were observed under Vilber Lourmat Gel documentation system and then photographed to determine the extent of DNA cleavage. The results are compared with standard DNA marker. DNA ladder was used 100-1000bp (100 bp step up ladder, Merck).
Synthesis of 2-Phenyl-1H-indole-3-carbaldehyde (2a)
Phosphorus oxychloride (9.21 ml, 0.06 mol) was added slowly with stirring to DMF (30 ml) at 10-15 °C. To the resultant solution, 2-phenylindole (9.66 g, 0.05 mol) was added in portions with stirring. The solution was further stirred for 45 min and then poured into ice water (100 ml). Sodium hydroxide solution (2 N, 100 ml) was added to it and the mixture was heated on a water bath for 1 h. It was cooled, filtered and recrystallized from acetone (80 %) to obtain pure compound. Yield 86%; light-brown powder; mp 237-239 °C; reported 240 °C [34]. The compounds (2a-e) also synthesized by the above method. Physical and analytical data of these compounds (2a-e) shown in (table 1).
Table 1: Physical and analytical data of 2-Phenyl-1H-indole-3-carbaldehydes (2a-e)

| Compound | R | Yield % |
Molecular formula |
Molecular weight |
Melting point ( °C) (Reported) [x] |
Elem. analysis (Cal./Found) |
| C | ||||||
| 2a | H | 86 | C15H11NO | 221.25 | 237-239 (240)[34] |
81.68/81.62 |
| 2b | F | 85 | C15H10FNO | 239.24 | 270-272 (270)[35] |
75.30/75.31 |
| 2c | Cl | 83 | C15H10ClNO | 255.70 | 245-247 (247)[35] |
70.46/70.45 |
| 2d | Br | 85 | C15H10BrNO | 300.15 | 276-278 (278)[35] |
60.02/60.01 |
| 2e | CH3 | 78 | C16H13NO | 235.28 | 205-208 (206)[35] |
81.43/81.42 |
X-References of reported melting point
Synthesis of (E)-1-phenyl-3-(2-phenyl-1H-indol-3-yl)prop-2-en-1-one (5a)
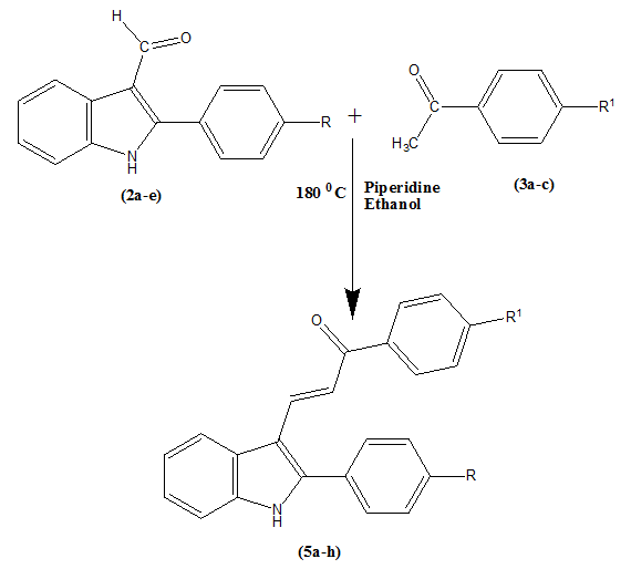
A mixture of 2-Phenyl-1H-indole-3-carbaldehyde (2a) (0.22 g, 1 mmol) and acetophenone (0.2 ml, 1 mmol) in anhydrous ethanol (30 ml) was refluxed in the presence of piperidine (0.5 ml) for 20 h. The reaction mixture poured into ice water, neutralized with acetic acid to get the solid compound which was filtered and recrystallized from ethanol to obtain pure compound. Yield 76%; dark brown solid; mp 170-172 °C; reported 171-172 °C [36], the compounds (5a-h) also synthesized by the above method. Physical and analytical data of these compounds (5a-h) shown in (table 2).
Table 2: Physical and analytical data of (E)-1-phenyl-3-(2-phenyl-1H-indol-3-yl)prop-2-en-1-ones (5a-h)

| Compound | R | R1 | Yield % |
Molecular formula |
Molecular weight |
Melting point ( °C) (Reported) [y] | Elem. analysis (Cal./Found) |
| C | |||||||
| 5a | H | H | 76 | C23H17NO | 323.39 | 170-172 (172)[36] |
85.42/85.41 |
| 5b | F | H | 77 | C23H16FNO | 341.32 | 205-207 (205)[37] |
80.92/80.91 |
| 5c | Br | H | 74 | C23H16BrNO | 402.28 | 206-208 | 68.67/68.66 |
| 5d | Cl | H | 78 | C23H16ClNO | 357.83 | 193-195 (192)[39] |
77.20/77.19 |
| 5e | CH3 | H | 72 | C24H19NO | 337.41 | 222-224 | 85.43/85.41 |
| 5f | CH3 | Cl | 73 | C24H18ClNO | 371.86 | 247-249 (248)[38] |
77.52/77.51 |
| 5g | Cl | F | 82 | C23H15ClFNO | 375.82 | 203-205 (205)[38] |
73.50/73.49 |
| 5h | Br | F | 79 | C23H15BrFNO | 420.27 | 211-213 | 65.73/65.72 |
Y-References of reported melting point
Compounds 5c, 5e, and 5h were assigned by their spectral analysis [38].
Synthesis of dihydro-5-((E)-1-phenyl-3-(2-phenyl-1H-indol-3-yl) allylidene)-2-thioxopyrimidine-4,6(1H,5H)-dione (6a)
Solution of indolyl chalcone (E)-1-phenyl-3-(2-phenyl-1H-indol-3-yl)prop-2-en-1-one (5a) (0.32 g, 1 mmol) in 15 ml acetic acid, thiobarbituric acid (0.14 g, 1 mmol) was added, then the reaction mixture was refluxed for 6-7 hour, after completion as shown by TLC the reaction mixture was poured into crush ice with constant stirring. The crude product was isolated and recrystallized from toluene to obtain pure compound. Yield 72 %; dark brown solid; mp 194-196 °C; the compounds of the series (6a-h) also synthesized by the above method. The physical and analytical data of the synthesized compounds (6a-h) shown in (table 3).
Table 3: Physical and analytical data of dihydro-5-((E)-1-phenyl-3-(2-phenyl-1H-indol-3-yl) allylidene)-2-thioxopyrimidine-4,6(1H,5H)-diones (6a-h)

| Compound | R | R1 | Yield % |
Molecular formula |
Molecular weight |
Melting point ( °C) | Elem. analysis (Cal./Found) |
| C | |||||||
| 6a | H | H | 72 | C27H19N3O2S | 449.13 | 190-192 | 72.14/72.12 |
| 6b | F | H | 64 | C27H18FN3O2S | 467.42 | 213-215 | 69.36/69.34 |
| 6c | Br | H | 68 | C27H19BrN3O2S | 528.56 | 234-236 | 61.37/61.35 |
| 6d | Cl | H | 72 | C27H18ClN3O2S | 484.54 | 255-257 | 67.01/67.00 |
| 6e | CH3 | H | 53 | C28H21N3O2S | 463.32 | 194-196 | 72.55/72.53 |
| 6f | CH3 | Cl | 62 | C28H20ClN3O2S | 498.65 | 265-260 | 67.53/67.51 |
| 6g | Cl | F | 64 | C27H17ClFN3O2S | 502.15 | 278-280 | 64.60/64.62 |
| 6h | Br | F | 71 | C27H17BrFN3O2S | 547.65 | 286-288 | 59.35/59.32 |
RESULTS AND DISCUSSION
Synthesis
2-Phenylindole derivatives were obtained by the method of Joshi et al. [30], were subjected to formylation with phosphorous oxychloride and dimethylformamide under Vilsmeier-Haack Formylation reaction [31].
We carried out Claisen-Schmidt condensation reaction between 3-Formyl-2-phenylindole derivatives (2a-e) and various substituted acetophenones (3a-c) catalyzed by piperidine to get indolyl chalcones (5a-h) [32]. The condensation of indolyl chalcones (5a-h) with thiobarbituric acid in acidic media gave (6a-h) (Scheme-1). All synthesized compounds were characterized by IR, 1H NMR, 13C NMR and mass spectroscopic data.
In the IR spectra of 2-Phenyl-1H-indole-3-carbaldehyde derivatives (2a-e), the N-H stretching band is shifted towards lower wave number 3405-3350 cm-1due to the presence of carbonyl group at position 3 of the indole ring, the carbonyl absorption band is observed downfield between 1620-1605 cm-1due to conjugation of carbonyl group with indole ring. In 1H NMR spectra of 2-Phenyl-1H-indole-3-carbaldehyde derivatives, the N-H resonance signal is observed in the region of δ 10.1 − 11.2 ppm as a broad singlet. Aromatic protons are observed as multiplet from δ 7.2 − 7.9 ppm. Singlet due to–CHO proton appears in the region δ 9.0 − 10 ppm.
In the IR spectra of (E)-1-phenyl-3-(2-phenyl-1H-indol-3-yl)prop-2-en-1-ones (5a-h), the N-H absorption appears as a broad band 3390-3200 cm-1. Characteristic absorption due to carbonyl group appears in the range of 1625-1605 cm-1. The downfield shift is due to conjugation of the carbonyl group with the olefinic double bond and aryl groups, which results in delocalization of electrons of the carbonyl group giving ionic resonance structures.
The olefinic double bond (C=C) appears between the range of 1600-1595 cm-1. The 1H NMR spectra of (E)-1-phenyl-3-(2-phenyl-1H-indol-3-yl) prop-2-en-1-ones (5a-h) exhibit a complex splitting pattern. The two olefinic protons constitute an AB system and appear as a pair of doublet, the downfield doublet in the region δ 7.30 − 7.43 ppm due to (CH=CH) proton and the doublet in the region δ 6.97 − 7.01 ppm due to (CO-CH) proton. Aromatic proton appears as a complex multiplet in the region δ 6.70 − 7.60 ppm. N-H resonance signal appears as a broad singlet from δ 10.9 − 10.2 ppm.
The IR spectra of dihydro-5-((E)-1-phenyl-3-(2-phenyl-1H-indol-3-yl) allylidene)-2-thioxopyrimidine-4,6(1H,5H)-diones (6a-h), N-H absorption appears as a broad band at 3415-3350 cm-1, two absorption band appears at 2930-2910 and 2870-2840 cm-1 due to pyrimidine NH/NH. The characteristic absorption due to carbonyl group appears in the range of 1690-1680 cm-1. The absorption bands of (C=S) exhibited in the region of 1295-1285 cm-1.
The 1H NMR spectra of dihydro-5-((E)-1-phenyl-3-(2-phenyl-1H-indol-3-yl) allylidene)-2-thioxopyrimidine-4,6(1H,5H)-diones (6a-h), the N-H resonance signal of indole appear as a singlet from δ 10.9 − 11.2 ppm, which is also D2O exchangeable, two singlet of pyrimidine NH/NH appears at δ 8.62 − 8.71 ppm and δ 8.32 − 8.40 ppm. The Downfield doublet in the region of δ 7.30 − 7.43 ppm is due to (CH=CH) proton, this strong downfield shift of proton is due to extended conjugation with aromatic protons. Aromatic multiplet observed in the range of δ 6.9 8.0 ppm.
Spectral data of compounds
Dihydro-5-((E)-1-phenyl-3-(2-phenyl-1H-indol-3-yl) allylidene)-2-thioxopyrimidine-4,6(1H,5H)-dione (6a)
Yield 72% (Toluene): mp 194-196 °C; IR (KBr) vmax in cm-1: 3408, 2920, 2850, 1685, 1280; 1H NMR (DMSO-d6+CDCl3) in δ(ppm): 10.04 (s, 1H, indole NH), 8.71 (s, 1H, pyrimidine NH), 8.39 (s, 1H, pyrimidine NH), 7.32 (d, 2H, CH=CH-), 6.9-8.0 (m, 14H, Ar-H); 13C NMR (DMSO-d6+CDCl3) in δ(ppm): 137.3, 136.9, 132.1, 131.3, 129.0, 126.8, 122.2, 120.5, 119.9, and 111.3; ESI-MS 450.12 [M+1]+.
5-((E)-3-(2-(4-flurophenyl)-1H-indol-3-yl)-1-phenylallylidene)-dihydro-2-thioxopyrimidine-4,6(1H,5H)-dione (6b)
Yield 64% (Ethanol): mp 213-215 °C; IR (KBr) vmax in cm-1: 3409, 2918, 2847, 1682, 1281; 1H NMR (DMSO-d6+CDCl3) in δ(ppm): 10.04 (s, 1H, indole NH), 8.61 (s, 1H, pyrimidine NH), 8.29 (s, 1H, pyrimidine NH), 7.22 (d, 2H, CH=CH-), 6.8-8.1 (m, 13H, Ar-H); 13C NMR (DMSO-d6+CDCl3) in δ(ppm): 137.5, 136.6, 132.4, 131.5, 129.2, 126.4, 122.7, 120.6, 119.2, and 111.8; ESI-MS 468.11 [M+1]+.
5-((E)-3-(2-(4-bromophenyl)-1H-indol-3-yl)-1-phenylallylidene)-dihydro-2-thioxopyrimidine-4,6(1H,5H)-dione (6c)
Yield 68% (Ethanol): mp 234-236 °C; IR (KBr) vmax in cm-1: 3306, 2924, 2854, 1667, 1272; 1H NMR (DMSO-d6+CDCl3) in δ(ppm): 11.04 (s, 1H, indole NH), 9.61 (s, 1H, pyrimidine NH), 9.29 (s, 1H, pyrimidine NH), 7.82 (d, 2H, CH=CH-), 6.6-8.7 (m, 13H, Ar-H); 13C NMR (DMSO-d6+CDCl3) in δ(ppm): 147.5, 146.6, 142.4, 138.5, 132.2, 131.4, 130.7, 126.6, 120.2, 112.4 and 104.8; ESI-MS 530.03 [M+1]+.
5-((E)-3-(2-(4-chlorophenyl)-1H-indol-3-yl)-1-phenylallylidene)-dihydro-2-thioxopyrimidine-4,6(1H,5H)-dione (6d)
Yield 72% (Ethanol): mp 255-257 °C; IR (KBr) vmax in cm-1: 3419, 2908, 2857, 1681, 1282; 1H NMR (DMSO-d6+CDCl3) in δ(ppm): 11.24 (s, 1H, indole NH), 9.54 (s, 1H, pyrimidine NH), 9.34 (s, 1H, pyrimidine NH), 6.82 (d, 2H, CH=CH-), 6.8-8.6 (m, 13H, Ar-H); 13C NMR (DMSO-d6+CDCl3) in δ(ppm): 145.5, 142.6, 141.4, 138.6, 132.6, 132.4, 130.2, 124.2, 121.4, 113.2 and 111.8; ESI-MS 484.08 [M+1]+.
Dihydro-5-((E)-1-phenyl-3-(2-p-tolyl-1H-indol-3-yl) allylidene)-2-thioxopyrimidine-4,6(1H,5H)-dione (6e)
Yield 53% (Ethanol): mp 194-196 °C; IR (KBr) vmax in cm-1: 3408, 2938, 2837, 1672, 1282; 1H NMR (DMSO-d6+CDCl3) in δ(ppm): 10.34 (s, 1H, indole NH), 8.76 (s, 1H, pyrimidine NH), 8.54 (s, 1H, pyrimidine NH), 7.23 (d, 2H, CH=CH-), 6.7-8.3 (m, 12H, Ar-H), 2.3 (s, 3H, CH3); 13C NMR (DMSO-d6+CDCl3) in δ(ppm): 153.5, 136.6, 132.4, 130.5, 129.2, 126.2, 122.8, 120.3, 119.2, 111.8 and 22.3; ESI-MS 464.11 [M+1]+.
5-((E)-1-(4-chlorophenyl-3-(2-p-tolyl-1H-indol-3-yl)allylidene)-dihydro-2-thioxopyrimidine-4,6(1H,5H)-dione (6f)
Yield 62% (Ethanol): mp 265-267 °C; IR (KBr) vmax in cm-1: 3387, 2989, 2835, 1671, 1284; 1H NMR (DMSO-d6+CDCl3) in δ(ppm): 10.35 (s, 1H, indole NH), 8.67 (s, 1H, pyrimidine NH), 7.69 (s, 1H, pyrimidine NH), 7.06 (d, 2H, CH=CH-), 6.8-8.2 (m, 12H, Ar-H), 2.2 (s, 3H, CH3); 13C NMR (DMSO-d6+CDCl3) in δ(ppm): 163.5, 146.6, 136.4, 133.5, 129.1, 126.6, 122.3, 120.1, 119.7,110.8 and 23.3; ESI-MS 499.09 [M+1]+.
5-((E)-3-(2-(4-chlorophenyl)-1H-indol-3-yl)-1-(4-fluorophenyl) allylidene)-dihydro-2-thioxopyrimidine-4,6(1H,5H)-dione(6g)
Yield 64% (Benzene): mp 278-280 °C; IR (KBr) vmax in cm-1: 3418, 2907, 2847, 1682, 1287; 1H NMR (DMSO-d6+CDCl3) in δ(ppm): 11.78 (s, 1H, indole NH), 9.53 (s, 1H, pyrimidine NH), 9.32 (s, 1H, pyrimidine NH), 6.81 (d, 2H, CH=CH-), 6.6-8.62 (m, 12H, Ar-H); 13C NMR (DMSO-d6+CDCl3)in δ(ppm): 145.2, 141.6, 141.3, 137.6, 131.6, 131.0, 130.1, 123.2, 121.3, 113.1 and 110.8; ESI-MS 503.08 [M+1]+.
5-((E)-3-(2-(4-bromophenyl)-1H-indol-3-yl)-1-(4-fluorophenyl) allylidene)-dihydro-2-thioxopyrimidine-4,6(1H,5H)-dione (6h)
Yield 71% (Benzene): mp 286-288 °C; IR (KBr) vmax in cm-1: 3406, 2912, 2870, 1681, 1282; 1H NMR (DMSO-d6+CDCl3) in δ(ppm): 10.78 (s, 1H, indole NH), 8.52 (s, 1H, pyrimidine NH), 8.32 (s, 1H, pyrimidine NH), 6.80 (d, 2H, CH=CH-), 6.8-8.9 (m, 12H, Ar-H); 13C NMR (DMSO-d6+CDCl3) in δ(ppm): 155.6, 141.2, 140.1, 133.8, 132.6, 131.6, 130.2, 123.4, 120.3, 111.1 and 109.7; ESI-MS 548.03 [M+1]+.
Biological activities
Free radical scavenging assay (FRSA)
The free radical scavenging activity of synthesized compounds was done by DDPH method. Among synthesized compounds (6a), (6e), (6g), (6h) showed activity of 78 %, 54 %, 72 % and 70 % and respectively at 250 μg/ml, whereas ascorbic acid at the same concentration exhibited 96.66% inhibition respectively.
Results showed that the simple indole derivative (6a) has very good scavenging activity, chloro and fluoro substituted indole derivatives (6g), (6h) have shown moderate activities and methyl derivatives (6e), (6f) have shown least activity compare with the standard. Therefore, such compounds containing chloro, fluoro and hydrogen substitutions on 2-phenyl indole moiety enhance the free radical scavenging activity. The bar graph representation of the percentage of free radical scavenging activity is shown in fig. 1.


Scheme 1: Schematic representation for the synthesis of novel indole derivatives from thiobarbituric acid

Fig. 1: Free radical activity of synthesized compounds (6a-h)
DNA cleavage analysis
The DNA cleavage activity of some indole derivatives (6a-h) was studied by agarose gel electrophoresis method. The pictures of gels are presented in fig. 2. The gel after electrophoresis clearly revealed that, all the tested compounds did act on the DNA as little tailing in the bands can be observed in the samples. This shows that compounds were able to covert supercoiled DNA into the open circular DNA. The general oxidative mechanisms proposed account for DNA cleavage by aryl or vinyl radicals. These radicals would be capable of causing the hydrogen atom abstraction reaction from deoxyribose which initiates the scission of DNA. From the gel picture, it is clear that chloro and fluoro substituted indole derivatives (6d), (6g), (6h) have shown promising DNA cleavage activity which is confirmed by observing the tail in the DNA band, significant activity shown by simple indole derivative (6a), and least activity shown by methyl substituted indole derivative (6e). The difference was observed in bands of compounds (Lane 1-7) compared to the control standard DNA marker of E. coli. With these results, it can be concluded that promising activity of compounds (6d), (6g), (6h) may be due to the formation of halogen substituted aryl radicals, which are more capable to abstract hydrogen from deoxyribose sugar to cleave DNA compare than methyl substituted aryl radical (6e).

Fig. 2: DNA cleavage activity of some novel indole derivatives
CONCLUSION
A new series of novel indole derivatives were designed, synthesized and characterized. The synthesized compounds screened for free radical scavenging activity and DNA cleavage analysis. Some of the synthesized compounds viz., (6a), (6g) and (6h) exhibited excellent free radical scavenging activity compared with the standard ascorbic acid which exhibited 96.66% inhibition. DNA cleavage studies revealed that the compounds (6d), (6g), (6h) and (6a) of the series have exhibited promising cleavage activity, which is revealed by tailing in the DNA bands. With results, it is observed that the halogen (Cl, F) and H substitution in the indolyl system enhance the antioxidant and DNA cleavage activity. Consequently, there is a good scope to develop a synthetic less harmful drug to reduce oxidative stress and capability to inhibit the growth of the pathogenic organism by cleaving the genome.
ACKNOWLEDGEMENT
One of the authors, Madhuri Modi is thankful to CSIR-JRF (Junior Research fellowship), Ref. no. 09/149(0635)/2012-EMR-1 dated 25-4-2013, New Delhi 110 012. MNIT (MRC), Jaipur for spectral analysis. Dr. B. Lal Institute of Biotechnology, Jaipur, for biological activities and also special thanks to Prof. Renuka Jain (Emeritus Scientist) for her knowledgeable guidance.
CONFLICT OF INTERESTS
Declared None
REFERENCES