1Department of Pharmacology and Therapy, 2.Department of Parasitology, 3Department of Dermatology, Faculty of Medicine, Universitas Gadjah Mada, Indonesia, 4Research Centre for Chemistry, Indonesian Institute of Sciences (LIPI), Kawasan PUSPIPTEK Serpong, Banten 13510, Indonesia
Email: maeshw98@yahoo.com
Received: 24 Feb 2015 Revised and Accepted: 28 Apr 2015
ABSTRACT
Objective: The leaves of Kembang Bulan [Tithonia diversifolia (Hemsley) A. Gray] are used traditionally to treat various deseases in Indonesia. Initial study showed that chloroform (CHCl3) extract of the leaves inhibited the growth of cancer cells in vitro on HeLa cells (half maximal inhibitory concentration/IC50, 16,61µg/ml), and the cytotoxic compounds appeared present in the petroleum ether (PE) insoluble fraction (IC50, 3,078µg/ml) of the CHCl3 extract. Objective of the present study was to screen cytotoxic activity of its further fractions and isolates.
Methods: The PE insoluble fraction was fractionated by vacuum column chromatography to give 5 combined fractions (I-V). Fraction III, containing 3 isolates (A, B, and C) on thin-layer chromatrography (TLC) displays highest cytotoxic activity that is then subjected into preparative TLC.
Results: According to cytotoxic bioassay, B isolate was the active one (IC50, 47.074±4.79 ug/ml), and further purification of B isolate results in 3 isolates (B1, B2 and B3). B2 isolate was tested on several human cancer cell lines, and shows the most cytotoxic in vitro on HeLa (IC50= 9.776±0.77µg/ml) and WiDR cell lines (IC50, 0.585±0,08 ug/ml).
Conclusion: B2 isolate was a major cytotoxic compound and identified as Tagitinin C, based on its spectroscopic data and comparison with the previous reported, data.
Keywords: T. diversifolia, Fractionation, Cytotoxic, WiDR, Tagitinin C.
INTRODUCTION
The leaves of Kembang bulan [Tithonia diversifolia (Hemsley) A. Gray] are traditionally used by Indonesia to cure stomachache, diarhea, liver diseases, wounds and to reduce the blood sugar [1-3]. Antimalarial activity of this plant has been reported and also antimicrobial activity of this extract and a germacranolidetype sesquiterpene lactone has been reported from Tithonia diversifolia leaf extract [4,5]. On the other study [6] showed the cytotoxic effect in vitro on adenocarcinoma colon cell line (HCT-116) of MeOH extract of this species. Whereas [7] revealed that this species extract has antiproliferative effect on human colon cancer (Col-2) and can induce human celluler differentiation on human promyelositic leukemia (HL-60) in vitro. Furthermore, initial study has been done by [8] on this species, CHCl3 extract of the leaves displays cytotoxic effect (IC50,16.61 µg/ml) on HeLa cells better than that on methanol extract (IC50, 1006.99 µg/ml). This result suggests that cytotoxic compounds are present in the CHCl3 extract. Fractionation of the dried CHCl3 extract with petroleum ether (PE) is able to separate the active compounds in the PE insoluble fraction (IC50, 3.078µg/ml) rather than in the PE soluble fraction (IC50, 325.331 µg/ml). Therefore, further study is emphasized on the PE insoluble fraction and here we are reporting isolation of its cytotoxic compound and its effect on several human cancer cell lines.
MATERIALS AND METHODS
The leaves of Tithonia diversifolia were collected from Pakem-Yogyakarta Special District of Indonesia in Februari 2009, identified at the Department of Biology Pharmacy, and voucher specimen (no FA/BF/182/Ident/VIII/09) was deposited in Department of Biology Pharmacy, Faculty of Pharmacy, Universitas Gadjah Mada. Cervical cancer Cell line (HeLa) was obtained from Prof. Tatsuo Takeya (NAIST-Japan), whereas, Burkitt’s lymphoma (Raji), myeloma, and SiHa cell lines (LPPT-UGM), Breast cancer (T47D, MCF7 and EVSA-T), colon cancer (WiDR), and melanoma (M19) cell lines were obtained from Prof. Kees Nooter (Erasmus Medical Center, the Netherlands). UV spectrum was recorded on UV spectrometer (Shimadzu UV-365), IR spectrum on Perkin Elmer Spectrum 1000, and NMR spectra were recorded on Bruker HX 500 (LIPI, Jakarta). 3-(4, 5-dimethylthiazol-2-yl)-2,5-diphenyltetrazoliumbromide (MTT) Sigma-Cat. Number: M-6494.
Cytotoxic bioassay
Stock solution preparation
Sample (1.0 mg) was dissolved in DMSO (100,0 µl) (E. Merck, Germany) and then RPMI-1640 medium was added to obtain a stock solution (10 mg/ml).
In vitro cells culture
Human cancer cells (HeLa, MCF7, EVSA-T, T47D, WIDR, Raji, Myeloma, SiHa, and M19) were maintained in RPMI-1640 medium (Sigma Chemical Co., USA), supplemented with 10% fetal bovine serum (Gibco Invitrogen,USA), 100 µg/ml of Streptomycin (Gibco Invitrogen, USA), 100 unit/ml of penicillin (Gibco Invitrogen, USA), and 2 mM of glutamin in tissue culture flask. The cells were incubated in 5% of CO2 incubator set at 37oC [9].
Cytotoxic assay
Several human cancer cell lines were cultured in RPMI 1640 supplemented with 10% heat inactivated fetal bovine serum (FBS). Cultures were maintained in a humidified incubator at 37 °C in an atmosphere of 5% CO2. A hundred µl of media containing 2x103cells was added to 96-well plate and incubated for 2 hours then samples at various concentrations were added. Following 24 hours of incubation, cells were gently washed with 1X PBS, and 100 µl of MTT 0.5 mg/ml was added to the well. The cells were incubated for 4 hours at 37 oC and the reaction was stopped by adding 100 µl SDS 10%. Each sample was repeated three times. The plates were incubated overnight and read in the microplate reader (Bio-Rad) at 595 nm. Data generated were used to plot a dose-response curve of which the concentration of samples required to kill 50% of cell population (IC50) was determined.
Isolation and structure identification
Isolation of cytotoxic active compound was done according to Bioassay Guided Isolation method (fig. 1). Each extract, fractions, or compounds obtained were monitored by cytotoxic assay.
Extraction of T. diversifolia`s leaves
Dried-powdered leaves (500 g) were macerated (24 hours, room temperature) with CHCl3 (1 L). Maceration was done 3 times, each was filtered in vacuo. The combined filtrates was evaporated by rotary evaporator to give sticky CHCl3 extract (28.5 g) (A).
Isolation and identification of cytotoxic compound
The CHCl3 extract (A) was triturated with petroleum ether (PE) to give PE soluble (A1) and PE insoluble (6,8 g). (A2) fractions. The latter that displayed cytotoxic activity was fractionated by vaccum liquid column (VLC) chromatography (SiO2, n-hexane–EtOAc with increasing amount of EtOAc) results in 5 combined fractions (I-V). Cytotoxic active compound was isolated from fraction III (0,91 g) that displayed the best cytotoxic activity among the other fractions by preparative TLC (SiO2 GF254 prep. grade, n-heksane: EtOAc 1:1 v/v) to give 2 isolates (1 and 2) that were separated. These 2 compounds were tested for their cytotoxic activity. Compound 1, the cytotoxic active compound, appeared as white amorphous powder. The cytotoxic active compound was identified according its spectroscopic (UV, IR, 13C-and 1H-NMR) data and comparison with data in the literatures.

Fig. 1: Flow chart of bioassay guided for cytotoxic compound isolation from the leaves of T. diversifolia
RESULTS AND DISCUSSION
The leaves of Tithonia diversifolia (Hemsley), A. Gray., localy known as Kembang bulan (Fam. Asteraceae) have been used extensively by Indonesian to reduce blood sugar, but most of the published data shows that T. diversifolia contains potential cytotoxic compounds that are potential to be developed for future anticancer drug. Our previous study on this species indicates that those cytotoxic compounds are present in the non polar fraction [8], that can be localized by trituring with PE, appeared in the PE insoluble fraction rather than that of PE soluble fraction (IC50, 3.078µg/ml v/s 325.331 µg/ml). Upon fractionation of this active fraction in the VLC, 5 combined extracts are obtained (fr. I–V). Fraction III, containing 3 isolates (A, B, C) on TLC displays highest cytotoxic activity that are then subjected into preparative TLC.
The cytotoxic activity is best performed by B isolate with an average of IC50 is 47.047±4.79 µg/ml followed by C isolate (IC50, 136.579±7.47 µg/ml) and A isolate (IC50, 146.886±8.29 µg/ml) (fig. 2).

Fig. 2: Cytotoxic (+/-SD) of IC50 values of A, B, and C isolates on HeLa cells
The cytotoxic effect difference is understandable as their TLC profile (at similar TLC system) is quite different, then their activity values are predicted to be different. According to TLC figure, B isolate is suspected to be a mixture of compounds, so further purification was done by preparative TLC to give 3 compounds (B1, B2 and B3). B1 isolate is unrecovered due to its limited amount, whereas B2 isolate and B3 is recovered as the major compounds.
Based on the cytotoxic assay, B2 isolate is the most active compound among others (IC50, 9.776±0.98µg/ml) even though shows lower cytotoxic effect than that of Doxorubicine (positive control) (IC50, 1.046±0.18 µg/ml) (fig. 3).

Fig. 3: Cytotoxic (+/-SD) of IC50 values of B1, B2, B3 isolates compared to that of Doxorubicine as positive control on HeLa cells in vitro
The B2 isolate displays IC50 higher than that of clinically used Doxorubicine on HeLa cell lines; however it may be different when it is tested on the different human cancer cell lines. Therefore, further cancer cells selectivity were applied. The result shows that B2 isolate turns out to be selective for its cytotoxicity effect on other human cancer cell lines that is shown by IC50 value on HeLa cells line that is much higher than that of the other tested human cancer cell lines. Cytotoxic property of B2 isolate was further evaluated on several human cancer cell lines (WIDR, Myeloma, Raji, MCF7, T47D, M19, and EVSA-T) in vitro. In this study, sensitivity of B2 isolate on certain kind of human cancer is identified. Among those human cancer cell lines tested, B2 isolate is most sensitive on WiDR that is shown by the IC50 value on this cell cancer with average of IC50 is 0.585±0.08µg/ml, and the second sensitive cancer cells lines is M19 (IC50, 0.996±0.39µg/ml) and the rests (myeloma, Raji, MCF7, T47D and AVSA-T) are on the range of 1.7–4.6 µg/ml although these values are still appreciable below IC50 of HeLa cell lines (fig.4).
Other studies using the same cell lines is T47D and MCF-7 on 1.3.11 fungi isolated from the fruit of "Tanaman Buah Makassar" shows the results of IC50 31 ug/ml against MCF-7 cells, and not in T47D cells. It is indicated that the IC50 value of B2 isolates still below then IC50 of 1.3.11 fungi isolated from the fruit of “Tanaman Buah Makassar” [10].

Fig. 4: The cytotoxic (+/-SD) of IC50 values of B2 isolate on several human cancer cells
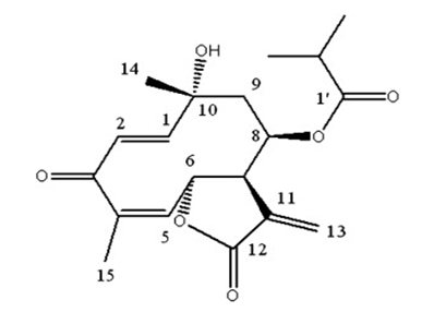
The B2 isolate appeared as white amorphous powder, showing maximum UVMeOH absorption at λ 241 nm, indicating the present of non-conjugated of unsaturated carbonyl. IR spectra (KBr, cm-1) of B2 isolate displays characteristic–OH band (3456),-CH2 (2924), 2 ester–C=O absorption bands (1766 and 1735) and 1 unsaturated–C=O group (1658). The present of ester groups was further shown by a characteristic absorption band of–C-O-C-(1512, 1458 and 1373) [11, 12] (fig. 5).

Fig. 5: IR spectrum (KBr, cm-1) of B2 isolate
The 13C-NMR (CDCl3-TMS, 125 MHz) spectra of B2 isolate and table 1 shows the presence of 19 carbons, and there are some characteristic carbonyl (–C=O) as ketone at δ 196.8 ppm (C-3), ester at δ 176.2 (C-1’) and lactone at δ 169.8 (C-12). It is a clue present in the 13C-NMR spectra, 2 ketone ester–C=O signals present in the spectra but the absence of alcoholic type is not recognized in the spectra data therefore the present of a lactone functional group and methine from the main structure skeleton are possible. A pre assumption then can be drawn that B2 isolate is a sesquiterpene having an ester and a lactone functional groups, specifically to be an ester of a sesquiterpen lactone
The 1H-NMR (CDCl3, 500 MHz) spectra of B2 isolate (fig. 6) determines the absolute structure of compound B2. There are some olefinic signals in the region of δ 6.93 (H-1,d) and 6.23 (H-2,d) are not characteristic conjugated double bounds but trans olefinic with each have J value 16,8 Hz; that is paralel to that information data of UV spectra. Instead, a terminal in the spectra δ, 5.80 (H-13a, d, J= 1.6Hz) and 6.36 (H-13b, J=d, 1.6Hz) that is a bit downfield due to an electron withdrawing group (–C=O) causing deshielded signals of protons in the =CH2. There spesific signals of methyl protons at δ 1.04 (H-3’, d, J 6.9 Hz) and 1.05 (H-4’, d, J, 6,9 Hz) and methine proton at δ, 2,44 (H-2’,m, J=6,9Hz) indicated that the presence of isopropyl functional group. In the spectra, 1H-NMR also indicated the presence of two methyl singlets at d 1.53 (H-14) and 1.95 (H-15) ppm. Two carbinil proton (-CH-O-) on δ, 5,39 (broad) dan 5,34 ppm can be identified as first order splitting pattern with nighboring protons. In addition, a broad signal δ, 2,45 ppm is identified as an–OH group (table 1).

Fig. 6: 1H-NMR (CDCl3-TMS, 500 MHz) spectra of B2 isolate
Table 1: Chemical shift of B2 isolate based on the data 1 H-NMR (CDCl3, 500 MHz) and 13 C-NMR (CDCl3-TMS, 125 MHz)
| C–H number | [13]C-NMR (δ, ppm) | 1H-NMR (δ, ppm), J (Hz) |
| 1 | 129,8 | 6.93 (d. 16.8) |
| 2 | 160.1 | 6.23 (d.16.8) |
| 3 | 196.8 | - |
| 4 | 139.1 | - |
| 5 | 137.2 | 5.84 (d. 9.3) |
| 6 | 76.1 | 5.39 (d.8.4) |
| 7 | 47.2 | 3.54 (br. s) |
| 8 | 74.0 | 5.34 (m) |
| 9 | 48.6 | 1.98 (dd 10.14); 2.46(m) |
| 10 | 72.0 | - |
| 11 | 136.1 | - |
| 12 | 169.8 | - |
| 13 | 124.7 | 5.80 (d 1.6); 6.36 (d 1.6) |
| 14 | 29.2 | 1.53 (s) |
| 15 | 19.8 | 1.95 (d 1.2) |
1’ 2’ 3’ 4’ |
176.2 34.0 18.6 18.8 |
-- 2.44 (m 6.9) 1.04 (d 6,9) 1.05 (d 6,9) |
| 10-OH | ---- | 2.45 (br. s) |
Based on the spectra data (UV, IR and NMR) and comparison with reported literature data [13], B2 isolate is identified as Tagitinin C (fig. 6). There are 3 α-β unsaturated–C=O groups in the Tagitinin C skeleton. It is believed that nucleophilic attack occurs at the empty electron carbon (Michael additon).

Fig. 7: Structure of Tagitinin C
Nitrogen atom that is dominant in the protein and receptor as the binding site, possesses a pair of free electrons that is capable to react according to michael addition reaction, causes abnormalities in the cancer cells and kill the cells. Unfortunately, normal cells also intoxicated by this type of compounds, then this type of compounds should be the point of attention in developing cancer drugs.
CONCLUSION
In conclusion, this study demonstrates that B2 isolate is a major cytotoxic compound from the leaves of T. diversifolia and is identified as Tagitinin C on the basis of spectroscopic data and comparison with literature data. Tagitinin C is the most sensitive on colon cancer (WiDR, IC50= 0,585±0.08 ug/ml).
ACKNOWLEDGEMENT
The Authors are grateful to staff of Research Center for Chemistry, Indonesian Institute of Science, for 1H NMR and 13C NMR measurements and Hibah Risbin Iptekdok 2010 for providing the grant for the work.
CONFLICT OF INTERESTS
Declared None
REFERENCES