1Department of Chemistry, PSGVPM’s ASC College, Shahada 425409, Maharashtra, India, 2Department of Chemistry, SVS’s Dadasaheb Rawal College Dondaicha 425408, Maharashtra, India
Email: rajputss65@gmail.com
Received: 25 Feb 2015 Revised and Accepted: 20 Mar 2015
ABSTRACT
This review summarizes the synthetic methods, reactions and biological applications of pharmacological important 1, 2, 4-triazole isomer and recent developments in their derivatives such as Mannich base, Schiff’s base, chalcone, mercapto/thione-substituted derivatives etc. over the last years. Most reactions type have been successfully applied and used in the production of biological active compounds.
Keywords: 1, 2, 4-triazole, biological activity, anti-cancer, anti-inflammatory drugs.
INTRODUCTION
Synthesis and development of new and safe chemical compounds of therapeutic values attracted many researchers and scientists. The nitrogen containing heterocycles are commonly found in most of the therapeutic agents. Triazoles are the 5-member heterocycles with three nitrogen and two carbon atoms. With respect to position of the nitrogen atoms, the triazole exists in two isomeric forms i.e. the 1, 2, 3-triazole I and the 1, 2, 4-triazole II. Although, 1, 2, 4-triazoles II are considered to be pharmacologically more important isomer. In the last few decades, the chemistry of 1, 2, 4-triazoles and their fused heterocycles has got considerable attention due to their synthetic utility and broad spectrum biological activity.
For example, a number of 1, 2, 4-triazole rings are found into a wide variety of pharmaceutical drugs including antimicrobial agents [1, 2], antibacterial [3-6], antifungal [7, 8], antimycobacterial [9], anticancer [10], antiviral [11, 12], antitubercular [12, 13], antimycotic activity [14-16], anticonvulsants [17], antimigraini agents, anti-inflammatory and analgesic [18-20], antinociceptive [21], antioxidant [22, 25], anti-ureaese [23], CNS stimulants, antidepressant [24], antianxiety etc. properties.
Also, sulphur containing triazole heterocycles are very important due to their practical applications. Among these heterocycles, the mercapto-and thione-sustituted 1, 2, 4-triazoles are well studied.
Fig. 1: Tauomeric forms of triazole
Synthetic methods for 1, 2, 4-triazole and its derivatives
There have been a number of practically important routes for synthesis of 1, 2, 4-triazole.
From formylthiosemicarbazide
Freund M. synthesized 1, 2, 4-triazole-3-thione 2 by heating of the formylthiosemicarbazide 1 above 190 oC without solvent (Scheme 1) [26].

Scheme 1
From 1-benzoyl-3-thiosemicarbazide
Dharmesh S. Dayama et al. synthesised 5-substituted-1H-1, 2, 4-triazole-3-thione 4 by cyclization of 1-benzoyl-3-thiosemicarbazide 3 using aqueous sodium hydroxide/sodium ethoxide and hydrazine hydrate (Scheme 2) [27].
Scheme 2
From acyl hydrazide
A novel one-pot synthesis of substituted 1, 2, 4-triazole 7 has been accomplished by the reaction of acyl hydrazide 5 and amide 6 (Scheme 3) [28].
Scheme 3
From thermolysis of thiosemicarbazone
Frederique M. observed that the 5-aromatic substituted-4H-1, 2, 4-triazole-3-thione 9 can be prepared readily from the thermolysis of thiosemicarbazones 8 (Scheme 4) [29].
Scheme 4
From aromatic carboxylic acids
A convenient route for the synthesis of 5-substituted-4H-1, 2, 4-triazole-3-thiol 14 is achieved by refluxing acyl thiosemicarbazide 13 with aqueous sodium hydroxide (Scheme 5) [30].
Scheme 5
Synthesis using thiosemicarbazide
Ainsworth et al. Synthesized 1, 2, 4-triazole-3-thiol 17 by the condensation of formic acid with thiosemicarbazide forming 1-formyl-3-thiosemicarbazide intermediate 16, followed by reaction with aqueous sodium hydroxide and hydrochloric acid. Treatment of 1, 2, 4-triazole-3-thiol 17 with a mixture of water, concentrated nitric acid and sodium nitrite resulted in desulfurization and produced 1, 2, 4-triazole 18 (Scheme 6) [31].
Scheme 6
From 2-furoyl-thiosemicarbazide
Koparir et al. synthesized 5-furan-2-yl-4H-1, 2, 4-triazole-3-thiol 20 by the refluxing the corresponding 2-furoyl-thiosemicarbazide 19 and potassium hydroxide in ethanol for 3 hours followed by acidification with acetic acid (Scheme 7) [32].
Scheme 7
From condensation of carbamate and thiosemicarbazide
Moustafa synthesized 1, 2, 4-triazolylquinoxaline 22 by condensation of carbamate 21 with thiosemicarbazide in boiling pyridine followed by cyclization to give 22 (Scheme 8) [33].
Scheme 8
From 3-chloro-2-chlorocarbonylbenzo[b]thiophene
El Ashry et al. synthesized 4-amino-5-(3-chlorobenzo[b]thien-2-yl)-3-mercapto-1, 2, 4-triazole 25, where 3-chloro-2-chloro carbonylbenzo[b]thiophene 23 and hydrazine hydrate was irradiate in microwave for 1.5 minutes to give 3-chloro-2-hydrazinocarbonylbenzo[b]thiophene 24, which on condensation with carbon disulphide in ethanol containing potassium hydroxide under microwave to give the corresponding potassium dithiocarbamate, which on ring closure with an excess of hydrazine hydrate afforded 4-amino-5-(3-chlorobenzo[b]thien-2-yl)-3-mercapto-1, 2, 4-triazole 25 on irradiation with microwave for 2 minutes (Scheme 9) [34].
Scheme 9
Synthesis of chiral 1, 2, 4-triazole
Hameed et al. synthesized some chiral 5-aryl-4-(1-phenylpropyl)-2H-1, 2, 4-triazole-3(4H)-thiones 30 from substituted aryl carboxylic acids in a multistep synthesis (Scheme 10) [35].
Scheme 10
In dry acetone with heterocyclic amine and chloroacetate
Saundane et al. synthesized 3-{[(5-substituted-2-phenyl-1H-indol-3-yl) amino] methyl}-1H-1, 2, 4-triazole-5-thiol 33 by reaction between ethyl-2-[(5-substituted-2-phenyl-1H-indol-3-yl) amino] acetates 32 and thiosemicarbazide in pyridine for 8 hours and work-up with ice cold water. Compound 32 prepared by reaction of heterocyclic amine 31 and ethyl chloroacetate in dry acetone (Scheme 11) [36].
Scheme 11
Synthesis of bis-1, 2, 4-triazole
Rajesh M. Kharate et al. synthesized the compound 1, 8-bis-(3-mercapto-4-amino-[1, 2, 4]-triazol-5-yl)-octane 35 by the reaction of sebacic acid dihydrazide 34 with carbon disulphide and potassium hydroxide, followed by the drop wise addition of hydrazine hydrate with constant stirring for 30 minutes (Scheme 12) [37].
Scheme 12
From uracil derivatives
Adel A. H. Abdel-Rahman et al. synthesized uracil derivatives with 1, 2, 4-triazole ring 40 by irradiation of a mixture of uracil derivative 38, potassium hydroxide and carbon disulphide in ethanol for 3-5 minutes followed by acidification with concentrate HCl to give 1, 3, 4-oxadiazole-2-thiol derivatives 39. This compound 39 and hydrazine hydrate were dissolved in isopropanol and the reaction mixture was irradiated for 3 minutes to obtain1-(4-amino-1, 2, 4-triazolyl-3-methyl)-pyrimidinedione 40 (Scheme 13) [38].
Scheme 13
Scheme 14
Chemical reactions of 1, 2, 4-triazole
Reaction with aldehydes and alkyl halides
Acid hydrazide 41 and substituted isothiocynate were mixed in dioxane to give thiosemicarbazide 42. Thiosemicarbazide 42 on stirring with aqueous NaOH solution gave 4-substituted-5-(4-tosylamino)phenyl-4H-1, 2, 4-triazole-3-thiols 43, or thiosemicarbazide 42 and hydrazine hydrate in methanol gave 4-Amino-3-substitutedamino-5-(4-tosylamino)phenyl)-4H-1, 2, 4-triazoles 45 (Scheme 14) [39].
Triazoles 45 and 3, 4, 5-trimethoxybenzaldehyde in absolute ethanol containing drops of acetic acid gave 4-(3, 4, 5-Trimethoxybenzylidene amino)-3-substituted amino-5-[4-(tosyl amino) phenyl-4H-1, 2, 4-triazole 46.
1, 2, 4-triazole-3-thiol 43 and appropriate alkyl halide or chloroacetamide derivatives in ethanolic KOH gave 4-(5-ethylthio-4-phenyl-4H-1, 2, 4-triazol-3-yl)-N-tosylbenzamine (5)2-[4-Substitued-5-(4-tosylamino)phenyl-4H-1, 2, 4-triazol-3-ylthio]N-substituted acetamides 44.
Acid hydrazide 41 condensed with CS2/KOH in alcohol gave potassium salt, which underwent ring closure with NH2NH2. H2O to give 4-amino-3-(4-(tosylamino) phenyl)-4H-1, 2, 4-triazole-5-(1H)-thione 47. Number of derivatives has been synthesized using this compound 47 (Scheme 15).
Scheme 15
Newly synthesized triazole derivatives were evaluated for their cytotoxic activity against breast carcinoma (MCF7) and colon carcinoma (HCT116) cell lines. These compounds were screened for their antimicrobial activity against gram positive bacteria S. aureus, S. Epidermidis and gram negative bacteria P. aeruginosa, E. coli and fungi C. albicans.
Synthesis of thiazolidione and 1, 3, 4-triazoles
4-hydroxy benzahydrazide 52 was converted to 4-amino-3-(4-hydroxy phenyl)-5-mercapto 1, 2, 4-triazole 53. This mercapto-1, 2, 4-triazole on condensation with substituted aromatic aldehyde in methanol with a trace of glacial acetic acid furnished mercaptobenzaldehyde hydrazones 54, which on condensation with thioglycollic acid in 1, 4-dioxane with a pinch of ZnCl2 furnished thiazolidinone 55 (Scheme 16) [40].
Similarly, mercapto-1, 2, 4-triazole 53 on treatment with substituted aromatic carboxylic acid in POCl3 underwent ring closure and furnished fused 1, 3, 4-thiadiazoles 60.
Scheme 16: The synthesized compounds 55 and 56 were evaluated in-vitro for antimicrobial activity against E. coli, P. aeruginasa, B. sabtilis, S. aureus, A. niger and C. Albicans
Reaction with NaBH4
Ram Janam Singh synthesized 4-amino-3, 5-diphenyl-4H-1, 2, 4-triazole 57 by heating ethylbenzoatebenzoylhydrazone, hydrazine hydrate and 1-propanol under reflux conditions for 30 hours. Condensation of compound 57 with different types of aromatic ketones in CH3COOH gave Schiff’s bases 58, followed by selective reduction of C=N double bond by NaBH4 gave compound 59 (Scheme 17) [41].
Scheme 17: These compounds were tested against S. aureus, E. coli, B. Subtilis and P. aeruginosa for antibacterial activity
Synthesis of thiadiazine using phenacyl bromide
Ravi G et al. synthesized a series of 3-(5-methyl-1-phenyl-1H-1, 2, 3-triazol-4-yl)-6-aryl-7H-[1, 2, 4]triazolo[3, 4-b][1, 3, 4]thiadiazine 61 by the reaction of 4-amino-5-(5-methyl-1-phenyl-1H-1, 2, 3-triazol-4-yl)-4H-1, 2, 4-triazol3-ylhydrosulfide 60 with a variety of phenacyl bromides (Scheme 18) [42]. The antibacterial activities of the compounds 61 have also been evaluated against E. coli, K. pneumoniae, S. dysentriae and S. flexnei. Some of these compounds exhibit excellent antibacterial activities.
Synthesis of Schiff’s bases
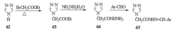
Somani et al. synthesized ethyl-4-N-(1, 2, 4-triazolyl)-acetate 63 on reaction of 1, 2, 4-triazole 62 with ethylbromoacetate in dry methanol, which on hydrazonolysis with hydrazine hydrate gave ethyl-4-N-(1, 2, 4-triazolomethyl)-hydrazide 64, which on with different aromatic aldehydes gave Schiff’s bases 65 (Scheme 19) [43].
Synthesis of piperizine derivatives
Harish Rajak et al. synthesized 5-(4-chloro-phenyl)-4-methyl-2, 4-dihydro-[1, 2, 4]triazole-3-thione 67 by diazotization of 5-(4-Amino-phenyl)-4-substituted-2, 4-dihydro-[1, 2, 4]triazole-3-thione 66 in presence of Cu powder. This compoundwith substituted piperazine in ethanol gave [5-(4-substituted-piperazin-1-yl)-phenyl]-4-substituted-2, 4-dihydro-[1, 2, 4]triazole-3-thione 68 (Scheme 20) [44].
Scheme 18
Scheme 19: These compounds were tested for antimicrobial activity against S. aureus, P. aeruginosa and E. Coli
Scheme 20
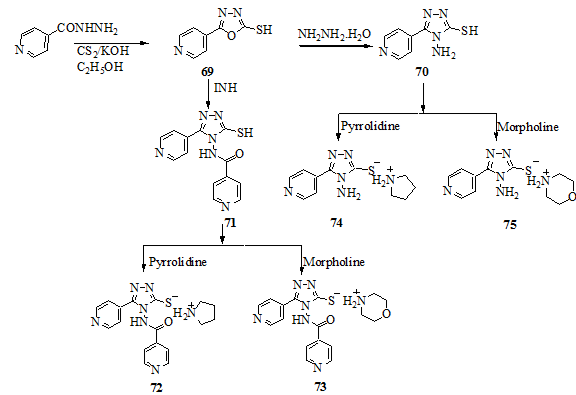
4-(N-pyridylcarboxamido)-3-pyridyl-5-mercapto-triazole 69 and 3-pyridyl-4-amino-5-mercapto-1, 2, 4-triazole 70 were synthesized from isonicotinic acid hydrazide, followed by formation of quaternary salts 72, 73, 74 and 75 with pyrollidine and morpholine respectively (Scheme 21) [45].
These quaternary salts were screened for antibacterial activity against S. Aureus, K. pnemoniae, E. coli, P. aeruginosa and antifungal activity were screened against A. flavu, A. fumigates, Penicillium, Trichophyton.
Scheme 21
Synthesis of Mannich bases
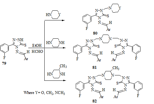
4-amino-5-(3-fluorophenyl)-2, 4-dihydro-3H-1, 2, 4-triazole-3-thione 77 were synthesized by heating 3-fluorobenzoic acid 76 and thiocarbohydrazide at fusion. A series of Schiff’s bases and Mannich bases derived from 4-amino-5-(3-fluorophenyl)-2, 4-dihydro-3H-1, 2, 4-triazole-3-thione 78 were synthesized (Scheme 22 and 23) [46].
Two derivatives of 79 i.e. 4-(4-fluorobenzylideneamino)-5-(3-fluorophenyl)-2, 4-dihydro-3H-1, 2, 4-triazole-3-thione and 4-(3, 4-difluorobenzylideneamino)-5-(3-fluorophenyl)-2, 4-dihydro-3H-1, 2, 4-triazole-3-thione and Mannich bases 80, 81 and 82 incorporating piperazine moieties showed excellent and greater antibacterial activity than antifungal action (Scheme 24). Some of the compounds showed good to excellent antibacterial and antifungal activity.
Scheme 22
Scheme 23
Scheme 24
Reaction with chloroacetyl chloride
Upmanyu et al. synthesized 4-amino-3-mercapto-5-(4-nitro) phenyl-1, 2, 4-triazole 89 by the usual method. Compound 89 and chloroacetyl chloride in dioxane gave 4-chloroacetylamino-3-mercapto-5-(4-nitro)phenyl 1, 2, 4-triazole 90, which on treatment with different secondary amines gave compounds 91 (Scheme 25) [47].
Scheme 25
Some of these compounds showed not only good antibacterial activity, but also provided good antifungal activity.
Coupling reaction with chloroacetanildes
1, 2, 4-triazole-5-thiol 94 was coupled with various substituted chloroacetanilde afforded acetanilide derivatives 95. Some of these compounds showed antifungal and anti-tuberculosis activity (Scheme 26) [48].
Microwave irradiation of 1, 2, 4-triazole with halovinyl aldehyde
On microwave irradiation, 5-substituted-1, 2, 4-triazole 96 underwent ring closure with halovinyl aldehyde 97 afforded thiadizapine 99. Similarly 1, 2, 4-triazole 96 coupled with halovinyl aldehyde 98 resulted in thiadizapine derivatives 100 (Scheme 27) [49].
Scheme 26
Scheme 27
Some of the synthesized compounds displayed good antifungal activity.
Replacement of hydrogen
The reaction of 5-(1-adamantyl)-4-phenyl-1, 2, 4-triazoline-3-thione 101 with formaldehyde and 1-substituted piperazines yielded the corresponding N-Mannich bases 102 (Scheme 28) [50].
1, 2, 4-triazole 101 was treated with piperizine and formaldehyde afforded N-Mannich base 102. Similarly compound 101 was treated with halogenated compounds resulting in compounds 103, 104, 105 and 106 (Scheme 29).
The resulting compounds 103, 105 and 106 displayed good dose-dependent anti-inflammatory activity against carrageenan-induced paw edema in rats.
Scheme 28
Scheme 29
Reaction with aromatic carboxylic acids and aryl/alkyl isothiocyanates
M. W. Akhter et al. synthesized a series of 3-diphenylmethyl-6-substituted-1, 2, 4-triazolo[3, 4-b]-1, 3, 4-thiadiazole derivatives 111 and 112 by condensation of 4-amino-5-diphenylmethyl-4H-1, 2, 4-triazole-3-thiol 110 with various substituted aromatic acids and aryl/alkyl-isothiocyanates (Scheme 30) [51].
These compounds were tested in vivo for their anti-inflammatory activity. The compounds which have activity comparable to the standard drug ibuprofen were screened for their analgesic, ulcerogenic, lipid peroxidation and hepatotoxic effects.
Preparation of diazonium salts and reaction with aromatic amines
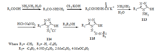
Goyal et al. synthesized some new derivatives of 3-substituted-4H-1, 2, 4-triazoles 115 by the reaction of 5-alkyl/aryl diazo-substituted 4H-1, 2, 4-triazoles-3-thiol 114 with different aliphatic and aromatic amines (Scheme 31) [52].
The anti-inflammatory activity of synthesized compounds 115 was determined against carrageenan induced acute paw edema in albino rats.
Reaction with 3-substituted pyrazole acid
Arun M. et al. synthesized 3-substituted-6-(3-substituted-1H-pyrazol-4-yl)[1, 2, 4] triazolo[3, 4-b][1, 3, 4]thiadiazole 118 by refluxing5-substituted 4-amino-3-mercapto-1, 2, 4-triazole and 3-substituted pyrazole acid 117 in the presence of phosphorous oxychloride for a long time (Scheme 32) [63].
The synthesized triazolo-thiadiazoles 118 were screened for their anticancer activities on Hep G2 cell lines.
Reaction of–SH and–NH positions
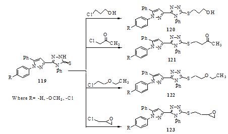
Eman M. Flefel et al. Synthesized acyclonucleosides derivatives 120, 121, 122 and 123 of 5-[1-(Aryl)-5-phenyl-1H-pyrazol-3-yl]-4-phenyl-2, 4-dihydro[1, 2, 4]-triazole-3-thione 119 on reaction with chloropropanol, chloroacetone, chlorodiethyl ether and epichlorohydrine respectively (Scheme 33) [54].
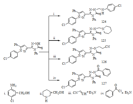
Also, compound 119 was reacted with formaldehyde and 4-chloroaniline or piperidine to give the corresponding Mannich products 124 and 125 respectively and with acrylonitrile or benzoyl chloride to give N-triazole derivatives 126 and 127 respectively (Scheme 34). Anticancer activity of some selected triazole-thione derivatives was tested on MCF7 and HELA tumour cell lines. These derivatives were also screened for their antimicrobial and antifungal activity.
Scheme 30
Scheme 31
Scheme 32
Scheme 33
Scheme 34
Reaction with hydrazine hydrates
Potassium dithiocarbazinates 128 underwent ringclosure in the presence of pyrazinic acid hydrazide afforded 3-aryloxy methyl-4-(N-pyrazin-2-yl carboxamido)-5-mercapto-1, 2, 4-triazoles 129. These triazole were used in the synthesis of 3-aryloxy methyl-4-(N-pyrazin-2-yl carboxamido)-5-hydrazino-1, 2, 4-triazoles 130 using hydrazine hydrate (Scheme 35) [55].
Most of the compounds have shown significant antifungal activity against C. gleosporioides and antibacterial activity against the organisms B. subtilis, S. aureus, E. coli and P. auriginosa while few have shown excellent anti-inflammatory and analgesic activity.
Miscellaneous
4.1 Upmanyu et al. synthesized 4-(substitutedethanoyl) amino-3-mercapto-5-(4-methoxy) phenyl-1, 2, 4-triazoles 131, 132 and 133 screened them for their anti-inflammatory and anti-nociceptive activity [21].
4.2 Aswathanarayanappa et al. synthesized Schiff’s bases of 5-substituted-1, 2, 4-triazole 134. The antioxidant property of synthesized compounds was evaluated [24].
4.3 Kumar et al. prepared a series of 5-[(biphenyl-4-yloxy) methyl]-4-alkyl/aryl-3-mercapto-(4H)-1, 2, 4-triazoles 135 and evaluated them for anti-inflammatory activity [56].
Scheme 35

4.4 Labanauskas et al. synthesized a series of 5-(Methoxy substituted phenyl)-4-phenyl-4, 5-dihydro-4H-1, 2, 4-triazole-5-thiones 136 and screened for anti-inflammatory activity [57].
4.5 Amir M. et al. synthesized 5-[2-(2, 6-dichloro-anilino) benzyl] 4-aryl-3-mercapto-4H-1, 2, 4-triazoles 137 and were screened for anti-inflammatory and analgesic activity by comparing with the standard drug diclofenac [58].
4.6 Nadeem et al. synthesized novel derivatives of 4, 5-disubstituted-1, 2, 4-triazole-3-thiones 138 and 139. The synthesized compounds were screened for their antioxidant activity [59].

CONCLUSION
1, 2, 4-triazole are easily available and have high chemical reactivity due to the presence of both–SH and–NH2 groups.
The pharmacological and biological importance of 1, 2, 4-triazole is also explained. Large number of fused heterocyclic compounds prepared by using mercapto/thione-1, 2, 4-triazole. This survey is attempted to summarize the synthetic methods and reactions of 1, 2, 4-triazole during last year’s.
ACKNOWLEDGEMENT
One of the authors is thankful to Council of Scientific and Industrial Research (CSIR), New Delhi for financial support.
CONFLICT OF INTERESTS
Declared None
REFERENCES