1Department of Medicinal Chemistry and Pharmacognosy Faculty of Pharmacy, of , , 2 Department of Pharmaceutics and Pharmaceutical Technology Faculty of Pharmacy, of , . 3Faculty of Pharmacy, Al-Ain University of Science and Technology, UAE.
Email: zeldeen@uop.edu.jo
Received: 02 Feb 2015 Revised and Accepted: 28 Feb 2015
ABSTRACT
Objective: To synthesize new amino acetylenic benzophenone derivatives with significant H3-antagonist’s activity.
Methods: Amino acetylenic benzophenone derivatives were synthesized from the reaction of 2-hydroxybenzophenone with 3-bromoprop-1-in to generate 2-(prop-2-yn-1-yloxy)-1,3-benzophenone (AZ-1). A mixture of 2-(prop-2-yn-1-yloxy)-1,3-benzophenone, paraformaldehyde, cyclic amine, cuprous chloride (catalytic amount) in peroxide free dioane through Mannich reaction yielded the designed amino acetylenic benzophenone derivatives (AZ-2-7).
Results: The IR, H1-NMR, 13C NMR, and elemental analysis were consistent with the assigned structures. The designers of these compounds as H3-antagonists were based on the nationalization of the important criteria that provide effective inhibitory binding with H3-receptor. Molecular docking results of compounds (AZ-2-7) showed a good H3-receptor antagonistic activity relative to thioperamide of-6 (kcal/mol) especially AZ-2 which has-8.6 (kcal/mol).
Conclusion: Docking results provide a good lead to designing more effective H3 antagonists in managing many CNS diseases like Alzheimer, epilepsy, depression, schizophrenia and many others.
Keywords: Amino acetylenic benzophenone derivative, CNS diseases, H3-antagonist activity, Molecular docking.
INTRODUCTION
Histamine is a biologic amine that influences a wide range of pathophysiological processes [1-3] through the activation of different G-protein-coupled receptors (GPCRs). At present; four subtypes of histamine GPCRs are known. H1 and H2 receptors are implicated in allergic responses and gastric acid secretion, respectively [4, 5].
The more recently discovered H4 receptor is mainly located on mast cells, eosinophil and lymphoid tissues and seems to be involved in inflammatory processes [6-8]. The histamine H3 receptor was identified in 1983 [9] and was initially described as an auto receptor, mainly expressed in the central nervous system (CNS), regulating histamine biosynthesis and release from histaminergic neurons [10]. Subsequently, H3 receptors have also been shown to act as hetro receptors on non-histaminergic neurons, where they inhibit the release of other neurotransmitters such as acetylcholine, dopamine, norepinephrine, serotonin and various neuropeptides [11, 12].
The high density of H3 receptors in different CNS areas and their influence on the release of a large variety of neurotransmitters encouraged wide pharmacological investigation of their physiological role and quest for potential therapeutic applications of H3-antagonists in the treatment of various CNS diseases. Among them the most promising ones include attention-deficit hyperactivity disorders (ADHD), Alzheimer's disease, epilepsy, schizophrenia, obesity and eating disorders [14, 15]. Since the discovery of the reference antagonist thio peramide, many classes of potent and selective H3-antagonists have been reported [11]. The earliest generation of H3-antagonists were derived from the endogenous neurotransmitter histamine and the compounds contained an imidazole ring in their structures (fig. 1). It is now well established that the presence of imidazole ring may lead to low CNS penetration and potential metabolic liabilities due to the interaction with cytochrome P450 [11].
Such liabilities seem to be avoided by new classes of non-imidazole antagonists [16]; fig. 2 compromising some interesting compounds that proved to block the H3-receptor at nano molar concentrations and to posses promising efficacy in several experimental models of central disorders [11]. This approach led to the selection of some imidazole-free compounds for clinical studies.

Fig. 1: Imidazole-Based H3 antagonist
Reviewing various structural features in H3 antagonists and their impressive results in the treatment of various CNS diseases promoted our interest to design and synthesize a new series of amino acetylenic benzophenones (fig. 3) for the following reasons: Benzophenone as a replacement for the imidazole ring to overcome limitation of the imidazole and provide effective overlap with the H3 receptor, the basic cyclic amines to provide either ionic or hydrogen bonding with the H3 receptor, the acetylenic moiety incorporated in 2-butyne to link the cyclic amine and benzophenone in appropriately design distance to provide the critical electrostatic interaction with receptor.
Molecular docking of this unique approach to the design of H3 antagonists showed significant H3 blocking activity as compared with thioperamide. These new amino acetylenic benzophenones may generate a lead compound in the treatment of depression, Parkinson's, epilepsy, Alzheimer and other CNS diseases.

Fig. 2: Non-Imidazole-based Histamine H3 receptor antagonists
MATERIALS AND METHODES
Experimental
Chemicals
The following chemicals and materials were used: 2-Hydroxybenzophenone 99% (Sigma-Aldrich), Propagyl bromide (Sigma-Aldrich), 2,6-Dimethylpiperidine 98% (Aldrich), 2-Methypiperidine 98% (Aldrich), Piperidine, 99% reagent plus (Sigma), N-Methylpiperazine 99% (Aldrich), Pyrrolidine, 98% (Aldrich-Sigma), Hexamethyleneimine 98% (Aldrich-Sigma), Acetonitrile (TEDIA), Peroxide-free1,4-Dioxane (Full time), Di-ethyl ether 99% (AZ Chem. For Chemicals), Chloroform (TEDIA), Distilled water, Paraformaldehyde (BDH Chemicals), Potassium carbonate anhydrous extra pure (K2CO3) (Sd Fine Chem Ltd), Cuprous chloride, Duterated dimethyl sulfoxide, and tetramethylsilane.
Instrumentation
Melting points were determined by using a Gallenkamp melting point apparatus and DSC thermogram measurement was carried out by using the DSC 1 Stare System v.11. ox (Mettler Toledo). Infrared spectra (IR) were recorded, using alpha FT-IR spectrometer (Bruker, Jordan University). H1-NMR spectra were acquired with the aid of Varian 300 MHz spectrometer and DMSO-d6 as solvent and TMS as standard (Jordan University) 13C NMR spectra were measured using Bruker DRX 300 MHz spectrometer and DMSO-d6 as solvent and TMS as standard (Jordan University). Elemental analysis was obtained, using Euro EA 3000 Elemental analyzer (Euro Vector, Jordan University). Marvin's Sketch and ChemSketch programs were used in the drawing of our schemes. Maestro programmes and Autodock Tool program were used in our docking study.
Docking and scoring
A validated homology model of the H3 receptor by Mori's group [17] was used in our docking study. Charges were assigned to all protein atoms using Kollman united atom model in the Autodock tool program [18, 19] then the H3 receptor active site was defined by a known inhibitor. A grid box of a 50 x 42 x 60 Å size was created with a grid spacing of 0.375 Å using Autogrid module [20, 21].
Ligand 3D structures were built using the Maestro program [22] and were then minimized using the OPLS force field [23]. Gasteiger-Marsili model [24] was used to give atomic partial charges for all ligands whose tertiary amine groups were assigned protonated. Subsequently, ligands were docked into the previously identified active site using the Autodock software (version 4.2) [20, 21] where Lamarckian Genetic Algorithm [20] was employed in the conformational sampling process. Poses generated by docking were then rated by the Autodock scoring function which estimates binding free energy via calculating van der Waals, hydrogen bond, electrostatic interactions, and the ligand internal energy for each ligand-protein complex.
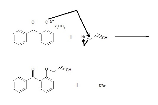
Synthesis of 2-(prop-2-yn-1-yloxy)-Benzophenone, (MZ-1)
A solution of 3-bromoprop-1-yne(Propargyl bromide) (1.88 g, 0.0158 mol) in Acetonitrile (10 ml) was added to the solution of 2-Hydroxybenzophenone (3 g, 0.015 mol), and K2CO3 (2.18g, 0.0158 mol) in Acetonitrile (20 ml). The resulting mixture was left, with stirring, for 60 min at 80 oC. After cooling, the insoluble residue was filtrated, and the filtrate was concentrated under reduced pressure. The resulting residue was extracted with chloroform. The organic layer was concentrated under reduced pressure generating a brown powder. The yielded powder (2.6 g, yield 73.24%). Mp: (68 oC). IR (neat, cm-1), 3175 (acetylenic ≡CH, stretch), 2110 (C≡C, stretch), 1690 (C=O, stretch), 1600, 1460, 1425 (Ar C=C, stretch), 1000-900 (Ar C=C, bending), 800-610 (Ar-H, bending). H1-NMR (DMSO-d6): δ, 2.34 (s, 1H, C≡CH), 4.75 (s, 2H, O-CH2-C≡), 7.10-7.71 (m, 9H, Ar H). Anal. Calcd. (C16H12O2): C 81.35%, H 5.08%. Found: C 81.48%, H 5.13%.
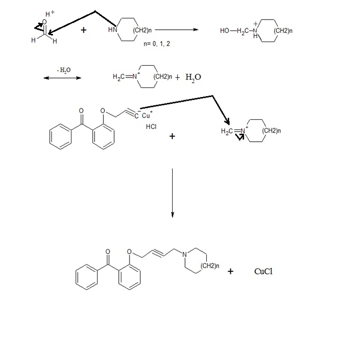
Synthesis of 2-{[4-(amino-2-yn-1-yl]oxy}-benzophenone, (MZ-2-MZ-7)
A mixture of 2-(prop-2-yn-1-yloxy)-benzophenone (MZ-1)(1.98 g, 0.01 mol), paraformaldehyde (0.5 g, 0.015 mol), the cyclic amine (0.01 mol), and cuprous chloride catalytic amount (0.03 g), in peroxide-free dioxane (30 ml) was left, under magnetic stirring, for 80 min at 90 oC. After cooling, the insoluble residue was removed by filtration, and the filtrate was concentrated under reduced pressure. The resulting residue was washed with ethyl ether generating the desired compounds MZ-2, MZ-3, MZ-4, MZ-5, MZ-6, and MZ-7 as powder. The Mp, IR, H1-NMR, [13] CNMR, DSC and elemental analysis are shown for each compound.
Synthesis of 2-{[4-(2,6-dimethylpiperidine-1-yl)but-2-yn-1-yl]oxy}-benzophenone, (MZ-2)
The titled compound was prepared following the general procedure for synthesis of 2-{[4-(amino-1-yl)but-2yn-1-yl]oxy}-benzophenone (Scheme 1). Yielded brown powder (3.18g, yield 58.64%). Mp: 138oC, IR (neat, cm-1): 2950, 2900, 2825 (acetylenic≡CH, stretch), 2115 (Ar-H, stretch), 1670 (C=O, stretch), 1590, 1490, 1445, 1360 (Ar C=C, stretch), 1300-925 (ArC=C, bending), 875-625 (Ar-H, bending). H1-NMR (DMSO-d6): δ, 0.85-1.09 (m, 2H, CH of cyclic amine), 1.12, 1.14 (d, 6H, J=6.01 Hz, C-CH3), 1.47-1.51(t, 1H, CH of cyclic amine), 2.07-2.18 (d, 2H, CH of cyclic amine), 2.42-2.50 (d, 1H, CH of cyclic amine), 3.49 (t, 1H, C≡C-CH2), 3.56 (t, 1H, C≡C-CH2), 4.44 (s, 1H, O-CH2-C≡), 4.77 (s, 1H, O-CH2-C≡), 7.08-7.72 (m, 9H, ArH), Anal. Calcd. (C24H27NO2): C 79.77%, H 7.47%, N 3.87%. Found: C 80.012%, H 7.599%, and N 4.24%.
Synthesis of 2-{[4-(2-Methylpiperidine-1-yl)but-2-yn-1-yl]oxy}-benzophenone, (MZ-3)
The titled compound was prepared following the general procedure for the synthesis of 2-{[4-(2-amino-1-yl)but-2-yn-1-yl]oxy}-benzophenone yielded brown powder (3.11 g, yield 59.78%). Mp: 137 oC. IR (neat, cm-1): 2900, 2800, 2740 (Ar-H, stretch), 2210 (C≡C, stretch), 1650 (C=O, stretch), 1580,1450, 1425, 1350 (ArC=C, stretch), 1300-900 (ArC=C, bending), 875-625 (Ar-H, bending). H1-NMR (DMSO-d6): δ, 0.88 (t, 3H, j=5.9 Hz, C-CH3), 0.98-1.21, 1.34-1.56, 2.07-2.18 (m, 4H of cyclic amine), 2.50-2.56 (d, 4H of cyclic amine), 3.18 (t, 1H, C≡C-CH2), 3.49 (t, 1H, C≡C-CH2), 4.45 (s, 1H, O-CH2-C≡), 4.77 (s, 1H, O-CH2-C≡), 7.09-7.72 (m, 9H, Ar-H), 13C NMR (DMSO-d6): δ, 19.98 (C[18]), 25.27 (C4), 25.56 (C5), 25.70 (C3), 38.78 (C7), 39.06 (C6), 40.18 (C2), 46.52 (C[10]), 67.39 (C9), 80.21 (C8), 114.08 (C[17,15]), 121.67 (C[23]), 128.87 (C[25]), 129.25 (C[13]), 129.36 (C[22]), 129.44 (C[26]), 129.68 (C[24]), 132.12 (C[16]), 133.86 (C[14]), 137 (C[21]), 154.74 (C[12]), 196.31 (C[19]). Anal. Calcd. (C23H25NO2): C 79.53%, H 7.20%, N 4.03%. Found: C 79.71%, H 7.48%, and N 4.35%.
Synthesis of 2-{[4-(amino-1-yl) but-2-yn-1-yl]oxy}-benzophenone (MZ-4)
The titled compound was prepared following the general procedure for the synthesis of 2-{[4-(2-methylpiperidine-1-yl)but-2-yn-1-yl]oxy}-benzophenone (Scheme 1), yielded brown powder (2.84 g, yield 56.95%). Mp: (108 oC). IR (neat, cm-1): 2915, 2825, 2775, 2725 (Ar-H, stretch), 2175 (C≡C, stretch), 1650 (C=O, stretch), 1580, 1490, 1450, 1360 (Ar C=C, stretch), 1325-910 (ArC =C, bending), 800-625 (ArH, bending). H1-NMR (DMSO-d6): δ, 1.29-1.58 (m, 2H of cyclic amine), 2.26-2.34 (d, 4H of cyclic amine), 2.50, 3.11 (s, 2H of cyclic amine),3.19-3.34, 3.49-3.56 (m, 2H of cyclic amine), 3.87 (t, 2H, J=6.03, C≡C-CH2-N), 4.76 (s, 2H, O-CH2-C≡), 7.08-7.94 (m, 9H, Ar-H). 13C NMR (DMSO-d6): δ, 25.27 (C4), 25.56 (C5), 25.70 (C3), 38.78 (C7), 39.06 (C6), 40.18 (C2), 46.52 (C[10]), 66.77 (C9), 80.10 (C8), 114.01 (C[17,15]), 121.73 (C[22]), 128.96 (C[24]), 129.26 (C[13]), 129.39 (C[21]), 129.75 (C[23,25]), 132.21 (C[16]), 133.93 (C[14]), 137.26 (C[20]), 154.78 (C[12]), 196.33 (C[18]). Anal. Calcd. (C22H23NO2): C 79.27%, H 6.90%, N 4.20%, found: C 79.49%, H 7.09%, and N 4.43%.
Synthesis of 2-{[4-(N-methylpiperazen-1-yl)but-2-yn-1-yl]oxy}-benzophenone, (MZ-5).
The titled compound was prepared following the general procedure for the synthesis of 2-{[4-(amino-1-yl)but-2-yn-1-yl]oxy}-benzophenone (Scheme 1). Yielded brown powder (3.23 g, yield 61.9%). Mp: (118 oC). IR (neat, cm-1): 2900, 2875, 2850, 2800, 2750, (Ar-H, stretch), 2210, (C≡C, stretch), 1645 (C=O, stretch), 1550, 1530, 1500, 1460, 1440 (ArC=C, stretch), 1325-910 (ArC=C, bending), 860-600 (Ar-H, bending).). H1-NMR (DMSO-d6): δ, 2.06-2.18 (t, 4H, HC-N-CH), 2.29-2.36 (d, 2H,of cyclic amine), 2.50 (s, 3H, N-CH3), 2.73-3.32 (m, 2H of cyclic amine), 3.39 (t, 1H, J=5. 1Hz, C≡C-CH2), 3.56 (t, 1H, J=4.63 Hz, C≡C-CH2), 4.56 (s, 1H,O-CH2-C≡), 4.78 (s, 1H, O-CH2-C≡), 7.12-7.98 (m, 9H, Ar-H). Anal. Calcd. (C22H24N2O2): C 75.86%, H 6.89%, N 8.04%. Found: C 76.01%, H 7.09%, and N 8.31%.
Synthesis of 2-{[4-(pyrrolidin-1-yl)but-2-yn-1-yl]oxy}-benzophenone, (MZ-6)
The titled compound was prepared following the general procedure for the synthesis of 2-{[4-(amino-1-yl)but-2-yn-1-yl]oxy}-benzophenone (Scheme 1). Yielded brown powder (2.92 g, yield 61.05%). Mp: (83 oC). IR (neat, cm-1): 2950, 2900, 2850, 2825, 2750, (Ar-H, stretch), 2210, (C≡C, stretch), 1650 (C=O, stretch), 1575, 1530, 1510, 1500, 1450, 1425 (ArC=C, stretch), 1350-910 (ArC=C, bending), 875-600 (Ar-H, bending).). H1-NMR (DMSO-d6): δ, 1.65-1.79 (t, 2H, N-CH2), 2.37-2.55 (m, 2H,of cyclic amine), 3.09-3.26 (t, 2H, of cyclic amine), 3.34-3.49 (m, 2H of cyclic amine), 3.55 (t, 1H, J=6.52 Hz, C≡C-CH2), 3.65 (t, 1H, J=6.46 Hz, C≡C-CH2), 4.49 (s, 1H,O-CH2-C≡), 4.77 (s, 1H, O-CH2-C≡), 7.11-7.71 (m, 9H, Ar-H). Anal. Calcd. (C21H21NO2): C 78.99%, H 6.58%, N 4.38%. Found: C 79.18%), H 6.63%, and N 4.51%.
Synthesis of 2-{[4-(hexamethyleneimin-1-yl)but-2-yn-1-yl]oxy}-benzophenone, (MZ-7)
The titled compound was prepared following the general procedure for the synthesis of 2-{[4-(amino-1-yl)but-2-yn-1-yl]oxy}-benzophenone (Scheme 1). Yielded brown powder (3.07 g, yield 59.1%). Mp: (142 oC). IR (neat, cm-1): 2900, 2790, (Ar-H, stretch), 2190, (C≡C, stretch), 1660 (C=O, stretch), 1590, 1450, 1425, 1350 (ArC=C, stretch), 1300-910 (ArC=C, bending), 860-600 (Ar-H, bending).). H1-NMR (DMSO-d6): δ, 1.48-1.52 (t, 4H of cyclic amine), 2.43-2.59 (q, 2H, of cyclic amine), 3.01 (s, 2H, of cyclic amine), 3.29 (d, 2H of cyclic amine), 3.56 (t, 2H of cyclic amine), 4.29 (s, 2H, C≡C-CH2), 4.76 (s, 2H,O-CH2-C≡), 7.49-7.72 (m, 9H, Ar-H). Anal. Calcd. (C23H25NO2): C 79.53%, H 7.20%, N 4.03%. Found: C 79.72%, H 7.44%), and N 4.18%.
RESULTS AND DISCUSSION
Chemistry
The designed compounds were prepared as shown in (Schemes 2).
2-(Prop-2-yn-1-yloxy)-benzophenone (MZ-1) was prepared from the alkylation of 2-Hydroxybenzophenone via 3-Bromoprop-1-yne(propargyl bromide) in the presence of acetonitrile as solvent and K2CO3 as a base. The reaction involves direct displacement of the phenoxide anion to the bromide in propargylbromide as outlined in Scheme 2.
The Mannich reaction of 2-(prop-2-yn-1-yloxy)-benzophenone (MZ-1) with Paraformaldehyde, appropriate cyclic amine, and a catalytic amount of cuprous chloride in peroxide free dioxane was heated to yield the desired compounds (MZ-2-MZ-7). The yield obtained ranged from 56.95 to 61.90%. The proposed mechanism for Mannich reaction is outlined in (Scheme 3).
2-hydroxybenzophenone MZ-1

![]() |
![]() |
| MZ-2 | MZ-3 |
![]() |
![]() |
| MZ-4 | MZ-5 |
![]() |
![]() |
| MZ-6 | MZ-7 |
Scheme 1: Synthesis of 2-{[4-(amino-1-yl)but-2-yn-1-yl] oxy}-benzophenone, (MZ-2-MZ-7)
In order for Mannich reaction to proceed, a reactive ammonium cations intermediates should be formed from condensation of the formaldehyde with the appropriate amines (Schiff base formation). The attack of the carbanion in 2-(prop-2-yn-1-yloxy)-benzophenone cuprous salt on the Schiff base, generates the desired Mannich adducts (MZ-2-MZ-7). The Mp, IR, H1-NMR, 13C NMR, DSC and elemental analysis were consistent with the assigned structures. Docking study of the synthesized amino acetylenic benzophenones derivatives showed good docking scores as indicated in (table 1)
The site-directed mutagenesis studies of the H3 receptor illustrated the importance of having at least one ionic interaction between an H3 natural messenger (i. e histamine) and the carboxylate group of Asp 114 or Glu 206 [17]. Classical H3 receptor antagonists seem to be also required to make such an interaction in order to bind well with the H3 receptor pocket. In fact, some docking studies showed that both key amino acids could be involved in the binding of some known H3 receptor antagonists [17]. Consistently, our current study has shown that thioperamide is able to make electrostatic interactions with these key amino acids Asp 114 and Glu 206.
Similar docking results were obtained for our amino acetylenic benzophenone derivatives. The protonated amino group was always able to make an ionic interaction with one of the key amino acids which is Asp 114. Additionally, the docked ligands nicely fit in the H3 receptor pocket and they all possess favorable binding free energies (energies ‹ 0, table 1) which indicates that the important pharmacophoric features required for blocking the H3 receptor are present in these designed compounds. Docking study of the synthesized amino acetylenic bezophenone derivatives showed a good docking score as shown in (table 1).
MZ-2 was the best scoring ligand amongst all benzophenone compounds (-8.6 kcal/mol). Interestingly, MZ-2 has less energy to dock into the H3 receptor and bind effectively to inhibit the H3 receptor relative to thioperamide (-6.6 kcal/mol). MZ-2 has the ionic interaction with the same key residue Asp 114. Additionally, the ligand hydrophobic skeleton has close contacts with the side chains of IIe 88, Tyr 91, Trp110, His 187, Phe 193, Phe 198, Tyr 256 and Phe 280 amino acid. The acetylenic 2-butyne seems to act as an appropriate spacer between a protonated amino group and benzophenone to afford effective blocking activity of the H3 receptor [17] as shown in table 1 and fig. 3

MZ-1
Scheme 2: Proposed Alkylation reaction

Scheme 3: Proposed Mannich reaction
Table 1: Docking scores of amino acetylenic benzophenone derivatives in the H3 receptor active site
| Molecule (Kcal/mol) | Autodock score |
![]() |
|
| -6.6 | Thioperamide |
| -8.6 | MZ-2 |
| -8.4 | MZ-3 |
| -7.7 | MZ-4 |
| -7.1 | MZ-5 |
| -7.3 | MZ-6 |
| -7.8 | MZ-7 |


Fig. 3: Shows the binding mode demonstrated by MZ-3, and MZ-6 respectively (blue sticks) in the H3 receptor active site (gold). The picture was generated by PyMol. Electrostatic interactions are shown as yellow dotted lines. Some protein chains are not shown for clarity
CONCLUSION
The synthesis and characterization of a new series of 2-{[4-(amino-1-yl) but-2-yn-1-yl]oxy}-benzophenone, (MZ-2-MZ-7) was accomplished. Docking of the new amino acetylenic benzophenone compounds showed a promising approach in managing different diseases such as Attention deficit hyperactivity disorder (ADHD), depression, psychosis, epilepsy, Alzheimer's and other neurological disorders through the inhibition of H3 receptor. We hope that further pharmacological investigation generates a new drugs in one or more of the above diseases.
ACKNOWLEDGEMENT
The authors would like to thank the University of Petra/Faculty of Pharmacy for providing the necessary facilities to carry out this work.
CONFLICT OF INTERESTS
The authors declare no conflict of interest
REFERENCES