Dexa Laboratories of Biomolecular Sciences (DLBS), Industri Selatan V, Block PP no. 7, Jababeka Industrial Estate II, Cikarang, West Java 17550, Indonesia
Email: raymond@dexa-medica.com
Received: 04 Mar 2015 Revised and Accepted: 21 May 2015
ABSTRACT
Objective: Pharmaceutical salt and cocrystal is a promising alternative method for improving the solubility and dissolution rate of active pharmaceutical ingredients. In this work, an attempt was made to improve solubility of ketoconazole (KTZ) using salt formation and cocrystallization technique.
Methods: Salt and cocrystal were prepared using oxalic acid (OXA) and fumaric acid (FUMA) via slurry conversion method. Powder X-Ray Diffraction (PXRD), Differential Scanning Calorimetry (DSC) and Scanning Electron Microscope (SEM) techniques were employed to investigate the crystallinity, melting point and morphology of salt and cocrystal respectively. KTZ salt and cocrystal were evaluated further for their solubility, stability and antifungal activities.
Results: Synthesis of KTZ OXA salt and KTZ FUMA cocrystal were successfully carried out using slurry conversion method using ethyl acetate solvent. The result from PXRD, DSC and SEM analysis confirms the formation of salt and cocrystal of KTZ with OXA and FUMA. Saturation solubility studies in water at 25 °C exhibited a remarkable improvement in the drug solubility. KTZ FUMA and KTZ OXA were considered to be stable over the period of 1 month confirmed by the stability study. In vitro antifungal activity study revealed that the formation of KTZ OXA and KTZ FUMA did not alter the therapeutic activity as an antifungal agent.
Conclusion: Salt and cocrystal of KTZ (KTZ OXA and KTZ FUMA) exhibit enhanced solubility compare the pure drug. In vitro antifungal study revealed that both salt and cocrystal of KTZ retained their antifungal activities.
Keywords: Cocrystal, Salt, Ketoconazole, Solubility, Stability, Antifungal activities.
INTRODUCTION
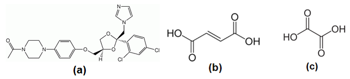
Ketoconazole (KTZ) [(±)-cis-1-acetyl-4-(4-{[2-(2,4-dichlorophenyl)-2-(1H-imidazol-1-ylmethyl)-1,3-dioxolan-4-yl] methoxy} phenyl) piperazine] (fig. 1 a), is an imidazole derivative with a wide antifungal spectrum and possesses some antibacterial activity. It is reported to be active in the treatment of systemic blastomycosis, candidiasis, coccidioidomycosis, histoplasmosis, paracoccidioidomycosis, and tinea of skin and nails [1].
KTZ commercially available in several dosage forms for oral and topical administration. KTZ presents advantage over other imidazole derivatives in sustaining adequate blood levels following oral administration [2]. KTZ is a weak base and it can be soluble only under extremely acidic conditions. It is classified in the Biopharmaceutics Classification Scheme (BCS) as a Class II drug, since it has a high permeability but low solubility in water (0.087 mg/l at 25 °C) [3].
Various methods were used for improving the solubility and dissolution rate of KTZ. For example, it had been reported that the solubility and dissolution rate of KTZ could be improved by the formation of nanoparticle formulation [4], micro emulsion [5], and solid dispersion [6]. Crystal engineering is an approach that may improve solubility and dissolution rate (bioavailability) of an API. Pharmaceutical co-crystal, and salt formation are an example of how crystal engineering concept can be utilized to address the poor solubility problem. Salt formation is one of the common approaches in modifying the physicochemical properties of a drug. However, salt formation is feasible only when the API has a suitable ionizable site [7].
Salt formation of a very weak base API such as KTZ also presents a greater risk of disproportionation [8]. Pharmaceutical cocrystal provides an alternative way to modify the physicochemical properties of APIs, besides salt formation. A cocrystal may be defined as a multi component molecular complex in a definite stoichiometric ratio of solids that interact through noncovalent interactions, predominantly hydrogen bonds [9]. Cocrystallization of pharmaceutical compounds may potentially be employed with all APIs, including acidic, basic, and nonionizable molecules. A large number of pharmaceutically acceptable cocrystal formers exist, which potentially increase the scope of cocrystallization over salt formation [10].
Carboxylic acids are known to act as good electron acceptors and electron donors and they often participate well in supramolecular reactions. Carboxylic acids also come under the category of GRAS (Generally Recognised as Safe) as defined by the FDA (the Food and Drug Administration) and hence are potential salt and cocrystal formers for combination with an API [11].
A study on KTZ salt and cocrystal formation has been done by Martin et al. They prepared KTZ oxalate salt and KTZ fumaric acid cocrystal using a solvent mixture of acetone and methanol (1:1) via slow evaporation technique [12]. Herein, we reported the preparation of new multi component crystals (salt and cocrystal) of KTZ with dicarboxylic acids, i.e. oxalic acid (OXA), and fumaric acid (FUMA) (fig. 1 (b) And (c)) via slurry conversion method using ethyl acetate as solvent. We employed solid-state material characterization techniques such as powder X-ray diffraction (PXRD), differential scanning calorimetry (DSC) and scanning electron microscope (SEM) to characterize these salts and cocrystal. Their solubility, stability, and in-vitro antifungal activity studies were also investigated.

Fig. 1: Molecular structure of KTZ (a), FUMA (b), and OXA (c)
MATERIALS AND METHODS
Materials
Ketoconazole (KTZ, purity 99.6 %, Piramal Healthcare Limited, India.), fumaric acid (FUMA, Sigma–Aldrich Co. LLC), oxalic acid (OXA, Sigma–Aldrich Co. LLC), ethyl acetate (ACS grade, JT Baker), dimethyl sulphoxide (DMSO; Merck, Germany), and potato Dextrose Agar (PDA; Merck, Germany) were used as received. Pathogenic fungal including Candida albicans ATCC 10231, Microsporum canis ATCC 11621, and Trichophyton rubrum ATCC 28188 were obtained from Dipa Puspa Labsains (Indonesia).
Salt and cocrystal preparation
Salt and co-crystal of KTZ were prepared by slurry conversion method. Equimolar (1:1 mol ratio) quantities of KTZ and dicarboxylic acid (OXA and FUMA) were added in 20 ml of ethyl acetate and mixed under sonication at 40 °C for 1 h. The resulting slurry was filtered through whatman filter paper and the resulting solid was dried at 70 °C for 5 h.
X-Ray powder diffraction (PXRD)
PXRD patterns were collected by a Rigaku Ultima IV X-ray diffractometer (Rigaku Co., Tokyo, Japan) using Cu Kα radiation (λ = 1.54 Å), a tube voltage of 40 kV, and a tube current of 40 mA. Data were collected from 2 to 40 ° at a continuous scan rate of 4 °/min.
Differential scanning calorimetry (DSC)
Thermal analysis of the samples was performed on a DSC Q20 (TA Instruments, DE, USA), calibrated for temperature and cell constants using indium. Samples (1-3 mg) crimped in aluminum pans were analyzed from 50 to 300 °C with a heating rate of 5 °C/min. Samples were continuously purged with nitrogen at 50 ml/min.
Scanning electron microscopy (SEM)
The morphology of KTZ, FUMA, OXA, KTZ fumaric acid cocrystal (KTZ FUMA), and KTZ oxalate salt (KTZ OXA) were analyzed using a JEOL JSM-6510 scanning electron microscopy (SEM, JEOL Ltd., Tokyo, Japan). Samples were mounted on a double-faced adhesive tape, sputtered with platinum. Scanning electron photographs were taken at an accelerating voltage of 5 kV.
Solubility measurements
Excess amounts (200 mg) of the samples (KTZ FUMA and KTZ OXA) were suspended in 10 ml of water in screw-capped glass vials and the slurries were stirred using a magnetic stirrer at room temperature (25 °C). After 24 h, the suspensions were filtered through a paper filter and solid filtrates were dried and used for further PXRD and DSC analysis. The resulting solutions were filtered again through a 0.2 μm nylon syringe filter. The filtered aliquots were sufficiently diluted the absorbances were measured using a UV spectrophotometer (model U-2900, Hitachi, Japan) at a wavelength of 270 nm.
Stability studies
Accurately weighed samples (approximately 50 mg) placed in 10 ml capped (closed condition) and uncapped glass vials (open condition) were placed into a stability chamber (Type KBF 720, Binder, Germany) at 40 °C/75 % RH for one month, then the samples were analyzed by PXRD and DSC.
In vitro antifungal activity study
Fungal species used in this study were Candida albicans ATCC 10231, Microsporum canis ATCC 11621, and Trichophyton rubrum ATCC 28188. Antifungal activity was determined by disc diffusion assay. All samples (KTZ, KTZ FUMA and KTZ OXA) were dissolved in dimethyl sulphoxide at concentration 1 mg/ml and sterilized using filtration method with 0.22 μm membrane filters (Iwaki, Japan). The medium used were PDA. The 6 mm diameter disc (Whatman, USA) was impregnated with 20 μl of the sample and placed on inoculated agar (agar with mixture of mycelium and conidia of fungi). DMSO was used as negative control.
The inoculated plates were incubated at 25 °C for 48 h for fungal growth. Antifungal activity was evaluated by measuring the inhibition zone against those fungal species. All inhibition assays and controls were carried out duplicate. SPSS program was used for data analysis.
RESULTS AND DISCUSSION
XRD analysis
Powder x-ray diffraction is a fingerprint technique to characterize the solid state. Every crystal form of a compound produces its own characteristic X-Ray diffraction pattern [13]. If the resulting PXRD of the product is different from the starting components (the API and salt former/coformer), then it may be inferred that a new solid phase has been formed [9]. The PXRD diffractograms of KTZ, FUMA, OXA, KTZ FUMA, and KTZ OXA were compared in fig. 2 and 3.
The PXRD spectrum of KTZ FUMA, and KTZ OXA revealed that a new crystalline form distinct from the starting components had been generated. The characteristic peaks of KTZ, FUMA, OXA, KTZ FUMA, and KTZ OXA at various diffraction angles (2θ) are shown in table 1.

Fig. 2: PXRD pattern of KTZ (a), FUMA (b), KTZ FUMA (c)

Fig. 3: PXRD pattern of KTZ (a), OXA (b), KTZ OXA (c)
Thermal analysis
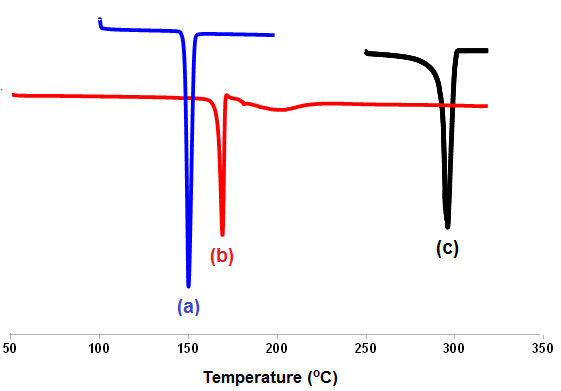
Thermal property of an API may be modified by cocrystal and salt formation. DSC has been shown to analyze solid-state interactions between drug and salt former or coformer through the appearance, shifts or disappearance of endothermal or exothermal effects [14]. DSC experiments were carried out to investigate the thermal properties of KTZ, FUMA, OXA, KTZ FUMA, and KTZ OXA. The DSC thermograms are shown in fig. 4 and 5. Ketoconazole showed a single endothermic peak at 149.97 °C. FUMA and OXA exhibited a single endothermic peak at 295.84 °C, and 189.98 °C which corresponds to the melting point. KTZ FUMA and KTZ OXA exhibited sharp melting endotherms at temperatures significantly different from those of the drug and the salt former/coformer, suggesting the formation of a new crystalline phase. KTZ FUMA exhibited single melting point at 169.07 °C between the melting point of KTZ and FUMA. KTZ-OXA shows melting point higher than the melting point of KTZ and OXA, which is 197.02 °C. Similar melting point value were also found by Martin et al. for KTZ fumaric acid cocrystal and KTZ oxalate salt [12]. A single endothermic peak for KTZ FUMA and KTZ OXA indicated in a homogeneous solid phase, and also the absence of any bound solvent (solvate) or water in lattice crystal [9]. There is no correlation between the melting points of the salt former/coformer with their respective salt and cocrystal.
Table 1: 2θ position of pure KTZ, salt former/coformer and its salt/cocrystal at various diffraction angles (2θ °)
2θ position |
||||
KTZ |
FUMA |
OXA |
KTZ FUMA |
KTZ OXA |
6.460 |
18.48 |
14.92 |
6.660 |
11.92 |
7.180 |
20.54 |
18.80 |
7.880 |
13.22 |
10.48 |
22.76 |
22.94 |
12.06 |
17.70 |
15.92 |
25.78 |
24.54 |
15.16 |
18.44 |
17.34 |
26.72 |
27.22 |
16.82 |
19.92 |
17.40 |
28.60 |
29.06 |
17.12 |
20.40 |
19.20 |
28.74 |
31.04 |
17.24 |
21.78 |
19.62 |
29.36 |
33.06 |
17.70 |
25.36 |
19.88 |
37.80 |
37.42 |
18.16 |
28.04 |
20.20 |
37.90 |
38.80 |
19.12 |
28.12 |
20.24 |
|
42.10 |
20.14 |
29.82 |
20.54 |
|
|
21.42 |
|
21.10 |
|
|
23.70 |
|
21.26 |
|
|
23.80 |
|
23.60 |
|
|
25.58 |
|
27.40 |
|
|
|
|
The differences in melting points between KTZ, and its salt or cocrystal might be attributable to interaction between API and salt/cocrystal forming agent, altered changes in intermolecular interactions, and crystal structure [15]. Schultheiss and Newman [16] conducted a survey on melting points of 50 reported cocrystalline samples, and found that: 51 % had melting points between those of the API and coformer; 39 % lower than that of either component; 6 % higher than that of either component, and 4 % had the same melting point as either the API or conformer.

Fig. 4: DSC thermograms of KTZ (a), KTZ FUMA (b), FUMA (c)

Fig. 5: DSC thermograms of KTZ (a), KTZ OXA (b), OXA (c)
SEM analysis
SEM analysis (fig. 6) has been performed for the KTZ, FUMA, OXA, KTZ FUMA, and KTZ OXA. SEM images of the KTZ indicated irregular-shaped particles approximately 5–30 µm in diameter. FUMA and OXA exhibited irregular shape with larger in size and smooth surface. KTZ FUMA and KTZ OXA also exhibited irregular shape similar with those of the pure drug. From the SEM analysis, the KTZ FUMA showed reduced in particle size.

Fig. 6: SEM images of KTZ (a), FUMA (b), OXA (c), KTZ FUMA (d), KTZ OXA (e)
Solubility
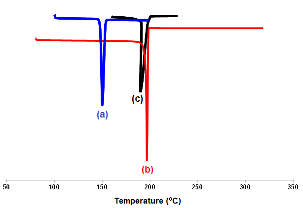
Solubility is defined as the concentration of the substance in solution that is in chemical equilibrium with an excess of the undissolved substance [9]. Solubility of KTZ OXA and KTZ FUMA were measured in deionized water at 25 °C. The equilibrium solubility values are provided in table 2. The reasons for solubility enhancement may be described on the basis of the solubility of the salt former/coformer in water and as a result of a change in the crystal energy (∆Hsolvation) [9, 17]. In the present study, we found an inverse correlation between the melting point and solubility. KTZ OXA, which has a higher melting point, has a lower solubility than KTZ FUMA, which has a lower melting point. Similar results had also been reported by other researchers for other API’s [9, 18-19]. The solid residues obtained after the solubility studies were then characterized by PXRD and DSC. PXRD patterns (fig. 7) and DSC analysis results (table 3) of KTZ OXA and KTZ FUMA cocrystal were found to be similar to their original forms indicating both salt and cocrystal were stable after 24 hours of solubility studies in water.
Table 2: Saturation solubility of pure KTZ, KTZ FUMA and KTZ OXA
| Sample | Saturation solubility (mg/l) |
| KTZ | 0.087 |
| FUMA | 6300 |
| OXA | 143 000 |
| KTZ FUMA | 2723.33 |
| KTZ OXA | 1484.33 |

Fig. 7: PXRD pattern of KTZ FUMA before solubility (a), KTZ FUMA after solubility (b), KTZ OXA before solubility (c), KTZ OXA after solubility (d)
Table 3: Melting point of KTZ FUMA and KTZ OXA before and after solubility
| Sample | MP (oC) |
| KTZ FUMA before solubility | 169.07 |
| KTZ FUMA after solubility | 169.27 |
| KTZ OXA before solubility | 197.02 |
| KTZ OXA after solubility | 196.97 |
Stability
Physical stability of KTZ FUMA and KTZ OXA was investigated at 40 °C/75 % RH for one month. Accelerated stability condition, such as 40 °C/75 % RH, is commonly used for early studies on solid materials based on ICH guidelines. The results of PXRD analysis demonstrate that the PXRD patterns of KTZ FUMA and KTZ OXA did not change (fig. 8). The DSC of these samples did not show any additional peaks (table 4). This analysis indicates that KTZ FUMA and KTZ OXA were stable under these conditions. The results of solubility and stability measurements imply that KTZ FUMA and KTZ OXA can be selected for further development.

Fig. 8: PXRD pattern in stability study at 40oC/75% RH of KTZ FUMA day 0 (a), KTZ FUMA day 30 in open condition (b), KTZ FUMA day 30 in close condition (c), KTZ OXA day 0 (d), KTZ OXA day 30 in open condition (e), KTZ OXA day 30 in close condition (f)
Table 4: Melting point of KTZ FUMA and KTZ OXA before and after stability study
| Sample | MP (oC) |
| KTZ FUMA (day 0) | 169.07 |
| KTZ FUMA (day 30_40 oC/75 % RH_open) | 169.39 |
| KTZ FUMA (day 30_40 oC/75 % RH_close) | 168.72 |
| KTZ OXA (day 0) | 197.02 |
| KTZ OXA (day 30_40 oC/75 % RH_open) | 196.66 |
| KTZ OXA (day 30_40 oC/75 % RH_close) | 196.55 |
In vitro antifungal activity study
Fig. 9 shows the comparison of antifungal activities of KTZ compare to KTZ FUMA and KTZ OXA. It is shown that all of KTZ samples have no significant difference in inhibiting the growth of fungi (Microsporum canis, Trichophyton rubrum, and Candida albicans) (P>0.05). This study revealed that the formation of KTZ oxalate salt (KTZ OXA) and KTZ fumaric acid cocrystal (KTZ FUMA) did not alter the therapeutic activity as an antifungal agent. There are three general mechanisms of action of the antifungal agents: cell membrane disruption, inhibition of cell division, and inhibition of cell wall formation. Structure activity studies revealed that the imidazole ring can be replaced by a bioisosteric triazole ring without affecting the antifungal activity, but achieving higher selectivity of the fungal targets [20].

Fig. 9: In vitro antifungal activity of KTZ, KTZ OXA and KTZ FUMA
CONCLUSION
In the present study, FUMA and OXA were successfully used as coformer and salt fomer (counter ion) for the improvement of the solubility of KTZ via cocrystallization and salt formation process. The characteristics of salt and cocrystals inferred from the thermal behavior from DSC analysis and diffraction pattern from PXRD analysis confirmed the formation of new solid forms of the KTZ. The KTZ salt and cocrystal showed enhanced solubility and were found to be stable over the period of one month confirmed by stability study. From the in vitro antifungal study, it is shown that KTZ FUMA and KTZ OXA retained the therapeutic activity as an antifungal agent.
ABBREVIATION
API-Active Pharmaceutical Ingredients, BCS-Biopharmaceutics Classification Scheme, DSC-Differential Scanning Calorimetry, FDA-Food and Drug Administration, FUMA-Fumaric acid, GRAS-Generally Recognised as Safe, KTZ-Ketoconazole, MP-Melting point, OXA-Oxalic acid, PXRD-Powder X-ray Diffraction, RH-Relative Humidity, SEM-Scanning Electron Microscope
CONFLICT OF INTERESTS
The authors would like to thank Karmelita Anggrianto for reviewing the manuscript.
REFERENCES