1Department of Pharmaceutics, Cherraan’s College of Pharmacy, Coimbatore, India, 2Department of Pharmaceutics, College of Pharmacy, Sri Ramakrishna Institute of Paramedical Sciences, Coimbatore, India
Email: rubinareichel@gmail.com
Received: 15 Oct 2014 Revised and Accepted: 02 May 2015
ABSTRACT
Objective: The present study describes a simple, accurate, precise, specific and economical UV spectrophotometric method for simultaneous estimation of Gliclazide (GLZ) and Sitagliptin phosphate monohydrate (SPM) in bulk and pharmaceutical dosage form.
Methods: The method was validated in terms of linearity, sensitivity, accuracy, precision, limit of detection and limit of quantification. The solvent used was methanol and the absorption maxima for Gliclazide (GLZ) and Sitagliptin phosphate monohydrate (SPM) were found to be 226 nm and 267 nm respectively.
Results: The percentage recovery of Gliclazide (GLZ) and Sitagliptin phosphate monohydrate (SPM) were 99.8% and 99.64% respectively. The linear response was observed in the range of 7-27 µg/ml and 20-100 µg/ml with a correlation coefficient (r2) of 0.996 and 0.998 for Gliclazide (GLZ) and Sitagliptin phosphate monohydrate (SPM) respectively.
Conclusion: The proposed method was successfully applied for the quantitative detection of Gliclazide (GLZ) and Sitagliptin phosphate monohydrate (SPM) in Pharmaceutical dosage form.
Keywords: Gliclazide, Sitagliptin phosphate monohydrate, Simultaneous estimation.
INTRODUCTION
Gliclazide (GLZ) (1-3-azabicyclo [3.3.0] oct-3-yl)–3-p-tolylsulfonyl urea or 1-(hexahydrocyclopenta [c] pyrrol-2 (1H)-y1)-3-(p-tolylsulfonyl) urea is an oral hypoglycemic agent used in the treatment of type-II diabetes mellitus (Fig.1) It belongs to the sulfonylurea class which act by stimulating β cells of the pancreas to release insulin. Its secretion and peripheral insulin resistance, increasing the sensitivity of β cells to glucose, decreasing hepatic glucose production, and increasing glucose clearance. It also has anti-platelet adhesive activity and reduces levels of free radicals, thereby preventing vascular complications. It also has been reported to reduce plasma cholesterol and triglycerides level after repeated administration [1-6].
Fig. 1: Chemical structure of Gliclazide
Sitagliptin phosphate monohydrate (SPM) chemically, (3R)–3 amino-1-[3-(trifluoromethyl)-5, 6 dihydro [1,2,4] triazolo [4,3-a] pyrazin-7 (8H)-yl]–4-(2,4,5, triflurophenyl) butan–1-one phosphate hydrate, is an oral dipeptidyl peptidase–4 (DPP-4) inhibitor for the treatment of type-II diabetes mellitus (fig.2) which improves glycaemic control by inhibiting DPP-4 inactivation of the incretin hormones glucagon like peptide-1 (GLP-1) and glucose–dependent insulin tropic polypeptide (GIP). This inhibits glucagon release from alpha cells and slows the absorption of nutrients into the blood stream and further causes an increase in the amount of insulin release from beta cells [7-18].
The rationale behind the combination of Gliclazide (GLZ) with DPP-4 inhibitor Sitagliptin phosphate monohydrate (SPM) has been safe, effective and complementary spectrum of anti-diabetic actions. when both the combination of drugs reduce HbA1c level and give better glycaemic control.
Fig. 2: Chemical structure of sitagliptin phosphate monohydrate
Several methods were reported for the simultaneous estimation of Gliclazide (GLZ), Sitagliptin phosphate monohydrate (SPM) alone and in combination with other drugs by UV-spectrophotometry [1-18].
Literature survey reveals that there is no spectrophotometric analytical method for simultaneous estimation of Gliclazide and Sitagliptin phosphate monohydrate in bulk and pharmaceutical dosage form. Therefore the main novelty of the proposed methods was to develop simple, new and economic UV spectrophotometric method for the simultaneous estimation of both the drugs in combined dosage form.
Materials and Methods
Reagents and materials
All chemicals and reagents were used of analytical grade
Instrumentation
A Jasco double beam UV-visible spectrophotometer, model: V-630, with spectral width in wavelength accuracy of±0.1 nm and a pair of 10 mm matched quartz cell was used to measure absorbance of all the solutions.
Method development
Solubility test
Solubility test for Gliclazide (GLZ) and Sitagliptin phosphate monohydrate (SPM) was performed by using various solvents. Gliclazide (GLZ) was soluble in methanol and Sitagliptin phosphate monohydrate (SPM) was soluble in water. Hence methanol and water were selected as solvent for the proposed method.
Determination of absorption maxima
Preparation of standard stock solutions
Gliclazide 10 mg (GLZ) and Sitagliptin phosphate monohydrate (SPM) 10 mg were accurately weighed and transferred to two separate 10 ml volumetric flask, dissolved in few drops of methanol and required amount of water were added to obtain stock solution of 1000 µg/ml each. The stock solutions of both the drugs were further diluted separately with solvent to obtain 10µg/ml solution each and scanned in spectrum mode from 200-400 nm.
Detection of wavelength
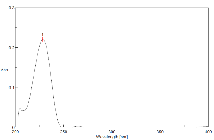
The drug solutions were scanned between the range of 200-400 nm. Gliclazide and Sitagliptin were showed good absorption at 226 nm and 267 nm respectively (fig.3, 4)

Fig. 3: λmax of gliclazide

Fig. 4: λmax of sitagliptin phosphate monohydrate
Isobestic point for the combination was found to be 248 nm. The overlain spectrum of both the drugs was shown in fig. 5
Preparation of calibration curve
The above stock solution, working standard solution of drugs were prepared by appropriate dilution and were then scanned in the range of 200-400 nm against diluents as blank. A series of dilution were prepared for standard solutions Gliclazide (GLZ) and Sitagliptin phosphate monohydrate (SPM) 7-27µg/ml and 20-100µg/ml respectively. The absorbance maxima (λ max) were found to be 226 nm and 267 nm for Gliclazide (GLZ) and Sitagliptin phosphate monohydrate (SPM). The calibration curve was plotted against absorbance Vs concentration. (fig. 6, 7).

Fig. 5: Overlain spectrum of GLZ and SPM

Fig. 6: Calibration curve of Gliclazide

Fig. 7: Calibration curve of Sitagliptin phosphate monohydrate
Assay of tablet formulation
Twenty tablets were weighed accurately and freely powdered. Tablet powder equivalent of 6 mg of Gliclazide (GLZ) and 10 mg of Sitagliptin phosphate monohydrate (SPM) were taken and dissolve in 50 ml of methanol and sonicated for 30 minutes. From this solution prepare work solutions. The absorbance of the solution was measured at respective wavelengths.
Method validation [19]
The present UV spectrophtometric methods were validated for linearity, sensitivity, precision, accuracy, LOD and LOQ as per ICH guidelines for estimation of Gliclazide (GLZ) and Sitagliptin phosphate monohydrate (SPM) in bulk and tablet dosage form.
Table 1: It shows assay of tablet dosage form
| Drug | Labelled amount(mg) | Amount found | %Label claim |
| GLZ | 60 | 59.98 | 99.84 |
| SPM | 100 | 99.99 | 99.97 |
RESULTS
Precision
The repeatability of proposed method was determined by performing tablet assay at different time interval on same day (intraday) and on three different days (interday) result of intraday and interday precision was expressed in % RSD.
Accuracy
The accuracy of the method was determined by calculating recoveries of Gliclazide (GLZ) and Sitagliptin phosphate monohydrate (SPM) by method of standard additions at three different levels 80%, 100 %and 120 %. Mean % recovery was determined. The percentage recovery values were calculated.
Linearity
The linearity of measurement was evaluated by analyzing different concentration of the standard solution of Gliclazide (GLZ) and Sitagliptin phosphate monohydrate (SPM). The Beer’s Lambert’s concentration range was found to be 7-27µg/ml and 20-100 µg/ml for Gliclazide (GLZ) and Sitagliptin phosphate monohydrate (SPM) respectively.
Sensitivity
The sensitivity depends upon the experimental conditions. The maximum sensitivity of a method was capable of detection limits. The sensitivity of the reaction is important and easily detectable; change in intensity must be obtained by small changes in the concentration. Sandell’s sensitivity (п) Calculated by using the formula
Conc. of drug (µg/100 ml)

Absorbance
Table 2: It shows % RSD values of Precision data of GLZ and SPM
| Drugs | Parameter | Ruggedness |
| Repeatability | Precision | |
| Intraday | ||
| GLZ | 1.130 | 0.991 |
| SPM | 0.921 | 0.917 |
RSD–Relative Standard Deviation (n=6)
Table 3: It shows Recovery data of GLZ and SPM
| Recovery studies | GLZ | SPM |
| Amount Present | % Label Claim* | |
| 80% | 59.98 | 100.02 |
| 100% | 60.02 | 100.04 |
| 120% | 60.04 | 100.30 |
| Mean % Recovery | 100.12 |
LOD and LOQ
Limit of detection (LOD) is defined as lowest concentration of analyte that can be detected while Limit of Quantification is defined as lowest concentrate of analyte that can be quantitated with suitable precision and linearity. LOD and LOQ can be calculated from the following formula.
LOQ = 3.3σ/Sand LOQ =10σ/S
Where σ = is the standard deviation of the regression line
And s = slope of the calibration curve
Force degradation study [20]
Both the drugs Gliclazide (GLZ) and Sitagliptin phosphate monohydrate (SPM) were subjected to stress testing as per ICH recommended test conditions. The drugs were subjected to acid hydrolysis by using 0.1 N hydrochloric acid and alkali hydrolysis by using 0.1N sodium hydroxide solution; oxidation by using 30% v/v solution of hydrogen peroxide, thermal and photolysis for ICH Q1B recommended period. The objective of stress study was to generate the degradation products under various stress conditions.
Table 4: It shows Optical characteristics, regression data of proposed method
Parameter |
Result |
|
GLZ |
SPM |
|
λ max (nm) |
226 |
267 |
Beer’s law limit (µg/ml) |
7-27 |
20–100 |
Sandells’ Sensitivity (µg/cm2/0.001AU) |
0.0216 |
0.312 |
Correlation Coefficient (r2) |
0.996 |
0.998 |
Slope (m) |
0.038 |
0.0058 |
Intercept (i) |
0.019 |
0.0048 |
LOD µg/ml |
0.31 |
0.2269 |
LOQ µg/ml |
0.93 |
0.685 |
Table 5: It shows Degradation study results of GLZ and SPM
Degradation study |
% Assay |
|
|
GLZ |
SPM |
Control* |
100.06 |
100.25 |
Acidic* |
99.92 |
99.01 |
Alkali* |
100.04 |
98.99 |
Oxidation* |
98.97 |
98.89 |
Thermal* |
100.02 |
99.72 |
* indicates mean of six determinations
DISCUSSION
A UV-Spectrophotometric method for the simultaneous determination of Gliclazide and Sitagliptin phosphate monohydrate in bulk and pharmaceutical dosage form was developed and validated according to currently accepted ICH guidelines of analytical method validation.
The present work describes the estimation of GLZ and SPM in bulk and pharmaceutical dosage form by UV-spectrophotometric method. The solvent selected for the study is methanol. There is no analytical method available for the selected drugs combination. This method merits more economical and better than HPLC. The simultaneous UV methods in the present work provides a convenient and accurate way for analysis of Gliclazide (GLZ) and Sitagliptin phosphate monohydrate (SPM) in its bulk and pharmaceutical dosage form. Absorbance maxima of Gliclazide (GLZ) at 226 nm and Sitagliptin phosphate monohydrate (SPM) at 267 nm were selected for the analysis. The calibration plot for the method was linear over the concentration range of 7-27µg/ml and 20-100 µg/ml and determination of coefficients (r2) were 0.996 and 0.998 for Gliclazide (GLZ) and Sitagliptin phosphate monohydrate (SPM) respectively (Table.1). The sensitivity of the method was found to be 0.021µg/cm3/AUand 0.312μg/cm3/AU for Gliclazide (GLZ) and Sitagliptin phosphate monohydrate (SPM).
The low Sandell’s sensitivity for the respective method reveals that all these methods were highly sensitive. The method was found to be precise and as the %RSD values for intraday and interday were found to be less than 1% and % recovery 100.12% and 99.64% were found to be good at each added concentration, indicating that method was accurate for Gliclazide (GLZ) and Sitagliptin phosphate monohydrate (SPM) (Table-2,3). The LOD and LOQ were found to be 0.31µg/ml and 0.93µg/ml for Gliclazide (GLZ) and 0.22µg/ml and 0.685µg/ml for Sitagliptin phosphate monohydrate (SPM) (Table-4). The assay showed that the amount of drug was in good agreement with the label claim of formulation as indicated by % assay (99.84%) for Gliclazide (GLZ) and (99.97%) for Sitagliptin phosphate monohydrate (SPM) (Table-1). There is no interference of the degraded products under various stress conditions at the recommended period (Table-5). Thus the method was specific for simultaneous estimation of Gliclazide (GLZ) and Sitagliptin phosphate monohydrate (SPM).
CONCLUSION
The developed method has been successfully applied for simultaneous determination of Gliclazide (GLZ) and Sitagliptin phosphate monohydrate (SPM) bulk and tablet dosage form. Thus it may be concluded that it found to rapid, simple, accurate, economical, eco friendly and can be adopted for routine analysis of drugs in tablet dosage form and as a tool to carryout in process quality monitoring and may prove to be great important in pharmaceutical analysis.
CONFLICT OF INTERESTS
Declared None
REFERENCES