Int J Pharm Pharm Sci, Vol 7, Issue 4, 398-401Original Article


SYNTHESIS AND EVALUATION OF ANTIMICROBIAL PROPERTIES OF AZO DYES

WILLIAM KOFIE*, CEDRIC DZIDZORAMENGOR, REIMMEL K ADOSRAKU

Centre for Drug Design and Development, Department of Pharmaceutical Chemistry, Faculty of Pharmacy and Pharmaceutical Sciences, Kwame Nkrumah University of Science and Technology, Kumasi, Ghana
Email: wkofie.pharm@knust.edu.gh

Received: 05 Jun 2014 Revised and Accepted: 03 Sep 2014


ABSTRACT

Objective: To synthesizeazo dyesand evaluate their antimicrobial potential.

Methods: A number of azo compounds were synthesized via diazotization of primary aromatic amine and subsequent coupling with naphthols or other coupling partners. The antimicrobial properties of these azo compounds were determined against six microbial species; Staphylococcus aureus(ATCC25923), Escherichia coli (ATCC10231), Mycobacterium smegmatis (clinical strain), Micrococcus luteus(ATCC10240), Pseudomonas aureginosa (ATCC 9027) and the fungusCandida albicans(ATCC10231) using the Kirby-Bauer Standard disc diffusion method. The minimum inhibition concentrations (MIC)were also determined for those compounds that exhibited antimicrobial activity.

Results: Two of the azo compounds showed inhibition against microbial agents, with p-NAαN in particular exhibiting very good antimicrobial properties. However, Pseudomonas aureginosa (ATCC 9027) was resistant against all the azo compounds.

Conclusion: p-NAαN showed broad spectrum of activity againstStaphylococcus aureus, Escherichia coli, Mycobacterium smegmatis, Micrococcus luteusand the fungal species Candida albicans, with p-ABAαN exhibiting activity against Candida albicans.

Keywords: azo, Diazotization, Antimicrobial, Disc diffusion method, Minimum inhibition concentration


INTRODUCTION

Microbial resistance is one of the world’s most pressing public health issues and has therefore become a great challenge as far as delivery of healthcare is concerned [1]. For instance, various strains of organisms are showing resistance towards current antimicrobial agents. Emergence of new strains of organisms is also contributing to the observed resistance to antimicrobial species [2]. This phenomenon has necessitated the quest for new range of antimicrobialsthat willcounter these observed resistances [3].

Although synthetically tractable, [4-6] azo dyes have received minimal attention in the search for more effective antimicrobial agents. Despitefew reported cases of antimicrobial properties of azo dyes [7-10], their investigation as potential antimicrobial agents has not been fully explored and, very little effort has beeninvested in search forazo dyes with microbial inhibition properties.

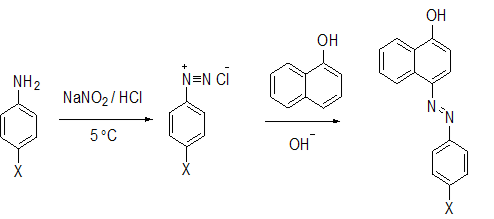
We present herein our findings, which reveal antimicrobial properties of synthetic azo dyes. As part of these preliminary investigations, a number of azo compounds were synthesized from diazonium intermediates [11-13] (which wereobtained from the corresponding aromatic amine), andan appropriate coupling partners [14]. These coupling partners included α-naphthol, β-naphthol, m-aminophenol and p-aminobenzoic acid. Scheme 1 represents a general route for the synthesis ofazo dyes. Sevenazo dyes namely, 4-((4-nitrophenyl)diazenyl)naphthalen-1-ol, 4-(4-hydroxynaphthalen-1-yl)diazenyl)benzoic acid, 1-(4-nitrophenyl)diazenyl)naphthalen-2-ol, 4-((2-hydroxynaphthalen-1-yl)diazenyl)benzoic acid, 4(4-amino-2-hydroxyphenyl)diazenyl)benzoic acid, 4-amino-3-(4-nitrophenyl)diazenyl)benzoic acid and 4-amino-3-((4-carboxylphenyl)diazenyl) benzoic acid were synthesized. These compoundsare coded according to their various reacting components; (p-NAαN, p-ABAαN, p-NAβN, p-ABAβN, p-ABAγNPhol, p-NBA-p-NA, p-ABA-p-ABA)Ŧ respectively, and are shown in table 1. The synthesized targets were then evaluated for potentialantimicrobial properties using the disc diffusion method [15].

Experimental

All reagents and solvents were obtained from BDH Chemicals as technical or analytical grade. Reaction progress was monitored using thin layer chromatography (tlc) technique, which was performed on pre-coated silica gel plate and visualized with UV light or anisaldehyde spray. Compounds were purified by recrystallization from appropriate solvent mixtures. Melting points were determined by open capillary method using Stuart melting point apparatus and are uncorrected. Infrared (IR) spectra were recorded using INTERSPECT spectrometer in the range 400–4000 cm-1. Ultraviolet-visible (UV-vis) spectra were measured on a Perkin Elmer spectrophotometer at 200-800 nm in MeOH, NaOH and acidified methanol.

Scheme 1: General route for the synthesis of azo dyes

General method for the synthesis of diazonium salt

Amine (15 mmol) was stirred in concentrated hydrochloric acid (20 ml) until a clear solution was obtained. The mixture was cooled to 0–5ͦC in an ice bath. A cold solution of sodium nitrite (50 ml) was then added drop-wise to the acidified amine solution, keeping the internal temperature of the mixture below 5ͦC. This was stirred for a further 30 min below 5ͦC to give the diazonium salt which was used immediately in the coupling reaction.

General method for coupling reactions

A mixture of naphthol (or coupling partner) (15 mmol) in 3 M NaOH (50 ml) was cooled to 5ͦC in an ice bath. This was then added to the cold benzenediazonium salt and the resulting mixture stirred slowly below 5 ͦC for 30 min. Crystals that precipitated were collected by filtration, washed with cold water and dried. Recrystallization from appropriate solvent gave the desired azo compound, table 1.

Table 1: Synthesized azo compounds and their physical data

Compound Mol. Formula Mol. Wt % Yield Melting Pt. °C Rf
C16H11N3O3 293.28 95.4 123-125(Water) 0.65
C17H12N2O3 292.29 72.2 288-290(Water) 0.66
C16H11N3O3 293.28 74.4 245-247(Water) 0.64
C17H12N2O3 292.29 93.3 243-245(EtOAc) 0.63
C13H11N3O3 257.24 87.3 260-262(EtOH: EtOAc)(90/10, v/v) 0.57
C13H10N4O4 286.24 88.4 122-125(EtOAc) 0.63
C14H10N4O5 314.25 71.1 190-192(EtOAc) 0.67

Coding of compounds in the table was derived from the names of two reacting components. Ŧ

Antimicrobial experiments

The synthesizedazo dyes were screened against micro bacterialagents, Staphylococcus aureus(ATCC 25923), Escherichia coli(ATCC 10231), Mycobacterium smegmatis(Clinical strain), Micrococcus luteus(ATCC 10240), Pseudomonas aureginosa(ATCC 9027) and the fungusCandida albicans(ATCC10231), using the disc diffusion method to determine their zones of inhibition. The organisms were cultured using tryptone soya broth. Samples were incubated for 24 h, with the bacteria species at 32 °C whiles the fungal species was incubated at 22 °C. Mycobacterium cells however, needed a 48 h incubation period.

Solutions of 20 mg/ml concentrations of the dyes were prepared in methanol, and these were sonicated for approximately 10 min. Sterile filter paper discs (6 mm perforation) were soaked in the solutions for 30 min, and allowed to dry at room temperature. Various concentrations of the test samples in methanol were obtained and used to prepare sterile filter paper discs. 0.1 ml each of the azo dye solutions was pipetted onto each tryptone soya plate and evenly spread using a swab stick before leaving to dry for 5 min. The filter paper discs were then placed on the inoculated plates and incubated for 18 h (48 h for Mycobacterium smegmatis) and the zones of inhibition determined at the end of the incubation period during which diffusion of the test solution affected the growth of the inoculated microorganism, aiding in determining the zones of inhibition.

Minimum Inhibitory Concentration (MIC) is defined as the lowest concentration of compound below which inhibition of micro-organisms would not be observed. These were determined by micro-dilution method which involved preparing the inoculums using 4.6 h broth culture of each microbial strain, adjusted to a turbidity equivalent to 0.5 McFarland Standard, and diluted in nutrient broth media to give cell count of 1.58 x 108 by approximation. Results for the zone of inhibition are shown in table 2.

Table 2: Zone of Inhibition (ZoI) for azo dyes at 20 mg/ml

Entry Compound S. aureus E. coli M. smegmatis M. luteus P. aureginosa C. albicans
1 p-NAαN 10.92±1.400 8.37±0.349 26.89±0.465 16.45±1.150 No zone 11.66±0.045
2 p-ABAαN No zone No zone No zone No zone No zone 6.94
3 p-NAβN No zone No zone No zone No zone No zone No zone
4 p-ABAβN No zone No zone No zone No zone No zone No zone
5 p-ABAγNPhol No zone No zone No zone No zone No zone No zone
6 p-NBA-p-NA No zone No zone No zone No zone No zone No zone
7 p-ABA-p-ABA No zone No zone No zone No zone No zone No zone
8 Blank Control No zone No zone No zone No zone No zone

ZoI; n = 3, values are mean±SEM (Standard Error of Mean)

RESULTS

Surprisingly, most of the compounds showed no antimicrobial activity against any of the test organisms, (Entries 3 to 7). It was, however, encouraging to see that p-NAαN and p-ABAαNshowed levels of inhibition against test organisms, (Entries 1 & 2). This is indicative that α-naphthol moiety may be aiding in the observed inhibitions. Thep-ABAαN showed inhibition against Candida albicans as shown in Entry 2. Thep-NAαN on the other hand showed inhibition against all the test organisms at 20 mg/ml, except Pseudomonas aureginosa, Entry 1. 4-((4-nitrophenyl)diazenyl)naphthalen-1-ol(p-NAαN) therefore became our main focus compound for further investigations.

This development led us to further investigate the minimum inhibition concentrations (MIC) that could be achieved with this synthetic dye. Solutions with varied concentrations of p-NAαN were prepared for our investigations. It was gratifying to observe that the dye, p-NAαN inhibited many test organisms at lower concentrations as shown in table 3.

Table 3: Percentage Zones of Inhibitionof p-NAαN against microorganisms at different concentrations

Staphylococcus aureus

Escherichia coli

Mycobacterium smegmatis

Micrococcus luteus

Candida albicans

Conc (mg/ml)

% ZoI

Conc (mg/ml)

% ZoI

Conc
(mg/ml)

%ZoI

Conc (mg/ml)

% ZoI

Conc (mg/ml)

% ZoI

10

100.000±0.00

20

100.00±0.000

10

100.00±0.000

10

100.00±0.000

10

100±0.000

8

82.373±4.563

18

 95.787±0.166

8

80.300±8.043

8

85.027±5.333

8

83.513±4.5959

6

73.660±4.923

16

90.750±0.392

-

-

6

73.92±7.127

6

78.150±5.575

4

59.900±4.578

14

87.347±0.822

-

-

4

59.783±7.363

4

64.483±1.179

2

48.533±3.678

12

81.3933±1.205

-

-

 

 

0.5

38.010±0.362

Cont.

No zone

Cont.

No zone

Cont.

No zone

Cont.

No zone

Cont.

No zone

Cont. = Blank control; ZoI; n =3, values are mean±SEM (Standard Error of Mean)

At 2 mg/ml and 1.5 mg/ml, p-NAαN showed inhibition against Staphylococcus aureus. Although the dye showed promising inhibition against E. coli, the lowest concentration for inhibition of Escherichia coli was observed at 12 mg/ml. For Mycobacterium smegmatis, inhibition was observed at 10 mg/ml and at 8 mg/ml. Micrococcus luteus was inhibited at concentrations as low as 4 mg/ml but, below this concentration, no inhibition was observed. The most interesting revelation involved the fungal species Candida albicans, which was observed to be inhibited at concentration of 0.5 mg/ml Based on the above information, the minimum inhibition concentration (MIC) of p-NAαN was obtained for the various microorganisms as shown in table 4. Whiles MIC of 0.02 mg/ml was revealed against C. albicans, p-NAαN showed MIC of 4.08 mg/ml, against the bacterium M. smegmatis, the highest MIC out of all the test organisms. This may be due to the acid fast nature and the thick biological membrane that is a feature ofM. smegmatis [16-17].

Table 4: Minimum Inhibition concentration (MIC) of p-NAαN for the various microorganisms

Microbes Minimum Inhibition Concentration (mg/ml)
S. aureus 1.22±0.096
E. Coli 1.26±0.107
M. Smegmatis 4.06±0.637
M. luteus 0.80±0.817
C. albicans 0.02±0.443

MIC; n = 3, values are mean±SEM

CONCLUSION

Seven azo dyes namely 4-((4-nitrophenyl)diazenyl)naphthalen-1-ol, 4-((4-hydroxynaphthalen-1-yl)diazenyl)benzoic acid, 1-((4-nitrophenyl)diazenyl)naphthalen-2-ol, 4-((2-hydroxynaphthalen-1-yl)diazenyl)benzoic acid, 4-((4-amino-2-hydroxyphenyl)diazenyl)benzoic acid, 4-amino-3-((4-nitrophenyl)diazenyl)benzoic acid and 4-amino-3-((4-carboxylphenyl)diazenyl)benzoic acidwere synthesized. Of these, 4-((4-nitrophenyl)diazenyl)naphthalen-1-ol (p-NAαN) and 4-((4-hydroxynaphthalen-1-yl)diazenyl)benzoic acid (p-ABAαN), have shown antimicrobial activities. 4-((4-nitrophenyl)diazenyl)naphthalen-1-ol (p-NAαN)in particular, has been shown to inhibit most strains of microorganisms at lower concentrations. We would therefore like to publish these findings. The results have encouraged us to further investigate synthetic analogues of these azo compounds with the hope of improving upon antimicrobial activity and provide firm comparison with standard antimicrobial agents. Results obtained from these structural modifications will form the basis for subsequent publications.

ACKNOWLEDGEMENT

We would like to acknowledge members of staff of Pharmaceutical Chemistry department, KNUST, for their support during this research work.

We gratefully acknowledge Ms Fafa Lily Madison (Microbiologist), LaGray Chemical Company Ghana, for her input and support, especially with antimicrobial screening.

CONFLICT OF INTERESTS

The authors have no conflict of interest in publication of this article

REFERENCES

  1. Arias Cesar, Murray BE. "Antibiotic-Resistant Bugs in the 21st Century-A Clinical Super-Challenge". N Engl J Med 2009;360(5):439–43.
  2. Wainwright M. Acridine-a neglected antibacterial chromophore. J Antimcrob Chem 2001;47(1):1-13.
  3. Klaus Hunger, Peter Mischke, Wolfgang Rieper, Roderich Raue, Klaus Kunde. Aloys Engel "Azo Dyes” in Ullmann’s Encyclopedia of Industrial Chemistry: Wiley-VCH, Weinheim; 2005.
  4. Peters AT, Freeman HS. Colour chemistry, The design and synthesis of organic dyes and pigments. Elsevier App Sci Pub Ltd; 1991. p. 193.
  5. Rudyk H, Knaggs MH, Vasiljevic S, Hope J, Birkett C, Gilbert IH. Synthesis and evaluation of analogues of Congo red as potential compounds against transmissible spongiform encephalopathies. Eur J Med Chem 2003;38:567-79.
  6. Garg HG, Praksh C. Potential antidiabetics. 11. Preparation of 4-arylazo-3,5-disubstituted-(2H)-1,2,6-thiadiazine 1,1-dioxides. J Med Chem 1972;15:435-6.
  7. Shridhar AH, Keshavayya J, Hoskeri Joy, Shoukat Ali RA. Synthesis of some novel bis 1, 3, 4-oxadiazole fused azo dye derivatives as potent antimicrobial agents. Int Res J Pure Appl Chem 2011;1(3):119-29.
  8. Avci GA, Ozkinali S, Ozluk A, Avci E, Kocaokutgen H. Antimicrobial activities, absorption characteristics and tautomeric structures of o, o’-hydroxyl azo dyes containing an acryloyloxygroup and their chromium complexes. Hacettepe J Biol Chem 2012;40(2):119-26.
  9. Rathod KM, Thakre NS. Synthesis and characterization of transition metal complexes of 4-Amino-5-pyridyl-4H-1,2,4-triazole-3-thiol. Chem Sci Trans 2013;2(1):25-8.
  10. Simu Georgeta Maria, Dragomirescu Anca, Grad Maria Elena, Savoiubalint Germaine, Andoni Mihaiela, Bals Gianina. 14th Electronic Conference on Synthetic Organic Chemistry; 2010.
  11. Ridd JH. Nitrosation, Diazotisation and Deamination: The kinetics of N-nitrosation of N-methyl aniline. Quart Rev Chem Soc 1961;15:418.
  12. Hegarty AF. The chemistryof diazonium and diazo groups. Patai S. Ed. Wiley: New York; 1978. p. 511-91.
  13. March Jerry, Advanced Organic Chemistry, Reaction Mechanisms and Structure. 4th Ed. Wiley Interscience; 1992. p. 635-7.
  14. Solomons TWG. Organic chemistry. 6th Ed. Wiley; 2013. p. 930-1.
  15. Gratton, Oakes. Kinetic investigations of the oxidation of arylazonaphthol dyes in hypochlorite solutions as a function of pH. J Chem Soc Perkin Trans 1998;2:2201-6.
  16. Sutcliffe IC, Harrington DJ. Lipoproteins of mycobacterium tuberculosis. Microbiol Rev 2004;28:645-759.
  17. Ortega YR, Sterling CR, Gilman RH, Cama VA, Díaz F. "Cyclospora species–a new protozoan pathogen of humans". N Engl J Med 1993;328(18):1308–12.