
Faculty of Biotechnology, Atma Jaya Catholic University of Indonesia, Jakarta 12930, Indonesia
Email: vivitri.dewi@atmajaya.ac.id
Received: 19 Mar 2015 Revised and Accepted: 05 Oct 2015
ABSTRACT
Objectives: The aim of this research is to investigate the better biological activities from Rilpivirine analogues based on their Quantitative Structure-Property Relationship (QSPR) and pharmacophore study.
Methods: In this study, we had designed six Rilpivirine analogues. The complementary aided-computational drug design and molecular docking was employed to find the best lead candidate. The drug-likeness properties of Rilpivirine analogues were defined by following the Rule of Five.
Results: The drug-likeness properties of Rilpivirine derivatives (RVN 1-6) were defined by the Rule of Five (RO5), which RVN3 compound showed the best RO5 score among others. However, the log P value of RVN1 and RVN4 are lower than 5, while RVN2, RVN3, RVN5 and RVN6 have log P values greater than 5. Based on the solubility, RVN1 and RVN4 compounds are more soluble than other analogues including Rilpivirine prototype (RVN). The topological polar surface area (TPSA) score of RVN1 and RVN4 showed greater scores compared to others. On the other hand, the TPSA score of all Rilpivirine analogues are below 140 Å2. The absorption, distribution, metabolism, and excretion (ADME) properties of Rilpivirine analogues were determined, according to blood brain barrier penetration were found within the range of-1.2 to-2.2, which RVN4 showed the lowest value compared to others, while RVN showed the highest value. The percentage of human intestinal absorption was observed 100% to all compounds. The plasma protein binding percentages was obtained within the range 99.03-99.57%. Moreover, the hydrogen bond donor contribution of all compounds was in the range 2-4 bonds, while the acceptor hydrogen bond was found 6 bonds from all compounds. The mutagenicity properties showed all compounds could cause mutagenic effect in long-term administration. The carcinogenicity tests were done in mouse showed positive results to all compounds, while carcinogenicity test in rat showed negative results upon all compound, except RVN3 which gave positive result. From molecular docking result, RVN 1 and RVN 4 showed higher potential inhibition activities to Reverse Transcriptase Human Immunodeficiency Virus Type 1 (HIV-1 RT) compared other analogues.
Conclusion: Non-nucleoside reverse transcriptase inhibitors (NNRTIs) have a great potential inhibition against HIV-1 RT. From high throughput computational approach, we suggested that RVN 1 and RVN 4 are the potential drug candidates which have better activity among other Rilpivirine derivatives.
Keywords: NNRTIs, Rilpivirine analogues, HIV-1 RT, QSPR, Molecular docking.
© 2016 The Authors. Published by Innovare Academic Sciences Pvt Ltd. This is an open access article under the CC BY license (http://creativecommons.org/licenses/by/4.0/)
INTRODUCTION
Reverse transcriptase (RT) of the Human Immunodeficiency Virus Type 1 (HIV-1) is an enzyme which has the critical role to viral replication in the infected host cell. HIV-1 RT consists of two subunits, p66 (66 kDa) subunit and p51 (51 kDa) subunit. The p66 subunit of HIV-1 RT acts two main roles: as DNA polymerase that reverse transcripts the single strand of RNA into the double strand of DNA, and as an endonucleolytic ribonuclease H (RNase H) that degrades the RNA from hybrid DNA. The p51 subunit of RT has only structural function. Based on its substantial role in the HIV-1 life-cycle, RT becomes a primary target for anti-HIV-1 agents.
To date, the anti-HIV-1 drugs against HIV-1 RT are progressively developed. The Non-Nucleoside Reverse Transcriptase Inhibitors (NNRTIs) are known as antiretroviral drugs inhibit the HIV-1 infection. NNRTIs are chemically different from the common nucleosides which are not involved in the intracellular metabolism for its activity. In general, NNRTIs are a group of small hydrophobic compounds (less than 600 Da) with various structure forms that particularly inhibit HIV-1.
NNRTI derivatives can be broadly categorized into first-and second-generation compounds [1]. The first generation NNRTIs, such as nevirapine, delavirdine, TIBO, and loviride (α-anilino-phenylacetamido (α-APA)), were mainly discovered by random screening and are associated with the rapid development of drug resistance mutations. The second generation NNRTIs, which including efavirenz, the quinoxaline talviraline (HBY-097), the Imidazole Capravirine, and Rilpivirine (TMC278) were developed as a result of comprehensive strategies involving molecular modeling, rationale-based drug synthesis and biological and pharmacokinetic evaluations. Second generation NNRTIs tend to be more potent than the first generation compounds, and in general are more active against a broader spectrum of drug-resistant strains of HIV-1 [1-4].
Rilpivirine (diarylpyrimidine, DPAY, trade name: Edurant) is a Non Nucleoside Reverse Transcriptase Inhibitor (NNRTI) which is approved for treatment of HIV-1 infection in antiretroviral-naive adult patients [5, 6]. Rilpivirine acts at the hydrophobic position near the NNRTI-binding site, resulting inactivation of the HIV-1 RT and terminating the HPV DNA synthesis [7]. Rilpivirine was selected for further study due to this compound is able to bind and inhibit the wild type of HIV-1 RT and a number of clinically relevant NNRTI-resistant variants. This ability derives from the geometrical flexibility of the compound within the HIV-1 RT binding pocket [8]. Further investigation of the Rilpivirine remains crucial role due to their activity against a wide range of drug-resistant variants, therefore it plays an important highly active antiretroviral therapy (HARRT) [9].
In our study, we utilize high throughput computational approach to design and analyze Rilpivirine analogues to overcome the rapid emergence of different type strain mutations which lead drug resistant by HIV-1 RT.
MATERIALS AND METHODS
Protein structure preparation
The 3D crystal structure of RT-Rilpivirine complex was extracted from Protein Data Bank (PDB ID 2ZD1). Subunit p66 was used in this experiment due to this subunit has a crucial role in binding to Rilpivirine. Subunit p51 and Rilpivirine molecule were removed from the structure. The structure of protein p66 was checked by using Procheck to validate its refined structural conformation. Ramachandran plot was used to analyze the allowed dihedral phi and psi rotations of the protein backbones [10].
Rilpivirine derivatives designed by quantitative structure–property relationship (QSPR)
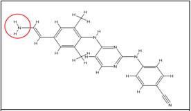
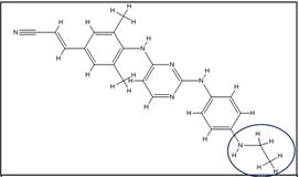
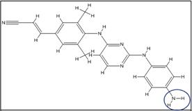
There are six molecules of Rilpivirine analogues were designed by substituting the–R1 and–R2 positions from both side chains of Rilpivirine. These molecules are: RV1, RV2, RV3, RV4, RV5 and RV6, respectively. The molecule structures are depicted in fig. 1. The structures were scored based on their physicochemical properties under Molsoft Drug-Likeness platform [11-14]. These physico-chemical properties are important for developing the drug candidate in every stage from design to pre-clinical study. The good lead candidates usually have higher values from the parental compound; nevertheless the analogue compounds could have similar drug likeness value as parental compound.
Adsorbtion, Distribution, Metabolism, Excretion and toxicity (ADMET) analysis
The ADMET properties of the drug should be highly considered in drug development. The early stage of ADMET identification will further carry the compound in drug screening. The undesirable ADMET properties of the compound will lead major failure in drug development. The ADMET prediction of drug candidates used ACD/I-lab (ACD/Structure Elucidator 2014) and FAF-Drugs2, which consists of compound bioavailability, blood brain penetration, human intestinal absorption, and percentage of plasma binding protein evaluation [15]. Lazar tool is used to determine toxicity prediction toward the living cell [16].
Molecular docking of RT-Rilpivirine analogues
The 3D HIV-1 RT was generated from PDB by maintaining the interface region and removing the subunit p51, ligand and water molecules using Chimera 1.8.1. All 3D Rilpivirine derivative structures were generated by Chem Draw Ultra 12.0 for the molecular docking experiments and their conformational energy were minimized by using MMFF94 force field. The final protein and ligand coordinates were saved as pdb files.
Molecular docking experiment is performed using Autodock Vina program (Vina, The Scripps Institute) [17]. The Autodock Tools is used to add partial charges by using Gasteiger method and to arrange the polar hydrogens in the protein. The ligand is set to have flexible torsion angles at all rotatable bonds, while the protein is prepared as a rigid structure. Both protein and ligand are s--aved as output pdbqt files. For specific docking of ligand rilpirivine derivatives onto the HIV-1 RT subunit p66, the grid box volume was adjusted to 28x28×28 Å in the x, y and z axes, respectively, with grid-sizes have a space within 0.450-0.835 Å. The binding energy values were calculated based on the total intermolecular energies (kj/mol) including hydrogen bond energy, Van Der Wall’s energy, desolvation energy and electrostatic energy. On the other hand, the fit torsion angles of ligand are also induced as internal ligand energy. The docking program will evaluate this energy to obtain the best binding mode. The Root-Mean-Square Deviation (RMSD) which less than 2.0Å was scored during the docking program was run.
RESULTS AND DISCUSSION
Protein structure preparation
The HIV-1 RT complex was retrieved from PDB and its structure was optimized using Chimera 1.8.1 program. The amino acid sequence of the protein is from 1 to 551 covers the full length of subunit 66 of HIV-1 RT. In human cell, the subunit p66 of HIV-1 RT is responsible to bind to RNA and causing DNA synthesis termination. HIV will start to build its DNA double strand from human RNA single strand template. Thus, subunit p66 is selected to be targeted by an inhibitor. The HIV-1 RT 3D structure is assesed by PROCHECK to analyze the allowed backbone residue torsions which quantified by Ramachandran plot. At the end, the 3D structure of subunit p66 is validated to be used as a protein model.
Rilpivirine derivatives designed by quantitative Structure–property relationship (QSPR)
The drug-likeness properties of Rilpivirine derivatives were defined by following the Rule of Five (RO5) [18], RVN3 showed the greatest score among others. The octanol-water partition coefficient log P value of RVN1 and RVN4 are lower than five as low as Rilpivirine, while RVN2, RVN3, RVN5 and RVN6 have log P value greater than 5. The solubility of RVN1 and RVN4 compounds are greater among others including Rilpivirine. The topological polar surface area (TPSA) [19] of all compounds were also done. The TPSA score of RVN1 and RVN4 showed greater score compared to others. However, the TPSA score of all RVN compounds still below 140 Å2. According to Lipinski`s Rule of Violation, RVN2, RVN3, RVN5 and RVN6 are found one violation based on their Log P value, while RVN1 and RVN4 showed no violation.
Adsorbtion, Distribution, Metabolism, Excretion and toxicity (ADMET) analysis
Further analysis of Rilpivirine derivatives was continued upon their ADME properties. The blood brain penetration were found within the range of-1.2 to-2.2, which RVN4 showed the lowest value compared to others, while Rilpivirine showed the highest value. The percentage of human intestinal absorption was observed 100% to all compounds. The plasma protein binding percentage was obtained within the range 99.03-99.57%. Moreover, the hydrogen bond donor contribution of all compounds was in the range 2-4 bonds, while the acceptor hydrogen bond was found 6 bonds from all compounds.
The toxicity predicition of Rilpivirine derivatives were assessed by Lazar program. The mutagenicity properties showed all compounds could cause mutagenic effect in longterm administration. The carcinogenicity tests were done in mouse showed positive results to all compounds, while carcinogenicity test in rat showed negative results upon all compound, except RVN3 which gave positive result. According to maximum daily dose, FDA recommended to administer this drug-like molecules within the range 0.0071 to 0.0113 mmol.
Molecular docking of subunit P66 with rilpivirine derivatives complex
Autodock Vina was run to predict the molecular docking of subunit p66 of HIV-1 RT with Rilpivirine derivatives. From docking result, nine conformers were found. One from out of nine was selected to be the best conformer with the lowest affinity energy value, associated to be the best interaction (data not shown). The best binding mode of Rilpivirine analogue conformers with subunit p66 is depicted in Fig.2.The binding energy value of Rilpivirine analogues are within the range-11.10 to-12.26 kj/mol. Amino acid residues of subunit p66 involved in interaction with the ligand have found in binding pocket of subunit p66, as showed in table 4. The 3D structure of the complex interaction was depicted in fig. 3.
Rilpivirine is one of NNRTIs belong to widely variant classes of compounds. Closer investigation showed that poly-aromatic rings of Rilpivirine have two nitriles in both outer side attach to benzenes. These nitriles have hydrophilic properties which allow them inhibit HIV-1 RT. Rilpivirine analogues were designed by substituting the nitriles with other groups. We further evaluated the designed analogues following Lipinski`s rule of five (RO5), which is shown in table 1. Lipinski`s rule of five is an important assessment to evaluate drug likeness; how drug-like is the substance based on its physicochemical properties. The aim of this evaluation is to find the compounds which have similar activity to the marketed drug molecules or clinical active candidates. The molecular properties important for a drug’s pharmacokinetics in living organisms should comply to Lipinski’s rule [20].
Drug-like molecules should have solubility in both water and fat, as an orally administering drugs need to pass through the intestinal pathway after it is consumed, carried in hydrophilic bloodstream and permeate the lipid cellular membrane to reach the target inside the cell. A model compound for the lipophilic cellular membrane is octanol, a lipophilic hydrocarbon. Thus, the logarithm of the octanol/water partition coefficient, which is known as Log P, is used to predict the solubility of a potential oral drug. Literally, Log P value of drug-like molecule is between 2.0 to 5.0 [20].
Thus, RVN1 and RVN4 have more favorable partition coefficient to penetrate the membrane cell compared to the other Rilpivirine analogues, as shown in table 2.
|
|
Rilpivirine (E)-4-((4-((4-(2-cyanovinyl)-2,6-dimethylphenyl)amino)pyrimidin-2-yl)amino)benzonitrile (C22H18N6) |
|
|
|
RVN1= (E)-3-(4-((2-((4-aminophenyl)amino) pyrimidin-4-yl)amino)-3,5-dimethylphenyl)acrylonitrile, C21H20N6 |
RVN2=(E)-3-(4-((2-((4-(ethylamino)phenyl)amino)pyrimidin-4-yl) amino)-3,5-dimethylphenyl)acrylonitrile. C23H24N6 |
|
|
RVN3= (E)-3-(4-((2-((4-(cyclopropylamino) phenyl) amino) pyrimidin-4-yl)amino)-3,5-dimethylphenyl) acrylonitrile. C24H24N6 |
RVN4= (E)-4-((4-((4-(2-aminovinyl)-2,6-dimethylphenyl)amino)pyrimidin-2-yl)amino)benzonitrile. C21H20N6 |
|
|
RVN5= (E)-4-((4-((4-(2-(ethylamino)vinyl)-2,6-dimethylphenyl)amino)pyrimidin-2-yl)amino)benzonitrile. C23H24N6 |
RVN6=(E)-4-((4-((4-(2-(cyclopropylamino)vinyl)-2,6-dimethylphenyl)amino)pyrimidin-2-yl)amino)benzonitrile. C24H24N6 |
Fig. 1: Chemical structures of Rilpivirine and its analogues. Red and blue circles show the substitution of R1 and R2 groups
Table 1: Molecular drug likeness properties of Rilpivirine and its analogu*Molsoft Drug-Likeness
Molecule Name |
Drug Likeness Score* |
Log P* |
Solubility (mg/l)** |
TPSA** |
Number of stereocenter** |
Lipinski`s Rule of Violation** |
Rilpivirine |
-0.06 |
4.89 |
2627.19 |
97.42 |
0 |
0 |
RVN1 |
0.13 |
4.52 |
3519.75 |
99.65 |
0 |
0 |
RVN2 |
0.27 |
5.36 |
1964.83 |
85.66 |
0 |
1 |
RVN3 |
0.35 |
5.78 |
1676.41 |
85.66 |
0 |
1 |
RVN4 |
0.10 |
4.90 |
3519.75 |
99.65 |
0 |
0 |
RVN5 |
0.20 |
5.27 |
1964.83 |
90.24 |
0 |
1 |
RVN6 |
0.27 |
5.69 |
1676.41 |
90.24 |
0 |
1 |
**FAF-Drugs
However, the other references showed that the allowable value of Rule of Five is within-0.4 to 5.6 [21-24], which means all Rilpivirine analogues could be acceptable in RO5. The other assessment of drug likeness based on the ability of drug-like molecule to efficiently soluble in water while the drug is transported in aqueous solution such as blood and intracellular fluid. RVN1 and RVN4 showed good solubility, this is also estimated from their sufficient number of hydrogen bond donors. Too many hydrogen bond donors will lead too low fat solubility, thus the drugs cannot penetrate the membrane cell to reach their target. On the other hand, the topological polar surface area (TPSA) of Rilpivirine analogues are less than 100 Angstroms squared have good sum polar functional group contributions in the drug like molecule 3D structures. TPSA parameter showed very well correlation with the human intestinal absorption, blood brain barrier penetration and plasma protein binding.
Drug-like molecules with too polar properties do not cross the BBB. The blood/brain partition coefficients were computed for accessing to the central nervous system (CNS). The predicted CNS activity was computed on a −2 (inactive) to+2 (active) scale and showed that all of the Rilpivirine analogues could be inactive in the CNS (predicted CNS activity<-1). At this point, Rilpivirine analogues are not subjected to penetrate BBB as well. The bioavailability of a compound depends on the processes of absorption and liver first-pass metabolism [25]. The % human intestinal absorption depends on the solubility and permeability of the compound, as well as interactions with transporters and metabolizing enzymes in the gut wall. It was observed that Rilpivirine analogues were predicted to have the maximum human intestinal absorption which are what we expected. The efficiency of drug-like molecules may be affected by the degree to bind to the proteins within the blood plasma. It is known that the binding of drugs to the plasma proteins (such as human serum albumin, lipoprotein, glycoprotein, and globulin) will decrease the quantity of the drug in the normal blood circulation, thus, the less bound a drug is, the more efficiently it can traverse cell membranes or diffuse [26-28]. The percent of human intestinal absorption calculations revealed that all Rilpivirine analogues showed>98%, which indicate in majority of Rilpivirine analogues concentration were found in the bound fraction with plasma protein. It means only small amount of Rilpivirine analogues in unbound fraction and they are circulated freely within the blood stream to reach the target site then excreted.
The assessment of drug-like molecule toxicity is also important in drug candidate screening. According to lazar toxicity prediction, it is clear that mostly designed Rilpivirine analogues have negative predicted toxicity level in rat while they showed positive carcinogenicity in mouse. However, all Rilpivirine analogues were found have mutagenic effect if it is administered in long-term therapeutic treatments. Therefore, The Federation of Drug Administration (FDA) has recommended the maximum daily dose to control drug administering effect to the body cells (table 2 and table 3).
Table 2: ADMET properties of the ligand molecules are calculated from ACD/I-lab server
Molecule Name |
Donor HB |
Acceptor HB |
Molecular weight |
Blood brain barrier penetration |
% human intestinal absorption |
% Plasma protein binding |
Rilpivirine |
2 |
6 |
366.16 |
-1.2 |
100 |
99.03 |
RVN1 |
4 |
6 |
356.17 |
-1.5 |
100 |
99.25 |
RVN2 |
3 |
6 |
384.21 |
-1.5 |
100 |
99.57 |
RVN3 |
3 |
6 |
396.21 |
-1.8 |
100 |
99.61 |
RVN4 |
4 |
6 |
356.17 |
-2.2 |
100 |
98.65 |
RVN5 |
3 |
6 |
384.21 |
-2.0 |
100 |
98.92 |
RVN6 |
3 |
6 |
396.21 |
-2.0 |
100 |
99.06 |
Table 3: Toxicity prediction of ligand molecules are obtained from Lazar server
Molecule Name |
Mutagenic Test |
Carcinogenicity (Mouse) |
Carcinogenicity (Rat) |
FDA recommended of max. daily dose (mmol) |
Rilpivirine |
Mutagen |
Positive |
Negative |
0.0082 |
RVN1 |
Mutagen |
Positive |
Negative |
0.0071 |
RVN2 |
Mutagen |
Positive |
Negative |
0.0113 |
RVN3 |
Mutagen |
Positive |
Positive |
0.0076 |
RVN4 |
Mutagen |
Positive |
Negative |
0.0081 |
RVN5 |
Mutagen |
Positive |
Negative |
0.0100 |
RVN6 |
Mutagen |
Positive |
Negative |
0.0113 |
To find the biological activities of Rilpivirine analogues, molecular docking was employed to investigate the favorable binding conformations of Rilpivirine analogues. The binding interactions were found in the pocket site of subunit p66 of HIV-1 RT (fig. 2). The interaction is found in the binding pocket is also confirmed from the x-ray crystal complex structure of HIV-1 RT with Rilpivirine. From six analogues, RVN1 showed the best affinity binding to HIV-1 RT compare to other analogues which also have the lowest binding energy-12.6 kcal/mol. This indicated that RVN 1 has the most favorable binding to HIV-1 RT and suggested has the highest HIV-1 RT inhibition followed by RVN 4 with binding energy-11.60 kcal/mol (table 4). RVN 1 and RVN 4 were then chosen out of 6 analogues based on allowed Log P value less than 5 of Lipinski’s rule of five.

Fig. 2: The complex of HIV-1 RT with ligand molecules in binding pocket of subunit p66 HIV-1 RT. Distinct colors of ligands show favorable conformer modes
They were further analyzed to find chemical interaction with HIV-1 RT. The interaction between HIV-1 RT and RVN 1 was stabilized by hydrophobic interaction in the pocket site where residues of HIV-1 RT involved are Leu100, Lys103, Val179, Tyr181, Tyr188, Phe227, Trp229, and Leu234. On the other hand, the interaction is also found between HIV-1 RT with RVN 2 was stabilized also with hydrophobic interaction which residual involved of HIV-1 RT such as Leu100, Lys103, Val179, Tyr181, Tyr188, Phe227, Trp229, Leu234, and His235. These involved residues of HIV-1 RT may vary with RVN 1 and RVN 2 due to these ligands has distinct flexible bonds which allow them to freely rotate in favorable orientation. It is also clear that the imidazole ring of His235 has significant role to stabilized the binding interaction with the ligands (fig. 3).
This study serves as a chance in pursuit the great potential inhibitor activities against HIV-1 RT to complement the commercially available inhibitors of NNRTs; and as an effort to develop antiretroviral HAART regimens [29-32]. This exploration has become beneficial to gain a lead structure by aided-computational drug design and docking which could lead the precise rational drug design approach with time-consuming reduction and cutting high cost. This is due to the insights mechanism into the target binding sites which have been revealed unambiguously by protein X-ray crystallography technique. Moreover, the future design of HIV-1 inhibitor has to have more ability to be orally route administering besides by subcutaneously injection. Thus, the frequent occurrence of painful injection side effects could be limited for long-term application.

Fig. 3: Hidrophobic interaction between HIV-1 RT with ligand: a. Complex interaction between HIV-1 RT with RVN1, b. Complex interaction between HIV-1 RT with RVN4. Red color are the ligands and multiple color are the HIV-1 RT residues
Table 4: Docking Interactions and binding energies are generated from Autodock Vina
Molecule Name |
Binding energy (kcal/mol) |
Residue involved in interaction |
Rilpivirine |
-12.6 |
Leu100, Lys103, Val179, Tyr181, Tyr188, Phe227, Trp229, Leu234, His235 |
RVN1 |
-12.0 |
Leu100, Lys103, Val179, Tyr181, Tyr188, Phe227, Trp229, Leu234 |
RVN2 |
-11.4 |
Trp229, Tyr188, Phe227, Leu234, His235, Val106, Pro236, Tyr318, Leu100, Lys101,Tyr181 |
RVN3 |
-11.20 |
Leu100, Lys101, Lys103, Val108, Val179, Tyr181, Tyr188, Pro225, Phe227, Trp229, Leu234, His235, Pro236, |
RVN4 |
-11.60 |
Leu100, Lys103, Val179, Tyr181, Tyr188, Phe227, Trp229, Leu234, His235 |
RVN5 |
-11.10 |
Leu100, Lys103, Val179, Tyr181, Tyr188, Pro225, Phe227, Trp229, Leu234, His235 |
RVN6 |
-11.10 |
Leu100, Lys101, Lys103, Val106, Val179, Tyr188, Phe227, Trp229, Leu234, His235 |
CONCLUSION
The designed drug-like molecules had been successfully evaluated computationally on the basis of QSPR and pharmacophore study which would be more effective and potent in pre-clinical and clinical trials compares to the prototype molecules. The binding conformations of Rilpivirine analogues inside the non nucleoside binding pocket of HIV-1 RT were determined by docking approach and their binding affinities have been predicted. The binding mode of the inhibitors clearly shows a common mode of interaction upon binding to the HIV-1 RT allosteric site. This study would need further evaluation in wet experiments including in-vitro and in-vivo studies to convince the high potency of Rilpivirine analogues in inhibiting HIV-1 RT.
CONFLICT OF INTERESTS
Authors declare that there is no conflict of interest in the article content.
REFERENCES