Int J Pharm Pharm Sci, Vol 7, Issue 8, 17-29Review Article


PHYTOCHEMICALS AND PHARMACEUTICAL POTENTIAL OF DELONIX REGIA (BOJER EX HOOK) RAF A REVIEW

SALONI SHARMA, SAROJ ARORA*

Department of Botanical & Environmental Sciences, Guru Nanak Dev University, Amritsar (Punjab) 143005
Email: drsarojarora123@gmail.com

Received: 27 Mar 2015 Revised and Accepted: 15 Jun 2015


ABSTRACT

Traditionally Delonix regia (Boj.) Raf. has been used in various ailments such as chronic fever, antimicrobial, constipation, inflammation, arthritis, hemoplagia, piles, boils, pyorrhea, scorpion bite, bronchitis, asthma and dysmenorrhoea. However, there is little experimental evidence for its traditional use. In this review an attempt has been made to gather and compile the scattered traditional information along with the experimental evidence on the beneficial properties of Delonix regia (Boj.) Raf. The plant shows diverse therapeutic prospective such as antifungal, antibacterial, antioxidant, antiemetic, larvicidal, hepatoprotective, anti-diarrhoeal, anti-inflammatory, antimalarial, anthelmintic, antiarthritic, wound healing and anticarcinogenic potential. It possess copious phytochemicals, viz. saponins, alkaloids, carotene, hydrocarbons, phytotoxins, flavonoids, tannins, steroids, carotenoids, galactomannon, lupeol, β-sitosterol, terpenoids, glycosides and carbohydrates, in leaves, flowers, bark and roots. Though Delonix regia (Boj.) Raf. has been widely used in traditional medicines in various ailments, yet studies need to be conducted to explore the potential phyto-constituents of this plant for the prevention of various other diseases and to further unravel, characterize, patent and commercialize the protective components from different parts of this plant for the benefit of humans.

Keywords: Delonix regia, Phytochemicals, Antioxidants, Traditional Medicines, Pharmaceutical potential.


INTRODUCTION

The generic name, ‘Delonix’, is derived from Greek words-delos (visible), and onyx (claw), due to the conspicuously clawed petals. The specific name, ‘regia’, is from the Latin word ‘regis’ (royal, regal, magnificent). It is called as chura, radha (in Bengali), royal, flamboyant, poinciana (in French), gul mohr, shima, sunkesula (in Hindi), mayirkonrai, panjadi (in Tamil), flamboyant flame tree, gold mohur, flame tree, peacock flower, gul mohr and royal poinciana (in English).

The plant Delonix regia belongs to family Fabaceae, sub-family Caesalpinioideae. It is a tree (10-15 m high, girth of upto 2 m) with many branches and umbrella shaped crown. It has biparinnate, alternate, light green, feathery leaves, 10-25 pairs of pinnae, each having 12-40 pairs of small leaflets. Near the end of the twig are present 15-30 cm long corymbs, which are borne laterally, each having loosely arranged slightly fragrant orange-red flowers, which literally cover the tree from May to June. Petals (5-6.5 cm, 2-3 cm wide) are broadly spoon shaped. The tree is native to Madagascar and has been widely planted for the last 150 years as a garden and avenue tree in both dry and moist regions of tropical India. It is distributed in the countries like Brazil, Burkina Faso, Cyprus, Egypt, Eritrea, Ethiopia, India, Jamaica, Kenya, Mexico, Nigeria, Singapore, South Africa, Sri Lanka, Sudan, Tanzania, Uganda and United States of America. Light is required for its growth but under shade, it grows weakly and sparsely. It grows in areas with both high and scanty rainfall. Trees are deciduous only where the dry season is long and pronounced [1, 2].

There is ample literature that emphasizes the traditional use of this plant in countries such as India, Bangladesh, Zambia and Cameroon. Though some workers have also explored its bioactivities; yet there is meager experimental evidence for its traditional use. The phytochemicals in this plant possess diverse biological activities including protection against various pathogens. The enormous significance of the phyto-constituents in Delonix regia cannot be ignored and comprehensive insight into their function in various fields and the mechanisms operating behind them is essential. The present review focuses on the beneficial bioactivities of Delonix regia such as antifungal, antibacterial, antioxidant, antiemetic, larvicidal, hepatoprotective, anti-diarrhoeal, anti-inflammatory, antimalarial, anthelmintic, antiarthritic, wound healing and anticarcinogenic potential, along with their experimental evidence and mode of action.

Traditional use

The Shaiji community in Southwestern Bangladesh used the flowers of Delonix regia for curing chronic fever [3]. 250 g of flower were boiled in 1.5 l of water (1/2 h) and 2 ml of the boiled mixture was taken morning and evening successively for some days. During the study on the traditional medicines and herbal plants of Nigeria the flowers of Delonix regia possessed antibacterial activity [4]. The medicinal plants were used to cure wounds in Darikal Gaon of Tezpur, in Assam (North-East India). 19 sp. of plants belonging to 16 families were used in diseases and ailments; Delonix regia being one of them. The leaves of Delonix regia were crushed and applied on wounds [5]. The leaves of Delonix regia (Boj. Ex. Hook) Raf. have been used to treat constipation, inflammation, arthritis and hemiplagia; in Koothanoallur and Marakkadai, Thiruvarur district of Tamil Nadu, India [6].

The leaves and fruits were used in piles and helminthiasis in the areas of Pirojpur district, Bangladesh [7]. The investigation conducted on Sylhet district, Bangladesh revealed the use of leaves and fruits in piles and boils. Fruits eaten for piles and crushed leaves and fruits applied to boils [8]. The bark used as traditional fever remedy in Zambia [9]. Delonix regia has been used by the tribal belts in Birbhum district, West Bengal, India [10]. Delonix regia, an ethnomedicinal plant possessed antibacterial activity [11]. The different parts of Delonix regia were used by the tribes of Chhatarpur district, Madhya Pradesh, India [12] for the treatment of diseases. The seeds were used in pyorrhea; the roasted and crushed leaves were wrapped in a cloth and inhaled just after scorpion bite; infusion of flowers was used in bronchitis, asthma and malarial fever. The leaves were also used in rheumatism and as purgatives. The plant has antirheumatic and sparmogenic potential. The bark showed antiperiodic, febrifuge potential; aqueous and ethanol extract of flowers were used against round worms [13].

Delonix regia has been reported to be used by the people of Patan district, North Gujarat (India) in traditional medicines [14]. It is also present in the list of traditional plants used by people of Bangangte region, Western Cameroon in the treatment of peptic ulcer [15]. The usage of Delonix regia in traditional medicines was confirmed in a survey of Chittoor district in Andhra Pradesh, India. The people of Yanadi (a tribal community in Andhra Pradesh, India) used flowers of Delonix regia in the treatment of dysmenorrhoea [16]. The water extracts of flowers were also used in traditional healthy beverages in several African counties. It is a part of local medicine and traditional bioproducts [17].

Experimental evidence for traditional use

Pharmaceutical potential

The floral extracts of Delonix regia were used by the local people of Chittoor district, Andhra Pradesh, India for treating fungal infection [18]. The zone of inhibition for ethanol extract was found to have diameter of 13 mm against Candida albicans in agar well diffusion assay. Tetracycline and DMSO were used as positive and negative controls, respectively. The antimicrobial evaluation by other workers is shown in table 1. The plant also possessed gastroprotective [19], antiemetic [20], larvicidal [21, 22], hepatoprotective [23, 24], anti-diarrhoeal [25, 26], anthelmintic [27], antiarthritic [28], antiulcer [29], biotermicidal [30], glucose tolerance [31], wound healing [32], anti-inflammatory [33], antimalarial [34, 35] and anticancer potential [24] as shown in table 2.

The database of antidiabetic plant sp. was made, Delonix regia being one of them [36]. Leaf extract of Delonix regia were used as antidiabetic [37]. The assessment on the wound healing medicinal plants was conducted [38]. Significant anti-inflammatory and analgesic (pain killing) activity was shown by the flavonoid-rich fraction of flowers of the plant in the studies conducted at the Indian Veterinary Research Institute (IVRI), using various experimental models [39]. The plant decoction (AM-1), formulated from Jatropha curcas, Gossypium hirsutum, Physalis angulata and Delonix regia was used to treat malaria [40]. The AM-1 was found to eliminate the malarial parasites (Plasmodium falciparum and Plasmodium malarie) from the peripheral blood of patients with malaria. The flowers of the plant were also reported to be used in the formulation and evaluation of sunscreen [41].

Table 1: Pharmacological activities of different parts of the plant Delonix regia (Boj.) Raf

Activity Plant part Extract type Dose/Conc. Strains/Organism studied Control Results Reference
Antimicrobial Leaves, flowers and bark Absolute ethanol, absolute methanol, absolute acetone, 80% methanol, 80% ethanol, 80% acetone and deionised water Pseudomonas stutzeri, Pseudomonas aeruginosa, Escherichia coli (bacterial strains) and Aspergillus oryzae, Aspergillus niger, Fusarium solani (fungal strains). Amoxicillin and flumequine (positive bacterial and fungal standards); whereas respective solvents were taken as negative standards. 80% methanol extract of leaves and flowers showed MIC of 20±0.8 and 23±1.3 mg/ml, respectively against Pseudomonas stutzeri. [42]
Flowers and seeds Metabolite rich fractions such as flavonoids, anthraquinones and sterols 0.4 g/ml Aspergillus niger, Aspergillus flavus, Rhizopus bataticola and Fusarium auxisporum. Clotrimazole Acetone extract showed 23 and 18 mm zone of inhibition against. Aspergillus niger. [43]
Leaves Ethanol 20 g/50 ml Lactobacillus sp., Streptococcus mitis, Candida albicans and Aspergillus niger. 23.25 mm and 22.62 mm diameter against Aspergillus niger and Streptococcus mitis respectively. [44]
Flowers Ethanol 6.25, 12.5, 25 and 50 mg/ml Escherichia coli and Pseudomonas aeruginosa Streptomycin (10 mg/ml), Amphotericin (10 μg/disc) MIC values of 50 and 25 mg/ml. [45]
Root bark Methanolic 100 mg/ml and 200 mg/ml Esherichia coli, Pseudomonas aeruginosa, Klebseilla pnenomia (Gram negative) and Staphylococcus aureus, Staphylococcus pnenomia, Bacillus subtilis (Gram positive) Ampicillin (50 µg/ml) 16 mm and 21 mm zone of inhibition against Staphylococcus aureus. [46]
Stem Bark Petroleum Ether, CCl4 and dichloromethane 15 µg mm-2 Esherichia coli, Bacillus subtilis, B. cereus, B. megaterium, Staphylococcus aureus, Sarcina lutea, Pseudomonas aeruginosa, Salmonella typhi, Salmonella paratypi, Shigella boydii, S. dysenteriae, Vibro minicus V. parahemolyticus; Candida albicans, Aspergillus niger, Sacharomyces cerevisiae Kanamycin (1.06 µg mm-2) 9-14 mm, 11-13 mm and 9-20 mm, zone of inhibition. [47]
Stem bark Methanolic 100, 250, 500, 1000, 2000 and 4000 µg/ml Pectobactereium carotovorum subsp. Wasabiae, Pectobacterium carotovorum subsp. Carotovorum, Pectobactereium carotovorum subsp. Atrosepticum, Dickeya dianthicola, Dickeya chrysanthemi Tetracycline 11, 10, 6, 13, 15 mm diameter. [48]
Leaves and flowers Methanol 20 mg/ml in 25% DMSO Staphylococcus aureus, Salmonella typhi, Candida albicans and Crytococcus neoformans. Streptomycin and fluconazole 1.3, 1.1, 3.9 against Staphylococcus aureus; 1.5, 1.4, 3.6 against Salmonella typhi, respectively. 1.6, 0.8, 3.9 against Candida albicans; 1.6, 1.2, 4.1 against Crytococcus neoformans by DLME, DFME and fluconazole. [49]
Leaves and seeds petroleum ether, chloroform and ethanol 20 ml Bacillus subtilis, Escherichia coli, Enterobacter aerogenes, Micrococcus luteus, Pseudomonas aeruginosa Chloramphenicol Petroleum ether extract of leaves showed maximum zone of inhibition (24 mm diameter), whereas chloroform extract of seeds showed 35 mm against Escherichia coli; followed by 34 mm against Pseudomonas aeruginosa. [50]
Leaves Methanol 1.6, 3.125, 6.25, 12.5, 25 mg/ml Escherichia coli, Klebsiella pneumonia, Pseudomonas aeruginosa, Bacillus subtilis, Staphylococcus aureus and Streptococcus epidermidis, Streptomycin MIC value of 100, 50, 100, 25, 50 and 100 mg/ml. [51]
Flowers 70% ethanol 100 mg/ml Staphylococcus aureus, Salmonella typhi, Salmonella typhimurium, Salmonella paratyphi, Escherichia coli, Shigella dysenteriae and Pseudomonas aeruginosa; five filamentous fungi, Aspergillus niger, Alternaria alternata, Fusarium chlamydosporium, Rhizoctonia bataticola, Trichoderma viridae and a yeast, Candida albicans Chloramphenicol Maximum zone of inhibition against Shigella dysenteriae (16-20 mm). 25-30 mm against Alternaria alternate and Fusarium chlamydosporium (fungal strains). [52]
Gastroprotective Flowers 70% ethanolic 100, 250 and 500 mg/kg. p. o Wister albino rats Lansoprazole Antiulcer activity in a dose dependent manner. [19]
Antiemetic Leaves Methanolic 150 mg/kg body weight Male chicks Chlorpromazine (150 mg/kg body weight) 96.74% antiemetic activity. [20]
Larvicidal Flowers Methanol 0.25%, 1%, 4% 3rd instar larvae of Teak defoliar Hyblaea puera Cramer Respective solvents and tween 20 used as controls. 84% and 100% mortality at 1% and 4%. [21]
Flowers Acetone 0.5, 1.0 and 2.0 mg/ml 3rd instar larvae of Aedes aegypti DMSO LC50 and LC95 were found to be 1.07 and 3.02 mg/ml, respectively [22]
Glucose tolerance Leaves Methanolic 400 mg/kg Hyperglycemic mice Glibenclamide 42.46% activity [31]
Wound healing Flowers Aqueous and ethanolic 5% and 10% Albino rats albino rats by using incision and excision wound models 5% w/w povidine ointment (excision wound model) and normal saline (incision wound model) Increase in the wound breaking strength, percentage of wound contraction, increased hydroxyproline content and decreased epithelization period. [32]
Hepatoprotective Aerial parts Methanol 400 mg/kg Wistar albino rats with hepatotoxicity induced by CCl4 Silymarin (50 mg/kg) Significant reduction in serum enzymes AST (aspartate aminotransferase), ALT (alanine aminotransferase), ALP (alkaline phosphatase), ALB (albumin), ALP (total protein), DBIL (direct bilirubin) and TBIL (total bilirubin). [23]
Leaves Alcoholic 50, 100 and 200 mg/kg Sixty male adult albino rats (180-200 g) Carbon tetrachloride (CCl4) in sunflower oil, 1 ml/kg Dose dependent reduction in serum aspartate aminotransferase, alanine aminotransferase and alkaline phosphatase as well as total and direct bilirubin. [24]
Anticancer Leaves Alcoholic 1 mg/ml HepG2 cell line (SRB assay) Doxorubicin (Dox)

IC50 values for cells treated with extract and

Dox were 20.4 and 4.15 lg/ml, respectively following 48 h.

[24]
Anti-diarrhoeal Flowers Ethanolic 100, 250, 500 mg/kg In-vivo anti-diarrhoeal activity in experimental induced diarrhea in Wistar albino rats Loperamide (1 mg/kg) Dose dependent anti-diarrhoeal effect. [25]
Anti-inflammatory Leaves Ethanol 100, 200 and 400 mg/kg Carrageenan-induced rat paw edema Indomethacin (10 mg/kg) 48.1% reduction in carrageenan-induced rat paw edema at 400 mg/kg after 3 h. [33]
Anthelmintic Flowers and leaves Methanol and water 25, 50, 100 mg/ml Pheritima posthuma (Indian earthworm Piperazine citrate (10 mg/ml) Time of paralysis and death was found to be 11 and 17 minutes; 12 and 18 minutes by methanol and aqueous extracts, respectively. Crude aqueous extract of the leaves exhibited paralysis of 12 minutes and time of death of 18 minutes. [27]
Antimalarial Leaf, fruit peel, bark, seeds and flowers Hexane, chloroform, methanol, ethanol and water 72.8 mg/kg In-vivo test on mice infected by Plasmodium berghei. DMSO (negative control) Bark and fruit peel extract was found to be highly effective producing inhibition of 122% and 117% respectively. 87.45%, 75.99% and 78.43% inhibition was seen in case of extracts of seeds, flowers and leaves. [34]
Seeds Ethanolic and aqueous extracts 0.02, 0.05, 0.1 0.2, 0.5, 1, 2, 5, 10, 15, 20 mg/ml 2nd instar larvae of Anopheles gambiae (L.). 50 ml of distilled water+2% ethanol LC50 for ethanolic and aqueous extracts was found to be 1.40 mg/ml and 11.50 mg/ml, respectively. [35]
Antiarthritic Flowers Alcoholic 200 mg/kg and 400 mg/kg Adult female Wistar rats Diclofenac (5 mg/kg) Significant reduction in the paw edema volume [28]
Antiulcer Flowers Ethanolic 100, 200 and 400 mg/kg ethanol induced ulcer model in experimental rats 8 mg/kg of lansoprazole % of protection was found to be 34.73%, 63.90% and 76.40% at 100, 200 and 400 mg/kg. [29]
Biotermicidal Bark extract Chloroform, methanol, ethyl acetate, n-hexane and water 0.5,1 and 5% Termite workers (Anacanthotermes sp. F. Hodotermitidae) The solvents for extraction of the extracts served as controls 80% mortality rate by chloroform extract at 5%, followed by 65% at 1% concentration after 48 h. [30]
Formulation and evaluation of sunscreen cream Flowers Hexane, ethyl acetate and ethanol 200 µg/ml Presence/absence of microbes and rabbit skin test Spectrophotometry and UV 2000S ultraviolet Transmittance Analyzer showed SPF of 3.99 and 3.92, respectively. [41]
Insecticidal Leaves Methanol 2.5, 5, 7.5 and 10 mg/ml for larvae of Artemia salina; 2, 4, 6, 8 and 10 mg/ml for adult of Sitophilus oryzae Larvae of Artemia salina, adult of Sitophilus oryzae Streptomycin 70%, 80%, 90% and 100% mortality against the larvae of Artemia salina after 24 h; whereas 20%, 35%, 30%, 35% and 100% mortality against the adult of Sitophilus oryzae. [51]
Leaves Acetone 25%, 50%, 75% and 100% dose Eggs of pulse beetle, Callosobruchus chinensis

19.64%, 31.58%, 53.84% and 65.79% egg mortality.

.

[53]

Table 2: Antioxidant activities of different parts of Delonix regia (Boj.) Raf

Plant part Extract type Assay Result Reference
Leaves, flowers and bark

80% methanol, 80%

Ethanol, deionized water, absolute methanol, absolute ethanol, 80% acetone, absolute acetone.

Total phenol and total flavonoid content 80% methanol extract of leaves showed 3.63 g GAE/100 g DW of total phenolic content and 1.19 g CE/100 g DW of total flavonoid content [42]
DPPH assay IC50 of 8.89 µg/ml in DPPH scavenging activity.
Antioxidant Activity of Extracts in Linoleic Acid Peroxidation System Inhibition of peroxidation in leaves (85.54%) and flowers (79.69%) extracts (80% methanol) was higher than that of bark extract (52.3%),
Flowers Alcoholic extract (AE) Total phenol and total flavonoid content 34.44 mg/g and 30.45 mg/g of total phenolic and flavonoid content respectively [54]
Flowers Methanol crude extract Total phenol content Total phenolic content was found to be 169.67 mg GAE/g dw. [55]
Leaves 95% ethanol Total phenol, total flavonoid content and DPPH assay Total flavonoid and total phenolic content was found to be 0.20 mg/100g GE, and 16.00 mg/100 g of GAE. In DPPH assay, the leaves were found to show 10.73 mg/100g of ascorbic acid equivalent antioxidant capacity (AEAC). [56]
Leaf, fruit and stem bark Condensed tannins DPPH and FRAP assay In DPPH and FRAP assay, the IC50 was found to be 90±2, 115±3, 161±9 µg/ml and 5.42±0.09, 3.39±0.08, 3.80±0.15 mM AAE/g, by stem bark, fruit and leaf extract, respectively [57]
Floral Petal Hexane, EtOAc, Acetone, methanol, Water and crude pigment extracts Anthocyanin, total phenolics and total carotenoid content The anthocyanin, total phenolics and total carotenoid content was found to be 5.8 µg/g, 33.5 mg/g and 694 µg/g respectively. [58]
NO assay At 50 ppm, the hexane extract and the crude pigment extract showed 93.9% and 93.1% NO scavenging activity respectively.
Stem bark Methanol extract DPPH activity % antioxidant activity was 78.35% which was close to gallic acid (80%) [48]
Leaves and flowers Methanol extract DPPH and ABTS assay Leaves and flower extract showed IC50 of 35.97 and 41.19 µg/ml in DPPH assay and 22.50, 24.88 µg/ml ABTS assay, respectively [49]

Antioxidant potential

The different parts of Delonix regia possess diverse antioxidant capacity. The antioxidant potential of the plant has been explored by various workers as shown in table 2.

Phytochemicals in Delonix regia

The wide pharmacological and antioxidant potential of Delonix regia might be due to the presence of immense phytochemicals (table 3). Bark contains β-sitosterol, saponins, alkaloids, carotene, hydrocarbons, phytotoxins and flavonoids [59], whereas flowers contain tannins, saponins, flavonoids, steroids, alkaloids, carotenoids; seeds contain saponins, and leaves have lupeol and β-sitosterol [54]. Tannins, terpenoids, alkaloids, glycosides, carbohydrates and sterols were reported to be present in the root bark of Delonix regia [60]. The preliminary phytochemical analysis of alcoholic extract (AE) of flowers was found to contain proteins, amino acids, cardioglycoside, alkaloids, flavonoids, tannins and phenolic compounds [54]. Carbohydrates and saponins were found in the water, chloroform and methanol extracts of seeds of Delonix regia, whereas in the chloroform and methanol extracts, flavonoids were also detected [61].

The chemical components and fatty acid content in the seeds and seed oils of Delonix regia was studied. Delonix regia was reported to contain 7% of crude fat, 45.2% of crude protein and 39.5% of carbohydrate content. Neutral, glycolipids and phospholipids with values of 80.2±0.5, 13.6±0.1, and 6.2±0.5 respectively were found. Hydrocarbons, ergost-5-en-3-ol, sitosterol and ergost-4-en-3-one were also detected [62]. The qualitative and quantitative distribution of carotenoids was studied in different parts of flowers of Delonix regia. Petals were found to contain 29 carotenoids viz. phytoene, phytofluene, β-carotene, γ-carotene, lycopene, rubixanthin, zeaxanthin, lutein etc. Sepals were found to contain 18 (phytoene, phytofluene, β-carotene, γ-carotene, lycopene, etc), whereas filaments contain 20 (phytoene, β-carotene, γ-carotene, lutein, zeaxanthin, antheraxanthin, flavoxanthin and other epoxy carotenoids) carotenoids. Anthers were reported to contain the highest concentration of carotenoids, from which 90% was zeaxanthin [63].

Alkaloids, flavonoids, proteins, tannins, carbohydrates, phenols, triterpenes and steroids were found to be present in Delonix regia flowers [45, 25, 31, 55]. Three major anthocyanins in the water extract of Delonix regia flowers were characterized. LC-MS was used to confirm the molecular structure. Cyanidin 3-O-rutinoside and pelargonidin 3-O-rutinoside were identified in the concentration of 10.7 and 0.9 mg/l respectively [64]. The GC-MS analysis of the leaves extract revealed the presence of benzenetriol, butyl-8-methylnonyl ester, lupeol and vitamin E as the major compounds [56].

The structure of the condensed tannins isolated from leaf, fruit and stem bark of Delonix regia was investigated by using [13]C Nuclear Magnetic Resonance (13C NMR), high performance liquid chromatography electrospray ionization mass spectrometry (HPLC-ESI-MS) coupled with thiolysis and matrix-assisted laser desorption/ionization time-of-flight mass spectrometry (MALDI-ToF MS) analysis. The condensed tannins of leaf, fruit and stem bark were reported to be tyrosinase inhibitors with IC50 values of 38±1, 73±2, and 54±1.5 µg/ml, respectively [65].

Table 3: Phytochemicals present in different parts of the plant Delonix regia (Boj.) Raf

S. No. Phytochemicals Structure Plant part Reference
1. Kaempferol 3-rhamnoside Leaves [24]
2. Quercetin 3-rhamnoside
3. Kaempferol 3-glucoside
4. Kaempferol 3-rutinoside
5. Kaempferol 3-neohesperidoside
6. Quercetin 3-rutinoside
7. Quercetin 3-glucoside
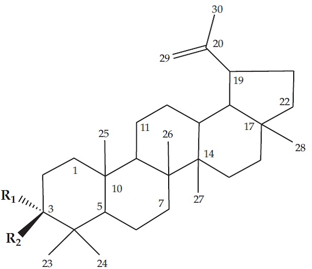
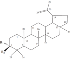
8. Lupeol

R1 = H; R2 =OH

Stem bark [47,59]
9. Epilupeol

R1 = OH; R2 =H

10. β-sitosterol

11. Stigmasterol

12. p-methoxybenzaldehyde
13. Cyanidin 3-O-glucoside Flowers [64,65]
14. Cyanidin 3-O-rutinoside
15. Pelargonidin 3-O-rutinoside
16. Phytol Leaves [56]
17. Coumarin 7, 8-dihydro-7-hydroxy-6-methoxy-8-oxo
18. Squalene
19. Vitamin E
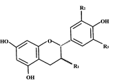
20. Propelargonidin (PP)
R1 = OH; R2 = H; R3 = H
Leaves, fruit and stem bark [57]
21. Prodelphinidin (PD)
R1 = OH, R2 = OH, R3 = OH
Leaves
22. Carotene Bark [59]
23. 2-hydroxy-5-[(3,4,5 trihydrioxrphenyl)carbonyl oxy] benzoic acid Flowers [17]
24. 3,4,5-trihydroxybenzoic acid (gallic acid)
25. 3,4-dihydroxybenzoic acid (protocatechuic acid)
26 Quercetin
27. Rutin
28. Quercetin 3-O-glucoside
29. Quercetin 3-O-galactoside
30. Quercetin trihexoside
31. 3-O-robinobioside
32. Kaempferol rhamnosylhexoside
33. Isorhamnetol rhamnosyl-hexoside
34. Petunidin-3-O-glucoside

34: R1 = OCH3; R2 = OH; R3 = glucose

35: R1 = OCH3; R2 = H; R3 = glucose

36: R1 = OCH3; R2 = OH; R3 = acetyl glucose

Flowers [65]
35. Peonidin-3-O-glucoside  
36. Petunidin-3-O-acetyl glucoside
37. Rubixanthin
38. Astaxanthin
39. β-Cryptoxanthin
40. Lutein
41. Zeaxanthin

Miscellaneous

The plant hasalso been reported to show other properties apart from pharmaceutical and antioxidant potential. The pharmacognostical parameters of the gum isolated from the seeds of Delonix regia linn was evaluated [61]. The gum sample was characterized using scanning electron microscopy (SEM), particle size analysis, X-ray powdered diffraction (XPRD), Differential scanning colorimetry (DSC) and Fourier transmittance infra red (FTIR). The gum was found to contain galactomannons and was found to be used as a matrix forming polymer because of its excellent swelling property in water. The flowers of Delonix regia Raf. were used for natural dyeing of silk. The silk fabric was dyed using the aqueous extract of dried red flowers. When 30% of extract was used, a bright reddish-brown hue colour was observed [66]. The dyed fabric was found to be resistant to fading. Delonix regia seed gum (DRSG) can be used as a paracetamol tablet binder [67]. The tensile strength (TS) was found to increase whereas the brittle fracture index (BFI) was found to reduce with the increase in the concentration of the gum binder. The official gum standards used were acacia BP (ACG) and tragacanth BP (TRG). The crushing strength-friability/disintegration time ratio was found in the order-tablets containing DRSG>tablets containing ACG>tablets containing TRG at 1% concentration of bonder.

The nano silica from the pods of Delonix regia was synthesized and characterized. After the heat treatment at 600 °C for 4 h, the silica with 99% silica content was produced from the pods of Delonix regia ash (PDRA). The precipitation method was used to produce nano silica from PDRA. The silica from PDRA was refluxed in boiling 2.5 N and 3 N NaOH, respectively for precipitation. 2.5 N NaOH treatment was found to result in the highest SiO2 content nano silica particle in the agglomerate of the particle with dimension of 5-10 nm and surface area of 600 m2g-1[68]. The single step chemical activation process was used to produce activated carbon from Delonix regia fruit pod (DRFP) by pyrolsis at 400 °C [69]. DRFP treated with H3PO4 showed the highest yield of 41.09%. The maximum bulk density of 0.46 g/ml was recorded for KOH treated DRFP, followed by H3PO4 treated DRFP. Higher surface area was shown by H3PO4 treated DRFP. The flower extract of Delonix regia Raf. can be used as acid-base indicator [70]. Polyphenolic, flavonoids and anthocyanins were found in the flower extracts. It was found that there was sharp colour change at the end point of titration due to the presence of flavonoids which indicated that these can be used as natural indicators in all types of acid-base titrations.

A lectin from Delonix regia (DRL) seeds was purified by gel filtration on Sephadex G-100 followed by ion-exchange chromatography on diethylaminoethyl-Sepharose and reverse-phase high-performance liquid chromatography on a C18 column. Rat erythrocytes were used to monitor the hem agglutinating activity. DRL was found to show no specificity for human erythrocytes of ABO blood groups. A single protein in the presence of 0.1 M of dithiothreitol (DTT) was revealed by Sodium dodecyl sulfate-polyacrylamide gel electrophoresis (SDS-PAGE) [71]. A serine proteinase inhibitor (DrTI) from Delonix regia seeds was purified. DrTI was found to inactivate trypsin and human plasma kallikrein with K (i) values 2.19x10 (-8) M and 5.25 nM, respectively. The inhibitor was found to be a protein with a single polypeptide chain of M (r) 22 h Da by SDS-PAGE analysis [72].

CONCLUSION

Delonix regia (Boj.) Raf. shows diverse therapeutic prospective such as antifungal, antibacterial, antioxidant, antiemetic, larvicidal, hepatoprotective, anti-diarrhoeal, anti-inflammatory, antimalarial, anthelmintic, antiarthritic, wound healing and anticarcinogenic potential. However, there are still many areas that need further research to avail the health benefits of phyto-constituents of Delonix regia (Boj.) Raf. Studies need to be conducted to explore the potential phyto-constituents of this plant for the prevention of various other diseases and to further unravel, characterize, patent and commercialize the protective components from different parts of this plant for the benefit of humans. Biochemical mechanisms and pathways responsible for different activities of Delonix regia (Boj.) Raf. are still not well understood and deserve further exploration. In vivo clinical studies with Delonix regia (Boj.) Raf. are necessary to alacrity its authenticate use, as this plant deserves appropriate position in therapeutics.

CONFLICT OF INTERESTS

Declared None

REFERENCES

  1. Cowen DV. Flowering trees and shrubs in india. sixth ed. Thacker and Co. Ltd, Bombay; 1984. p. 2.
  2. Orwa C, Mutua A, Kindt R, Jamnadass R, Simons A. Delonix regia. Agroforestry; 2013.
  3. Halim MA, Chowdhury MSH, Wadud AI, Uddin MS, Sarker SK, Uddin MB. The use of plants in traditional health care practice of the Shaiji community in Southwestern Bangladesh. J Trop Forest Sci 2007;19:168-75.
  4. Ode OJ, Saka S, Oladele GM. The global relevance of traditional medicine and herbal plants, the nigerian perspective. Int J Appl Biol Pharm Technol 2011;2:280-9.
  5. Jyoti DA, Athar M, Rawat DS, Jyoti DP. Ethno medicinal survey of medicinal plants used to cure wounds in Darikal gaon of Tezpur in Assam, North East India. Int Res J Pharm 2012;3:193-5.
  6. Rekha D, Tamil SS, Bharathidasan R, Panneerselvam A, Ilakkiya R, Jayapal R. Study of medicinal plants used from koothanoallur and Marakkadai, Thiruvarur district of Tamil Nadu, India. Hygeia. J Drugs Med 2013;5:164-70.
  7. Rahmatullah M, Haque MR, Kamrul Islam S, Jamal F, Anwarul Bashar ABM, Ahmed R, et al. A Survey on the use of medicinal plants by folk medicinal practitioners in three areas of pirojpur district, bangladesh. Am-Eurasian J Sustain Agric 2010;4:247-59.
  8. Rahmatullah M, Khatun MA, Morshed N, Neogi PK, Khan SUA, Hossan MS, et al. A randomized survey of medicinal plants used by folk medicinal healers of sylhet division, bangladesh. Adv Nat Appl Sci 2010;4:52-62.
  9. Fowler DG. Traditional fever remedies: a list of Zambian plants; 2006. p. 18.
  10. Choudhury S, Chowdhury HR, Mandal S, Ghosh A. Folk-lore knowledge on medicinal usage of the tribal belts of Birbhum district, West Bengal, India. Int J Bot Res 2013;3:43-50.
  11. Zahin M, Aqil F, Khan MSA, Ahmad I. Ethnomedicinal plants derived antibacterials and their prospects, in: Chattopadhyay D. (Ed.), Ethnomedicine: A Source of Complementary Therapeutics. Research Signpost, Kerala, India; 2010. p. 149-78.
  12. Arjariya A, Chaurasia K. Some medicinal plants among the tribes of Chhatarpur district (M. P) India. Ecoprint 2009;16:43-50.
  13. Khare CP. (Ed.). Indian Medicinal Plants-An Illustrated Dictionary. Springer, New York, USA; 2007. p. 205-6.
  14. Rathod D, Patel I. Biodiversity of economically important trees of Patan District (North Gujarat). Life Sci Leaflets 2012:89-95.
  15. Noumi E, Dibakto TW. Medicinal plants used for peptic ulcer in the Bangangte region, Western Cameroon. Fitoterapia 2000;71:406-12.
  16. Vedavathy S, Sudhakar A, Mrdula V. Tribal medicinal plants of Chittoor. Ancient Sci Life 1997;16:307-31.
  17. Adje FA, Lozanoa YF, Gerneveb CL, Lozanoa PR, Meudecb E, Adimac AA, Gaydoue EM. Phenolic acid and flavonol water extracts of Delonix regia red flowers. Ind Crops Prod 2012;37:303-10.
  18. Radhaiah A, Suman B, Babu S, Muniswamy D. Phytochemical screening and anticandid activity of selected plants of genus Caesalpinia. Indian J Plant Sci 2012;1:239-43.
  19. Rajabhau SS, Karnakumar VB, Basavaraj VC, Shambhulingayya M, Veerana G. In-vivo antidiarrhoeal activity of ethanolic extract of Delonix regia flowers in experimental induced diarrhoea in Wistar albino rats. Int J Res Pharm Chem 2011;1:442-7.
  20. Salman A, Toseef S, Mohtasheemul HM, Iqbal A. Antiemetic activity of leaves extracts of five leguminous plants. Int J Res Ayurveda Pharm 2012;3:251-3.
  21. Deepa B, Remadevi OK. Larvicidal activity of the flowers of Delonix regia (Bojer ex Hook.) Rafin. (Fabales: Fabaceae) against the teak defoliator, Hyblaea puera. Cramer Curr Biotica 2011;5:237-40.
  22. Murthy JM, Rani PU. Biological activity of certain botanical extracts as larvicides against the yellow fever mosquito, Aedes aegypti. L. J Biopestic 2009;2:72-6.
  23. Ahmed J, Nirmal S, Dhasade V, Patil A, Kadam S, Pal A, et al. Hepatoprotective activity of methanol extract of aerial parts of Delonix regia. Phytopharmacology 2011;1:118-22.
  24. Azab SS, Abdel-Daim M, Eldahshan OA. Phytochemical, cytotoxic, hepatoprotective and antioxidant properties of Delonix regia leaves extract. Med Chem Res 2013;22:4269-77.
  25. Shiramane RS, Biradar KV, Chivde BV, Shambhulingayya HM, Goud V. In-vivo antidiarrhoel activity of ethanolic extract of Delonix regia flowers in experimental induced diarrhea in wistar albino rats. Int J Res Pharm Chem 2011;1:442-7.
  26. Sarin RV, Bafna PA. Herbal antidiarrhoeals: a review. Int J Res Pharm Biomed Sci 2012;3:637-49.
  27. Ahirrao RA, Patel MR, Hamid S, Patil JK. In-vitro anthelmintic property of Gulmohar flowers against Pheritima posthuma. Pharmacologyonline 2011;1:728-32.
  28. Chitra V, Ilango K, Rajanandh MG, Soni D. Evaluation of Delonix regia Linn. Flowers for antiarthritic and antioxidant activity in female wistar rats. Ann Biol Res 2010;1:142-7.
  29. Roy SP, Prajapati K, Gupta R, Bhandra D, Patel N, Batiwala A, et al. Evaluation of anti-ulcer effects of ethanolic extract of Delonix regia flower. Indian J Res Pharm Biotechnol 2013;1:440-5.
  30. Rupal AV, Savalia DM, Narasimhacharya AVRL. Plant extracts as biotermiticides. Electronic J Environ Sci 2011;4:73-7.
  31. Rahman MM, Hasan MN, Das AK, Hossain MT, Jahan R, Khatun MA, et al. Effect of Delonix regia leaf extract on glucose tolerance in glucose-induced hyperglycemic mice. Afr J Tradit Complementary Altern Med 2011;8:34-6.
  32. Khan MA, Saxena A, Fatima FT, Sharma G, Goud V, Husain A. Study of wound healing activity of Delonix regia flowers in experimental animal models. Am J PharmTech Res 2012;2:380-90.
  33. Shewale VD, Deshmukh TA, Patil LS, Patil VR. Anti-inflammatory activity of Delonix regia (Boj. Ex. Hook). Adv Pharmacol Sci doi 2012;10:1155/2012/789713. [Article in Press]
  34. Fatmawaty, Fadilah, Astuti H. Antimalarial activity of Delonix regia on mice with Plasmodium berghei. J Nat Prod 2013;6:61-6.
  35. Aina SA, Bano AD, Lawal OA, Okoh HI, Aina OO, Dedeke GA. The toxicity of extracts of Tetrapleura tetraptera (Aridan), Delonix regia (Flame of the Forest) and Raphia vinifera (Raffia Palm) on the larvae of Anopheles gambiae. Acad J Entomol 2009;2:67-70.
  36. Sidhu MC, Sharma T. A database of antidiabetic plant species of family Asteraceae, Euphorbiaceae, Fabaceae, Lamiaceae and Moraceae. Int J Herb Med 2013;1:187-99.
  37. Preethi PJ. Herbal medicine for diabetes mellitus: a review. Int J Phytopharm 2013;3:1-22.
  38. Logeeswari K, Sripathi SK. Wound healing medicinal plants: a review. Int J Chem Environ Pharm Res 2012;3:199-218.
  39. ICAR. DARE-ICAR Annual Report, 2002-2003. Department of Agricultural Research and Education, Ministry of Agriculture, Government of India; 2003. p. 110.
  40. Ankrah NA, Nyarko AK, Addo PG, Ofosuhene M, Dzokoto C, Marley E, et al. Evaluation of efficacy and safety of herbal medicine used for the treatment of malaria. Phytother Res 2003;17:697-701.
  41. Karthika P, Jayshree N. Formulation and evaluation of sunscreen cream containing flower extract of Delonix regia. Int J Pharm Integrated Life Sci 2013;1:111-29.
  42. Shabir G, Anwar F, Sultana B, Khalid ZM, Afzal M, Khan QM, et al. Antioxidant and antimicrobial attributes and phenolics of different solvent extracts from leaves, flowers and bark of Gold Mohar [Delonix regia (Bojer ex Hook.) Raf.] Molecules 2011;1:7302-19.
  43. Sharma RA, Chandrawat P, Sharma S, Sharma D, Sharma B, Singh D. Efficacy of Delonix regia Rafin (syn. Poinciana regia Bojer ex. Hook) for potential antifungal activity. Bioscan 2010;5:441-4.
  44. Rani JMJ, Chandramohan G, Kumaravel S. Evaluation of antimicrobial activity of some garden plant leaves against Lactobacillus sp, Streptococcus mitis, Candida albicans and Aspergillus niger. Afr J Basic Appl Sci 2012;4:139-42.
  45. Khursheed R, Naz A, Naz E, Sharif H, Rizwani GAH. Antibacterial, antimycelial and phytochemical analysis of Ricinus communis Linn, Trigonella foenum grecum Linn and Delonix regia (Bojer ex Hook) Raf of Pakistan. Rom Biotechnol Lett 2012;17:7237-44.
  46. Sama K, Raja AXV, Yadav RH. Antibacterial and pharmacognostical evaluation of Delonix regia root bark. Int J Pharm Life Sci 2012;3:1628-30.
  47. Jahan I, Rahman MS, Rahman MZ, Kaisar MA, Islam MS, Wahab A, et al. Chemical and biological investigations of Delonix regia (Bojer ex Hook.) Raf. Acta Pharm 2010;6:207-15.
  48. Salem MZM. Evaluation of the antibacterial activities of stem bark extracts of Delonix regia and Erythrina humeana grown in Egypt. J For Prod Ind 2013;2:48-52.
  49. Vivek MN, Sachidananda Swamy HC, Manasa M, Pallavi S, Kambar Y, Asha MM, et al. Antimicrobial and antioxidant activity of leaf and flower extract of Caesalpinia pulcherrima, Delonix regia and Peltaphorum ferrugineum. J Appl Pharm Sci 2013;3:64-71.
  50. Dhanalakshmi D, Manimegalai K. Antibacterial activity of leaf and seed extracts of Delonix regia and Achyranthus aspera against selected bacterial strains. Int J Pharma Med Biol Sci 2013;2:31-5.
  51. Udaya Prakash NK, Bhuvaneswari S, Balamurugan A, Ashwin Karthik N, Deepa S, Hima A, et al. Studies on bioactivity and phytochemistry of leaves of common trees. Int J Res Pharm Sci 2013;4:476-81.
  52. Aqil F, Ahmad I. Broad-spectrum antibacterial and antifungal properties of certain traditionally used Indian medicinal plants. World J Microbiol Biotechnol 2003;19:653-7.
  53. Bhati PC, Dwivedi SC. Efficacy of foliar extract of Delonix regia against Callosobruchus chinesis (L.). Natl J Life Sci 2011;8:139-41.
  54. Shanmukha I, Patel H, Patel J, Riyazunnisa. Quantification of total phenol and flavonoid content of Delonix regia flowers. Int J Chem Tech Res 2011;3:280-3.
  55. Aqil F, Ahmad I, Mehmood Z. Antioxidant and free radical scavenging properties of twelve traditionally used Indian medicinal plants. Turk J Biol 2006;30:177-83.
  56. Rani PMJ, Kannan PSM, Kumaravel S. Screening of antioxidant activity, total phenolics and gas chromatograph and mass spectrometer (GC-MS) study of Delonix regia. Afr J Biochem Res 2011;5:341-7.
  57. Chai WM, Shi Y, Feng HL, Qui L, Zhou HC, Deng ZW, et al. NMR, HPLC-ESI-MS and MALDI-TOF MS analysis of condensed tannins from Delonix regia (Bojer ex Hook.) Raf. and their bioactivities. J Agric Food Chem 2012;60:5013-22.
  58. Veigas JM, Narayan MS, Chidambaramurthy KN, Neelwarne B. Antioxidative efficacies of floral petal extracts of Delonix regia Rafin. Int J Biomed Pharm Sci 2007;1:73-82.
  59. Parekh J, Chanda SV. In-vitro activity and phytochemical analysis of some Indian medicinal plants. Turk J Biol 2007;31:53-8.
  60. Sama K, Raja AXV. Preliminary phytochemical screening of root bark of Delonix regia. Int Res J Pharm 2011;2:42-3.
  61. Sarangapani S, Rajappan M. Pharmacognostical and pharmaceutical characterization of Delonix regia–A novel matrix forming natural polymer. Int J Pharm 2012;2:564-73.
  62. Adewuyi A, Oderinde RA, Rao BVSK, Prasad RBN, Anjaneyulu B. Chemical component and fatty acid distribution of Delonix regia and Peltophorum pterocarpum seed oils. Food Sci Technol Res 2010;16:565-70.
  63. Jungalwala FB, Chama HR. Carotenoids in Delonix regia (Gul Mohr) flowers. Biochem J 1962;85:1-8.
  64. Adje F, Lozano YF, Meudec E, Lozano P, Adima A, N’zi GA, et al. Anthocyanin Characterization of pilot plant water extracts of Delonix regia flowers. Molecules 2008;13:1238-45.
  65. Veigas JM, Divya P, Neelwarne B. Identification of previously unreported pigments among carotenoids and anthocyanins in floral petals of Delonix regia (Hook.) Raf. Food Res Int 2012;47:116-23.
  66. Vankar PS, Shankar R. Eco-friendly pretreatment of silk fabric for dying with Delonix regia Rafin extract. Color Technol 2009;125:155-60.
  67. Adetogun GE, Alebiowu G. Properties of Delonix regia seed gum as a novel tablet binder. Acta Pol Pharm-Drug Res 2009;66:433-8.
  68. Indhumati P, Syed Shabhudeen SP, Saraswathy CP. Synthesis and characterization of nano silica from the pods of Delonix regia ash. Int J Adv Eng Technol 2011;2:421-6.
  69. Sugumaran P, Susan VP, Ravichandran P, Seshadri S. Production and characterization of activated carbon from banana empty fruit bunch and Delonix regia fruit pod. J Sustainable Energy Environ 2012;3:125-32.
  70. Singh S, Bothara SB, Singh S, Patel R, Ughreja R. Preliminary pharmaceutical characterization of some flowers as natural indicator. Pharm Res 2011;5:213-20.
  71. Pando SC, Macedo ML, Freire MG, Toyama MH, Novello JC, Marangoni S. Biochemical characterization of a lectin from Delonix regia seeds. J Protein Chem 2002;21:279-85.
  72. Pando SC, Oliva ML, Sampaio CA, Di Ciero L, Novello JC, Marangoni S. Primary sequence determination of a Kunitz inhibitor isolated from Delonix regia seeds. Phytochemistry 2001;57:625-31.