1Chemistry Department of Natural Compounds, National Research Centre, Dokki 12311, Giza, Egypt, 2Pharmacognosy Department, National Research Centre, 12311 Dokki, Giza, Egypt, 3aFunctional Nanomaterials, Institute for Materials Science, Christian Albrechts University Kiel, Kaiserstrasse, Germany, 3bDepartment of Therapeutic Chemistry, National Research Centre, Dokki 12311, Giza, Egypt, 4National Organization for Drug Control and Research, P. O. Box: 29, Cairo, Giza 112313, Egypt
Email: erelaswynrc@gmail.com
Received: 30 Mar 2015 Revised and Accepted: 04 May 2015
ABSTRACT
Objective: The present work aimed to synthesize some new 1, 3-diheterocyles indolyl derivatives and study their cytotoxic activity. In addition, explore the probability of the most promising antiproliferative compounds to inhibit TopoI enzyme theoretically via molecular docking study.
Methods: Reaction of ethyl 2-(3-formyl-1H-indol-1-yl)acetate (1) with 2-cyanoacetic acid hydrazide, 3-amino-5-pyrazolone and 2'-acetyl-2-cyanoacetohydrazide in an equal molar ratio led to the formation of compounds 2, 6, 8 and 10, respectively, which in turn reacted with another molecule of 2-cyanoacetic acid hydrazide and/or 3-amino-5-pyrazolone (1:1 molar ratio) to give novel series of 1,3-dipyrazole indole derivatives 3, 7, 9 and 11, respectively. On the other hand, Knoevenagel condensation of 1 with malononitrile gave ethyl 2-(3-(2, 2-dicyanovinyl)-1H-indol-1-yl) acetate (11). Reaction of 11 with 2-cyanoacetic acid hydrazide, 3-amino-5-pyrazolone, hydrazine hydrate, urea, thiourea and/or guanidine yielded 1, 6-diaminopyridine 12, pyrano(2,3-c)pyrazole 14, pyrazole 16 and pyrimidine derivatives 18a-c, respectively. Reaction of the latter compounds with 3-amino-5-pyrazolone furnished a novel series of 1, 3-diheterocycle indole derivatives 13, 15, 17 and 19a-c, respectively. Ten new target compounds 3, 6, 8, 10, 13, 15, 17 and 19a-c were tested for in vitro antiproliferative activity against A-549, MCF7, HCT-116 and HEPG2 cancer cell lines. In addition, molecular docking study of the most promising antiproliferative compounds against human DNA Topoisomerase I (PDB ID: 1T8I) theoretically is discussed.
Results: Compounds 3, 6, 8 and 17 showed potent in vitro antiproliferative activity. Docking scores of the latter compounds were observed better than co-crystalline ligand.
Conclusion: Further work is recommended to confirm the inhibition of TopoI in a specific bioassay.
Keywords: Ethyl 2-(3-formyl-1H-indol-1-yl) acetate, Pyrazole, Pyrimidine Anticancer, Molecular docking.
INTRODUCTION
Nitrogen-containing heterocyclic molecules constitute the largest portion of chemical entities, which represented a part of many natural products and biologically active compounds [1]. Indole which is the potent basic pharmacodynamic nucleus has been reported to possess a wide variety of biological properties viz, anti-inflammatory [2, 3], anti-cancer [4, 5], antimicrobial [6, 7], and antioxidant [8]. In particular, N-1 and C-3-substituted indole derivatives have been found to play an important role in many biologically active compounds especially with anticancer activity [9,10]. Additionally, literature revealed that pyrazole, pyridine and pyrimidine are known for their pronounced pharmaceutical activities [11-13]. DNA topoisomerase I (TopoI) are eukaryotic ubiquitous enzymes that can relax negative and positive supercoiled DNA by breaking a single strand of the DNA duplex to prevent excessive supercoiling. The essential roles of these enzymes are regulating the topological rearrangement of DNA during transcription, replication and recombination. Therefore, these enzymes have been identified as important targets for cytotoxic drugs and their inhibitors are widely used for decades in cancer chemotherapy [14]. However, emerging tumor resistance and several side effects, such as haematological toxicity, nausea, vomiting, and hear loss are associated with TopoI inhibitors [14]. So, the discovery of new type TopoI inhibitors that can be synthesized easily, show increased sensitivity in drug resistant tumors and decreased dose-limiting toxicity would be a significant addition to the choices available in the treatment of cancer.
Based on the previous observations and in continuation of our search on the preparation of new 3-indolyl heterocycles derivatives with anticancer activity [3-6, 10], the present work is designed to prepare new heterocyclic compounds incorporated to the indole moiety and evaluating their cytotoxic activity in a trial of obtaining new compounds with high activity and less toxicity. In addition, we attempted to explore the probability of the most promising antiproliferative compounds to inhibit TopoI enzyme theoretically via molecular docking study of these compounds against the active site of the protein molecular surface of human DNA Topoisomerase I (PDB ID: 1T8I).
MATERIALS AND METHODS
General
Melting points were determined on the digital melting point apparatus (Electrothermal 9100, Electrothermal Engineering Ltd, serial No. 8694, Rochford, United Kingdom) and are uncorrected. The micro analytical data were achieved on a Perkin-Elmer 2400 analyzer (Perkin-Elmer, 940 Winter Street, Waltham, Massachusetts 02451, USA) and were found within±0.4 % of the theoretical values. IR spectra were recorded on a Perkin-Elmer 1600 Fourier Transform Infrared Spectrophotometer using KBr discs. The NMR spectra were measured with a Bruker Avance digital spectrometer (BRUKER BioSpin GMBH Silberstreifen D-76287 Rheinstetten, Germany) (500 MHz for 1H and 125 MHz for [13]C) in DMSO-d6, and chemical shifts were recorded in δ ppm relative to TMS as internal standard (all NH2 and NH recorded for the compounds were D2O-exchangeable). Mass spectra (EI) were recorded at 70eV with JEOL-JMS-AX500 mass spectrometer (JEOL Ltd. 1-2, Musashino 3-chome Akishima, Tokyo 196-8558, Japan). All reagents and solvents were of commercial grade. Ethyl 2-(3-formyl-1H-indol-1-yl) acetate (1) [15], 2-cyanoacetic acid hydrazide [16], 3-amino-5-pyrazolone [17] and 2'-acetyl-2-cyanoacetohydrazide [18] were prepared as reported.
Synthesis
Ethyl 2-(3-(4-cyano-2,3-dihydro-3-oxo-1H-pyrazol-5-yl)-1H-indol-1-yl) acetate (2)
A mixture of ethyl 2-(3-formyl-1H-indol-1-yl)acetate (1) (2.31 g, 0.01 mol) and 2-cyanoacetic acid hydrazide (0.99 g, 0.01 mol) in absolute ethanol (15 ml) containing few drops of glacial acetic acid was heated under reflux for 3h. The solid formed on hot were filtered off, washed with ethanol, air dried and crystallized from acetic acid. Yield: 80%; MP: 182-184˚C; IR (KBr) υ 3265, 3185 (NH), 2207 (CN), 1705, 1679 (C=O), 1565 (C=C), 1172, 1138 cm-1 (C-O-C);1H NMR (500 MHz, DMSO-d6): δ 1.21 (3H, t, CH3), 4.21 (2H, q, CH2), 5.18 (2H, s, CH2-N), 7.20–7.48 (4H, m, Ar-H), 8.32 (1H, s, indolyl H-2), 11.38, 11.43 ppm (2H, 2s, 2NH); MS: (m/z) 310 [M+, 30%]; Anal. C16H14N4O3 (310.31): Calcd: C, 61.93; H, 4.55; N, 18.06; Found: C, 61.77; H, 4.35; N, 18.22.
5-Amino-1-(3-(4-cyano-2,3-dihydro-3-oxo-1H-pyrazol-5-yl)-1H-indol-1-yl)acetyl)-1,2-dihydropyrazol-3-one (3)
To a solution of sodium (0.23 g, 0.01 mol) in absolute methanol (20 ml) was added compound 2 (3.1 g, 0.01 mol) and 2-cyanoacetic acid hydrazide (0.99 g, 0.01 mol). The reaction mixture was heated under reflux for 3h. After cooling the solid that formed was filtered off, washed with water, air dried and crystallized from absolute ethanol. Yield: 81%; MP: 204-206˚C; IR (KBr) υ 3412 (NH2), 3328, 3241, 3165 (3NH), 2210 (CN), 1715, 1695, 1653 (C=O), 1566 cm-1 (C=C); 1H NMR (500MHz, DMSO-d6): δ 5.17 (2H, s, CH2-N), 5.31 (1H, s, pyrazolyl H-4), 6.55-7.37 (4H, m, Ar-H), 8.06 (1H, s, indolyl H-2), 8.40 (2H, s, NH2), 8.27, 9.69, 9.93 ppm (3H, 3s, 3NH); 13C NMR (125MHz, DMSO-d6): δ 48.2 (CH2), 117.6 (CN), 118.2-147.1 (Ar-C), 170.1, 182.6 and 206.9 ppm (C=O); MS: (m/z) 363 [M+, 33%]; Anal. C17H13N7O3 (363.33): Calcd: C, 56.20; H, 3.61; N, 26.99; Found: C, 56.44; H, 3.55; N, 27.06.
Ethyl 2-(3-(2-cyano-3-hydrazinyl-3-oxoprop-1-enyl)-1H-indol-1-yl) acetate (4)
A mixture of 1 (2.31 g, 0.01 mol) and 2-cyanoacetic acid hydrazide (0.99 g, 0.01 mol) in absolute ethanol (15 ml) and triethylamine (1 ml) was stirred at room temperature for 2h. The solid that formed was filtered off, washed with ethanol, air dried and crystallized from acetic acid. Yield: 75%; MP: 128-130˚C; IR (KBr) υ 3407, 3322 (NH2), 3245 (NH), 2205 (CN), 1710, 1662 (C=O), 1565 (C=C), 1110, 1128 cm-1 (C-O-C); 1H-NMR (500MHz, DMSO-d6): δ 1.21 (3H, t, CH3), 2.65 (2H, s, NH2), 4.18 (2H, q, CH2), 5.23 (2H, s, CH2-N), 7.12-7.81 (4H, m, Ar-H), 8.17 (1H, s, CH=C), 8.32 (1H, s, indolyl H-2), 9.43 ppm (1H, s, NH); MS: (m/z): 312 [M+, 23%]; Anal. C16H16N4O3 (312.32): Calcd: C, 61.53; H, 5.16; N, 17.94; Found: C, 61.42; H, 5.22; N, 17.81.
Ethyl 2-(3-(3-amino-5-oxo-1H-pyrazol-4(5H)-ylidene) methyl)-1H-indol-yl)acetate (5)
Method A: Compound 4 (3.12 g, 0.01 mol) was heated under reflux in absolute ethanol (15 ml) containing triethylamine (3 ml) for 3h. After cooling, the solid that formed was filtered off, air dried and crystallized from absolute ethanol.
Method B: A mixture of compound 1 (2.31 g, 0.01 mol) and 2-cyanoacetic acid hydrazide (0.99 g, 0.01 mol) in absolute ethanol and triethylamine (3 ml) was heated under reflux for 3h. After cooling, the solid that formed was filtered off, air dried and crystallized from absolute ethanol. Yield: 80%; MP: 190-192˚C; IR (KBr) υ 3420 (NH2), 3273 (NH), 1697, 1638 (C=O), 1618 (C=N), 1535 (C=C), 1106, 1132 cm-1 (C-O-C); 1H NMR (500MHz, DMSO-d6): δ 1.21 (3H, t, CH3), 2.71 (2H, s, NH2), 4.16 (2H, q, CH2), 5.02 (2H, s, CH2-N), 7.17-8.02 (5H, m, Ar-H and CH=C), 8.25 (1H, s, indolyl H-2), 10.03 ppm (1H, s, NH); MS: (m/z) 312 [M+, 18%]; Anal. C16H16N4O3 (312.32): Calcd: C, 61.53; H, 5.16; N, 17.94; Found: C, 61.33; H, 5.23; N, 17.89.
N-(4,5-Dihydro-5-oxo-1H-pyrazol-3-yl)-2-(3-(3-amino-5-oxo-1H-pyrazol-4(5H)-ylidene)methyl)-1H-indol-yl)acetamide (6)
To a solution of sodium (0.23 g, 0.01 mol) in absolute methanol (20 ml) was added compound 5 (3.12 g, 0.01 mol) and 3-amino-5-pyrazolone (0.99 g, 0.01 mol). The reaction mixture was heated under reflux for 3h. After cooling the solid that formed was filtered off, air dried and crystallized from absolute ethanol. Yield: 65%; MP: 378dec ˚C; IR (KBr) υ 3367, 3286, 3225 (NH2 and NH), 1715, 1692, 1665 (C=O), 1617 (C=N), 1533 cm-1 (C=C); 1H NMR (500MHz, DMSO-d6): δ 2.62 (2H, s, NH2), 4.24 (2H, s, CH2 pyrazole), 5.17 (2H, s, CH2-N), 6.01 (1H, s, NH), 7.21-8.15 (5H, m, Ar-H and CH=C), 8.52 (1H, s, indolyl H-2), 8.73 and 10.02 ppm (2H, 2s, NH);[13]C NMR (125MHz, DMSO-d6): δ 49.97 and 56.53 (2CH2), 111.5-153.3 (Ar-C), 168.6 and 183.47 (C=O); MS: (m/z) 365 [M+, 35%]; Anal. C17H15N7O3 (365.35): Calcd: C, 55.89; H, 4.14; N, 26.84; Found: C, 56.00; H, 4.22; N, 26.66.
Ethyl 2-(3-(4,5-dihydro-5-oxo-1H-pyrazol-3-yl)methylene amino)-1H-indol-1-yl) acetate (7)
A mixture of 1 (2.31 g, 0.01 mol) and 3-amino-5-pyrazolone (0.99 g, 0.01 mol) in absolute ethanol (15 ml) containing few drops of glacial acetic acid was heated under reflux for 3h. The solid formed on hot were filtered off, washed with ethanol, air dried and crystallized from acetic acid. Yield: 82%; MP: 130-132˚C; IR (KBr) υ 3246 (NH), 1683, 1652 (C=O), 1618 (C=N), 1538 (C=C), 1107,1128 cm-1 (C-O-C); 1H NMR (500MHz, DMSO-d6): δ 1.23 (3H, t, CH3), 4.12 (2H, q, CH2), 4.22 (2H, s, CH2 pyrazole), 5.03 (2H, s, CH2-N), 7.17-7.45 (4H, m, Ar-H), 8.21 (1H, s, indolyl H-2), 8.54 (1H, s, CH=N), 10.32 ppm (1H, s, NH); MS: (m/z) 312 [M+, 42%]; Anal. C16H16N4O3 (312.32): Calcd: C, 61.53; H, 5.16; N, 17.94; Found: C, 61.66; H, 5.22; N, 17.88.
N-(4,5-Dihydro-5-oxo-1H-pyrazol-3-yl)-2-(3-(4,5-dihydro-5-oxo-1H-pyrazol-3-yl) methylene)amino)-1H-indol-1-yl) acetamide (8)
To a solution of sodium (0.23 g, 0.01 mol) in absolute methanol (20 ml) was added compound 7 (3.12 g, 0.01 mol) and 3-amino-5-pyrazolone (0.99 g, 0.01 mol). The reaction mixture was heated under reflux for 3h. After cooling the solid formed was filtered off, washed with water, air dried and crystallized from absolute ethanol. Yield: 70%; MP: 270dec ˚C; IR (KBr) υ 3375, 3285, 3169 (NH), 1712, 1667 (C=O), 1620 (C=N), 1563 cm-1 (C=C);1H NMR (500MHz, DMSO-d6): δ 4.18, 4.25 (4H, 2s, 2CH2 pyrazole), 5.13 (2H, s, CH2-N), 7.05-7.46 (5H, m, Ar-H and NH), 8.32 (1H, s, indolyl H-2), 8.56 (1H, s, CH=N), 9.05 and 10.16 ppm (2H, 2s, 2NH);[13]C NMR (125MHz, DMSO-d6): δ 47.7, 52.6 and 61.5 (3CH2), 107.1-169.7 (Ar-C), 184.6 and 206.9 (C=O); MS: (m/z) 365 [M+, 24%]; Anal. C17H15N7O3 (365.35): Calcd: C, 55.89; H, 4.14; N, 26.84; Found: C, 55.99; H, 4.22; N, 26.95.
Ethyl 2-(3-(1-acetyl-5-imino-3-oxopyrazolidin-4-ylidene) methyl)-1H-indol-1-yl) acetate (9)
A mixture of compound 1 (2.31g, 0.01 mol) and 2'-acetyl-2-cyanoacetohydrazide (1.41 g, 0.01 mol) in absolute ethanol (15 ml) containing triethylamine (1 ml) was heated under reflux for 3h. The solid formed on hot was filtered off, washed with ethanol, air dried and crystallized from absolute ethanol. Yield: 71%; MP: 268-270˚C; IR (KBr) υ 3285, 3173 (NH), 1705, 1675 (C=O), 1620 (C=N), 1585 (C=C), 1110, 1138 cm-1 (C-O-C); 1H NMR (500MHz, DMSO-d6): δ 1.24 (3H, t, CH3), 2.04 (3H, s, COCH3), 4.26 (2H, q, CH2), 5.27 (2H, s, CH2-N), 7.17-8.04 (5H, m, Ar-H and CH=C), 8.45 (1H, s, indolyl H-2), 9.21 and 10.02 ppm (2H, 2s, 2NH); MS: (m/z) 354 [M+, 31%]; Anal. C18H18N4O4 (354.36): Calcd: C, 61.01; H, 5.12; N, 15.81; Found: C, 61.22; H, 5.21; N, 15.95.
N-(4,5-Dihydro-5-oxo-1H-pyrazol-3-yl)-2-(3-(1-acetyl-5-imino-3-oxo-pyrazolidin-4-ylidine)methyl)-1H-indol-1-yl)acetamide (10)
To a solution of sodium (0.23 g, 0.01 mol) in absolute methanol (20 ml) was added compound 9 (3.54 g, 0.01 mol) and 3-amino-5-pyrazolone (0.99 g, 0.01 mol). The reaction mixture was heated under reflux for 3h. After cooling the solid formed was filtered off, washed with water, air dried and crystallized from absolute ethanol. Yield: 65%; MP: 101-103˚C; IR (KBr) υ 3365, 3229 (NH), 1705, 1685, 1665 (C=O), 1618 (C=N), 1525 cm-1 (C=C); 1H NMR (500MHz, DMSO-d6): δ; 2.14 (3H, s, COCH3), 4.84 (2H, s, CH2-N), 5.46 (2H, 2s, 2NH), 7.16-7.92 (5H, m, Ar-H and CH=C), 8.35 (1H, s, indolyl H-2), 8.72 and 9.56 ppm (2H, 2s, 2NH); MS: (m/z) 407 [M+, 39%]; Anal. C19H17N7O4 (407.38): Calcd: C, 56.02; H, 4.21; N, 24.07; Found: C, 56.22; H, 4.35; N, 24.07.
Ethyl 2-(3-(2,2-dicyanovinyl)-1H-indol-1-yl)acetate (11)
A mixture of compound 1 (2.31 g, 0.01 mol) and malononitrile (0.66 g, 0.01 mol) in absolute ethanol (10 ml) and few drops of piperidine was stirred for 30 min at room temperature. The precipitate that formed was filtered off, washed with absolute ethanol, air dried and crystallized from absolute ethanol. Yield: 85%; MP: 181-183˚C; IR (KBr) υ 2207 (CN), 1675 (CO), 1612 cm-1 (C=C); 1H NMR (500MHz, DMSO-d6): δ 1.21(3H, t, CH3), 4.16 (2H, q, CH2), 5.42 (2H, s, CH2), 7.26-8.04 (3H, m, Ar-H), 8.50 (1H, s, CH=C), 8.57 (1H, s, indolyl H-4), 8.70 ppm (1H, d, indolyl H-4); MS: (m/z) 279 [M+, 55%]; Anal. C16H13N3O2 (279.29): Calcd: C, 68.81; H, 4.69; N, 15.05; Found: C, 68.76; H, 4.59; N, 15.20.
Ethyl 2-(3-(1,6-diamino-1,2-dihydro-2-oxo-3,5-dicyano-pyridin-4-yl)-1H-indol-1-yl)acetate (12)
A mixture of compound 11 (2.79 g, 0.01 mol) and 2-cyanoacetic acid hydrazide (0.99 g, 0.01 mol) in absolute ethanol (20 ml) and few drops of piperidine was heated under reflux for 7h. After cooling the solid that formed was filtered off, air dried and crystallized from absolute ethanol. Yield: 70%; MP: 376-378˚C; IR (KBr) υ 3422, 3375 (NH2), 2207 (CN), 1702, 1665 (C=O), 1543 (C=C), 1102, 1133 cm-1 (C-O-C); 1H NMR (500MHz, DMSO-d6): δ 1.15 (3H, t, CH3), 2.61 (2H, s, NH2), 4.18 (2H, q, CH2), 5.21 (2H, s, CH2-N), 6.25 (2H, s, NH2), 7.21-8.16 (4H, m, Ar-H), 8.57 (1H, s, indolyl H-2); MS: (m/z) 376 [M+, 20%]; Anal. C19H16N6O3 (376.37): Calcd: C, 60.63; H, 4.28; N, 22.33; Found: C, 60.77; H, 4.33; N, 22.22.
N-(4,5-Dihydro-5-oxo-1H-pyrazol-3-yl)-2-(3-(1,6-diamino-1,2-dihydro-2-oxo-3,5-dicyanopyridin-4-yl)-1H-indol-1-yl) acetamide (13)
To a solution of sodium (0.23 g, 0.01 mol) in absolute methanol (20 ml) was added compound 12 (3.54 g, 0.01 mol) and 3-amino-5-pyrazolone (0.99 g, 0.01 mol). The reaction mixture was heated under reflux for 3h. After cooling the solid that formed was filtered off, washed with water, air dried and crystallized from absolute ethanol. Yield: 60%; MP: 234 dec ˚C; IR (KBr) υ 3445 (NH2), 3260, 3225, 3164 (NH), 2210 (CN), 1705, 1675 (C=O), 1552 (C=C), 1618 cm-1 (C=N); 1H NMR (500MHz, DMSO-d6): δ 2.65 (2H, s, NH2), 4.02 (2H,s, CH2 pyrazole), 5.17 (2H, s, CH2-N), 6.04 (2H, s, NH2), 7.12-7.85 (4H, m, Ar-H), 8.35 (1H, s, indolyl H-2), 8.76 and 9.52 ppm (2H, 2s, 2NH); MS: (m/z) 429 [M+, 11%]; Anal. C20H15N9O3 (429.39): Calcd: C, 55.94; H, 3.52; N, 29.36; Found: C, 55.99; H, 3.49; N, 29.29.
Ethyl 2-(3-(3,6-diamino-5-cyanopyrano(2,3-c)pyrazol-4-yl)-1H-indol-1-yl)acetate (14)
A mixture of 11 (2.79 g, 0.01 mol) and 3-amino-5-pyrazolone (0.99 g, 0.01 mol) in absolute ethanol (15 ml) and few drops of piperidine was heated under reflux for 3h. The solid formed on hot were filtered off, washed with ethanol, air dried and crystallized from ethanol-water (10:1). Yield: 45%; MP: 236-238˚C; IR (KBr) υ 3425, 3362 (NH2), 2205 (CN), 1675 (C=O), 1552 (C=C), 1115, 1138 cm-1 (C-O-C); 1H NMR (500MHz, DMSO-d6): δ 1.21 (3H, t, CH3), 2.16 (2H, s, NH2), 4.16 (2H, q, CH2), 5.16 (2H, s, CH2-N), 6.01 (2H, s, NH2), 7.21-8.02 (4H, m, Ar-H), 8.45 ppm (1H, s, indolyl H-2); MS: (m/z) 376 [M+, 27%]; Anal. C19H16N6O3 (376.37): Calcd: C, 60.63; H, 4.28; N, 22.33; Found: C, 60.54 H, 4.22; N, 22.29.
N-(4,5-Dihydro-5-oxo-1H-pyrazol-3-yl)-2-(3-(3,6-diamino-5-cyano-pyrano(2,3-c) pyrazol-4-yl)-1H-indol-1-yl)acetamide (15)
To a solution of sodium (0.23 g, 0.01 mol) in absolute methanol (20 ml) was added compound 14 (3.76 g, 0.01 mol) and 3-amino-5-pyrazolone (0.99 g, 0.01 mol). The reaction mixture was heated under reflux for 3h. After cooling the solid that formed was filtered off, air dried and crystallized from absolute ethanol. Yield: 60%; MP: 233dec ˚C; IR (KBr) υ 3426, 3328 (NH2), 3255, 3172 (NH), 2197 (CN), 1685, 1652 (C=O), 1618 (C=N), 1536 (C=C), 1110, 1128 cm-1 (C-O-C); 1H NMR (500MHz, DMSO-d6): δ 2.29 (2H, s, NH2), 4.91 and 6.99 (4H, 2s, 2CH2), 7.11-8.31 (5H, m, Ar-H), 8.72 (2H, s, NH2), 10.31 ppm (2H, s, 2NH); [13]C NMR (125MHz, DMSO-d6): δ48.2 (CH2), 115.4 (CN), 109.1-147.9 (Ar-C), 170.1 and 206.5 (C=O); MS: (m/z) 429 [M+, 10%]; Anal. C20H15N9O3 (429.39): Calcd: C, 55.94; H, 3.52; N, 29.36; Found: C, 55.99; H, 3.66; N, 29.44.
Ethyl 2-(3-(3,5-diamino-pyrazol-4(5H)-ylidene)methyl)-1H-indol-1-yl)acetate (16)
A mixture of 11 (2.79 g, 0.01 mol) and hydrazine hydrate (0.5 ml, 0.01 mol) in absolute ethanol (15 ml) and the few drops of piperidine was heated under reflux for 3h. The solid formed on hot were filtered off, washed with ethanol, air dried and crystallized from ethanol. Yield: 77%; MP: 224-226˚C; IR (KBr) υ 3454, 3360 (NH2), 1665 (C=O), 1618 (C=N), 1525 (C=C), 1109, 1125 cm-1 (C-O-C); 1H NMR (500MHz, DMSO-d6): δ 1.29 (3H, t, CH3), 2.17 and 2.64 (4H, 2s, 2 NH2), 4.20 (2H, q, CH2), 5.32 (2H, s, CH2), 7.19-8.11 (4H, m, Ar-H), 8.42 (1H, s, CH=C), 8.51 ppm (1H, s, indolyl H-2); MS: (m/z) 311 [M+, 42%]; Anal. C16H17N5O2 (311.34): Calcd: C, 61.72; H, 5.50; N, 22.49; Found: C, 61.67; H, 5.44; N, 22.35.
N-(4,5-Dihydro-5-oxo-1H-pyrazol-3-yl)-2-(3-(3,5-diamino-pyrazol-4(5H)-ylidene) methyl)-1H-indol-1-yl)acetamide (17)
To a solution of sodium (0.23 g, 0.01 mol) in absolute methanol (20 ml) was added compound 16 (3.11 g, 0.01 mol) and 3-amino-5-pyrazolone (0.99 g, 0.01 mol). The reaction mixture was heated under reflux for 3h. After cooling the solid that formed was filtered off, air dried and crystallized from absolute ethanol. Yield: 65%; MP: 190-192˚C; IR (KBr) υ 3440 (NH2), 3236, 3165 (NH), 1675, 1654 (C=O), 1618 (C=N), 1517 cm-1 (C=C); 1H NMR (500MHz, DMSO-d6): δ 2.16 and 2.64 (4H, 2s, 2NH2), 4.01 (2H, s, CH2 pyrazole), 5.17 (2H, s, CH2-N), 6.88 (1H, s, NH), 7.29-8.15 (5H, m, Ar-H and CH=C), 8.51 (1H, s, indolyl H-2), 10.52 ppm (1H, s, NH);[13]C NMR (125MHz, DMSO-d6): δ 31.1 and 48.3 (2CH2), 111.3-148.1 (Ar-C), 170.1 and 183.1 ppm (C=O); MS: (m/z) 364 [M+, 29%]; Anal. C17H16N8O2 (364.36): Calcd: C, 56.04; H, 4.43; N, 30.75; Found: C, 56.01; H, 4.31; N, 30.65.
Ethyl 2-(3-(4,6-diamino-2-oxopyrimidin-5-ylidene)methyl)-1H-indol-1-yl)acetate (18a)
A mixture of 11 (2.79 g, 0.01 mol) and urea (0.6 g, 0.01 mol) in absolute ethanol (20 ml) and few drops of glacial acetic acid was heated under reflux for 3h. After cooling the solid that formed was filtered off, air dried and crystallized from absolute ethanol. Yield: 70%; MP: 195-197˚C; IR (KBr) υ 3450, 3272 (NH2), 1703, 1673 (C=O), 1575 (C=C), 1105, 1132 cm-1 (C-O-C); 1H NMR (500MHz, DMSO-d6): δ 1.24 (3H, t, CH3), 1.95 (4H, s, 2NH2), 4.16 (2H, q, CH2), 5.27 (2H, s, CH2-N), 7.17-8.21 (5H, m, Ar-H and CH=C), 8.55 ppm (1H, s, indolyl H-2); MS: (m/z) 339 [M+, 36%]; Anal. C19H17N5O3 (339.35): Calcd: C, 60.17; H, 5.02; N, 20.64; Found: C, 60.29; H, 5.11; N, 20.59.
Ethyl 2-(3-(4,6-diamino-2-thioxopyrimidin-5-ylidene)methyl)-1H-indol-1-yl) acetate (18b)
A mixture of compound 11 (2.79 g, 0.01 mol) and thiourea (0.76 g, 0.01 mol) in absolute ethanol (15 ml) and few drops of glacial acetic acid was heated under reflux for 3h. After cooling, the solid that formed was filtered off, air dried and crystallized from absolute ethanol. Yield: 71%; MP: 183-185˚C; IR (KBr) υ 3401, 3212 (NH2), 1662 (C=O), 1526 (C=C), 1240 (C=S), 1112, 1142 cm-1 (C-O-C); 1H NMR (500MHz, DMSO-d6): δ 1.33 (3H, t, CH3), 2.61 (4H, s, 2NH2), 4.22 (2H, q, CH2), 5.26 (2H, s, CH2), 7.12-7.46 (4H, m, Ar-H), 7.54 (1H, s, CH=C), 8.24 ppm (1H, s, indolyl H-2); MS: (m/z) 355 [M+, 26%]; Anal. C19H17N5O2S (355.41): Calcd: C, 57.45; H, 4.82; N, 19.70; Found: C, 57.39; H, 4.99; N, 19.69.
Ethyl 2-(3-(4,6-diamino-2-iminopyrimidin-5-ylidene)methyl)-1H-indol-1-yl) acetate (18c)
A mixture of 11 (2.79 g, 0.01 mol), guanidine hydrochloride (0.69 g, 0.01 mol) and sodium acetate (0.82g, 0.01 mol) in absolute ethanol (15 ml) was heated under reflux for 3h. After cooling the solid that formed was filtered off, air dried and crystallized from absolute ethanol. Yield: 65%; MP: 134dec ˚C; IR (KBr) υ 3443, 3378 (NH2), 3221 (NH), 1656 (C=O), 1621 (C=N), 1569 (C=C), 1125, 1106 cm-1 (C-O-C); 1H-NMR (500MHz, DMSO-d6): δ 1.21 (3H, t, CH3), 2.21 (1H, s, NH), 2.61 (4H, s, 2NH2), 4.14 (2H, q, CH2), 5.05 (2H, s, CH2-N), 7.07-7.85 (5H, m, Ar-H and CH=C), 8.53 ppm (1H, s, indolyl H-2); MS: (m/z) 338 [M+, 30%]; Anal. C19H18N6O2 (338.36): Calcd: C, 60.34; H, 5.36; N, 24.84; Found: C, 60.29; H, 5.29; N, 24.99.
Preparation of compounds 19a, 19b and 19c
To a solution of sodium (0.23 g, 0.01 mol) in absolute methanol (20 ml) was added compound 18a, 18b or 18c (0.01 mol) and 3-amino-5-pyrazolone (0.99 g, 0.01 mol). The reaction mixture was heated under reflux for 3h. After cooling the solid that formed was filtered off, air dried and crystallized from absolute ethanol.
N-(4,5-Dihydro-5-oxo-1H-pyrazol-3-yl)-2-(3-(4,6-diamino-2-oxo-pyrimidin-5-ylidene)methyl)-1H-indol-1-yl)acetamide (19a)
Yield: 66%; MP: 222dec ˚C; IR (KBr) υ 3428, 3327 (NH2), 3226, 3195 (NH), 1705, 1653 (C=O), 1624 (C=N), 1554 cm-1 (C=C); 1H NMR (500MHz, DMSO-d6): δ 2.23 (4H, s, 2NH2), 3.92 (2H, s, CH2 pyrazole), 5.06 (2H, s, CH2-N), 6.25 (1H, s, NH), 7.02-7.75 (5H, m, Ar-H and CH=C), 8.17 (1H, s, indolyl H-2), 8.72 ppm (1H, s, NH);[13]C NMR (125MHz, DMSO-d6): δ 61.5 and 66.34 (2CH2), 106-147.9 (Ar-C), 168.8, 184.2 and 206.4 ppm (C=O); MS: (m/z) 392 [M+, 42%]; Anal. C18H16N8O3 (392.37): Calcd: C, 55.10; H, 4.11; N, 28.56; Found: C, 55.20; H, 4.29; N, 28.42.
N-(4,5-dihydro-5-oxo-1H-pyrazol-3-yl)-2-(3-(4,6-diamino-2-thioxo-pyrimidin-5-ylidene)methyl)-1H-indol-1-yl)acetamide (19b)
Yield: 70%; MP: 366-368˚C; IR (KBr) υ 3400, 3228 (NH2), 3197 (NH), 1685 (C=O), 1618 (C=N), 1590 (C=C), 1245 cm-1 (C=S); 1H NMR (500MHz, DMSO-d6): δ 2.12 (4H, s, 2NH2), 4.02 (2H, s, CH2 pyrazole), 5.11 (2H, s, CH2-N), 6.25 (1H, s, CH=C), 7.15-7.82 (4H, m, Ar-H), 8.25 (1H, s, indolyl H-2), 8.54 and 9.37 ppm (2H, 2s, NH); [13]C NMR (125MHz, DMSO-d6): δ 61.5 and 66.34 (2CH2), 107.1-169.7 (Ar-C), 184.6 and 206.9 ppm (C=O); MS: (m/z) 408 [M+, 23%]; Anal. C18H16N8O2S (408.44): Calcd: C, 52.93; H, 3.95; N, 27.43; Found: C, 52.81; H, 3.80; N, 27.30.
N-(4,5-dihydro-5-oxo-1H-pyrazol-3-yl)-2-(3-(4,6-diamino-2-iminopyrimidin-5-ylidene) methyl)-1H-indol-1-yl)acetamide (19c)
Yield: 56%; MP: 378-380˚C; IR (KBr) υ 3424, 3321 (NH2), 3221, 3165 (NH), 1676 (C=O), 1622 (C=N), 1545 cm-1 (C=C); 1H NMR (500MHz, DMSO-d6): δ 2.61 (4H, s, 2NH2), 5.22 and 5.29 (4H, 2s, 2CH2), 7.10-7.67 (5H, m, Ar-H and C=NH), 8.09 (1H, s, CH=C), 8.41 (1H, s, indolyl H-2), 8.60 and 9.34 ppm (2H, 2s, 2NH); [13]C NMR (125MHz, DMSO-d6): δ 47.7 and 61.5 (2CH2), 107-148.4 (Ar-C), 169.2 and 184.6 ppm (C=O);MS: (m/z) 391 [M+, 16%]; Anal. C18H17N9O2 (391.39): Calcd: C, 55.24; H, 4.38; N, 32.21; Found: C, 55.29; H, 4.49; N, 32.39.
Biological assays
Cell culture
A-549 (human lung cancer), MCF7 (human breast cancer) and HCT-116 (human colon cancer) and MCF7 (human breast cancer) cell lines were obtained from Karolinska Institute, Stockholm, Sweden. All cells were maintained in RPMI 1640 medium, except for A-549 cancer cells which were maintained in DMEM medium (Lonza Biowahittkar, Belgium). All the media were supplemented with 1% antibiotic-antimycotic mixture (10,000 U ml-1 potassium penicillin, 10,000 µg ml-1streptomycin sulfate, 25µg ml-1 amphotericin B and 1% L-glutamine (Biowest, USA).
MTT cytotoxicity assay
Cell viability was investigated using MTT [3-(4, 5-dimethylthiazol-2-yl)-2, 5-diphenyltetrazolium bromide] (Bio Basic Canada Inc., Canada) assay [19]. This reaction depends on the mitochondrial reduction of yellow MTT into purple formazan. All the preceding steps were carried out in sterile laminar air flow cabinet Biosafety class II level (Baker, SG403INT; Sanford, ME, USA). All incubations were done at 37˚C in 5% CO2 incubator in the humidified atmosphere (Sheldon, TC2323; Cornelius, OR, USA). Cells were seeded into 96-well microtiter plastic plates at the concentration of (104 cells per well) and allowed to adhere for 24 hours. Medium was aspirated and fresh medium (without serum) was added to the cells with various concentrations of the test compounds (100, 50, 25, 12.5, 6.25, 3.12, 1.56 and 0.78µg ml-1 in DMSO) and incubated for 48 hours. The medium was aspirated and 40 µl MTT salt (2.5µg ml-1) was added to each well and incubated for a further 4 hours. To stop the reaction and dissolve any formed formazan crystals, 200 µl of 10% sodium dodecyl sulfate (SDS) were added to each well and incubated overnight at 37˚C. The amount of formazan product was measured at 595 nm with a reference wavelength of 620 nm as a background using a microplate reader (Bio-Rad Laboratories, model 3350, USA). For the untreated cells (negative control), medium was added instead of the test compounds. A positive control Adrinamycin® (doxorubicin) (Mr=579.9) was used as a known cytotoxic natural agent giving 100% inhibition. Dimethyl sulfoxide (DMSO) was the vehicle used for dissolution of testing compound and its final concentration on the cells was less than 0.2%. IC50 was calculated for the samples and negative control (cells with vehicle) by the probit analysis using a simple t-test (SPSS statistical analysis software package/version 11.0, SPSS Inc., (IL), Chicago, USA).
Molecular docking study
Docking study of the most active antiproliferative compounds 3, 6, 8 and 17 were performed by Molecular Operating Environment (MOE) 2008.10 releases of Chemical Computing Group, Montereal, Canada (http://www. chemcomp. com.). The program operated on an Intel(R) core(TM) i3-32100 CPU@3.10GHz 3.09 GHz processor, 3.41 GB of RAM, Microsoft Windows XP.
Docking was performed against to the active site of the protein molecular surface of TopoI (PDB ID: 1T8I). The protein crystal structure of human DNA Topoisomerase I (PDB ID: 1T8I) in complex with camptothecin (4-ethyl-4-hydroxy-1, 12-dihydro-4H-2-oxa-6, 12a-diaza-dibenzo [b, h] fluorene-3, 13-dione) was downloaded from protein data bank (http://www. rcsb. org/-pdb) (PDB ID: 1T8I) [20].
The protein crystal structure was prepared for docking via removing of water molecules, addition and removal of polar hydrogen atoms then isolation of the active pocket. The active site was considered to be the site where co-crystalline ligand namely, camptothecin complexes with human DNA Topoisomerase I (PDB ID: 1T8I). The active pocket consisted of 20 amino acid residues as THR (D718), B12, TGP (B11), ASN (D722 and D352), ASP (D533), DT (A9, A19), DC (C112), LYS (D354, D532, D436, and D751), ARG (D364), DA (C113), GLU (D356), TRP (D416), MET (D428), TYR (D426)
The co-crystalline ligand was re-docked in the active pocket to insure the docking method was efficient and the active pocket was saved as moe file to be used for docking simulation of the selected compounds (ligands).
The structure of the selected compounds (ligands) for docking was drawn in ChemDraw Ultra 10.0 (ChemOffice package) and saved as mol. Before the molecular docking, preparation steps must be done as follow; a) converting the 2D structure of ligands to their 3D form; b) addition and removing of polar hydrogen atoms; c) energy minimized using the MMFF94x force field until a RMSD (Root-mean-square deviation) of atomic position gradient of 0.01 Kcal mol-1 Å-1 was reached and saved as moe. MMFF94x was reported as the efficient force field for minimizing ligand-protein complexes [21].
The docking Algorithm was done by MOE-DOCK default. It uses flexible, rigid technique for posing the molecule inside the cavity. All rotatable bonds of ligands are allowed to undergo free rotation to be placed into the rigid receptor binding site. The docking scores were expressed in negative energy terms; the lower the binding free energy, the better the binding affinity [22],and the ligand interactions (hydrogen bonding and hydrophobic interaction) with human DNA Topoisomerase I was determined.
RESULTS AND DISCUSSION
Chemistry
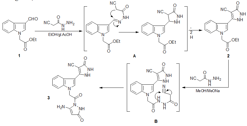
The synthetic routes of the target compounds are outlined in Schemes 1, 2 and 3. Condensation of ethyl 2-(3-formyl-1H-indol-1-yl) acetate (1) with 2-cyanoactic acid hydrazide in an equal molar ratio (1:1) in absolute ethanol containing a few drops of glacial acetic acid under reflux furnished a main product identified as ethyl 2-(3-(4-cyano-2,3-dihydro-3-oxo-1H-pyrazol-5-yl)-1H-indol-1-yl) acetate (2). 1H NMR spectrum of 2 revealed triplet and quartet signals at δ 1.21 and 4.21 ppm, respectively, due to the ester group in addition to the singlet signal at δ 5.18 ppm which attributed to CH2N, also revealed signals at δ 11.43 and 11.38 ppm due to the NH protons (D2O-exchangeable), besides the aromatic protons. Its mass spectrum showed a molecular ion peaks at m/z (%) = 310 (30). The pathway of the formation of 2 may initially start with the formation of aldemine A followed by intramolecular cyclization and aromatization to give 2, Scheme 1.
Further reflux of compound 2 with another molecule of 2-cyanoacetic acid hydrazide (1:1 molar ratio) in methanol and in the presence of sodium methoxide afforded a product identified as 5-amino-1-(3-(4-cyano-2,3-dihydro-3-oxo-1H-pyrazol-5-yl)-1H-indol-1-yl)acetyl)-1,2-dihydropyrazol-3-one (3). 1H NMR spectrum of 3 lacked the presence of ester protons of compound 2 and revealed new signals at δ 9.93, 9.69, 8.27 and 8.40 ppm due to (3H, 3NH and 2H, NH2, D2O-exchangeable), respectively, in addition to singlet signals at δ 8.06, 5.31 and 5.17 ppm due to indolyl H-2 pyrazolyl H-4 and CH2N, respectively, besides the aromatic protons at δ 7.37-6.55 ppm. Its mass spectrum showed a molecular ion peak at m/z (%) = 363(33). The pathway of the formation of 3 may initially start with the reaction between basic N-amino group of 2-cyanoacetic acid hydrazide and ester group with the loss of a molecule of ethanol, followed by nucleophilic addition of the lone pair of NH and CH2 to cyano group B to give 3, Scheme 1.

Scheme 1: Synthesis of compounds 2 and 3
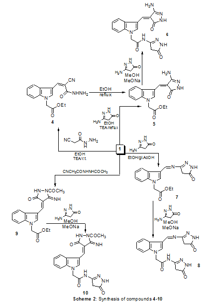
Base catalyzed reaction of 1 with 2-cyanoacetic acid hydrazide (1:1 molar ratio) under stirring at room temperature in absolute ethanol afforded ethyl 2-(3-(2-cyano-3-hydrazinyl-3-oxoprop-1-enyl)-1H-indol-1-yl)acetate (4), which on heating under reflux in absolute ethanol containing few drops of triethylamine yielded the cyclic 3-amino-5-oxo-1H-pyrazole derivative 5 (method A), Scheme 2. The absence of absorption band of (CN) in IR spectrum of compound 5 confirmed the intramolecular cyclization of compound 4.
On the other hand, base catalyzed reaction of compound 1 with 3-amino-5-pyrazolone (1:1 molar ratio) under reflux in absolute ethanol yielded a product identical in all aspects (mp, TLC, IR and 1H NMR spectra) with compound 5 with good yield 80% (method B), Scheme 2.
Further reflux of compound 5 with another molecule of 3-amino-5-pyrazolone (1:1 molar ratio) in methanol and in the presence of sodium methoxide led to the formation of N-(4,5-dihydro-5-oxo-1H-pyrazol-3-yl)-2-(3-(3-amino-5-oxo-1H-pyrazol-4(5H)-ylidene) methyl)-1H-indol-yl)acetamide (6), Scheme 2.
Acid catalyzed reaction of compound 1 with 3-amino-5-pyrazolone (1:1 molar ratio) under reflux in absolute ethanol yielded the corresponding Schiff base 7, which on reaction with another molecule of 3-amino-5-pyrazolone (1:1 molar ratio) in methanol and in the presence of sodium methoxide led to the formation of N-(4,5-dihydro-5-oxo-1H-pyrazol-3-yl)-2-(3-(4,5-dihydro-5-oxo-1H-pyrazo l -3-yl) methyleneamino)-1H-indol-1-yl)acetamide (8).
On the other hand, reaction of compound 1 with 2'-acetyl-2-cyanoacetohydrazide in absolute ethanol gave a product identified as ethyl 2-(3-(1-acetyl-5-imino-3-oxopyrazolidin-4-ylidene)methyl)-1H-indol-1-yl)acetate (9). IR spectrum of 9 showed the absence of CN group. It's 1H NMR spectrum revealed singlet signal at δ 2.04 ppm due to COCH3 in addition, two singlet signals at δ 10.02, 9.21 ppm of 2NH protons (D2O-exchangeable). Treatment of compound 9 with 3-amino-5-pyrazolone (1:1 molar ratio) in methanol and in the presence of sodium methoxide led to the formation of N-(4,5-dihydro-5-oxo-1H-pyrazol-3-yl)-2-(3-(1-acetyl-5-imino-3-oxo-pyrazolidin-4-ylidine) methyl)-1H-indol-1-yl) acetamide (10), Scheme 2.
Scheme 2: Synthesis of compounds 4-10
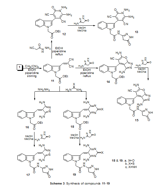
Knoevenagel condensation of compound 1 with malononitrile under stirring in absolute ethanol at room temperature gave ethyl 2-(3-(2, 2-dicyanovinyl)-1H-indol-1-yl) acetate (11). Cyclocondensation of 11 with 2-cyanoacetic acid hydrazide in the presence of piperidine led to the formation of 1,6-diaminopyridine derivative 12, whereas cyclocondensation of 11 with 3-amino-5-pyrazolone afforded pyrano(2,3-c) pyrazole derivative 14. Treatment of compounds 12 and 14 with 3-amino-5-pyrazolone (1:1 molar ratio) in methanol and in the presence of sodium methoxide led to the formation of N-(4,5-dihydro-5-oxo-1H-pyrazol-3-yl)-2-(3-(1,6-diamino-1,2-dihydro-2-oxo-3,5-dicyano pyridin-4-yl)-1H-indol-1-yl)acetamide(13) and N-(4,5-dihydro-5-oxo-1H-pyrazol-3-yl)-2-(3-(3,6-diamino-5-cyano-pyrano(2,3-c)pyrazol-4-yl)-1H-indol-1-yl)acetamide (15), respectively, Scheme 3.
On the other hand, reaction of 11 with hydrazine hydrate under reflux in ethanol in the presence of triethylamine afforded ethyl 2-(3-(3,5-diaminopyrazol-4(5H)-ylidene)methyl)-1H-indol-1-yl) acetate (16), which on treatment with 3-amino-5-pyrazolone (1:1 molar ratio) in methanol and in the presence of sodium methoxide led to the formation of N-(4,5-dihydro-5-oxo-1H-pyrazol-3-yl)-2-(3-(3,5-diamino-pyrazol-4(5H)-ylidene)methyl)-1H-indol-1-yl)acetamide (17), Scheme 3. Finally, reaction of 11 with urea, thiourea or guanidine in absolute ethanol under reflux led to the formation of 4, 6-diamino-2-oxopyrimidine 18a, 4,6-diamino-2-thioxopyrimidine 18b and 4,6-diamino-2-iminopyrimidine derivatives 18c, respectively. Further reaction of the latter compounds with 3-amino-5-pyrazolone (1:1 molar ratio) in methanol and in the presence of sodium methoxide led to the formation of 1, 3-diheterocycle indole derivatives 19a, 19b and 19c, respectively, Scheme 3.
Scheme 2: Synthesis of compounds 11-19
Cytotoxic activity
Ten new compounds numerically labeled with 3, 6, 8, 10, 13, 15, 17, 19a, 19b and 19c were preliminary screened for their in vitro antiproliferative activity against human lung cancer (A-549), human liver cancer (HEPG2), human colon cancer (HCT-116) and human breast cancer (MCF7) cell lines at a concentration of 100µg ml-1(table 1). Compounds 3, 6, 15, 17, 19b and 19c showed potent antiproliferative activity against A-549 cancer cell line of 100, 100, 97.3, 100, 100 and 80.0%, respectively, whereas, compounds 3 and 8 showed activity of 100% against HEPG2, and only compound 8 showed activity of 100% against HCT-116. On the other hand, compounds 15, 17, 19a and 19c showed antiproliferative activity of 100, 100, 92.3 and 100% against MCF7 (table 1).
Table 1: Antiproliferative activity of the newly synthesized compounds against human carcinoma cell lines at 100µg ml-1
Compound a |
Inhibition growth (%) (mean±SEM) |
|||
A549 |
HEPG2 |
HCT116 |
MCF7 |
|
3 |
100±0.00 |
100±0.00 |
15.9±1.20 |
65.9±1.20 |
6 |
100±0.00 |
29.8±1.60 |
27.6±1.66 |
35.8±2.60 |
8 |
42.3±1.20 |
100±0.00 |
100±0.00 |
22.5±3.50 |
10 |
53.8±1.45 |
33.2±2.60 |
3.8±0.60 |
29.4±1.70 |
13 |
64.5±2.16 |
28.7±1.10 |
21.5±1.00 |
26.8±3.80 |
15 |
97.3±1.15 |
38.5±2.20 |
27.6±2.60 |
100±0.00 |
17 |
100±0.00 |
26.9±1.30 |
16.9±1.30 |
100±0.00 |
19a |
62.7±3.90 |
29.7±2.30 |
26.8±1.70 |
92.3±1.50 |
19b |
100±0.00 |
44.5±1.95 |
18.5±2.70 |
100±0.00 |
19c |
80.0±2.08 |
11.8±1.28 |
35.4±2.00 |
57.4±3.70 |
Negative controlb |
0 |
0 |
0 |
0 |
Doxorubicina |
100±0.00 |
100±0.00 |
100±0.00 |
100±0.00 |
aconcentration of test compounds and positive control (doxorubicin) were 100µg ml-1, bUntreated cells in DMSO and its final concentration in the cells was less than 0.2 %, SEM = Standard error mean; each value is the mean of three values.
Compounds that showed antiproliferative activity higher than 80% at concentration of 100µg ml-1were used to calculate their IC50 value, which corresponds to the concentration required for 50% inhibition of cell viability. Doxorubicin, which is one of the most effective anticancer agents, was used as a reference drug (table 2). In case of A-549 cancer cell line, compound 3, 6 and 17 revealed potent activity of IC50 of 42.8, 44.9 and 45.8 µM, respectively, higher than the reference drug doxorubicin of IC50 48.8 µM. Regarding HEPG2 cell line, the results indicated that compounds 6 and 8 showed potent activity with IC50 of 68.5 and 23.1 µM, respectively, higher than the reference drug doxorubicin with IC50 of 37.8 µM. The results of HCT116 cell line indicated that only compound 8 has potent effect with IC50 of 57.4 µM higher than the reference drug doxorubicin of IC50 65.1µM.
Table 2: IC50 of the highly antiproliferative active compounds against human cancer cell lines
Compounds |
IC50 (mean±SEM) (µM) |
|||
A549 |
HEPG2 |
HCT116 |
MCF7 |
|
3 |
42.8±2.10 |
- |
- |
72.5±3.10 |
6 |
44.9±3.20 |
68.5±2.10 |
- |
92.3±2.30 |
8 |
105.5±1.90 |
23.1±3.50 |
57.4±2.70 |
110.1±3.50 |
15 |
90.1±3.50 |
- |
- |
- |
17 |
45.8±2.60 |
- |
- |
- |
19a |
- |
- |
- |
- |
19b |
- |
- |
- |
128.2±5.6 |
19c |
149.1±2.10 |
- |
- |
- |
Doxorubicin |
48.8±1.30 |
37.8±1.50 |
65.1±1.00 |
45.0±2.20 |
IC50: Compound concentration required to inhibit the cell viability by 50%, SEM = Standard error mean; each value is the mean of three values
Molecular docking study
The most promising antiproliferative compounds 3, 6, 8 and 17 were employed in docking study toward human DNA Topoisomerase I (PDB ID: 1T8I) using MOE 2008.10 program. From the data obtained (table 3, fig. 1a,b-5a,b) it was found that, the compounds under study exhibited good fitting inside the binding site of the protein molecular surface and having minimum binding energy ranged from-17.71 to-22.09kJ mol-1in comparison to co-crystallized ligand. Co-crystallized ligand camptothecin (4-ethyl-4-hydroxy-1,12-dihydro-4H-2-oxa-6, 12a-diaza-dibenzo[b, h] fluorene-3, 13-dione) exhibited binding energy of-17.61kJ mol-1,
RMSD value of 0.71 and formed two hydrogen bond; a) N atom of the quinoline ring with C=N of ARG (D364) in distance 2.85 Å; b) OH group of the pyrone ring with OH of ASP (D533) in distance 2.71 Å, besides two arene-arene links between quinoline ring and DA (C113) (table 3, fig. 1a,b).
Table 3: Docking results of the most active compounds which docked with Human DNA Topoisomerase I (PDB ID: 1T8I)
Compounds No. |
Binding Energy (kJ mol-1) |
Main atoms from the compounds | Main residue from 1T8I |
Distance Å |
Co-crystallized ligand |
-17.61 | N of quinoline | C=N of ARG (D364) | 2.85 |
| OH of pyrone | OH of ASP (D533) | 2.71 | ||
| Ph | DA (C113) | arene-arene | ||
| Pyridine | DA (C113) | arene-arene | ||
| 3 | -22.09 | NH | NH of DA (B13) | 3.18 |
| NH | OH of DG (B12) | 3.18 | ||
| CN | NH of ARG (D364) | 3.20 | ||
| NH | NH of THR (D718) | 2.66 | ||
| 6 | -21.13 | C=O | NH of LYS (D435) | 2.50 |
| NH | OH of TYR (D426) | 2.72 | ||
| NH2 | OH of LYS (D354) | 2.76 | ||
| 8 | -19.04 | NH | OH of DG (B12) | 2.32 |
| NH | OH of ASP (D533) | 2.42 | ||
| Indole | DA (C113) | arene-arene | ||
| Indole | TGP (B11) | arene-arene | ||
| 17 | -17.71 | NH | NH of DG (B12) | 3.37 |
| NH | NH of DA (B13) | 2.80 | ||
| NH of pyrazole | C=O of ASN (D722) | 2.72 | ||
| Indole | ARG (D364) | II-arene |
![]() |
![]() |
Fig. 1b: Simplified structure showing interaction between camptothecin and the amino acid residues in the human DNA TopoI (PDB ID: 1T8I) active site
Fig. 1a: Docked conformation alignment of co-crystallized ligand (camptothecin) in the human DNA TopoI (PDB ID: 1T8I) binding site
Compound 3 in which NH of indole was protected with acetyl pyrazole-5-amine moiety; besides the presence of pyrazole-4-carbonitrile ring at C-3 of indole showed the best docking score with minimum binding energy of-22.09 kJ mol-1 and formed four H-bonds with the amino acid residues of TopoI; a) NH2 of the acetyl pyrazole ring with NH of DA (B13) and OH of DG (B12) in distance 3.18 and 3.18Å, respectively; b) CN of the pyrazole-4-carbonitrile with NH of ARG (D364) in distance 3.20Å; c) NH of the pyrazole-4-carbonitrile with NH of THR (D718) in distance 2.66Å (fig. 2a, b).
![]() |
![]() |
Fig. 2b: Simplified structure showing interaction between 3 and the amino acid residues in the human DNA TopoI (PDB ID: 1T8I) active site
Fig. 2a: Docked conformation alignment of 3 and its original co-crystallized ligand in the human DNA TopoI (PDB ID: 1T8I) binding site
By replacement of N-(acetyl pyrazole-5-amine) with N-(acetamidopyrazole) in compound 6; besides the presence of pyrazolone ring moiety at C-3 of indole via methylidene bridge kept the good fitting inside the pockets site of the protein molecular surface with binding energy of-21.13 kJ mol-1 and formed three H-bonds; a) C=O of the acetamidopyrazole with NH of LYS (D435) in distance 2.50 Å; b) NH of the aminopyrazolone ring with OH of TYR (D426) in distance 2.72 Å; NH2 of the aminopyrazolone ring with OH of LYS (D354) in distance 2.76 Å (fig. 3a, b).
![]() |
![]() |
Fig. 3b: Simplified structure showing interaction between 6 and the amino acid residues in the human DNA TopoI (PDB ID: 1T8I) active site
Fig. 3a: Docked conformation alignment of 6 and its original co-crystallized ligand in the human DNA TopoI (PDB ID: 1T8I) binding site
On the other hand, compound 8 in which pyrazole ring linked to indole moiety via methylene amino bridge showed binding energy of-19.04 kJ mol-1 and formed two H-bonds; a) NH of the pyrazole ring with OH of DG (B12) in distance 2.32 Å; b) NH of the acetamido group with OH of ASP (D533) in distance 2.42 Å, beside two arene-arene links between indole moiety with DA(C113) and TGP(B11), respectively (fig. 4a, b).
![]() |
![]() |
Fig. 4b: Simplified structure showing interaction between 8 and the amino acid residues in the human DNA TopoI (PDB ID: 1T8I) active site
Fig. 4a: Docked conformation alignment of 8 and its original co-crystallized ligand in the human DNA TopoI (PDB ID: 1T8I) binding site
The presence of 3,5-diaminopyrazole ring incorporate to indole moiety at C-3 via methylidene bridge in compound 17 showed binding energy of-17.71 kJ mol-1 nearly similar to co-crystallized ligand camptothecin with three H-bonds; a) NH2 of 3,5-diamino-pyrazole ring with NH of DG (B12) in distance 3.37 Å and NH of DA (B13) in distance 2.80 Å; b) NH of the pyrazole ring with C=O of ASN (D722) in distance 2.72 Å, beside one II-arene link between indole ring and ARG (D364) (fig. 5a, b).
![]() |
![]() |
Fig. 5b: Simplified structure showing interaction between 17 and the amino acid residues in the human DNA TopoI (PDB ID: 1T8I) active site
Fig. 5a: Docked conformation alignment of 17 and its original co-crystallized ligand in the human DNA TopoI (PDB ID: 1T8I) binding site
These results of cytotoxic activity and molecular docking suggest that, substituted 1,3-dipyrazolylindole derivatives may have potential for development as clinical candidates to treat a variety of solid tumors.
CONCLUSION
New series of 1, 3-diheterocycles indole derivatives were synthesized starting from ethyl 2-(3-formyl-1H-indol-1-yl) acetate. Ten new compounds 3, 6, 8, 10, 13, 15, 17 and 19a-c were tested for in vitro antiproliferative activity against A-549, MCF7, HCT-116 and HEPG2 cancer cell lines. The potent antiproliferative compounds 3, 6, 8 and 17 were employed for docking study towards human DNA Topoisomerase I (PDB ID: 1T8I). The result showed that, the docking scores of the compounds under study were observed better than co-crystalline ligand (camptothecin), which was in agreement with their antiproliferative effects. Further work is recommended to confirm the inhibition of TopoI in a specific bioassay.
ACKNOWLEDGMENT
The authors are grateful to Micro-analytical Centre, Cairo University for carrying out IR and mass spectra. Also, the authors are thankful to Functional Nanomaterials, Institute for Materials Science, Christian Albrechts University Kiel, Kaiserstrasse, Germany for carrying out NMR spectra.
CONFLICT OF INTERESTS
Declare None
REFERENCES