Department of Pharmaceutics, Sahyadri College of Pharmacy, Methwade, Sangola 413307, Solapur, Maharashtra, India
Email: maliaudu442@gmail.com
Received: 02 Apr 2015 Revised and Accepted: 02 May 2015
ABSTRACT
Objective: A simple, accurate, precise and specific zero, first, second order and area under curve spectrophotometric methods has been developed for determination of Cefixime Trihydrate in its tablet dosage form by using methanol as a solvent.
Methods: (1) Derivative spectrophotometric methods: The amplitudes in the zero order derivative of the resultant spectra at 287 nm, first order derivative of the resultant spectra at 307 nm and second order derivative of the resultant spectra at 307 nm were selected to find out cefixime trihydrate in its tablet dosage form by using methanol as a solvent.
(2) Area under curve (Area Calculation): The proposed area under the curve method involves measurement of area at selected wavelength ranges. Two wavelength ranges were selected 281-295 nm for estimation of cefixime trihydrate.
Results: The linearity was found to be 5-25 μg/ml for cefixime trihydrate. The mean % recoveries were found to be 100.97%, 100.58%, 99.60% and 101.14% of zero, first, second derivatives and area under curve method of cefixime trihydrate. For Repeatability, Intraday precision, Interday precision, % RSD were found to be 0.2106, 0.2901 and 0.22569,0.2571 for zero order, 0.0008,0.6438 and 5.7700,0.3201 for first order, 5.2358,0.5701 and 0.0003,1.8601 for second order and 4.2571,0.7251 and 0.0582,1.2563 for area under the curve method respectively. Limit of Detection and Quantitation were found to be 0.42μg/ml and 1.35μg/ml for zero order, 0.416μg/ml and 0.952μg/ml for first order, 0.718μg/ml and 2.314μg/ml for second order, 0.819μg/ml and 2.429μg/ml for area under curve method respectively. Assay results of market formulation were found to be 100.97%, 100.58%, 99.60% and 101.14% for zero order, first order, second order and area under the curve method respectively. The proposed method has been validated as per ICH guidelines and successfully applied to the estimation of cefixime trihydrate in its Tablet dosage form.
Conclusion: The developed methods can be concluded as accurate, sensitive and precise and can be easily applied to the pharmaceutical formulation.
Keywords: Cefixime Trihydrate, Area under the curve method, UV visible spectrophotometry, Zero, First and second order derivative spectrum.
INTRODUCTION
Cefixime Trihydrate is a third generation cephalosporin antibiotic. Chemically it is a 5-Thia-1-azabicyclo [4.2.0] oct-2-ene-2-carboxylic acid, 7-[(2 amino-4thiazolyl) {(carboxymethoxy) imino] acetyle} amino] 3ethynyl-8-oxo-trihydrate [1, 2]. Cefixime Trihydrate clinically used in the treatment of susceptible infections including gonorrhea, otitis media, pharyngitis, lower respiratory-tract infections such as bronchitis and complicated and uncomplicated Urinary Tract Infection [3-5]. It is soluble in methanol and 0.1M NaOH, insoluble water and 0.1M HCl. Cefixime Trihydrate is effective against a wide spectrum of sensitive Gram–Ve, Gram+Ve and anaerobic bacteria pathogens including β-lactamase producing strains[6,7]. The antibacterial effect of cefixime results from inhibition of mucopeptide synthesis in the bacterial cell wall [8].
It is under the category of β-Lactam Antibiotics/cell Wall inhibitor. It Acts by inhibiting an enzyme transpeptidase, involved in the building of bacterial cell walls [9, 10]. It is used in Biliary Tract Infections, Sinusitis and Peptic Ulcer. It is official in United State Pharmacopoeia (USP) and British Pharmacopoeia (BP). USP describes High Performance Liquid Chromatography (HPLC) method and BP describes HPLC method. Several analytical methods have been developed for the determination of Cefixime Trihydrate. In lecturer review, ciprofloxacin was determined by high performance liquid chromatography (HPLC), voltammetry, Spectrofluorimetric method, Biosensors, HPLC–MS/MS, Solid phase spectrophotometry, micro emulsion electro kinetic chromatography (MEEKC) method[11,12,13-15],Microbiological turbidimetric method Spectrophotometry, Micellar liquid chromatographic (MLC) electrophoresis, flow injection UV spectrophotometric [16-19], flow injection chemiluminescence (CL), thin-layer chromatography is established, with micelle solutions as mobile phases(Micelle TLC Fluorimetry). The Rayleigh light scattering technique, Derivative spectrophotometertric, and Fourier transform infrared spectrometric (FTIR) [20-24].
To our notice, no UV-spectrophotometric method using zero, first, second order and area under the curve spectrophotometric method have been reported for the determination of Cefixime Trihydrate in bulk and tablets. Hence an attempt has been made to develop new zero, first, second order and area under the curve spectrophotometric methods for estimation of Cefixime Trihydrate in bulk and pharmaceutical formulations with good accuracy simplicity, precision and economy [25-27].

Fig. 1: Chemical structure of Cefixime Trihydrate
MATERIALS AND METHODS
Apparatus and instrumentation
A shimadzu 1800 UV/VIS double beam spectrophotometer with 1 cm matched quartz cells were used for all spectral measurements. Single Pan Electronic balance (CONTECH, CA 223, India) was used for weighing purpose. Sonication of the solutions was carried out using an Ultrasonic Cleaning Bath (Spectra lab UCB 40, India). Calibrated volumetric glassware (Borosil®) was used for the validation study.
Materials
Reference standard of Cefixime Trihydrate API was supplied as gift sample by Cipala Health Care (Pune, India). Tablet sample with label claim 400 mg per tablet were purchased from local market Pune.
Method development
Preparation of standard and sample solutions
Stock solution of 10μg/ml of Cefixime Trihydrate was prepared in methanol for zero, first second order and area under curve spectrophotometric analysis. The standard solutions were prepared by dilution of the stock solution with methanol in a concentration range of 5, 10, 15, 20 and 25μg/ml with methanol for zero, first second order and area under curve spectrophotometric methods. Methanol was used as a blank solution.

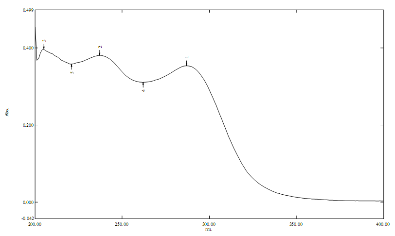
Fig. 2: Zero/0th order derivative spectrum of cefixime trihydrate in methanol (10µg/ml)
Assay procedure
Twenty tablets each containing 400 mg of Cefixime Trihydrate were weighed crushed to powder and average weight was calculated. Powder equivalent to 10 mg of Cefixime Trihydrate was transferred in 100 ml of volumetric flask. A 50 ml of methanol was added and sonicated for 15 minutes. Then solution was further diluted up to the mark with methanol. The solution was filtered using whatmann filter paper no. 41; first 5 ml of filtrate was discarded.
This solution was further diluted to obtain 10µg/ml solutions with water subjected for UV analysis using distilled water as blank. Appropriate dilutions were made with methanol from stock solution for zero, first, second order and area under the curve spectrophotometric methods.

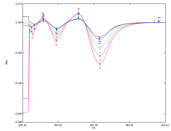
Fig. 3: First order derivative spectrum of cefixime trihydrate in methanol (10µg/ml)

Fig. 4: second order derivative spectrum of cefixime trihydrate in methanol (10µg/ml)
Table 1: Assay of tablet dosage form
| S. No. | Methods | Sample Sol. Conc. (µg/ml) | Amount found (%)* | Mean amount found (%) | %RSD* |
| 1 | Zero order | 10 | 97.14 | 97.22 | 97.13 |
| 2 | First order | 10 | 98.04 | 98.07 | 98.08 |
| 3 | Second order | 10 | 98.17 | 98.22 | 98.21 |
| 4 | Area under curve method | 10 | 100.26 | 101.58 | 99.06 |
*n=3, % RSD = % Relative Standard Deviation.
RESULTS AND DISCUSSION
The proposed zero, first, second and area under curve spectrophotometry method provides simple, specific, precise, accurate and reproducible quantitative analysis for determination of cefixime trihydrate. The method was validated as per ICH guidelines in terms of specificity, linearity, accuracy, precision, limits of detection (LOD) and quantification (LOQ), robustness and reproducibility. The proposed method can be used for routine analysis and quality control assay of cefixime trihydrate in bulk and tablet formulation.
Validation parameter [28]
The zero, first, second order and area under the curve method values spectra for Cefixime Trihydrate were recorded at the wavelength of 287 nm, 307 nm, 307 nm and 281-295 nm respectively.
Linearity and range
Under the experimental conditions described, the graph obtained for zero, first second order and area under curve methods spectra showed the linear relationship. Regression analysis was made for the slope, intercept and correlation coefficient values. The regression equations of calibration curves were y=0.035x+0.009 (r2=0.998) at 287 nm for zero order derivative spectrophotometry, y=0.001x+0.011 (r2=0.999) at 307 nm for first order derivative spectrophotometry, y=0.002x+0.08 (r2=0.996) at 307 nm for second order derivative spectrophotometry and y=0.014x+0.004 (r2=0.999) at 281 nm-295 nm for area under curve spectrophotometry methods. The range was found to be 5-25μg/ml for all zero, first, second order and area under curve spectrophotometric methods.

Fig. 5: Zero order derivative spectrum of cefixime trihydrate dosage form (10µg/ml)

Fig. 6: First order derivative spectrum of cefixime trihydrate dosage form (10µg/ml)

Fig. 7: Second order derivative spectrum of cefixime trihydrate dosage form (10µg/ml)

Fig. 8: Linearity of cefixime trihydrate by zero/0th order spectrophotometric methods

Fig. 9: Linearity of cefixime trihydrate by first order spectrophotometric methods

Fig. 10: Linearity of cefixime trihydrate by second order spectrophotometric methods

Fig. 11: Linearity of cefixime trihydrate by AUC spectrophotometric methods

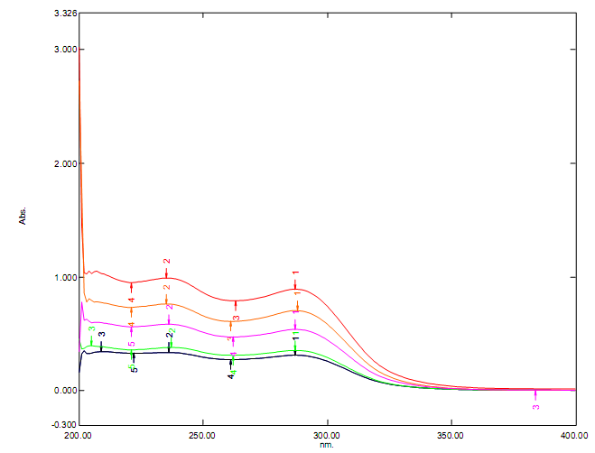
Fig. 12: Zero order derivatives overlay of cefixime trihydrate at diff. Concentration

Fig. 13: first order derivative overlay of cefixime trihydrate at diff. concentration
Accuracy
To study the accuracy of the proposed methods and to check the interference from excipients used in the dosage forms, recovery experiments were carried out by the standard addition method. The accuracy for the analytical method was evaluated at 80%, 100% and 120% levels of 20µg/ml standard solution.
For Zero, first, second order and area under curve methods derivative were measured in the wavelength range at 287 nm, 307 nm, 307 nm and 281 nm-295 nm respectively and the results were obtained in terms of the percent recovery. Three determinations at each level were performed and % RSD was calculated for each level. The accuracy of Cefixime Trihydrate was carried out as percent recovery shown in table 3.
Table 2: Stastical data for the calibration graphs for determination of Cefixime Trihydrate by Proposed methods
| Parameters | Zero order | First order | Second order | Area under curve methods |
| Linearity range (µg/ml)* | 5-25 | 5-25 | 5-25 | 5-25 |
| r2±S. D* | 0.998 | 0.999 | 0.996 | 0.999 |
Table 3: Accuracy results for Cefixime Trihydrate
| Accuracy level | Sample conc (µg/) | Std. conc | Total amnt. Added (µg/m) | %Recovery zero derivatie | %Recovery first derivatie | %Recovery second derivatie | % Recovery Auc | Mean of Zero derivative* | Mean of first derivative* | Mean of second derivative* | Mean of Auc derivative* | % RSD Zero derivative | % RSD first derivative | % RSD second derivative | % RSD Auc |
| 80 | 15 | 12 | 27 | 98.92 | 102.02 | 98.63 | 101.12 | ||||||||
| 15 | 15 | 30 | 101.39 | 99.17 | 98.71 | 102.47 | 100.97 | 100.58 | 99.60 | 101.14 | 0.926 | 0.833 | 0.851 | 1.512 | |
| 120 | 15 | 18 | 33 | 102.61 | 100.54 | 101.48 | 99.85 |
*n=3, % RSD = % Relative Standard Deviation.
Table 4: Results of intra and inter day precision
| Parameters | Intra Day Precision | Inter Day Precision |
| S. D* | % RSD* | |
| Zero order | 0.2106 | 0.2901 |
| First order | 0.0008 | 0.6438 |
| second order | 5.2358 | 0.5701 |
| Area under curve | 4.2571 | 0.7251 |
Precision
To determine the precision of the method, Cefixime Trihydrate solutions at a concentration of 10μg/ml were analysed each three times for all zero, first, second order and area under curve spectrophotometric methods. Solutions for the standard curves were prepared fresh every day. The intraday precision and interday precision were expressed in terms of relative standard deviation (RSD). For intraday & interday precision, % RSD for Cefixime Trihydrate was found to be satisfactory shown in table 4.
Sensitivity
The Limit of Detection (LOD) is the smallest concentration of the analyte that gives the measurable response. LOD was calculated using the following formula
LOD = 3.3σ/S
The Limit of Quantification (LOQ) is the smallest concentration of the analyte, which gives response that can be accurately quantified. LOQ was calculated using the following formula
LOQ = 10σ/S
Where, σ is standard deviation of the response and
S is the slope of the calibration curve.
The proposed method was evaluated statistically. The LOD and LOQ were found to be 0.42μg/ml and 1.35μg/ml for zero order derivative, 0.416µg/ml and 0.952µg/ml for first order derivative, 0.718µg/ml and 2.314µg/ml for second order derivative and 0.819µg/ml and 2.429µg/ml area under curve method respectively. The summary of validation parameter was shown in table 5.
Table 5: Summary of validation parameters
| Parameter | 0th/First derivative | 1st derivative | 2nd derivative | AUC |
| λ range | 200-400 nm | 200-400 nm | 200-400 nm | 200-400 |
| Regression Equation (y=mx+c) | Y=0.035x+0.009 | Y=0.001x+0.011 | Y=0.002x+0.08 | Y=0.014x+0.004 |
| Measured wavelength | 287 nm | 307 nm | 307 nm | 287 nm |
| Linearity range | 5-25µg/ml | 5-25µg/ml | 5-25µg/ml | 5-25µg/ml |
| Slope | 0.035 | 0.001 | 0.002 | 0.014 |
| Intercept | 0.009 | 0.011 | 0.08 | 0.004 |
| Correlation coefficient (R2) | 0.998 | 0.999 | 0.996 | 0.999 |
| Limit of Detection (LOD) µg/ml | 0.42 | 0.416 | 0.718 | 0.819 |
| Limit of Quantitation (LOQ) µg/ml | 1.35 | 0.952 | 2.314 | 2.429 |
| Accuracy (Mean % Recovery) | 100.97 | 100.58 | 99.60 | 101.14 |
| Precission (%RSD) | 0.926 | 0.833 | 0.851 | 1.512 |
Analysis of the marketed formulation
There was no interference from the excipients commonly present in the tablets. The drug content was found to be 100.82%, 98.13%, 101.24% and 99.78% for zero, first, second order derivative and area under curve spectrophotometric methods respectively. It may therefore be inferred that degradation of Cefixime Trihydrate had not occurred in the marketed formulations that were analysed by this method. The low % R. S. D. value indicated the suitability of this method for routine analysis of Cefixime Trihydrate in pharmaceutical dosage form. The method was successfully applied to tablet formulation. The results are shown in table 5.
ACKNOWLEDGEMENT
The authors are highly thankful to the Sahyadri College of Pharmacy, Methwade, Sangola, Solapur, and Maharashtra, India for proving all the facilities to carry out this research work successfully.
CONFLICT OF INTERESTS
Declared None
REFERENCES