1,2,3Department of Biochemistry, Biotechnology and Bioinformatics, Avinashilingam Institute for Home Science and Higher Education for Women, Coimbatore, India
Email: sreejaemerald@gmail.com
Received: 11 Apr 2015 Revised and Accepted: 11 May 2015
ABSTRACT
Objectives: Cataract is a common kind of blindness prevailing in India. Eye lens is normally exposed to toxic elements of the surroundings, leading to the formation of free radicals. In normal conditions, the presence of antioxidants may help to counteract the progression of free radical formation in an eye lens. Hence, it was requisite to assess the activities of enzymatic antioxidants in the eye lens extracted from cataractous subjects.
Methods: The cataractous lens samples of 120 subjects were collected from the ophthalmic centres in and around Coimbatore. The subjects were categorised into apparently normal cataract men (ACM), apparently normal cataract women (ACW), diabetic cataract men (DCM), diabetic cataract women (DCW), hypertensive cataract men (HCM) and hypertensive cataract women (HCW) with each group consisting of 20 samples. Activities of enzymatic antioxidants namely superoxide dismutase (SOD), catalase (CAT), glutathione peroxidase (GPx), glutathione reductase (GR), glutathione-S-transferase (GST) were assessed in the cataractous lens samples from the selected subjects. Data was interpreted using SPSS 16.0 software package.
Results: The activities of SOD and CAT were found to be significantly decreased (p<0.05) in all the five groups when compared to apparently normal cataract men. Enzymes of glutathione system exhibited a significant variation (p<0.05) in their activity in the cataractous eye lens extracted from diabetic and hypertensive cataract women in comparison to apparently normal cataract men. A significant decrease (p<0.05) in the activities of GR and GST was also observed in the cataractous eye lens extracted from diabetic and hypertensive cataract men when compared to the subjects of ACM group.
Conclusion: The outcome of the study suggested that cataractous subjects with clinical complications were much disposed to the reactive oxygen species and more affected than the apparently normal cataractous subjects.
Keywords: cataractous lens, Enzymatic antioxidants, Cataractous subjects, Apparently normal, diabetic, Hypertensive.
INTRODUCTION
Cataract is an ophthalmic disorder where the eye lens becomes opaque and leads to blindness when unoperated. The human eye lens possesses ample concentration of enzymatic antioxidants to fight the oxidative stress. But, when there is deterioration in their activities, the ocular lens tends to lose their antioxidant defense action and may result in blurred vision. There are many studies suggesting that diabetes mellitus [1] and hypertension [2, 3] are closely associated with the cataract development.
Initial step in the visual processing is absorption of visible light and its subsequent chemical conversions [4]. Our eyes are vulnerable to different kinds of pollutants and toxins of the existing environment, as they are constantly exposed to them. These pollutants may result in the production of reactive oxygen species (ROS) that might create oxidative stress in the ocular lens. The regular utilisation of oxygen within our body also persistently generates free radicals [5].
Eye lens possesses ample amount of antioxidants to defend these harmful products from entering inside the eyes. When the activities of these antioxidant enzymes in the eye lens get depleted, it will decelerate or avert the oxidation of that substance [6, 7] and there is a probability for the vision to be diminished which may further result in blurred vision or cataract. There are many studies which suggest that continuous exposure of the ocular lens to oxidative stress may damage the ocular lens leading to the development of cataract [8-10]. As individual ages, their lens may also be exposed to high oxygen level by vitreous humor [11] which might result in the oxidative stress leading to the high amount of ROS, ultimately causing cataract [12].
Among the enzymatic antioxidants, superoxide dismutase (SOD) provides the initial defense against detrimental ROS by converting the highly reactive superoxide anion into hydrogen peroxide and molecular oxygen. This hydrogen peroxide produced is then converted into water by catalase (CAT) or glutathione peroxidase (GPx) [13]. CAT have an important function in the lens defense mechanism [14-16]. Glutathione system of the eye lens includes the enzymatic antioxidants namely glutathione peroxidase, glutathione reductase (GR) and glutathione-S-transferase (GST). GR is a flavo enzyme that helps in the entry of reducing equivalents from nicotinamide adenine dinucleotide phosphate (NADPH) to the glutathione system [17-19].
Hence, the study was framed to assess the activities of enzymatic antioxidants in cataractous eye lens extracted from subjects with and without clinical complications.
MATERIALS AND METHODS
Collection of cataractous eye lenses
The present research work was approved by Avinashilingam Institutional Human Ethical Committee with the approval number HEC.2011.26. A total of 120 cataractous eye lenses were extracted by conventional surgery from cataract subjects with and without clinical complications who had visited the ophthalmic centres in and around Coimbatore. An informed consent was obtained from each subject. The subjects were categorised into six groups namely apparently normal cataract men (ACM), apparently normal cataract women (ACW), diabetic cataract men (DCM), diabetic cataract women (DCW), hypertensive cataract men (HCM) and hypertensive cataract women (HCW) with each group consisting of 20 cataractous eye lens samples. The subjects were selected based on the inclusion and exclusion criteria. All the subjects included in the investigation were above 50 years. Removal of cataractous eye lens through laser surgery was excluded from the investigation since they were not in the suitable form as required by the study. Subjects who were suffering from both diabetes mellitus and hypertension concurrently were also excluded from the study.
Estimation of activities of enzymatic antioxidants
The cataractous eye lens extracted from the subjects was homogenised in 0.1M phosphate buffer. The supernatant obtained after centrifugation of the homogenate was used for assessing the activities of enzymatic antioxidants. The activities of superoxide dismutase (SOD) and catalase (CAT) in the cataractous lenses extracted from the subjects were assessed by Beauchamp and Fridovich (1971) [20] and Luck (1974) [21] respectively. Glutathione peroxidase (GPx), glutathione-S-transferase (GST) and glutathione reductase (GR) are enzymatic antioxidant components of glutathione system in the eye lens which was assessed by Rotruck et al. (1973) [22], Habig et al. (1974) [23] and Beutler (1984) [24] respectively.
Statistical analysis
The data were interpreted by statistical analysis using SPSS 16 version package. Normality distribution of the data was observed initially to decide the type of test to be performed on it. As they were not normally distributed, the analysis was carried out with Kruskal Wallis test (non parametric test). The results are represented in box plot graph which indicated the median and interquartile range. The significance level was observed at p<0.05.
RESULTS AND DISCUSSION
The general characteristics namely age and body mass index (BMI) of the cataractous subjects are presented in table 1. In the present study, cataract was observed to occur at an early age in clinically complicated groups when compared to apparently normal cataract subjects. Bron et al. (1998) reported that individuals with diabetes are likely to develop mature cataract about 10 years earlier [25]. A significant decrease was observed in the BMI of diabetic cataract men (DCM) when compared to diabetic cataract women (DCW) and hypertensive cataract men (HCM). Apparently normal cataract men (ACM) showed a significant decrease in the BMI in comparison to apparently normal cataract women (ACW). Sobti and Sahni (2013) suggested an inverse association was found between BMI and cataract [26].
Table 1: It shows the general characteristics of the cataractous subjects
| Groups | Age (yrs) | BMI (kg/m2) |
| ACM (n = 20) | 81 (70, 85) | 25.6 (23.8, 27.5) |
| ACW (n = 20) | 80 (75, 82) | 27.5 (25.8, 29.2)a |
| DCM (n = 20) | 60 (59, 65)ab | 25.2 (23.3, 27.3)b |
| DCW (n = 20) | 61 (56, 68)ab | 27.3 (24.5, 29.3)c |
| HCM (n = 20) | 60 (54, 72)ab | 26.6 (25.4, 28.4)c |
| HCW (n = 20) | 66 (61, 73)abcd | 26.7 (24.1, 29.2) |
Values are expressed by Median (25th, 75th quartile), p<0.05, Superscript a denotes significant difference between ACM and groups ACW, DCM, DCW, HCM, HCW, Superscript b denotes significant difference between ACW and groups DCM, DCW, HCM, HCW, Superscript c denotes significant difference between DCM and groups DCW, HCM, HCW, Superscript d denotes significant difference between DCW and groups HCM, HCW, ACM: Apparently Normal Cataract Men (n=20) ACW: Apparently Normal Cataract Women (n=20), DCM: Diabetic Cataract Men (n=20) DCW: Diabetic Cataract Women (n=20), HCM: Hypertensive Cataract Men (n=20) HCW: Hypertensive Cataract Women (n=20)
The activities of enzymatic antioxidants were observed in the cataractous eye lenses extracted from cataractous subjects with and without clinical complications (diabetes and hypertension). Fig. 1 represents the activity of superoxide dismutase (SOD) in eye lens extracted from the cataractous subjects with and without clinical complications. A significant decrease (p<0.05) in the activity of SOD was observed in all the five groups when compared to apparently normal cataract men. The activity of SOD was found to be significantly decreased (p<0.05) in the cataractous eye lens from diabetic cataract men when compared to diabetic cataract women. SOD activity in the cataractous eye lens extracted from diabetic and hypertensive subjects were observed to be significantly decreased (p<0.05) when compared to apparently normal cataract subjects.
Fig. 2 depicts the activity of catalase (CAT) in the eye lens extracted from the cataractous subjects. Activity of CAT in the cataractous eye lens removed from the subjects with clinical complications were observed to be significantly decreased (p<0.05) when compared to those of apparently normal cataract men group. A significant decrease (p<0.05) in the activity of CAT in the cataractous eye lens was observed in diabetic cataract men in comparison to hypertensive cataractous subjects. The activity of CAT in the cataractous eye lens was found to be significantly decreased (p<0.05) in all the five groups when compared to ACM group. The cataractous eye lens obtained from hypertensive cataract men and women did not show any significant difference among them in the activities of SOD and CAT.
The results of the present investigation revealed that the enzymatic antioxidants, SOD and CAT exhibited a diminished activity in the cataractous eye lens extracted from the subjects of diabetic and hypertensive group when compared to apparently normal cataractous subjects. Enzymatic antioxidants namely SOD and CAT were observed to have a decreased activity in human cataractous lens samples [27, 28]. Several studies have also delineated that senile cataracts are associated with the diminished levels of antioxidants like SOD and CAT [29-31].

Fig. 1: Activity of superoxide dismutase in the eye lens extracted from cataractous subjects
‘
’ represents the outliers and ‘
’ represents extreme values
Unit = Amount of enzyme that gives 50% inhibition of NBT reduction per minute
ACM: Apparently Normal Cataract Men (n=20) ACW: Apparently Normal Cataract Women (n=20)
DCM: Diabetic Cataract Men (n=20) DCW: Diabetic Cataract Women (n=20)
HCM: Hypertensive Cataract Men (n=20) HCW: Hypertensive Cataract Women (n=20)
Activity of glutathione peroxidase (GPx) in the cataractous eye lens removed from subjects with and without clinical complications is shown in fig. 3. A significant decrease (p<0.05) in the activity of GPx in the cataractous eye lens was observed in apparently normal cataract men in comparison to diabetic cataractous women and hypertensive cataractous women, whereas no significant variation was observed in the activity of GPx in the cataractous eye lens from diabetic and hypertensive cataractous men when compared to that of apparently normal cataract men. The cataractous eye lens obtained from apparently normal cataract women showed a significant decrease (p<0.05) in the activity of GPx in comparison to diabetic cataractous women.

Fig. 2: Activity of catalase in the eye lens extracted from cataractous subjects
‘
’ represents the outliers and ‘
’ represents extreme values
Unit = µmoles of H2O2 decomposed per minute
ACM: Apparently Normal Cataract Men (n=20) ACW: Apparently Normal Cataract Women (n=20)
DCM: Diabetic Cataract Men (n=20) DCW: Diabetic Cataract Women (n=20)
HCM: Hypertensive Cataract Men (n=20) HCW: Hypertensive Cataract Women (n=20)
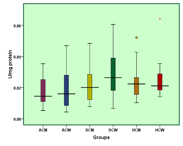
Fig. 4 illustrates the activity of glutathione reductase (GR) in the eye lens extracted from cataractous subjects. Diabetic cataractous subjects exhibited a significant decrease (p<0.05) in the activity of GR when compared to apparently normal cataractous men and women. A significant decrease (p<0.05) in the activity of GR was observed in hypertensive cataractous subjects when compared to apparently normal cataractous men.

Fig. 3: Activity of glutathione peroxidase in the eye lens extracted from cataractous subjects
‘
’ represents the outliers and ‘
’ represents extreme values
Unit = µg of GSH utilized per minute
ACM: Apparently Normal Cataract Men (n=20) ACW: Apparently Normal Cataract Women (n=20)
DCM: Diabetic Cataract Men (n=20) DCW: Diabetic Cataract Women (n=20)
HCM: Hypertensive Cataract Men (n=20) HCW: Hypertensive Cataract Women (n=20)

Fig. 4: Activity of glutathione reductase in the eye lens extracted from cataractous subjects
‘
’ represents the outliers
Unit = µmoles of NADPH oxidised per minute
ACM: Apparently Normal Cataract Men (n=20) ACW: Apparently Normal Cataract Women (n=20)
DCM: Diabetic Cataract Men (n=20) DCW: Diabetic Cataract Women (n=20)
HCM: Hypertensive Cataract Men (n=20) HCW: Hypertensive Cataract Women (n=20)

Fig. 5: Activity of glutathione-S-transferase in the eye lens extracted from cataractous subjects
‘
’ represents the outliers
Unit = µmoles of CDNB conjugated per minute
ACM: Apparently Normal Cataract Men (n=20) ACW: Apparently Normal Cataract Women (n=20)
DCM: Diabetic Cataract Men (n=20) DCW: Diabetic Cataract Women (n=20)
HCM: Hypertensive Cataract Men (n=20) HCW: Hypertensive Cataract Women (n=20)
Fig. 5 shows the activity of glutathione-S-transferase (GST) in the eye lens extracted from cataractous subjects with and without clinical complications. Except the HCM group, all the other groups exhibited a significant decrease (p<0.05) in the activity of GST when compared to apparently normal cataractous men. A significant decrease (p<0.05) was observed in the activity of GST in the cataractous eye lens extracted from diabetic cataractous subjects in comparison to hypertensive cataractous men. None of the enzymatic antioxidants of the glutathione system showed any significant difference in their activity among the cataractous eye lens obtained from hypertensive cataractous men and women. In this study, GR and GST with the exception of GPx were observed to show a significant decrease in their activity among the clinically complicated cataractous groups and apparently normal cataractous groups. Carey et al. (2011) observed a decrease in the levels of glutathione, GPx, GR and GST in cataract induced Wistar rat pups [32]. Barker et al. (1996) suggested that GR which is a glutathione dependent enzyme has a crucial role in maintaining glutathione homeostasis [33]. According to Rao et al. (1983), there was a decreased activity of glutathione-S-transferase in the cataractous lenses when compared with those of normal lenses [34]. Studies also reported that any alterations in the activity of glutathione peroxidase may lead to the development of cataract [35, 36]. The decrease in the activities of the almost all the enzymatic antioxidants in the present research indicated the severity of cataract in the clinically complicated groups than those of the apparently normal cataractous groups.
CONCLUSION
The results revealed that the activities of enzymatic antioxidants showed a significant variation in the diabetic and hypertensive cataractous subjects in comparison to apparently normal cataractous subjects. Consequently, the outcome of the study suggested that cataractous subjects with clinical complications were much disposed to the reactive oxygen species and more affected than the apparently normal cataractous subjects.
ACKNOWLEDGEMENT
The authors are thankful for the financial support provided by University Grants Commission [F. No. 40-197/2011 (SR)], New Delhi for the Major Research Project.
CONFLICT OF INTERESTS
Declared None
REFERENCES