
1Department of Pharmaceutical Sciences, JJT University, Jhunjunu, Rajasthan, India, 2Department of Pharmacology, A. R., College of Pharmacy, Anand, Gujarat, India
Email: praful.patel8@gmail.com
Received: 14 Apr 2015 Revised and Accepted: 21 May 2015
ABSTRACT
Objective: Study was undertaken with the objective, to develop simple, high yielding and economic method for the isolation as well as analysis of Karanjin and Pongamol from Karanja oil.
Methods: Karanja oil was subjected to extraction with methanol. Methanol extract was washed with little quantity of pet ether for removal of residual oil. Resultant extract was dissolved in a sufficient quantity of methanol and kept aside for 6 hours,a white precipitate formed which was subjected to repeated crystallization to get karanjin (1K). Residue obtains after precipitate removal was concentrated into half and extracted with dilute acetic acid and kept aside for 48 hours. A pale yellow crystals were formed on the side wall,collected it and chromatographed over the column with hexane and ethyl acetate (95:5) to obtain pure Pongamol (2P). Karanjin and Pongamol was analyzed by high performance liquid chromatography (HPLC).
Results: Yield of Karanjin was 35.5 g (0.89 %) and pongamol was 27.3 g (0.68 %) from 4 l of Karanja oil. HPLC method developed for the analysis of karanjin and pongamol produce results which comply with USP standards. Both compounds fail to produce a significant antibacterial effect on gram positive and negative bacteria as well as on pathogenic fungi and yeast.
Conclusion: This method for isolation is simple, economic and gives good yields of karanjin & pongamol from Karanja oil and HPLC method for the analysis of karanjin and pongamol is suitable for simultaneous estimation and reliable.
Keywords: Karanja seed oil, Karanjin, Furanoflavonoid, Pongamol, Diketone.
INTRODUCTION
Pongamia pinnata (L.) Pierre, popularly known as ‘Karanja’ in Hindi, ‘Pungam’ in Siddha. It is widely grown forest tree. Seeds of Pongamia pinnata contains 33–36% oil, which is widely known as Karanja oil, which is traditionally used for treating various disease conditions such as rheumatic pain, flatulence, diarrhea and cough [1].
Leaves of Pongamia pinnata reported to have anti-inflammatory [2], anti-lice [3] activity. Seeds of Pongamia pinnata have antioxidant [4], Anti-ulcer [5], anthelmintic [6] activity. Karanjin from Pongamia pinnata seeds has gastroprotective activity by inhibiting H+, K+-ATPase and oxidation of gastric tissues [7].
Karanjin and pongamol (fig. 1) are the major constituent of the seed oil of Karanja, with a wide application in the field of agriculture as a pesticide, insecticides in medicine as an anti-inflammatory and in cosmetics they are used as emollient, sunscreen. Now a day, demand for pongamol and karanjin is tremendously increased because of an increase in the potential application of pongamol and karanjin in cosmetic and tanning industry, but till date there is no any study reported for the economic and high yielding isolation of karanjin and pongamol from the seed oil of Karanja.

Fig. 1: Chemical structure of karanjin and pongamol
In present study, we tried to the setup method for simultaneous isolation of karanjin and pongamol from Karanja oil and their methods for analysis by HPLC. In this article, first time we documented the events of crystal formation of karanjin and pongamol from the microscopic to the macroscopic level.
MATERIALS AND METHODS
Karanja oil was procured from the Rajesh chemicals from, Mumbai, (India). Acetonitrile (ACN), potassium dihydrogen phosphate (KH2PO4), methanol, n-hexane, ethyl acetate, pet ether (60-80 °C), analytical grade, were sourced from the Finar Chemicals Pvt. Ltd. Dimethyl sulfoxide (DMSO) along with other reagents of analytical grade was purchased from Merck IND. Ltd. Nutrient agar, Potato dextrose agar, maltose glucose yeast peptone (MGYP) media, Chloramphenicoldisc, Ciprofloxacin disc, and Amphotericin‐B disc were recruited from Hi-Media, Mumbai, India.
Method of isolation
Pongamia pinnata L. Seed oil (4 l) was subjected to liquid extraction with methanol in the ratio of 1:2 (v/v) extractions was repeated 3 times all methanol fractions were pooled and concentrated for 48 h. A yellow colored methanolic extract obtained, was washed with petroleum ether (100 ml 2 times) for the removal of residual oils. Resultant yellowish precipitate (89g) was dried and dissolved in a sufficient quantity of methanol and kept aside for 48 h. White color precipitate (39.8g) (mixture of needle shape crystals and amorphous powder) settled, precipitate was separated and washed with cold methanol for removal of residual compounds, resultant residual methanolic solution was used for further isolation. The precipitate was dissolved by adding methanol in a small fraction till whole Precipitate was dissolved. The solution was filtered and kept for 12 h results in the formation of needle shape crystals which are separated and recrystallized with methanol till white color needle shape crystal (1k) (35.5g) (Image 1) obtain. The residual methanolic solution was concentrated (37.3g) and extracted with 80% acetic acid in the ratio of 1:2 (v/v) three times. Acetic acid fraction was pooled and kept aside for 3-4 d plate like crystal settled. Crystals were separated from acetic acid solution and washed with hexane and cold methanol a pale yellow color compound obtained which is purified by column chromatography by using hexane and ethyl acetate (95:5)and recrystalised with methanol a pale yellow color plat like compound (2p) (27.3 g) were obtained (Image 1).
Methods of analysis
Melting point was determined by using a conventional melting point assembly. IR spectrum was recorded on Shimadzu FT-IR 4000 spectrometer. UV spectroscopy was carried out on Shimadzu spectrophotometer.
1H NMR spectra were determined in the indicated solvent on a Varian Mercury plus 300 spectrometer operating at 300 MHz by using CDCl3 as a reference solvent.
Gas chromatography mass spectroscopy (GC-MS) analysis was carried out on GC (Agilent, 7890) which is integrated with MS (Jeol, Accu TOF CGV) by using electron impact ionization (EI) in the positive ion mode. Experimental conditions of GC-MS system are as follows: TR 5-M capillary non-polar column, having dimension: 30 m, Internal Diameter: 0.25 mm, Film: 0.25 mm was used and 1 ml/min flow rate of the mobile phase (carrier gas: He) was set. In the gas chromatography part, temperature program (oven temperature) was started from 100 °C and raised to 250 °C at a rate of 10 °C/min and 1 µl of the sample was injected which is dissolved in chloroform. The instrument was run fully at a range of 50-350 m/z.
Liquid Chromatography-Mass Spectroscopy (LC-MS) analysis was carried out on Varian 410 Proster Binary LC with 500 MS, HPLC with Photo Diode Array (PDA) detectors and MS was carried out in positive ion mode with electro spray ionization (ESI). GC-MS and LCMS of both compounds was carried for minimizing the avoiding errors in the mass data because of trace compounds present in the karanjin and pongamol. These both methods generate accurate mass data of compounds of interest as compared to only mass spectroscopy.
TLC analysis was performed on 0.20 mm silica gel 60 (E. Merck) aluminium supported plates. By using toluene and ethyl acetate (1:1) as a mobile phase and visualized under UV light at 254 nm.
HPLC analysis was performed with Agilent technologies 1260 infinity System uses 25 cm×4. 6 mm C-18 (5 µm particle size) column, with quiet pump (G1311C), 20 µl samples was injected by auto sampler (1250 ALS), monitoredby UV (UV 1250 VWO) and chromatographic data were processed with software provided along with the HPLC system. By using acetonitrile, 0.025 mM KH2PO4 buffer (80:20) having pH 2.5 with a flow rate of 1 ml/min and estimated at 254 nm at room temperature. Reagent grade solvents were used for extraction and HPLC grade solvents were used for chromatographic analysis.
Antimicrobial activity
Test organisms
Six isolates of microorganism used in the study were, S. aureus (NCIM 2079), B. subtilis (NCIM 2250), E. coli (NCIM 2109) and P. Aeruginosa (NCIM 2036), yeast C. albicans (NCIM 3471)and fungi A. Niger (NCIM 545). These cultures were obtained from the National Collection of Industrial Microorganism (NCIM), NCL, Pune 411008, Maharashtra (India). All these cultures were maintained on nutrient agar plates at 4 °C.
Nutrient medium
Nutrient agar was used for bacteria with composition, sodium chloride (5 g/l), beef extract (10.0 g/l), peptone (10.0g/l) having pH 7.2. Media used for the fungi A. niger is potato dextrose agar with composition, potatoes infusion (200 g/l), dextrose (20 g/l) having pH 5.2 and MGYP media used for yeast with composition, malt extract (3.0 g/l), glucose (10.0 g/l), yeast extract (3.0 g/l), and peptone (5.0 g/l) having pH 6.4.
Positive and negative control
The antibiotic was used as positive control are, Ciprofloxacin (10 μg/disc) and Chloramphenicol (10 μg/disc) for S. aureus, B. subtilis, E. coli and P. aeruginosa, Amphotericin-B (100 units/disc) for C. albicans and A. niger. DMSO was used as a negative control. Karanjin and Pongamol in a concentration of 100 μg per 6 mm disc were assayed.
Antibacterial assay
Antibacterial potential was measured in terms of the zone of inhibitions using the disk diffusion method [8]. The sterilized 25 ml medium was poured into pre-labelled sterile petri plates, allowed to set at room temperature and dried in order to avoid moisture on the surface of the agar. For bacterial cell growth,the suspension was culture prepared. The plates containing respective nutrient media were swabbed with 0.2 ml of 24 hours cultured inoculums using sterilized cotton swabs. A disk containing the respective concentrations of karanjin, pongamol, ciprofloxacin, chloramphenicol and amphotericin-B, were placed on the incubated nutrient media. These were incubated at 37 °C for 48 hours. Inhibition zones (in mm) were measured after 48 h at 37 ⁰C. An experiment was carried out in triplicates for each test organism and the mean values were computed.
RESULTS
Isolated compounds 1K and 2P from karanja oil was analyzed by using various analytical methods to confirm the structure of both isolates. GC-MS and LC-MS analysis was performed for the prediction of the fragment of karanjin and pongamol. GC-MS and LC-MS were performed instead of conventional mass spectroscopy for avoiding interference of fragments of impurity present in the karanjin and pongamol. The results of analysis are as follows.
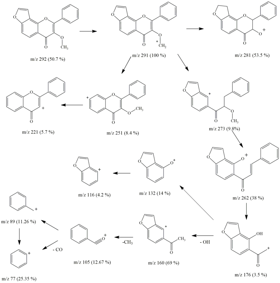
Karanjin (1K) was obtained as white needle shaped crystalline solid having melting point 156-158 °C. in thin layer chromatography (TLC) retention factor(Rf) 0.94 (Benzene: ethyl acetate: : 1:1), Rf 0.67 (ethanol: ethyl acetate: : 7:3); in UV spectroscopy λmax(methanol) is 267,320 nm; IR(KBr, cm-1) = 3134, 3054, 1626, 1603, 1458, 1407, 1372, 1286, 1228, 1164, 1140, 1133, 1036;MS (ESI, 70 eV) [relative intensity in %]: 292 [C18H12O4 M+](50.7), 291 [M-H]+(100), 281 (53.5), 273 [M-H2O]+(9.8), 262 [C17H10O3]+(38), 251 [C16H11O3]+(8.4), 176 [C10H7O3]+(5.4), 160 [C10H8O2]+(69.01), 132 [C8H5O2]+(14.08), 116 [C8H5O]+(4.2), 105 [C7H5O]+(12.67), 89 [C7H5]+(11.26), 77 [C6H6]+(25.35) structure prediction of these fragments is represented in the fig. 2;1H NMR (400 MHz, CDCl3) δ 8.18(d, J=8.8 Hz, 1H,-CH=CH-), 8.15 (m, 2H), 8.13 (m, 2H), 7.76 (d, J=2.2 Hz, 1H,-O-CH=CH-), 7.58 (m, 2H), 7.54 (d, J=2.2 Hz, 1H,-CH=CH-), 7.56 (m, 4H), 7.18 (d, J=2.6 Hz, 1H,-O-CH=CH-), 3.93 (s, 3H, O-CH3). After extraction procedure 35.50 g pure karanjin was obtained from 4 l of Karanja oil. From the analysis of the datait is [3-methoxy-2-phenyl-4H-furo [2,3-h] [1] benzopyran-4-one].
Pongamol (2P) was obtained as large pale yellow rhombic prism shaped crystals having melting point 156-158 °C. in TLC Rf 0.87 (Hexane: ethyl acetate: : 95:5), Rf 0.51 (Pet ether: ethyl acetate: : 1:1); in UV spectroscopy λmax(methanol) is 250,352 nm; IR(KBr, cm-1) = 3401, 1598, 1548, 1351, 1218, 1160, 1137, 1062, 974, 804, 777, 748, 707, 698;MS (ESI, 70 eV) [relative intensity in %]: 294 [C18H14O4, M+] (11.25), 276 [M-H2O]+(10), 264 (27.5), 263 [M-OMe]+(100), 176 (11.25), 175[C10H7O3]+(68.75), 160 [C10H7O2]+(26.5), 148 (7.5), 133 [C8H4O2]+(7.5), 116 [C8H4O]+(6.25), 105 [C7H5O]+(23.75), 89 [C7H5]+(11.25), 77 [C6H6]+(27.5) structures of these fragments is represented in the fig. 3;1H NMR (400 MHz, CDCl3) δ 16.92 (br s, 3H,-C-OH), 7.99 (d, J=1.4 Hz, 2H,-C=CH-CH=), 7.87 (d, J=8.8 Hz, 1H,-CH=CH-), 7.62 (d, J=2.2 Hz, 1H,-O-CH=CH), 7.54 (t, J=3.2 Hz, 1H,-CH=CH-CH=), 7.47 (t, J=7.3 Hz, 2H,-CH=CH-CH=), 7.32 (d, J=8.8 Hz, 1H,-CH=CH-), 7.16 (s, 1H,-C=CH-C=), 6.99 (d, J=2.6 Hz, 1H,-O-CH=CH), 4.65 (s, 3H,-O-CH3). 27.30g 2P was isolate from 4 l of karanja oil. From the analysis of data Compound 2P is Pongamol [1-(4-Methoxy-5-benzofuranyl)-3-phenyl-1,3-propanedione].
Image 1 shows the series of the development of the white needle shaped crystals of Karanjin and yellow rhombic prism shaped crystals of pongamol starting from the microcrystals to the macroscopic stable crystal this indicates the purity of karanjin and pongamol because crystals are developed only on the binding of the molecules of same compound and in absence of interfering conditions such as temperature, viscosity, quantity of impurities etc. Crystals are formed quickly when the solute concentration reaches to saturation point in the solution that time solute from real crystals on it and in this study we got karanjin ˃95% and pongamol ˃90% pure. In the GC and LC analysis of these compounds we found that the single prominent peak of the both compounds has, more than 90% of the total peak area.
The antibacterial efficacy of Karanjin and Pongamol was assessed in terms of presence or absence of inhibition zone against different Gram positive, Gram negative bacteria, yeast and fungal strains, we doesn’t observe clear zone of inhibition (table 1).
The antibacterial studies revealed that, the karanjin and pongamol doesn’t have bactericidal activity against S. aureus, B. subtilis, E. coli,P. aeruginosa, C. albicans and A. niger.

Fig. 2: Shows fragmentation pattern of karanjin,predicted from the mass data obtained from GC-MS and LC-MS

Fig. 3: Shows fragmentation pattern of Pongamol, predicted from mass data obtained from GC-MS and LC-MS

Image 1: Image A and B is a microscopic and C is a photographic image of needle shape crystals ofkaranjin, imageD and E is a microscopic and F is a photographic image of a rhombic prism shaped crystals of pongamol
Table 1: Antibacterial activity of Karanjin and Pongamolisolated from Karanja oil
| Minimum Inhibitory Concentration (mg/ml) | ||||||
| Gram negative bacteria | Gram positive bacteria | Yeast | Fungi | |||
| Sample | E. coli, | P. aeruginosa | S. aureus | B. subtilis | C. albicans | A. niger |
Karanjin (100 μg/disc) |
-- | 4.28±0.15 | 2.85±0.20 | -- | -- | -- |
Pongamol (100 μg/disc) |
-- | -- | -- | -- | -- | -- |
| Chloramphenicol | 28.67±0.27 | 24.44±0.17 | 29.63±0.22 | 26.30±0.16 | NA | NA |
| Ciprofloxacin | 21.11±0.25 | 22.23±0.18 | 22.33±0.21 | 21.34±0.17 | NA | NA |
| Amphotericin-B | NA | NA | NA | NA | 14.23±0.17 | 15.34±0.12 |
Key: (--) indicates no activity; values are mean±S. E. M (n=3)

Fig. 4: HPLC chromatograms of karanjin and pongamol
Karanjin analysis by HPLC method with a flow rate of 1 ml/min with the elution of acetonitrile: 0.025 mM KH2PO4buffer (80:20) having pH 2.5, monitored by UV at 254 nm, and peak appeared on 4.5±0.3 min, on the analysis of a chromatogram, purity of karanjin observed more than 98 %. Pongamol on elution with acetonitrile: 0.025 mM KH2PO4 buffer (80:20, pH 2.5) (fig. 4) when detected by UV at 254 nm, peak appeared on 7.4±0.2 min, an analysis of a chromatogram, pongamol was found to be more than 96% pure. When mixture of pongamol and karanjin (1:1) was injected in HPLC by applying all the conditions used for Karanjin analysis, both the compounds are well separated and appeared at the respective retention time with 0.3 min deviation but peak purity, tailing factor, and theoretical plates are within limits. As per USP resolution power will be more than 2, theoretical plates will be more than 2000, asymmetry will be less than 2, and by this method karanjin shows 2.14, 5681, 1.479 resolution power, theoretical plates, and tailing factor respectively. Pongamol shows 14.95, 9106, 1.350 resolution power, theoretical plates, and tailing factor, respectively over all this HPLC method for the estimation of Karanjin and Pongamol is complying with the USP requirements for the HPLC method. When mixture of karanjin and pongamol was estimated by HPLC, shows 5.2 and 10.7, 7833 and 9218, 1.391 and 1.355 resolution power, theoretical plates and tailing factor between peaks of karanjin and pongamol respectively.
DISCUSSION
Karanjin and pongamol was isolated by the Srivastava and co-workers by using column chromatography of the ethanolic extract of karanja seeds,but the yield of karanjin and pongamol is very low and required huge amount of solvents [9]. Method by which we isolated karanjin and pongamol from the methanolic extract of the karanja oil required less quantity of solvents, economic, good yield and purity of karanjin and pongamol incomparably less time. This method is useful for commercial scale isolation of the karanjin and pongamol. Isolation or purification of the pongamol in the purestform is quite critical, we succeeded in purification of it up to 94 %. In the past no one was reported the formation of crystals and crystal photos of the karanjin and pongamol from the starting of microscopic crystal formation to the stable macroscopic crystals of karanjin and pongamol (Image 1).
Mass data obtained from the GC-MS and LCMS analysis, we predicted the structures of the mass fragments produced in a possible fragmentation pattern. We also found that fragment with m/z 294, 276, 263, and 175 (fig. 3) are characteristic mass fragment produced by the pongamol and fragments with m/z 292, 291, 281, 273, 251, 221, and 262 (fig. 2)are characteristic mass fragments produced by the Karanjin. The presence of these all fragment in mass spectra is helpful for the identification and confirmation of the pongamol and Karanjin.
In the chemical abstracts pongamol is represented as a diketones, but on the analysis of NMR and IR spectrum of isolated pongamol, we found that, it is present in the form of enol, in 1H spectrum singlet for 1H at δ 16.92 and δ 7.16 represent enolic hydroxyl group. This observation was also reported by Parmar and co-worker’s[10]. A broad band in the 3401 to 2800 cm-1 in the IR spectrum denote the presence of hydroxyl group. So, in present study, we found that pongamol is present in the enol form and not as a diketone.
HPLC method for the analysis of the karanjin was developed by using a mixture of methanol water and acetic acid (85:13.5:1.5) as isocratic mobile phase [11]but this mobile phase is not suitable for the analysis of pongamol, this mobile phase produce tailing, decrease peak purity of pongamol and when mixture of karanjin and pongamol injected merging of peaks occurs. Till date, there is no any system reported for the simultaneous estimation of karanjin and pongamol. We tried various solvent systems for the simultaneous estimation of both these compounds and finally we succeeded by using acetonitrile and 0.025 mM potassium dihydrogen phosphate buffer (80:20) having pH 2.5 with a flow rate of 1 ml/min. This method is suitable for the estimation of both karanjin and pongamol. Peaks of both compounds are well separated, has good theoretical plates, tailing factor within the range, and good peak purity and results obtained by this method are complying with the prescribed USP standards for the chromatographic results. This method has remained to be validated for the accuracy, precision, linearity and robustness. So this single method was able to estimate the karanjin and pongamol simultaneously.
CONCLUSION
This is the simplest method for the isolation of karanjin and pongamol from the karanja oil by these methods solvent requirement is very low and yield of the compound was comparably good. This is also good method for the detoxification of karanja oil. HPLC method designed for the estimation of Karanjin and pongamol simultaneously was comply with the USP requirements. Karanjin and pongamol doesn’t have bactericidal potential against S. aureus, B. subtilis, E. coli,P. aeruginosa, C. albicans and A. niger.
ACKNOWLEDGEMENT
Author are thankful to the SAIF department of IIT, Bombay for conducting GCMS, LCMS, and NMR, analysis of isolated compounds.
CONFLICT OF INTERESTS
We declare that we do not have any conflict of interest
REFERENCES
Khare CP. Pongamia pinnata. In: Indian medicinal plants an illustrated dictionary. Springer; 2007. p. 511-2.
Srinivasan K, Muruganandan S, Lal J, Chandra S, Tandan SK, Ravi PV. Evaluation of anti-inflammatory activity of Pongamia pinnata leaves in rats. J Ethnopharmacol 2001;78:151–7.
Samuel AJSJ, Radhamani S, Gopinath R, Kalusalingam A, Vimala AGKA, Husain HA. In vitro screening of anti-lice activity of Pongamia pinnata leaves. Korean J Parasitol 2009;47(4):377-80.
Vadivel V, Biesalski HK. Contribution of phenolic compounds to the antioxidant potential and type II diabetes related enzyme inhibition properties of Pongamia pinnata L. Pierre seeds. Process Biochem 2011;46:1973–80.
Goel RK, Prabha T, Dorababu M, Goel S, Agrawal PK, Singh A, et al. Effect of methanolic extract of Pongamia pinnata Linn seed on gastro-duodenal ulceration and mucosal offensive and defensive factor in rats. India J Exp Biol 2009;47:649-59.
Nirmal SA, Malwadkar G, Laware RB. Anthelmintic activity of Pongamia glabra. Songklanakarin. J Sci Technol 2007;29(3):755-7.
Dharmesh SM, Vismaya, Belagihally SM, Rajashekhar S, Jayaram VB, Kanya S, et al. Gastroprotective properties of karanjin from karanja (Pongamia pinnata) seeds; role as antioxidant and H+, K+-ATpase inhibitor. Evidence-Based Complementary Altern Med 2011;20:1-10.
Jorgensen JH, Turnidge. Susceptibility test methods: dilution and disk diffusion methods. In: Manual of clinical Microbiology 9th ed. American society for microbiology; 2007. p. 1152‐73.
Srivastava AK, Tamrakar AK, Yadav PP, Tiwari P, Maurya R. Identification of pongamol and karanjin as lead compounds with antihyperglycemic activity from Pongamia pinnata fruits. J Ethnopharmacol 2008;118:435–9.
Parmar VS, Rathore JS, Jain R, Henderson DA, Malone JF. Occurrence of pongamol as the enol structure in Tephrosiapurpurea. Phytochemistry 1989;28(2):591-3.
Katekhaye S, Kale MS, Laddha KS. Development and validation of the HPLC method for Karanjin in Pongamia pinnataLinn. leaves. Indian J Pharm Sci 2012;74(1):72-5.