
1Department of Chemistry, University of Peradeniya, Peradeniya, Sri Lanka, 2Sri Lanka Institute of Nanotechnology, Homagama, Sri Lanka
Email: veranjak@slintec.lk
Received: 24 Apr 2015 Revised and Accepted: 11 Jul 2015
ABSTRACT
Iron is one of the essential elements involved in many cellular processes that are necessary for life, including oxygen sensing, oxygen transport, electron transfer, energy metabolism, DNA synthesis etc. Although, iron is not readily available in the naturally available iron III form, microorganisms have evolved to produce smaller high affinity chelating small organic molecules called siderophores for its acquisition. The study of siderophores has opened up investigations of small-molecule inhibitors, which can hinder the biosynthesis of siderophores and thereby suppress the growth and virulence of bacteria in iron-limiting backgrounds. One of the most important applications of siderophores is selective drug delivery to defeat drug-resistant bacteria. It uses the iron transport capabilities of siderophores in carrying drugs/molecules into cells, synthetic through conjugates between siderophores and antimicrobial agents forming sideromycins. Some siderophore such as Desferrioxamine B have been found to be useful in the treatment of malaria caused by Plasmodiumfalciparum through intracellular iron depletion mechanisms. Importantly, iron overload diseases can be efficiently treated with siderophore based drugs as they can quench iron effectively. Moreover, siderophores such as dexrazoxane, desferriexochelins, isonicotinoyl hydrazine derivatives are being used in cancer therapy, as they prevent the formation of free radicals by reducing iron and retard the tumor growth by disturbing the iron regulation in tumor cells. In addition to bacterial siderophores, it is reported that plant-derived polyphenols, phenolic acids,and flavonoid compounds show siderophores like activity scavenging iron which gives rise to their antioxidant and anticancer activity.
Keywords: Iron chelators, Bacterial siderophores, Antibacterial activity, Siderophore-antibiotic conjugates, Iron chelating polyphenols.
INTRODUCTION
Iron is indispensable to all living organisms. The unique chemistry of iron helps it to coordinate and activate molecular oxygen; its perfect redox chemistry comprising of three oxidation states [Fe (II), Fe (III), Fe(IV)] allows it to be involved in the electron transport and other important metabolic processes. Although, iron is plentiful in the earth’s crust, its bioavailability in the aerobic environment is compromised due to the very low solubility of Fe(OH)3. In the face of this dilemma–high abundance, but low availability–living organisms have developed various stratagems to scavenge and absorb iron from the environment. One of the commonest such ploys is the production of low molecular weight organic compounds referred to as siderophores (from the Greek: iron carriers). Today, over 270 such compounds have been structurally characterized [1] and synthetic routes for their abiotic preparation have been elaborated [2, 3]. Some notable siderophores with high affinity are mycobactin, ferrichrome, arthrobactin and desferrioxamine B.
Siderophores exhibit a higher affinity for Fe (III) compared to Fe (II). By understanding that it is difficult to design ligands which are selective to Fe (II) over other biologically important cations like Ni (II), Zn (II), Cu (II) and Mn (II), one can appreciate this affinity for Fe (III). However, any ligand selective for Fe (III) will also be selected for other trivalent cations as well. One possible competitor for Fe (III) which is biologically important is Co (III), which, fortunately, is kinetically inert. Another ubiquitous trivalent metal Al (III), because of its smaller ionic radius (0.54 Å) compared to Fe (III) (0.65 Å), has a significantly less affinity for siderophores. For example, the log affinity constants of Al (III) and Fe (III) for desferrioxamine B are 21.4 and 30.6, respectively [4].
Siderophores possess charged oxygen atoms to bind Fe (III) in an octahedral environment. Thus, with six ligands around the iron atom, there is a minimum repulsion between ligands which allows thermodynamically stable high-spin Fe (III) species. In siderophores, in addition to oxygen, sometimes N or S is used as donor atoms leading to a lesser affinity for Fe (III). After the Fe (III) is sequestered by the siderophore molecule, cellular uptake can take place either by release of iron through reduction at the extracellular surface or by the internalization of the whole siderophore-Fe (III) complex. Filamentous fungi and yeast (eukaryotes) owing to their membrane-standing ferrisiderophore reductases are capable of Fe (III) uptake via both pathways. However, in bacteria, the main uptake route is by internalization of the iron-siderophore complex [5].
Microbes have adapted to utilize siderophores by regulating enzymes and transport systems which allow concerted biosynthesis, secretion, iron-siderophore complex uptake, and release of iron. Gene regulation of siderophore deployment and iron homeostasis is decided at the transcriptional level by the ferric uptake repressor, Fur, or the diphtheria toxin regulator, DtxR[6]. Fur is the iron regulator in many gram-negative bacteria (enteric bacteria) while DtxR regulates iron in many gram-positive bacteria. Interestingly, the bacteria that regulate iron homeostasis by these two pathways also regulate manganese [5].
Bacteria have evolved to produce siderophores with a variety of structural groups such as catecholate, phenolate, hydroxamate, carboxylate, and mixtures of the above functional groups (fig. 1).
Ecological dynamics of siderophores
In the environment, in places where iron bioavailability is low, siderophores assume an important role, especially for iron-dependent aerobic microorganisms [7]. Many of the soil bacteria and fungi secrete siderophores. As a side benefit, these siderophores serve all microbes which are able to utilize them. Bacterial genera such as Bacillus, Arthrobacter and Norcardia and the fungi Aspergillus and Penicilliumproduce ferrioxamines (ferrichrome, desferrioxamine B). The mycorrhizal fungi Wilcoxinarehmii and Cenococcumgeophilium secrete ferricrocin (fig. 2) whose concentration in many forest soils can reach as high as 10 mM [1]. In fresh water, such as rivers and estuaries, the iron content is high and the mechanism of iron absorption by bacteria is presently unknown. On the other hand, the Fe (III) concentration of marine water is extremely low (1 nM to 1 mM in the upper 200 m), lower than V, Ni, Co etc. These levels do not allow a significant growth of phytoplanktons. Therefore, a sudden influx of iron would give rise to algal blooms which has given rise to an intriguing theory that added iron would reduce atmospheric CO2 by increasing the phytoplankton population [8].
Siderophores and pathogenicity
There are two types of iron binding proteins in most animals which offer protection against microbial attack: extracellular protection is given by transferrin proteins while ferritin provides intercellular protection. Transferrin which contains two binding sites is present in the serum at about 30 mM concentration. Usually, it is about 25-40% saturated with iron which means that no sooner than iron appears in the serum it will be scavenged, thereby precluding microbial growth. Most siderophores are incapable of removing iron from ferritin with the exception of aerobactin [9]. In mammals, lactoferrin (similar in structure to transferrin) has an even higher binding affinity for iron compared to aerobactin (fig. 3). It is present in secretory fluids like sweat, tears, and milk, which helps minimize bacterial infection. Ferritin, present in the cytoplasm of mammalian cells is a much larger protein than transferrin, which can bind several thousand iron atoms in a non-toxic form [8]. It can control the intracellular iron level to 1 mM. In addition to, “iron scavenging” strategies, mammals elaborate an iron-siderophore binding protein called siderochalin. It has three positively charged residues in the hydrophobic pocket, which binds highly effectively with Fe (III)-enterobactin. Thus, siderochalin, secreted by macrophages and hepatocytes, is a powerful bacteriostatic agent against E. coli scavenging enterobactin from extracellular spaces [1]. Indeed, mice are greatly vulnerable to E. coli infections when the siderochalin gene is “knocked out” [10].
Fig. 1: Structural types of siderophores
There are instances whereby modifications to their structure, siderophores avoid being detected by siderochalin and are able to carry out iron scavenging activities. Pathogens have developed such strategies for survival in animal tissue; in spite of the wide array of siderophore structural motifs, microbes infect animals, only if normal barriers become non-functional such as through an open wound. During iron overload, caused by regular blood transfusions, transferrin becomes fully saturated and then the animal is more susceptible to disease.
Fig. 2: Siderophores in ecology and pathogenicity
Another tactic for control of iron-dependent pathogen attack is by rendering the siderophores ineffective. One of the earliest reports in this area is the antitubercular drug p-aminosalicylic acid caused inhibition of the siderophore mycobactin in Mycobacterium smegmatis [11]. Research into target-specific inhibition of siderophore biosynthesis is a future area owing to the accessibility of enzyme crystal structures which enable rational design of catalytic site inhibitors [12].
Siderophores as antibiotics
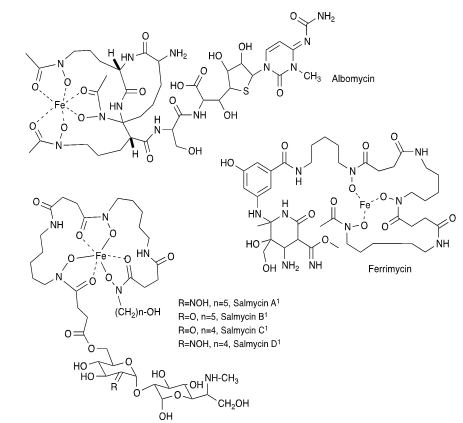
Antibiotic resistance by bacteria continues to unfold as a major problem facing the health industry and requires new and efficient therapeutics [13]. Bacterial pathogens resist antibiotics with strategies such as the outer membrane permeability barrier, drug inactivating enzymes, target al. teration and efflux [14]. The outer membrane permeability barrier is particularly severe in Gram-negative bacteria such as Pseudomonas aeruginosa, Burkholderia cepacia, and Streptophomonasmaltophilia which are the major pathogens associated with pneumonia and bacteremia in immunocompromised hosts, having destructive lung infections, in cystic fibrosis patients, and with severe nosocomial infections in ventilated patients [14]. Pseudomonas aeruginosa is well known for its ability to develop multidrug resistance after antibiotic therapy. One of the strategies to overcome these resistance mechanisms is by the “ill-use” of bacterial iron transport systems–siderophores. Since they are vital for virulence and persistence of bacteria on the infected host, they can go through the permeability barrier carrying a “payload” of an antibiotic. There are several natural siderophore-antibiotic conjugates (SDCs) called sideromycins produced by bacteria such as albomycin (fig. 3) by Actinomycessubtropicus[15], ferrimycin by Streptomyces griseoflavus[16], and salmycin by Streptomyces violaceus[17] where the antibiotic is covalently attached to the siderophore. These sideromycins which are actively transported into bacteria can lower the minimum inhibitory concentration of the antibiotic as much as 100 fold [18].
Fig. 3: Siderophore-antibiotic conjugates
Taking lessons from nature, “biomimetic” siderophoes have been synthesized as shuttle vectors for active transport of antibiotics. Furthermore, the delicate balance of iron homeostasis in all organisms makes this approach even more desirable. One of promising SDCs contains ß-lactam antibiotics as the drug. Here, since the penicillin-binding proteins are located in the periplasm, only the outer membrane has to be navigated by the SDC. Importantly, the reduced permeation of amino-penicillin antibiotics through the outer membrane of bacteria can be reduced by conjugation to a siderophore. In addition, the active uptake of such conjugates will not be subjected to efflux pumps in P. aeruginosa. Preliminary studies indicate they possess good in vitro activity against gram-negative bacteria and potent in vivo activity against P. aeruginosa [19]. A large number of such conjugates which can effectively bind to Fe (III) which are hexadentate (hydroxamate) or tetradentate (biscatecholate containing the ß-lactam moiety have been made. The use of mixed ligand conjugates offer further advantages; they can be taken up by several pathways, therefore, leads to a less frequent of resistant bacterial mutants and a hydroxamate-biscatecholate-carbacephem conjugate was found to be 2000 fold more effective than the parent drug loracarbef (Lorabid) [20].
Antimalarial agents, iron overload therapy, and anticancer treatment
Desferrioxamine B which is a linear trihydroxamate is used for in vitro and in vivo treatment of Plasmodium falciparum. Studies indicate that its mechanism of action is via intracellular iron depletion of the parasite [21]. Desferrioxamine B conjugated with nalidixic acid displayed even more potent activity against multidrug-resistant P. falciparum where iron-catalyzed oxidative DNA damage occurred [22].
Besides infection control, desferrioxamine B conjugates such as deferiprone (Ferriprox), deferasirox (Exjade) and deferitrin (fig. 4) are used in iron overload therapy [23]. Although iron is a vital nutrient in cell proliferation and growth, it can also participate in redox cycling and the formation of free radicals. Thus, iron can cause both tumor initiation and tumor growth. It has been shown that iron is involved in the tumor microenvironment and in metastasis. Methods of iron acquisition, efflux, storage and regulation are all disturbed in cancer, implying that reprogramming of iron metabolism is critical for tumor cell survival [24]. Desferrioxamine B and mycobacterial desferriexochelins in addition to synthetic iron chelators such as dexrazoxane and isonicotinoyl hydrazine derivatives are used in cancer therapy [25].
Fig. 4: Iron chelators in cancer therapy
Iron chelators of plant origin
Foods having plant polyphenols and flavonoid compounds may have advantages not only as powerful antioxidants, but also as iron chelators[26, 27]. Iron chelation by polyphenols can completely inhibit free radical generation, showing that chelation may be important to their antioxidant activity. These data validate that quercetin (fig. 5) and other phenolic compounds can successfully control iron biochemistry under physiological conditions, thus offering insight into the mechanism of action of bioactive phenolics. In addition,curcumin isolated from Picrorhizakurroa[28], kolaviron from Garcinia kola [29], baicalein and its glycoside baicalein, the major bioactive compounds found in the Chinese herb Scutellariabaicalensis[30], tetramethylpyrazine and ferulic acid, from the Chinese herbal medicine Ligusticumwallichi[31] and p-courmaric acid found in many sources including Costusspeciosus [32] have been implicated in iron chelation resulting in anticancer activity [33]. Recently, Coriander sativa in extracts, containing high phenol and flavonoid content, the antioxidant activity correlated with the iron chelating potential [34]. Siderophores have also the ability to activate plant immunity [35, 36]. In Arabidopsis plants, the siderophonedeferrioxamine was able to provide protection against the pathogenic bacterium Pseudomonas syringaepv tomato DC3000.
Fig. 5: Iron chelators of plant origin
In addition to p-coumaric acid, caffeic and ferulic acids, and trans-cinnamic (fig. 5) is reported to possess the protective activity of cells from free radical generated oxidative stress-induced DNA damage. This protection was grounded in the capacity of these compounds to access the intracellular space and chelate "labile" iron. Thus, many plant-derived lipophilic iron chelating compounds, may shield cells from oxidative stress thus contributing to the preservation of human health [37].
Interestingly, lichens which are slow growing non-flowering plants produce a large variety of phenolic lichen substances [38, 39]. These compounds, mostly simple aromatics, depsides and depsidones possesses potent antioxidant activity and metal ion chelating ability [40-43]. The ecological role of these lichen substances is considered to be in providing protection to their thalli open to the environment. Studies have confirmed that their antioxidant activity may be related to their iron chelating ability. It is interesting to note that both higher plants and lower plants engage in iron sequestration through phenolics of different biosynthetic origin.
Fig. 6: Iron chelators of lichen origin
CONCLUSION
The foregoing discussion highlights the importance of Iron (III) chelating small molecule natural products. Secreted by many aerobic soil bacteria and fungi, they help the microbial ecology in the soil. In addition, they are implicated in the pathogenesis of animals and humans. Biomimetic synthetic analogs of siderophores have been used as novel antibiotics in cases of multidrug resistance. The plant-derived phenolic compounds, both from higher plants and lichens, which are capable of chelating to Iron (III) are important in combating oxidative stress which is important not only in allowing them to survive in their natural environments, but also in prevention of cancer and improving human health.
CONFLICT OF INTERESTS
Declared None
REFERENCES