1Department of Medicinal Chemistry and Pharmacognosy, University of Petra, Amman, Jordan, 2Department of Pharmaceutics and Pharmaceutical Technology, University of Petra, Amman, Jordan
Email: zeldeen@uop.edu.jo
Received: 28 Apr 2015 Revised and Accepted: 26 Jun 2015
ABSTRACT
Objective: The lack of information concerning the pharmacological activity of amino acetylenic amide derivatives in which the cyclic amine is aziridine or azetidine promoted our interest to synthesize N-[4-(1-azeridinyl)-2-butynyl] pyrrolide-1,3-dione 4, N-[4-(1-azetidinyl)-2-butynyl] pyrrolidine-1,3-dione 5 and N-[4-(1-pyrrolidnyl)-2-butynyl]pyrrolide-1,3-dione 6.
Methods: Melting points, IR, 1H-NMR 13CNMRspectra were measured.
Results: Dimerization of 2-(prop-2-yn-1-yl) pyrrolidine-1,3-dione was generated rather than Mannich product, while using pyrrolidine as base in Mannich reaction generated the expected Mannich product. Rationalization for the mechanism of dimerization and Mannich adduct are discussed.
Conclusion: Mannich reaction may afford the dimerization product of the acetylenic compounds rather than Mannich adduct.
Keywords: Acetylenic dimerization, Aminoactylenic derivative, Azetidine derivative, Aziridine derivative, Mannich reaction.
INTRODUCTION
Tremorine 1 and Oxotremorine 2 was very active muscarinic agent 3 when tested in vivo, or in isolated organs and comparable to acetylcholine in potency [1]. They are relatively specific in producing central, as opposed to peripheral cholinergic effects [2]. Observations of Parkinson like effect exerted by tremorine and more intense by oxotremorine have initiated intensive research on antiparkinsonian agents, in particular from their central cholinergic role in reducing tremor [3]. Several series of acetylenic compounds which were structurally related to oxotremorine with specific structural changes to afford the antagonistic activity have been synthesized. These include amides, esters, cyclicimides [3-10].
In most of the previously synthesized compounds [3-10], the cyclic amines were pyrrolidine, piperidine, substituted piperidine and ring enlargement of cyclic amines. The lack of information concerning the pharmacological activity of amino acetylenic amide derivatives, in which the cyclic amine is aziridine or azetidine promoted our interest to synthesize N-[4-(1-azeridinyl)-2-butynyl] pyrrolide-1,3-dione 4, N-[4-(1-azetidinyl)-2-butynyl] pyrrolidine-1,3-dione 5 and N-[4-(1-pyrrolidnyl)-2-butynyl] pyrrolide-1,3-dione 6. The Mannich reaction of pyrrolidine as base generated Mannich adduct 6, however the use of aziridine or azetidine as a base resulted in dimerization of acetylenic pyrrolidine-1,3-dione into 1-[6-(1,3-dioxopyrrolidine-1-yl) hexa-2,4-diyn-1-yl] pyrrolidine-1,3-dione, and investigating their pharmacological activity as oxotremorine agonist or antagonist, in addition to establish whether ring strain of the cyclic amines may block the formation of mannich adduct. Rationalization for the mechanisms of dimerization and Mannich adduct are discussed.
Fig. 1: Tremonine 1

Fig. 2: Oxotremonine 2

(4-hydroxy-5-mthyltetrahydro-2-furanyl)-N,N,trimethylmethanaminium chloride
Fig. 3: Muscarine 3
MATERIALS AND METHODS
Experimental
Chemical methods
Melting points were determined by using a calibrated Thomas-Hoover melting apparatus. IR spectra were recorded using Perkin-Elmer 257 spectrophotometer, 1H-NMR spectra were acquired with the aid of Varian 300 MHz spectrometer and DMSO-d6 as solvent and TMS as standard (Jordan University), 13CNMR spectra were measured using Bruker DRX 300 MHz spectrometer and DNCO-d6 as solvent and TMS as standard (Jordan University).

Fig. 4: N-[4-(aziridin-1-y1) but-2-yn-1-y1] pyrrolidin-2,5-dione

Fig. 5: N-[4-(aziridin-1-y1) but-2-yn-1-y1] pyrrolidin-1,3-dione

Fig. 6: N-[4-(pyrrolidin -1-y1) but-2-yn-1-y1] pyrrolidin-1,3-dione
Microanalyses were performed at oil exploring company, Baghdad, Iraq. The results obtained had a maximum deviation of±0.4% of the theoretical value.
2-(prop-2-yn-1-yl) pyrrolidine-1,3-dion 7
The compound was prepared in 75.4% yield according to the method described in the literatures [5-6].
1-[6-(1,3-dioxopyrrolidin-1-yl)hexa-2,4-diyn-1-yl]pyrrolidine-1,3-dione. 10
A mixture of 2-[prop-2-yn-1-yl]pyrrolidine-1,3dione (1.37 g, 0.01 mol), paraformaldehyde (1 g, 0.01 mol), azetidine (0.57 g, 0.01 mol) and cuprous chloride (catalytic amount) in peroxide-free dioxane (20 ml) was stirred and heated at various temperatures (40-70 oC) for 1-2 h. After cooling, water (20 ml) was added and the reactant mixture was made alkaline to pH 9 with 2 M Na2CO3 and extracted with four (50 ml) of chloroform. The combined chloroform extracts, dried (anhydrous MgSO4). The solvent was removed under reduced pressure. The residue was subjected to purification by column chromatography on Al2O3. The combined suitable chloroform fractions were dried (MgSO4) and the solvent was removed under reduced pressure, the residue crystallized on standing affording 0.5 g of white crystalline 1-[6-(1,3-dioxopyrrolidin-1-yl) hexa-2,4-diyn-1-yl]pyrrolidine-1,3-dione, M. P. 193-194 oC. The IR spectra showed the following characteristic absorption bands (KBr, cm-1), 3010, 2980 (CH2), 2400 (weak, C≡C-C≡C), 1760, 1720 (C=O, imide). 1H-NMR spectrum showed the following characteristic chemical shifts (CDCL3, δ) 4.20 (singlet, 4H, CH2-C≡C-C≡C-CH2), 2.45 (singlet, 8H, (-CH2-CH2-)2 of imide. 13CNMR (CDCL3,δ) 178 (C=O), 76 (-C≡), 71 (≡C),36 (C-C=O), 30(C=C≡). Anal., (C14H12N2O4), Calcd., C, 61.8; H, 4.4; N, 10.3. Found C, 61.8; H, 4.5; N, 10.2.
N-[4-(1-pyrrolidin-1-yl) but-2-yn-1-yl] pyrrolidine-1,3-dione. 6
A mixture of 2-(prop-2-yn-yl) proolidine-1,3-dione (0.005 mol), paraformaldehyde (0.0055 mol), pyrrolidine (0.007 mol) and cuprous chloride (catalytic amount) in peroxide-free dioxane (20 ml) was heated with continuous stirring at 40-70 oC for 2 h. After cooling, ice (50 g) was added and the crude product was crystalized from ethanol-ether afforded 72% yield of the N-[4-(1-pyrrolidine)-2-butynyl] pyrrolidine-1,3-dione. M. P. 91-92 oC. The IR spectrum showed the following characteristic absorption bands (KBr, cm-1), 2980, 2800 (CH2), 2200 (weak, C≡C), 1770, 1715 (C=O, imide). 1H-NMR spectrum showed the following characteristic chemical shifts (CDCL3, δ) 4.25 (triplet, 2H, CH2-C= C, adjacent to imide nitrogen, J=2.2 Hz) 3.30 (triplet, 2H, C≡C-CH2, adjacent to the pyrrolidine nitrogen, J=2.2 Hz), 2.71 (singlet, 4H, CO-CH2-, CH2-CO, imide), 2.58 (multiplet 4H, N-(CH2)2, α-to N-pyrrolidine) 1.78 (multiplet, 4H,-CH2-CH2-of pyrrolidine). 13CNMR (CDCL3, δ) 174 (C=O), 80 (C≡C), 51 (N-C-C≡), 43 (≡C-C), 32,28 (C-C, pyrrolidine-1,3-dione), 25 (N-C, pyrrolidine), 22 (C-C, pyrrolidine). Anal., (C12H16N2O2), Calcd., C, 65.45; H, 7.27; N, 12.72. Found C, 65.41; H, 7.23; N, 12.69.
RESULTS AND DISCUSSION
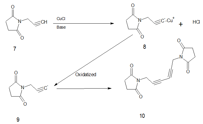
Pyrrolidine-1,3-dione served as starting material, and was converted to the corresponding sodium salt through reaction with sodium ethoxide. Alkylation of the imide salt with propargyl bromide afforded the desired N-propynyl pyrrolidine-1,3-dione 7. The Mannich reaction of N-propynyl pyrrolidine-1,3-dione, formaldehyde and aziridine or azetidine, as secondary amine, in peroxide-free dioxane in the presence of catalytic amount of cuprous chloride and temperature conditions between 60-70 oC [11, 12], resulted in a single non basic compound, the MP, IR, 1H-NMR, 13CNMR and elemental analyses were consistent with the dimerization of propynyl pyrrolidine-1,3-dione affording coupling product [13-17] namely 1[6-(1,3-dioxopyrrolidin-1-yl)hexa-2,4-diyn-1-yl]pyrrolidine-1,3-dione 10 rather than the Mannich adduct 4 or 5.
It is very well know that 1-alkynes may be coupled by heating with cupric or cupreous salts in pyridine, ammonia, ammonium chloride or similar basis to produce symmetrical diynes. The mechanism of dimerization probably begins with ionized salt formation of 8 and HCL liberation. The carbanion undergoes oxidation to yield the free radical propynyl pyrrolidine-1,3-dione 9. Dimerization of 9 generates the dimerization product 10 as an outline in scheme 1.
For the Mannich reaction to precede reactive immnoium cations intermediate 9 should be formed, from the condensation of formaldehyde and aziridine or azetidine [17] prior to the attack of the carbanion 6 on the intermediate 9 to generate Mannich adducts as described in scheme 2.
The reasonable rationalization for dimerization rather than Mannich adduct may be due to the angle strain imposed by the three or four member ring amine to form 11. Thus, providing time for oxidation of carbanion 8 to the free radical 9, followed by dimerization to afford coupling product 10.
The aziridine and azetidine in this case, act as a base in a similar manner to pyridine or ammonia. To verify ring strain effects we have synthesized Mannich reaction in 2-(prop-2-yn-1-yl) pyrrolidine-1,3-dione with pyrrolidine as unstrained secondary amine. The reaction afforded the desired Mannich product N-[4-(1-pyrrolidino)-2-butynyl] pyrrolidine-1,3-dione 6 only.
The IR, 1H-NMR, 13 CNMR and elemental analyses was consistent with the assigned structures as described in the experimental part.

Scheme 1: Dimerization reaction
Scheme 2: Mannich product
CONCLUSION
We may state that the Mannich reaction may afford the dimerization product of the acetylenic compounds rather than Mannich adduct, if the secondary amines are strained such as aziridine or azetidine, and this may attributed to steric factors that hinder the formation of a shift base between the amine and formaldehyde.
ACKNOWLEDGEMENT
The authors would like to thank the University of Petra/Faculty of Pharmacy, for providing the necessary facilities to carry out this work.
CONFLICT OF INTERESTS
Declared None
REFERENCES