Departamento Sistemas Biológicos, Universidad Autónoma Metropolitana-Xochimilco, Mexico DF, Mexico
Email: rmlopez@correo.xoc.uam.mx
Received: 28 Apr 2015 Revised and Accepted: 30 May 2015
ABSTRACT
Objective: To perform an in vitro equivalence study of naproxen sodium from six immediate release oral dosage forms under the hydrodynamic environments generated by the flow-through cell method and the USP paddle apparatus.
Methods: Dissolution method was properly validated according to standard criteria. Dissolution profiles of all formulations were carried out with an automated flow-through cell (laminar flow at 16 ml/min with 22.6 mm cells) and the USP Apparatus 2 (50 rpm). 0.1 M phosphate buffer pH 7.4 at 37.0±0.5 °C was used as the dissolution medium. Spectrophotometric determination of drug at 332 nm was carried out during 45 min. Dissolution profiles were compared with model-dependent and independent approaches.
Results: Significant difference with model-independent parameters, mean dissolution time and dissolution efficiency, using both USP apparatuses, were found (*P<0.05). Best fitting of dissolution data was obtained using the sigmoidal model (R2>0.99). Only with the flow-through cell method linear regression between mean dissolution time and t63.2% values was significant (*P<0.05).
Conclusion: The study reveals significant differences in dissolution rate and a great variability for all naproxen sodium tablets when the USP paddle apparatus is used. The alternative dissolution test with the flow-through cell method allows obtaining reliable data which facilitates in vitro equivalence respect the reference product dissolution behavior.
Keywords: Naproxen sodium, Flow-through cell method, Immediate-release generic products.
INTRODUCTION
Dissolution testing is official evidence used worldwide for demonstrating an adequate in vitro drug release from immediate-release solid dosage forms. Many of these drug products commercially exist as generic products. Generic drugs production represents savings for patients and hospitals; however generic formulations should be evaluated periodically to ensure adequate therapeutic effect. Dissolution is essential for predicting in vivo bioavailability and in some cases an excellent tool to determine bioequivalence and assure interchangeability. Previous studies have shown that despite most drug products meet pharmacopoeia dissolution criteria, some generics differed in their dissolution profiles when comparing with their branded counterparts which questions the interchangeability between them or even among generics [1].
Due to the high cost of bioequivalence studies, Guidelines for Industry-based on Food and Drug Administration (FDA) Bio pharmaceutical Classification System (BCS) have established the criteria by which bioequivalence studies can be replaced by in vitro dissolution studies [2]. This waiver is based mainly on the fulfillment of similarity factor (f2) criteria between the dissolution profiles of test and reference product in different dissolution media (with pH values of physiological relevance) and compliance with related criteria to the excipients used in the formulation [3].

Fig. 1: Chemical structure of naproxen sodium
Naproxen is a poorly soluble non-steroidal anti-inflammatory drug (NSAID) used to treat arthritis, post-operative pain, headache and musculoskeletal pain [4]. Because of its low water solubility, sodium salt is preferred to its acidic form, fig. 1. The drug is marketed in different doses as over-the-counter (OTC) products. Considering the criteria of BCS, naproxen sodium has been classified as a Class II drug [5]. Class II drugs (low solubility/high permeability) are expected to have a dissolution-limited absorption and a significant in vitro/in vivo correlation (IVIVC) should be expected using a well-designed in vitro dissolution test.
Since 2005, Mexican Health Authorities established the requirement to demonstrate bioequivalence between naproxen sodium immediate-release solid dosage forms (generics) with regard to the reference product in order to consider test products eligible to be included in the "Interchangeable Generic Medicines Catalog" [6]. Dissolution profiles between drug products must comply with the f2 criteria (50-100). Official dissolution test for naproxen sodium tablets is described in the United States Pharmacopoeia (USP) [7]. The method indicates the use of USP paddle apparatus (USP Apparatus 2) at 50 rpm and 900 ml of 0.1 M phosphate buffer pH 7.4 at 37.0±0.5 °C as the dissolution medium. Under these conditions, not less than 80% of the drug should be dissolved in 45 min (Q≥80%). However, to date there is no information confirming adequate in vitro correlation with in vivo results obtained under these conditions.
An alternative dissolution system to the conventional USP basket (USP Apparatus 1) and paddle apparatus (USP Apparatus 2), used to document the in vitro dissolution performance of immediate-and extended-release formulations, is the flow-through cell method (USP Apparatus 4) [8, 9]. Their advantages over the USP Apparatus 1 and 2 have been widely demonstrated especially with poorly soluble drugs [10, 11]. USP Apparatus 4 has a continuous extraction of the drug, simulating the absorption into the systemic circulation, generating intermittent flow of dissolution medium into the cell where the dosage form is placed [12]. It is possible to use the USP Apparatus 4 as an open system that can operate under sink conditions which facilitate the dissolution of drugs with limited solubility, as well as changing the dissolution medium within a range of physiological pH values throughout the test [13]. The flow-through cell method better simulates the hydrodynamic environment that is found inside the gastrointestinal tract. Previous information of some poorly soluble drugs shows that in vitro data obtained in the USP Apparatus 4 better predicts or correlates with their in vivo performance [14, 15]. The flow-through cell method has proved to be useful in the development of a more discriminating dissolution method for albendazole and carbamazepine tablets than the official one USP paddle apparatus [16, 17]. Despite the advantages of the USP Apparatus 4, information about dissolution behavior of naproxen sodium tablets under the hydrodynamic environment generated by the flow-through cell method is scarce.
Previously, IVIV evaluation of commercial dosage forms of naproxen (250 mg) revealed that disintegration time and dissolution parameters failed to give the true indication of bioavailability [18]. In vitro studies were carried out with the USP basket apparatus at 100 rpm and phosphate buffer pH 7.4 as the dissolution medium. Moreover, quality evaluation of some Mexican drug products containing naproxen sodium was also reported [19]. In the study, routine quality control tests were performed according to USP procedures. The authors reported that despite all drug products studied met the USP quality standards, the dissolution profiles showed significant differences among them and even between different lots of the same product.
The main objective in this in vitro equivalence study was to evaluate the release performance of naproxen sodium from immediate-release generic products sold in the local market to investigate the dissolution performance of this widely use NSAID under the hydrodynamic environment generated by the flow-through cell method. Results obtained were compared with the official USP paddle apparatus.
MATERIALS AND METHODS
Materials
Naproxen sodium tablets (550 mg) of six immediate-release oral dosage forms from the Mexican market were used. Generic products (designated by letters: A, B, C, D and E) were compared with Flanax® (Bayer Bitterfeld GmbH Mexico) as the reference product (designated with letter R), Sodium phosphate monobasic and dibasic crystals were purchased from J. T. Baker-Mexico. Naproxen sodium standard was purchased from Sigma-Aldrich Co. (St. Louis MO, USA).
Content uniformity and assay
Content uniformity and assay tests were performed on all products, according the procedures described in the USP [7].
Analytical method validation
The analytical method used was validated according to Mexican regulations [20]. To demonstrate the linearity of the spectrophotometric system, six calibration curves with five different naproxen sodium concentrations (range 12.5–200 µg/ml) were prepared in the dissolution medium (0.1 M phosphate buffer pH 7.4) and analyzed at 332 nm. Data obtained were fitted by linear regression and the coefficients of regression, regression analysis of variance (ANOVA) and 95% confidence interval (CI95%) for the value of the intercept were calculated. The system precision was demonstrated by calculating the percentage relative standard deviation (RSD): [((standard deviation)/mean) × 100] at each concentration level.
Method linearity (drug with excipients) was determined by the added standard method. Twenty tablets were accurately weighed and crushed in a mortar; then, quantities of powder of naproxen sodium tablets plus a quantity of naproxen sodium standard (10 mg) to finally give the equivalent of 40, 60, 80, 100 and 120% of the dose were separately dissolving in 900 ml of 0.1 M phosphate buffer pH 7.4 at 37.0±0.5 ºC. The USP paddle apparatus at 50 rpm was used. At 45 min the amount of naproxen sodium dissolved in each vessel was calculated with reference to a standard calibration curve prepared on the day of the experiment. Each determination was performed by triplicate. In order, to evaluate the linearity of the method, data were plotted (dissolved amount vs added amount) and determination coefficient (R2), CI95% for the slope and intercept and regression ANOVA was calculated. The accuracy was evaluated by calculating the CI95% of the average percentage of naproxen sodium recovered from known added amount of drug. The precision was determined by calculating the RSD for the percentage of drug dissolved (repeatability). To evaluate the random events effect on the analytical method precision a homogeneous sample of tablets powder, equivalent to 100% of the dose was analyzed by triplicate, by two analysts in two different days (reproducibility); results obtained were analyzed by two-way ANOVA. Differences were considered significant if *P<0.05.
Dissolution profiles
USP paddle apparatus
Dissolution profiles of naproxen sodium were determined according to USP test [7] in an automated USP Apparatus 2 (Sotax AT-7 Smart, Switzerland) with a piston pump (Sotax CY7-50, Switzerland). An UV/Vis spectrophotometer with 1 mm flow cells (Perkin Elmer Lambda 35, USA) was used. All equipment and data generated were controlled by specific software designed by Sotax. Naproxen sodium tablets were sprinkled on 900 ml of 0.1 M phosphate buffer pH 7.4 at 37.0±0.5 °C as the dissolution medium. Rotational speed of 50 rpm was tested. Sequential sampling using 0.45 µm nitrocellulose filters (Millipore®) was performed over 45 min at regular 5 min intervals with 12 replicates. The amount of naproxen sodium dissolved was determined with a standard calibration curve at 332 nm.
Flow-through cell method
Dissolution profiles of naproxen sodium were obtained in an automated USP Apparatus 4 (Sotax CE6, Sotax AG, Switzerland) with 22.6 mm cells (i.d.) and a piston pump (Sotax CY7-50, Sotax AG, Switzerland). Laminar flow (with a bed of 6 g of glass beads) was used. The degassed dissolution medium, 0.1 M phosphate buffer pH 7.4 at 37.0±0.5 °C was pumped at a flow rate of 16 ml/min. An open system was used, without recycling the dissolution medium. Sequential sampling using nitrocellulose filters was set at regular 5 min intervals over 45 min, with 12 replicates. The amount of naproxen sodium dissolved was determined in an UV/Vis spectrophotometer with 1 mm cells (Perkin Elmer Lambda 10, USA) at 332 nm. For every trial, a standard calibration curve was prepared.
Data analysis
Dissolution data of naproxen sodium were used to calculate model-independent parameters: mean dissolution time (MDT) and dissolution efficiency (DE). Values for generic products were compared with the values of the reference product by ANOVA, followed by Dunnett’s or Dunnett’s T3 multiple comparisons test as appropriate. For comparison of dissolution profiles using model-dependent approach, dissolution data were fitted to Higuchi, Hixson-Crowell and Korsmeyer-Peppas’ kinetic models [21]. The model with the highest determination coefficient (R2adjusted) and the minimum Akaike information criterion (AIC) was chosen as the best fit. Data analysis was carried out using the Excel add-in DDSolver program [22]. Additionally, dissolution data were adjusted to a non-linear equation (sigmoidal model) with Sigma Plot software (version 11.0) and with the derived parameters (a, b and x0) from the adjustment to this kinetic model t63.2% values were calculated.
RESULTS AND DISCUSSION
Content uniformity and assay
All drug products were within USP limits. The percentages of naproxen sodium on the content uniformity test ranged from 90.90 to 105.80% and the assay test was between 91.61 to 104.66%, table 1.
Table 1: Content uniformity and assay results. Mean, n = 10
| Product | Content uniformity (min-max) | Assay (%) |
| R | 95.26–96.49 | 96.10 |
| A | 91.96–94.83 | 93.85 |
| B | 90.90–92.33 | 91.61 |
| C | 91.53–94.22 | 93.04 |
| D | 101.73–105.80 | 104.66 |
| E | 94.18–99.65 | 96.72 |
Method validation
The mean regression equation from six standard calibration curves was: y = 0.00653x+0.01277. Linear regression was significant (R2>0.99; *P<0.05). The CI95% estimated the value of the intercept was–0.0024 to 0.0279. The highest RSD value was 2.62% for the five concentrations levels evaluated.
The analytical method validation was carried out with all drug products used in the present in vitro equivalence study however; as an example and in order that method validation is not the main objective of this work, only the reference product data are shown. The regression equation to assess the method linearity was y = 0.9277x–11.28 (R2>0.98; *P<0.05). The CI95% estimated for the slope was 0.805 to 1.050 and–65.10 to 42.53 for the intercept. The method accuracy was 94.87% with a CI95% of 89.55 to 100.19%. The RSD value calculated to assess the method precision was 3.0% and the two-way ANOVA showed no significant differences in drug dissolved between days and analysts (*P>0.05). All generic products also met national standard validation criteria [20].
Dissolution profiles
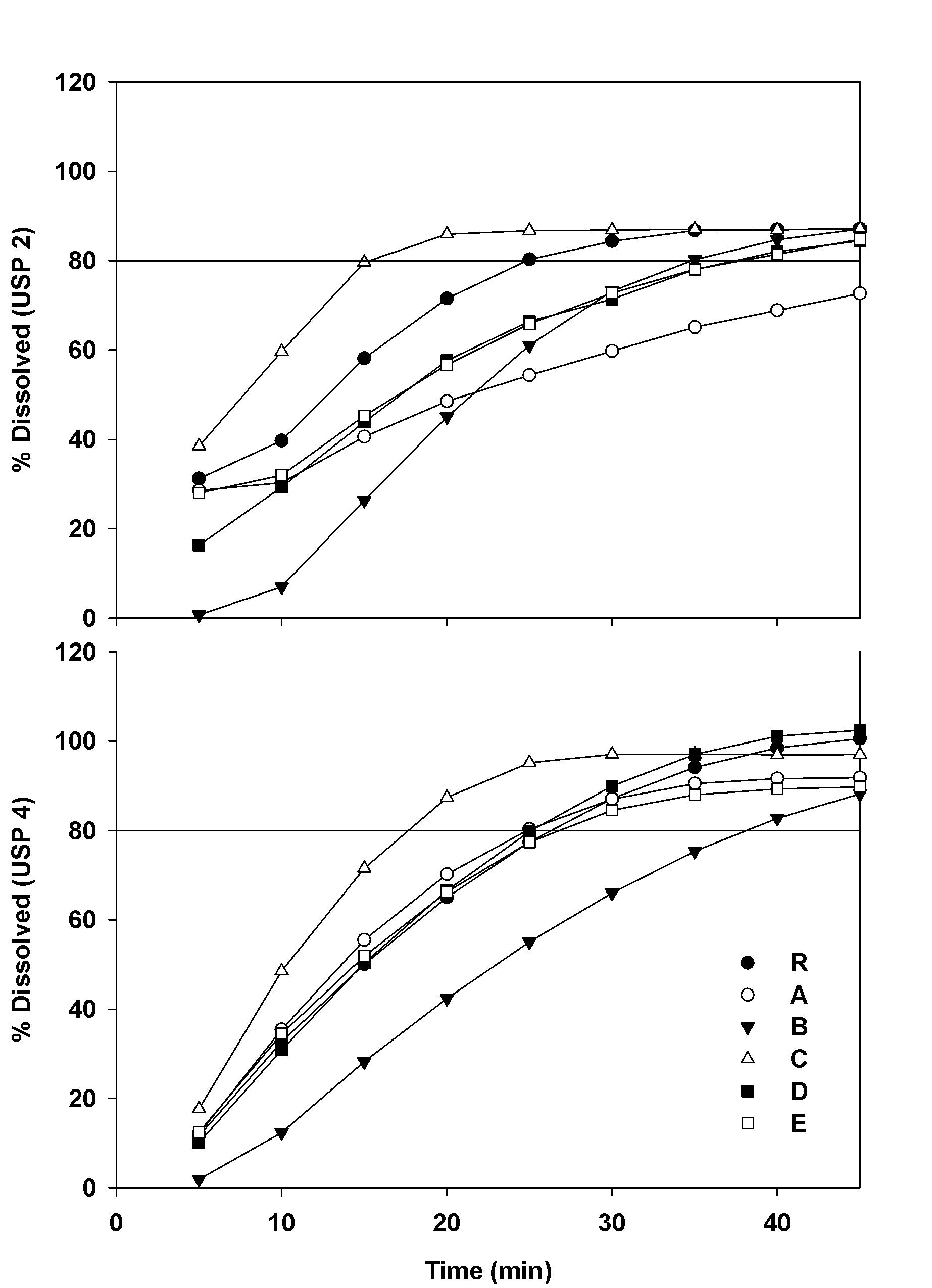
Dissolution profiles of naproxen sodium from all immediate-release products, in both USP Apparatuses, are shown in fig. 2. Considering a single point specification (Q≥80% in 45 min) all drug products met the pharmacopoeia dissolution criterion excepting product-A in USP paddle apparatus (72.62%). Under the hydrodynamic environment generated by the USP Apparatus 2, all drug products showed different dissolution rates and the maximal percent dissolved at 45 min were 87.16% (product-C). On the other hand, and with use of the flow-through cell method, three generic products showed comparable dissolution performance to the reference (A, D and E) and percentage dissolved in 45 min was between 88.17 to 102.44%.

Fig. 2: In vitro dissolution profiles of naproxen sodium from all studied drug products. Error bars were omitted for clarity. The straight line shows Q=80%. Mean, n = 12
Using USP paddle apparatus, high variability in all dissolution data was observed (RSD>20% at 5 min and>10% from 10 to 30 min). For this reason, similarity factor f2 was not calculated. With the flow-through cell method, RSD of product-B and E were also out of criterion and comparison of dissolution profiles with similarity factor f2 was calculated only for product-A, C and D, table 2. Only dissolution profiles for product-A and D were similar to reference dissolution profile (f2>50).
Table 2: Similarity factor f2. Due to high variability only three data were calculated
| Product | USP paddle apparatus | Flow-through cell method |
| A | - | 60.10 |
| B | - | - |
| C | - | 46.81 |
| D | - | 84.48 |
| E | - | - |
Differences in dissolution rate of naproxen sodium for all drug products were found by both methods used. It is known that naproxen oral dosage forms are widely used in inflammatory diseases such as acute gout and rheumatoid arthritis. The absorption of drugs with poor aqueous solubility is dissolution rate limited and therefore, they exhibit poor bioavailability as well as fluctuation in blood concentrations [23]. Razdan et al. conducted an evaluation of naproxen oral dosage forms [18]. Five commercial products (250 mg tablets) were administered to healthy volunteers and dissolution tests were carried out with the USP basket apparatus at 100 rpm and phosphate buffer pH 7.4 as the dissolution medium. Authors reported that dissolution parameters, t50% and k values, did not correlated with in vivo parameters as area under the curve and Cmax, concluding that the dissolution tests do not detect differences in absorption rate (i.e. differences in bioavailability). It is accepted that dissolution conditions in USP basket apparatus at 100 rpm are equivalent to conditions generated by USP paddle apparatus at 50 rpm, so it can be expected that current pharmacopoeia specifications for naproxen sodium tablets dissolution test should not either adequately detect differences in drug absorption rate.
With the flow-through cell method and at the beginning of the dissolution test, all drug products showed a slower dissolution rate than that found with the USP paddle apparatus. Langenbucher et al. expressed that this kind of behavior can be explained by the hydrodynamic conditions that characterize the USP Apparatus 4, where no agitation mechanisms exists and the dosage form and the drug particles are continuously exposed to a uniform laminar flow, similar to the natural environment of the gastrointestinal tract, causing a different dissolution pattern [24]. In the flow-through cell method, cell size, glass beads and flow rate are critical factors to form this dissolution pattern. In the present, in vitro equivalence study, flow rate of 16 ml/min, suggested in European and United States Pharmacopeias, was used [25]. Fotaki et al. reported that the intestinal fluid axial velocity has been estimated to be approximately of 1.5 cm/min and the fluid flow inside the 22.6 mm cells is 4 cm/min when the flow rate of dissolution medium is 16 ml/min [26]. Then, 4 cm/min as intestinal fluid axial velocity formed by the experimental conditions described above is close to physiological parameters.
Model-independent comparisons
Percentage dissolved in 45 min and model-independent parameters: MDT and DE mean values±standard error medium (SEM), in both USP Apparatuses, are shown in table 3. With the USP paddle apparatus, only value of percentage dissolved in 45 min of product-A was different from value of product-R (*P<0.05). Additionally with USP Apparatus 2, significant differences in all MDT and DE values were found (*P<0.05). Using the flow-through cell method, the percentage dissolved in 45 min significantly differed for product-A, B and E from product-R (*P<0.05), while no differences between product-D and product-R were found.
Table 3: Dissolution parameters of naproxen sodium. Mean±SEM, n = 12
| USP Apparatus | Product | % Diss. at 45 min | MDT (min) | DE (%) |
| 2 | R | 87.11±1.18 | 11.59±0.55 | 64.71±1.54 |
| A | 72.62±1.50* | 15.18±0.50* | 48.04±0.95* | |
| B | 87.07±0.84 | 20.77±0.44* | 46.87±0.91* | |
| C | 87.16±1.57 | 7.45±0.32* | 72.73±1.49* | |
| D | 84.41±2.04 | 16.11±0.45* | 54.12±1.35* | |
| E | 84.77±2.30 | 15.35±0.35* | 55.82±1.57* | |
| 4 | R | 100.55±0.79 | 16.81±0.19 | 62.98±0.62 |
| A | 91.79±1.14* | 14.04±0.26* | 63.16±1.05 | |
| B | 88.17±2.08* | 21.85±0.22* | 45.35±1.12* | |
| C | 96.98±0.87 | 10.98±0.16* | 73.31±0.60* | |
| D | 102.44±1.01 | 16.83±0.14 | 64.11±0.46 | |
| E | 89.72±1.0* | 14.42±0.44* | 61.01±1.25 |
MDT: mean dissolution time; DE: dissolution efficiency; *P<0.05
With the flow-through cell method drug products showed slower dissolution rate than the USP paddle apparatus at the beginning of the test, but at the end all products reached a higher percentage dissolved than with the official method and generic products that significant differ in dissolution extent compared with the reference product, met the USP specification (Q≥80% in 45 min) when using the alternative USP 4 method.
The dissolution data from generic products were also compared with the reference product by model-independent parameters MDT and DE. MDT is the time interval necessary to dissolve 63.2% of the drug present in the pharmaceutical dosage form and it was calculated according to statistical moment’s theory. On the other hand, DE is the area under the dissolution curve up to a certain time t, expressed as a percentage of the area of the rectangle described by 100% dissolution in the same time; so while MDT is related to dissolution rate, DE relates to drug dissolution extent. These model-independent parameters have been proposed as adequate parameters for some IVIVC levels [27]. IVIVC Level B is based on the comparison of parameters calculated by statistical moment’s theory as MDT is, while Level C requires the calculation of an in vitro parameter that expresses a global drug dissolution performance as is the case of DE.
Model-dependent comparisons
Considering established criteria to choose the best kinetic model (highest R2adjusted and lowest AIC values) using the USP paddle apparatus, dissolution data of product-E adjusted to Higuchi’s equation and data for product-R and D to Hixson-Crowell’s model. The highest value of R2adjusted being 0.9741. On the other hand, with the flow-through cell method all drug products adjusted to Hixson-Crowell’s kinetics excepting product-B. Of these five drug products, the highest value of R2adjusted was 0.9753. Is important to note that, with the use of USP Apparatus 4, the five drug products that meet the establish criteria adjusted to the same dissolution kinetics (Hixson-Crowell). Results are shown in table 4.
Table 4: Criteria used for selection of best kinetic model. Mean, n = 12
| USP paddle apparatus | Flow-though cell method | |
| Product | Higuchi | Hixson-Crowell |
| R2adjusted | ||
| R | 0.8805 | 0.9148 |
| A | 0.9606 | 0.7671 |
| B | 0.7320 | 0.8900 |
| C | 0.3547 | 0.5537 |
| D | 0.9226 | 0.9741 |
| E | 0.9634 | 0.9434 |
| AIC | ||
| R | 54.78 | 52.32 |
| A | 39.69 | 55.46 |
| B | 72.07 | 63.93 |
| C | 67.28 | 61.45 |
| D | 54.63 | 42.86 |
| E | 45.70 | 49.00 |
Naproxen adjusted data to some dissolution kinetic models has been reported by other authors. Azevedo de Mello et al. reported in vitro release of naproxen to Higuchi’s equation. Drug was loaded in poly-ε-caprolactone, nanoparticles used for extending the pharmacological action and reducing the frequency of administration [28]. Dissolution studies were carried out in USP paddle apparatus at 100 rpm with 0.1 M phosphate buffer pH 7.4 as dissolution medium. Meanwhile, Guo et al. fitted dissolution profiles to Korsmeyer-Peppas’ model [4]. Naproxen was loaded in mesoporous silica materials (ideal materials for encapsulation of pharmaceutical drugs). Experiments were performed in USP paddle apparatus at 50 rpm and simulated intestinal fluid pH 6.8 was used as dissolution medium.
Due to high variability observed in adjusting the in vitro release data to these three widely used dissolution kinetic models, dissolution profiles comparison using a derived parameter of any one of these three dissolution models was not possible. Then, a non-linear adjustment was used as an alternative fitting method.

Fig. 3: Influence of dissolution apparatus on the naproxen sodium release. Mean, n = 12
With the aim of comparing the drug release performance from the product-R in both dissolution systems, dissolution profiles of naproxen sodium are shown in fig. 3.
Considering the tendency of experimental results, dissolution data were adjusted to sigmoidal model according the following equation:

Where x is time point and y is percentage of drug dissolved at that time. Despite the difference in the hydrodynamic environment generated by the flow-through cell method and USP paddle apparatus, in both USP dissolution systems, equivalence in drug dissolution performance from the product-R was found. As dissolution rate of all generic products maintained the same dissolution pattern, dissolution data of these drug products were also adjusted with the sigmoidal equation. Results are shown in table 5. The data were adjusted to sigmoidal model allowed to obtain R2 values higher than 0.99.
In this in vitro equivalence study, data fitting to sigmoidal model was performed without any physiological significance in order to find a mathematical equation that explains the dissolution data behavior and generates estimates closer to reality than the three conventional dissolution equations used. The purpose of using mathematical models to adjust dissolution results is that they facilitate the analysis and interpretation of observed data because they describe the dissolution profiles as a function of only a few model parameters that can be statistically compared [29].
Table 5: R2 values and parameters derived to the adjustment of dissolution data to sigmoidal model. Mean, n = 12
| USP Apparatus | Product | R2 | a | b | x0 |
| 2 | R | 0.9931 | 88.95 | 7.06 | 10.41 |
| A | 0.9933 | 81.49 | 14.29 | 15.28 | |
| B | 0.9944 | 85.67 | 5.10 | 19.96 | |
| C | 0.9941 | 87.55 | 4.21 | 6.24 | |
| D | 0.9957 | 84.27 | 7.58 | 14.81 | |
| E | 0.9953 | 98.22 | 10.45 | 14.57 | |
| 4 | R | 0.9927 | 100.46 | 6.89 | 15.85 |
| A | 0.9941 | 91.22 | 6.31 | 13.09 | |
| B | 0.9908 | 88.42 | 6.94 | 21.44 | |
| C | 0.9971 | 97.14 | 4.07 | 10.50 | |
| D | 0.9936 | 102.31 | 6.45 | 16.01 | |
| E | 0.9941 | 89.59 | 5.74 | 13.53 |
Sigmoidal release is usually observed in press-coated or film-coated systems with tablets or pellets as substrate [30,31] and dissolution profiles with this release pattern has been reported by some authors. Wei et al. described the indomethacin release from pectin matrix tablets [30] and Kállai-Szabó et al. described the release of diclofenac sodium from layered and coated pellets [32]. Both are poorly soluble drugs with anti-inflammatory activity. Dissolution profiles of indomethacin were carried out in USP basket apparatus and diclofenac sodium with USP paddle apparatus. Both studies used 100 rpm as agitation rate and water as the dissolution medium. The authors agree that this kind of release profile may be therapeutically beneficial for timed release even Wei et al. reported that for diseases influenced by circadian rhythms such as heart diseases, asthma and arthritis; incremental release rate may be helpful to prevent exacerbation of nocturnal or early morning symptoms [30]. On the other hand, Jantratid et al. Also used diclofenac sodium as model drug [15]. They reported sigmoidal performance of drug from an oral modified-release pellet dosage form using USP basket (50 rpm) and paddle apparatus (75 or 125 rpm) with buffer solution pH 6.8 as dissolution medium and USP Apparatus 3 (10 dpm) and flow-through cell method (22.6 mm diameter test cells) with bio relevant dissolution medium. Authors reported that pharmacopoeia dissolution test was not able to predict food effects and biorelevant dissolution methodology is generally appropriate for the evaluation of the in vivo performance of drug with the USP Apparatus 4. It is important to note that almost all formulations used in the present in vitro study were film-coated dosage forms, justifying the observed behavior.
Other parameters used to characterize drug release profile are tx% and sampling time. The tx% corresponds to the time necessary to the release of a determined percentage of drug (e. g., t20%, t50%, t90%) and sampling time corresponds to the amount of drug dissolved in that time (e. g., t20 min, t50 min, t90 min). Pharmacopeias very frequently use this parameter as an acceptance limit of the dissolution test (e. g., t45 min≥80%) [33]. In order to find for a relationship between MDT (time to achieve 63.2% of dose dissolved) and a data derived from the sigmoidal model adjustment that represents the same extent of drug dissolution, t63.2% values were calculated with data reported in table 5. Fig. 4 shows t63.2% values vs MDT values, in both USP apparatuses, Linear regressions were calculated (R2=0.5442 vs 0.9550; USP paddle apparatus and flow-through cell method, respectively) and only with the use of USP Apparatus 4 less variation, high R2 value and a significant linear regression was found (*P<0.05).

Fig. 4: Linearity between MDT and t63.2% values of naproxen sodium from all studied products. Mean, n = 12
The correlation found between t63.2% (model-dependent parameter) and MDT data (model-independent parameter) for all drug products shows a uniformity between both approaches only with dissolution tests in the USP Apparatus 4. Hydrodynamic environment generated by the vessels system did not adequately characterize in vitro drug release from drug products studied.
According data reported by Razdan et al. dissolution conditions of naproxen tablets in USP basket apparatus at 100 rpm and phosphate buffer pH 7.4 failed to find any correlation between IVIV parameters implying that these conditions are not able to detect products having different absorption rate [18]. It is important to emphasize that in vitro condition used by Razdan et al. are similar to those generated by USP paddle apparatus at 50 rpm and these conditions are used as quality control test and it is not feasible to find a significant IVIVC with current pharmacopoeia method for naproxen tablets [18].
The results found in the present in vitro equivalence study prove the possibility that a low in vivo dissolution rate might be the cause of lack of bioequivalence. The flow-through cell method is an apparatus that better reflects the in vivo environment of the gastrointestinal tract and it is an appropriate option to find a significant IVIVC. Several authors have reported on this equipment a better estimate of an absorption rate (which is a better predictor of in vivo dissolution) of cilostazol and diclofenac sodium [14, 15] both poorly soluble drugs.
The results suggest that laboratories seeking significant IVIVC with naproxen sodium formulations of this type (coated tablets) are more likely to be found with in vitro studies using the flow-through cell method and not with conventional pharmacopoeia tests that use USP paddle apparatus. The hydrodynamic characteristics that USP Apparatus 4 generates (and supplemented with in vitro information from different commercial drug products) allow dissolution results with less variation comparing with results obtained with the conventional vessels system. Studies based on computational fluid dynamics revealed the complexity of the fluid flow in the paddle apparatus and the chaotic aspects of the hydrodynamics environment that this apparatus generates [34, 35]. It is better to look similarity with the dissolution profile of the reference product using the flow-through cell method since the formulations may not be the problem. The choice of the hydrodynamic environment under which the drug release is evaluated is a key factor in finding significant IVIVC. One supports interpreting dissolution data from the USP Apparatus 4 was carried out by D’Arcy et al. where computational fluid dynamics were used to simulate the hydrodynamics and mass transfer features in the flow-through cell apparatus [36] and by Kakhi et al. that examines the dissolution apparatus from an engineering fluid mechanics viewpoint [37].
The comparative in vitro dissolution study using the USP paddle apparatus and the flow-through cell method reveals significant differences in dissolution rate of naproxen sodium from Mexican immediate-release generic products and by the worldwide use of naproxen generics this could be replicated in other countries. It is essential to find dissolution conditions that allow discriminate between products and that in vitro results have greater ability to significant correlate with in vivo parameters. It is possible mentioned that generic products with differences in dissolution performance are candidates to show bioavailability differences and therefore it will be necessary to evaluate their in vivo performance before considering being interchangeable with the reference product.
CONCLUSION
The in vitro equivalence study reveals significant differences in dissolution rate of naproxen sodium from immediate-release generic products, showing a great variability between unit dosage forms when the USP paddle apparatus is used. The alternative flow-through cell method allows to obtain reliable data which could be useful when searching for an in vitro dissolution method that adequately reflects in vivo performance.
ACKNOWLEDGMENT
The authors are thankful to QFB Adriana Desireé Pineda Domínguez for her technical assistance.
CONFLICT OF INTERESTS
Declared None
REFERENCES