
aPharmaceutical Chemistry Division, School of Advanced Sciences, VIT University, Vellore, Tamil Nadu 632014, India, bDepartment of Chemistry, Kalasalingam University, Anand nagar, Krishnankoil, Tamil Nadu 626126, India
Email: aanapoleon@vit.ac.in
Received: 08 May 2015 Revised and Accepted: 11 Feb 2016
ABSTRACT
Objective: The present work aimed at synthesis of process related impurities of valganciclovir by using gancyclovir or monobenzyl ganciclovir as starting material comprising the following steps.
Methods:Selective hydrolysis, reaction with coupling reagent followed by hydrolysis under basic conditions and hydrogenolysis in the presence of catalyst.
Results: The final synthesized compounds 2-((2-amino-6-oxo-1H-purin-9(6H)-yl)methoxy)-3-(benzyloxy)propyl acetate 2, 2-((2-amino-6-oxo-1H-purin-9(6H)-yl) methoxy)-3-hydroxy propyl acetate 3, 2-((2-amino-6-oxo-1H-purin-9(6H)-yl) methoxy) propane-1,3-diylbis (2((benzyloxy)carbonyl) amino)-3-methylbutanoate) 6, and 2-((2-amino-6-oxo-1H-purin-9(6H)-yl)methoxy)propane-1,3-diylbis(2-amino-3-methylbutanoate) 7 were sucessfully characterized by using FT-IR, 1H NMR and LC-MS.
Conclusion: The two processes related impurities (monoacetoxy ganciclovir, 3 and bis-valine ester of ganciclovir, 7) of valganciclovir hydrochloride were reported via the formation of key intermediates (acetoxy benzyl ganciclovir, 2 and bis-Cbz-valine ester of ganciclovir, 6)
Keywords: Valganciclovir, Ganciclovir, Antiviral, Acyclic nucleosides
© 2016 The Authors. Published by Innovare Academic Sciences Pvt Ltd. This is an open access article under the CC BY license (http://creativecommons.org/licenses/by/4.0/)
INTRODUCTION
Over the past decades drugs have become an important part in human life to combat various diseases. Most of the drugs used in this modern era are purely synthetic which were completely different when compared to our ancient days. Nowadays it is quite clear that most of the drugs certainly possess various impurities either by chemical or microbial [1-3]. In an Active Pharmaceutical Ingredient (API), process related impurities may have significant impact on the safety and quality of the drug products. Presence of impurity in trace amounts in drug substance and drug product is inevitable [4-6]. Sometimes the effects generated by impurities can be teratogenic and mutagenic. It is therefore necessary to monitor the impurity profile of any API and control it during the manufacturing process [7]. Hence, API impurity and threshold values should comply with the limits set by ICH guidelines, according to this any impurity which are forming at a level of ≥ 0.10 % should be identified, synthesized and characterized separately [8,9]. So in any API there is a necessity to monitor the impurity profile and control it during the production [10].
Valganciclovir hydrochloride available under the trade name Valcyte commonly used for the treatment of retinitis caused by Cytomegalovirus (CMV). It is generally a prodrug of ganciclovir usually prescribed in patients who have impaired immune systems and also have applications in the people recovering from single or multiorgan transplants. Valganciclovir hydrochloride has high degree of water solubility with a pKa of 7.6 [11-14]. It is very important to understand the implications of acids and bases on valganciclovir because a slight change in pH results in hydrolysis and isomerisation substantially contributing to poor bioavailability [15, 16].
In the USP monograph of valganciclovir hydrochloride several impurities have been listed. Impurities in valganciclovir hydrochloride must be controlled and identified due to regulatory requirement and toxicity concerns. Literature survey reveals that there are several methods available for the synthesis of valganciclovir hydrochloride [17-20] and only a little amount of work has been carried out regarding synthesis of process related impurities of valganciclovir hydrochloride [21]. Schaeffer et al., have reported an alternate route for the synthesis of valganciclovir hydrochloride by using ganciclovir as starting material where both the hydroxyl groups are condensed with Cbz-L-valine anhydride to form bis-Cbz-L-valine ester of ganciclovir. Further, this is subjected to partial hydrolysis with n-propyl amine in hexane to obtain Cbz-L-valine ester of ganciclovir which is finally hydrogenated with palladium hydroxide on carbon and hydrogen in methanol in the presence of hydrochloric acid [22]. A number of patent applications have been published by scientists from Syntex Inc in which various derivatives of valganciclovir are obtained through coupling of N and O protected ganciclovir with Cbz or Boc protected L-valine followed by deprotection [23]. An alternative method has been described by the Rao and his team [24] for the synthesis of valganciclovir congeners by coupling mono O-acetyl protected ganciclovir with Cbz-L-valine followed by hydrogenolysis whereas Nestor and his coworkers have reported synthesis of valganciclovir congeners from guanine [25]. Katkam et al., have reported process for the preparation of valganciclovir and its salts. In this process partial hydrolysis of ganciclovir were carried out in presence of n-propylamine [26]. Ramachandra et al., have reported a process for the preparation of valganciclovir by using triacetyl ganciclovir as starting material [27]. Chandra and his team reported Preparation of esters of ganciclovir derivatives and enantiomerically pure esters of derivatives [28]. Recently Sharma and his coworkers have filed a patent in which valganciclovir derivatives were prepared by partial hydrolysis of bis Cbz-L-valine ester of ganciclovir followed by deprotection [29].
In the present work, four valganciclovir hydrochloride process related impurities namely 2-((2-amino-6-oxo-1H-purin-9(6H)-yl)methoxy)-3-(benzyloxy)propylacetate 2 (acetoxy benzyl gancyclovir), 2-((2-amino-6-oxo-1H-purin-9(6H)-yl)methoxy)-3-hydroxy propyl acetate 3 (monoacetoxy ganciclovir), 2-((2-amino-6-oxo-1H-purin-9(6H)-yl) methoxy) propane1,3-diylbis(2(((benzyloxy)carbonyl)amino)-3-methylbutanoate) 6 (bis-cbz-L-valine ester of ganciclovir), 2-((2-amino-6-oxo-1H-purin-9(6H)-yl) methoxy)propane-1,3-diylbis(2-amino-3-methylbutanoate) 7 (bis-L-valine ester of ganciclovir) were synthesized by using monobenzyl ganciclovir and as starting materials [fig. 1].
Fig. 1: Process related impurities of Valganciclovir hydrochloride
MATERIALS AND METHODS
Materials and Instruments
Solvents and reagents were commercially sourced and used without further purification. Thin layer chromatography (TLC) was performed on preparative plates of silica gel. Visualization was made with iodine chamber. Column chromatography was performed by using silica gel (100-200 mesh). NMR spectra were recorded on a Bruker Advance II-300 MHz spectro meter using TMS as internal standard (chemical shifts δ in ppm). LC-MS spectra were recorded on a Varian Inc, USA, 410 Prostar Binary LC with 500 MS IT PDA detectors.
Synthesis
The synthetic schemes leading to key precursors 2, 6 and the target compounds 3 and 7 formation are illustrated in [fig. 2-3]. The target compound mono acetoxy ganciclovir 3, was prepared using monobenzyl ganciclovir as a starting material. Monobenzyl ganciclovir is condensed with acetic acid in N,N-dimethyl-formamide (DMF) in the presence of N,N'-dicyclohexylcarbodiimide (DCC) and 4-dimethyl-amino pyridine (DMAP) to form acetoxy benzyl ganciclovir, which is benzyl protected monoacetoxy ganciclovir 2. Deprotection reaction to remove benzyl group in intermediate 2 was carried out in methanol in presence of hydrochloric acid using palladium hydroxide on carbon and hydrogen.
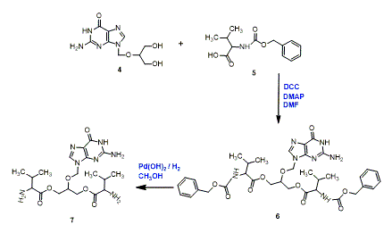
The target compound (bis-L-valine ester of ganciclovir) 7, was synthesized by using ganciclovir as a starting material where both the hydroxyl groups were condensed with Cbz-L-valine, 5 in (DMF) in the presence of (DCC) and 4-dimethyl-amino pyridine (DMAP) to form bis-Cbz-L-valine ester of ganciclovir intermediate, 6. This intermediate 6 was then hydrogenated in methanol with palladium hydroxide on carbon and hydrogen in the presence of hydrochloric acid.
General procedure for the synthesis of acetoxy benzyl ganciclovir, 2
A solution of acetic acid (0.34 ml, 0.005 mol) in DMF (5 ml) was added to a solution of (DCC) (0.7 g, 0.003 mol). The reaction mixture was stirred at 0 ˚C for 30 min. Later the reaction was filtered and the filtrate was added drop wise to a mixture of 2-amino-9-(((1-(benzyloxy)-3-hydroxypropan-2yl) oxy) methyl)-1H-Purin-6 (9H)-one, 1 (0.86g, 0.0025 mol), (DMAP) (35 mg, 0.001 mol) at 25 ˚C which was stirred over a period of 15 h. After stirring water was added to the reaction mixture and the layers were separated. The solvent from the organic layer was evaporated and ether (10 ml) was added to the residue and stirred further for 1 h. The solid precipitate formed after stirring was collected and dried for 30 min to afford 2 as white solid.
Fig. 2: Scheme for the synthesis of monoacetoxy ganciclovir, 3
Fig. 3: Scheme for the synthesis of bis-L-valine ester of ganciclovir, 7
General procedure for the synthesis of monoacetoxy ganciclovir, 3
To a stirred solution of 2 (0.50 g, 0.0013 mol) in methanol 10 % Pd (OH)2 (0.10 g, 0.0026 mol) was added and followed by addition of 33 % aqueous hydrochloric acid (0.5 ml). The resulting suspension was hydrogenated using autoclave at 4 kg/cm2 for about 3 h. The final reaction mixture was filtered through Celite and washed with methanol (6 ml). The solvent removed under vacuum and the residue was subjected to recrystallization using water: isopropanol (1:10) to afford 3 as white solid.
General procedure for the synthesis of (bis-L-valine ester of Ganciclovir), 7
To a stirred solution of ganciclovir 4 (0.30 g, 0.0012 mol) and Cbz-L-valine, 5 (0.60 g, 0.0024 mol) in DMF a solution of (DCC) (0.61 g, 0.003 mol) and (DMAP) (35 mg, 0.001 mol) was added at 25 ˚C and kept for stirring over a period of 12 h. After stirring water was added to the reaction mixture and the layers were separated. The solvent of the organic layer was evaporated and ether (10 ml) was added to the residue and stirred further for 1 h. The solid precipate formed after stirring was collected and dried for 30 min to afford 6. To the stirred solution of 6 (0.92 g, 0.0013 mol)in methanol 10 % Pd(OH)2 (0.10 g, 0.0026 mol) was added and followed by addition of 33 % aqueous hydrochloric acid (0.5 ml). The resulting suspension was hydrogenated using autoclave at 4 kg/cm2 for about 3 h. The final reaction mixture was filtered through celite and washed with methanol (6 ml). The solvent removed under vacuum and the residue was subjected to recrystallization using water: isopropanol (1:10) to afford 7 as off-white solid.
RESULTS AND DISCUSSION
Arzeno et al. have reported a process for the preparation of monoacetoxy ganciclovir using triacetyl ganciclovir as a starting material. Triacetyl ganciclovir is subjected to selective hydrolysis with an amine. Further, this intermediate is coupled with Cbz-L-valine in presence of (DCC) in a solvent mixture of methylene chloride and (DMF) and hydrolysed under basic conditions and finally hydrogenated in the presence of Palladium on carbon and hydrogen in presence of hydrochloric acid (HCl) in ethanol to prepare valganciclovir [30]. In the present work monoacetoxy ganciclovir 3 was prepared using monobenzyl ganciclovir as a starting material.
The process related substances of valganciclovir hydrochloride 2, 3, 6 and 7 were successfully synthesized and characterized. The structure of synthesized compound 2, was confirmed with 1H NMR spectra showing 21 protons in which 9 protons are aromatic (Supplement: fig: 1) and LC-MS further confirmed the molecular ion peak at 388.1 (M+1) (Supplement: fig: 2). The structure of synthesized compound 3, was confirmed with 1H NMR spectra showing 14 protons in which 4 protons are aromatic (Supplement: fig: 3) and LC-MS further confirmed the molecular ion peak at 296 (M-1) (Supplement: fig: 4). The structure of the synthesized compound 6, was confirmed with 1H NMR spectra showing 43 protons in which 16 protons are aromatic (Supplement: fig: 5) and LC-MS further confirmed the molecular ion peak at 721 (M+1) (Supplement: fig: 6). The structure of compound 7, was confirmed with 1H NMR spectra showing 31 protons in which 4 protons are aromatic (Supplement: fig: 7) and LC-MS further confirms the molecular ion peak at 453 (M+1) (Supplement: fig: 8).
Characterization
Compound 2: C18H21N5 O5, yield: 79 %, IR (KBr, Vmax cm-1): 1697 (O-C=O), 1635 (N-C=O), 1599 (C=N) (Supplement: Fig: 9). 1H NMR: (300 MHz, DMSO-d6) δ 1.86(s,3H,-CO-CH3), 3.29-3.50(m,2H,-CH-CH2-O), 3.91-4.10(m,3H,-O-CH-CH2-OCO-), 4.45(s,2H,-O-CH2-C6H5), 5.44 (s,2H,N-CH2-O), 6.50(s,2H,NH2), 7.24-7.37(m,5H,-CH2-C6H5), 7.28 (s,1H,-N-CH-N), 10.64(s,1H,-NH). LC-MS (m/z): 388.1 [M+1].
Compound 3: C11H14N5O5, yield: 82 %, IR (KBr, Vmax cm-1): 3500-3100 (N-H), 3400 (O-H) 1624.0 (Amide C=O), 1633.8 (C=N) (Supplement: Fig: 10). 1H NMR: (300 MHz, DMSO-d6) δ 1.85(s,3H,-CO-CH3), 3.35-3.44 (m,2H,-CH-CH2-O), 3.78-4.09(m,3H,-O-CH-CH2-OCO-), 4.85(t,1H,-CH2-OH), 5.44 (s,2H,N-(CH)2-O), 6.49 (s,2H,NH2), 7.81(s,1H,N-CH-N), 10.62 (s, 1H,-NH). LC-MS (m/z): 296 [M-1].
Compound 6: C35H43N7O10, yield: 85 %, IR (KBr, Vmax cm-1): 1100 (C-O), 1680-1630 (Amide C=O), 1730 (Ester C=O) (Supplement: Fig: 11). 1H NMR: (300 MHz, DMSO-d6) δ 0.82(s,12H,2 x-CH-(CH3)2), 1.92(s,2H,2 x-CH-(CH3)2, 3.87-3.92(m,2H,-CO-2 x CH-CH-(CH3)2, 4.03-4.24(m,5H,-O-CH-CH2-CH2-O),5.03(s, 4H, 2 x O-CH2-C6H5), 5.43(s,2H,N-CH2-O), 6.49(s,2H,NH2), 7.30-7.35(m,10H, 2 x CH2C6H5, 7.65-7.69 (m, 2H, 2 x NH-COO), 7.81(s,1H,-N-CH\-N), 10.65(s,1H,-NH). LC-MS (m/z): 721 [M+1].
Compound 7: C19H31N7O6, yield: 76 %, IR (KBr, Vmax cm-1): 3500-3100 (N-H) 1597 (Amide C=O), 1100 (C-O) (Supplements: Fig: 12). 1H NMR: (300 MHz, DMSO-d6) δ 0.74-0.83(m, 12H, 2 x-CH-(CH3)2, 1.67-1.73 (m, 2H, 2 x-CH-(CH3)2, 2.99-3.05 (m, 2H,2 x CH-CH(CH3)2, 4.02-4.19(m,5H,-CH-CH2-CH2), 5.43(s,2H,N-CH2-O), 6.57(bs,2H, NH-CH-NH2), 7.81(s,1H,-N-CH-N). LC-MS (m/z): 453 [M+1].
CONCLUSION
Two process related impurities (monoacetoxy ganciclovir, 3 and bis-L-valine ester of ganciclovir, 7) of valganciclovir hydrochloride were reported via the formation of key intermediates (acetoxy benzyl gancyclovir, 2 and bis-Cbz-L-valine ester of ganciclovir, 6) using synthetic schemes. These impurities were characterized by IR, NMR and LC-MS to confirm the presence of functional groups in their respective position. The developed synthetic scheme is reliable, economic and the synthesized impurities could be used as reference standards in analytical method validation of valganciclovir hydrochloride.
ACKNOWLEDGEMENT
The authors sincerely thank the management of VIT University, Vellore, Tamil Nadu, India for their constant encouragement and support and providing all the necessary facilities for carrying out this study.
CONFLICT OF INTERESTS
Declared none
REFERENCES