
Department of Pharmacy Practice, Annamacharya College of Pharmacy, Rajampet 516126,Andhra Pradesh, India
Email: giriraj.pharma@gmail.com
Received: 21 May 2015 Revised and Accepted: 12 Dec 2015
ABSTRACT
Objective: The aim of the study is to assess the various prescribing patterns in hypertension with different compelling indications.
Methods: It is a prospective observational study and carried out for a period of 1 y from Feb-2014 to Feb-2015. All the required data was collected from patients through personal interview and prescriptions. The data collected from the participants was entered into Microsoft excel spreadsheet and descriptive statistics were used. The mean and standard deviation (SD) were calculated.
Results: A total of 394 hypertensive patients with different comorbidities were included in which 251(63.70%) males and 143(36.29%) females were present with a mean (SD) age of 59.21±1.54. The most commonly reported first three co-morbidities along with hypertension were diabetes mellitus 191 (48.47%), stroke accounts for 57 (14.46%) and coronary artery disease in 32 (8.12%). Monotherapy was given in almost 200 (50.76%) patients and dual drug therapy was indicated in 166 (42.13%) patients, triple therapy was used only in 24 (6.09%) patients in the total sample size. Quadruple therapy is the least preferred combination therapy accounts only in 4 (1.01%) patients.
Conclusion: We conclude that calcium channel blockers and angiotensin II receptor blockers were the most commonly prescribed class of drugs either alone or in combination with other class of drugs for effective control of blood pressure patients with different compelling indications. Monotherapy was preferred than combination therapy.
Keywords: Hypertension, Comorbidities, Prescribing patterns, Diabetes mellitus.
© 2016 The Authors. Published by Innovare Academic Sciences Pvt Ltd. This is an open access article under the CC BY license (http://creativecommons.org/licenses/by/4.0/)
INTRODUCTION
Worldwide prevalence estimates for hypertension may be as much as 1 billion individuals, and approximately 7.1 million deaths per year may be attributable to hypertension and its complications [1]. Hypertension has been identified as a major risk factor not only for the development of diabetes but also for the development of micro and macrovascular complications that is, neuropathy, nephropathy, retinopathy, coronary artery disease (CAD), stroke, peripheral vascular disease (PVD) in diabetic patients[2]. Drugs play an important role in protecting, maintaining and restoring health [3]. A prescription-based survey is considered to be one of the most effective methods to assess and evaluate the prescribing attitude of physicians [4]. A large number of antihypertensive drugs alone or in various combinations are available and physicians need to choose the most appropriate drug for a particular patient. The standard treatment guidelines and drug utilization studies at regular intervals help physicians to prescribe drugs rationally. A wide range of antihypertensive drugs belonging to different pharmacological classes are available such as Angiotensin Converting Enzyme inhibitors, Beta Blockers, Angiotensin Receptor Blockers, Calcium Channel Blockers, Diuretics, Alpha-adrenergic blockers and central sympatholytics. Choice of drugs for particular patient changes at short intervals because of factors like efficacy, side effects, cost and development of newer drugs. Recommendations of various expert groups regarding the choice of drugs are available as treatment guidelines to reduce practice variability, cost and improve rational pharmacotherapy. Implementation of these guidelines has been shown to be effective in raising the quality of antihypertensive therapy [5].
This study was designed to evaluate the prescribing pattern of antihypertensive drugs by physicians in patients with different co-morbid conditions. We also assessed the most commonly prescribed class of drugs either alone or in combination with other class of drugs for effective control of blood pressure patients with different compelling indications. Failure to prescribe appropriate lifestyle modifications, adequate antihypertensive drug doses or appropriate drug combinations may result in inadequate BP control. The aim of the study is to assess the various prescribing patterns in hypertension with different compelling indications.
MATERIALS AND METHODS
Study design
It is a prospective observational study.
Study period
The present study was carried out for a period of 1 y from Feb-2014 to Feb-2015.
Study site
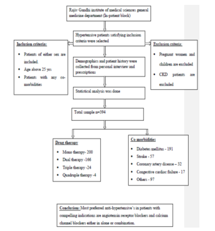
The present study was conducted at Rajiv Gandhi Institute of Medical Sciences (RIMS) at the inpatient department, Kadapa.
Source of data
All the patients satisfying the inclusion criteria were selected from medical inpatient and outpatient departments in Rajiv Gandhi institute of medical sciences (RIMS) Government Hospital, Kadapa. All the required data was collected from patients through personal interview and prescriptions.
Sample size
The total sample size was 394.
Inclusion criteria
Exclusion criteria
Method of collection of data
All the patients satisfying the inclusion criteria were selected from inpatient medical departments in Rajiv Gandhi institute of medical sciences (RIMS) Government Hospital, Kadapa.
Statistical analysis
The data collected from the participants was entered into Microsoft excel spreadsheet and descriptive statistics were used. Mean and standard deviation (SD) were calculated.
Fig. 1: Overview of the work
RESULTS
A total of 394 hypertensive patients with different comorbidities were included in which 251(63.70%) males and 143(36.29%) females were present with a mean (SD) age of 59.21±1.54as shown in table 1.
Fig. 2: Percentage based on drug therapy
Monotherapy was given in almost 200 (50.76%) patients and among them most commonly prescribed top two group of drug class were calcium channel blockers and angiotensin II receptor blockers which account for 50% and 32.5% respectively.
Dual drug therapy was indicated in 166 (42.13%) patients and the most commonly prescribed dual therapy regimen were angiotensin II receptor blockers+calcium channel blockers in 27.71% followed by β blockers+calcium channel blockers in 20.48% and calcium channel blockers+diuretics in 19.27% along with different combinations as shown in the table 6.
Triple therapy was used only in 24 (6.09%) patients in the total sample size. The most commonly prescribed triple therapy regimens were angiotensin II receptor blockers+calcium channel blockers+ diuretics in 33.3% followed by angiotensin II receptor blockers+ angiotensin converting enzyme inhibitors+diuretics in 25% along with other combinations as shown in the table 7.
Quadruple therapy is the least preferred combination therapy accounts only in 4 (1.01%) patients.Table 1: Sample distribution based on gender
Total patients with HTN |
Male patients (%) |
Female patients (%) |
394(100%) |
251(63.70%) |
143(36.29%) |
All the subjects with hypertension were categorized into different age groups to identify the commonly affected age group. Majority of patients were found to be in the age group of 56-65 y were 144 (36.80%), followed by 103 (26.14 %) in the people with>65 y, were represented in table 2.
Table 2: Different age groups in the study sample
Age group (yrs) |
No. of male patients |
No. of female patients |
Total No. of patients |
25-35y |
3 |
3 |
6 |
36-45y |
23 |
20 |
43 |
46-55y |
53 |
45 |
98 |
56-65y |
100 |
44 |
144 |
>65y |
72 |
31 |
103 |
Total |
251 |
143 |
394 |
Table 3: List of common Comorbidities in patients with hypertension
Comorbidity |
No. of male patients |
No. of female patients |
Total No. of patients |
DM |
121 |
70 |
191 |
CVA |
40 |
17 |
57 |
CAD |
24 |
8 |
32 |
CCF |
11 |
6 |
17 |
Others |
58 |
39 |
97 |
Hypertension is not a single disease that affects one system and it is the leading cause for many other diseases, therefore we have assessed various co-morbidities along with hypertension in the present study. The most commonly reported first three co-morbidities along with hypertension were diabetes mellitus 191 (48.47%), stroke accounts for 57 (14.46%) and coronary artery disease in 32 (8.12%).
Table 4: Monotherapy and combination therapy
Treatment |
No. of male patients |
No. of female patients |
Total No. of patients |
Mono therapy |
135 |
65 |
200(50.76%) |
Dual therapy |
100 |
66 |
166(42.13%) |
Triple therapy |
14 |
10 |
24 6(.09%) |
Quadruple therapy |
2 |
2 |
4(1.01%) |
Table 5: Different class of drugs commonly used in Monotherapy
Class |
Dm |
Cva |
Cad |
Ccf |
Others |
Total |
Calcium channel blockers |
41 |
10 |
5 |
5 |
39 |
100 |
Angiotensin II receptor blocker |
42 |
15 |
4 |
3 |
1 |
65 |
ACE Inhibitors |
7 |
4 |
2 |
13 |
||
β blockers |
15 |
3 |
4 |
22 |
||
Total |
105 |
32 |
13 |
8 |
42 |
200 |
Table 6: Different class of drugs used in dual therapy
Combination |
Dm |
Cva |
Cad |
Ccf |
Others |
Total |
A+C |
28 |
10 |
8 |
46 |
||
B+C |
23 |
4 |
4 |
2 |
1 |
34 |
C+E |
7 |
1 |
4 |
12 |
||
C+D |
14 |
2 |
5 |
3 |
8 |
32 |
C+F |
1 |
9 |
10 |
|||
A+D |
1 |
1 |
1 |
7 |
10 |
|
B+D |
1 |
2 |
3 |
|||
A+B |
2 |
2 |
1 |
4 |
9 |
|
E+D |
2 |
1 |
3 |
|||
B+E |
2 |
1 |
3 |
|||
A+E |
1 |
3 |
4 |
|||
Total |
81 |
20 |
14 |
7 |
44 |
166 |
A-Angiotensin II receptor blocker; B-β-blockers; C-Calcium channel blockers; D-Diuretics; E-ACE-Inhibitors; F-α-blocker
Table 7: Different class of drugs used in triple therapy
Combination |
Dm |
Cva |
Cad |
Ccf |
Others |
Total |
C+E+D |
1 |
2 |
1 |
1 |
1 |
6 |
A+B+D |
2 |
3 |
5 |
|||
B+C+D |
2 |
1 |
3 |
|||
A+C+D |
3 |
2 |
3 |
8 |
||
A+D+E |
1 |
1 |
2 |
|||
Total |
5 |
4 |
5 |
1 |
9 |
24 |
A-Angiotensin II receptor blocker; B-β-blockers; C-Calcium channel blockers; D-Diuretics; E-ACE-Inhibitor
Table 8: Different class of drugs used in quadruple therapy
Combination |
Dm |
Cva |
Cad |
Ccf |
Others |
Total |
A+B+C+E |
1 |
1 |
2 |
|||
A+C+D+E |
1 |
1 |
2 |
|||
Total |
1 |
1 |
2 |
4 |
A-Angiotensin II receptor blocker; B-β-blockers; C-Calcium channel blockers; D-Diuretics; E-ACE-Inhibitors
DISCUSSION
In the present study, we classified the hypertensive patients based on drug therapy into four categories like patients on Monotherapy, dual, triple & quadruple therapies along with the various commonly observed comorbidities. According to present study the compelling indication of HTN, diabetes mellitus 48.47% was most common, it was supported by Preethi et al.[6]., the study found that diabetes mellitus 38.71% was most common.
According to the joint national committee (JNC) 7 guidelines these are the preferred class of drugs for patients with different compelling indications like diabetes mellitus, stroke and coronary artery disease. In the present study, the same was observed, i.e., irrespective of co morbidity and combination therapy calcium channel blockers and angiotensin II receptor blockers were most commonly prescribed.
In the present study, monotherapy was given in almost 200 (50.76%) patients prescribed with CCBs (25.38%) followed by ARBs (16.49%), beta-blockers (5.58%) and ACE inhibitors (3.2%) these results supported by Mohammad Arief et al.[7]., study found that among 400 patients, 351 patients received monotherapy and only 49 patients received a combination therapy. Contrary evidence emerged out of major studies like blood pressure-lowering arm of the Anglo-Scandinavian Cardiac Outcomes Trial (ASCOT-BPLA) and national institute for health and excellence(NICE) which suggested that beta blockers are less effective than ACE inhibitors or CCBs in reducing the risk of DM and stroke Sharminder Kaur et al. [8].
Present study dual drug therapy was given in 166 (42.13%) patients and the most commonly prescribed dual therapy regimen were angiotensin II receptor blockers+calcium channel blockers in 27.71% followed by β blockers+calcium channel blockers in 20.48% and calcium channel blockers+diuretics in 19.27% along with different combinations but Anand Kale et al.[9]., the study found that two-drug combinations, a diuretic with angiotensin receptor blocker (29.5%) was most commonly prescribed followed by a ß blocker with a calcium channel blocker (22.1 %).
Triple therapy was used only in 24 (6.09%) patients most commonly prescribed triple therapy regimens were angiotensin II receptor blockers+calcium channel blockers+diuretics in 33.3% followed by angiotensin II receptor blockers+angiotensin converting enzyme inhibitors+diuretics in 25% but Preethi et al.[6]., the study reported ACE inhibitors, β-blocker and loop diuretics combination was mostly prescribed 25.54% and Angiotensin II receptor blockers, β-blocker and ACE inhibitors combination was given least preference 27%. Usage of four drugs is uncommon, and only 1.01% patients were prescribed four drug combinations, these results supported by Preethi et al. [6].
RanjeetaKumari et al.[3]., the study reveals that despite all the efforts taken by the government and the WHO, the pattern of prescription in terms of completeness and rationality remains poor. There is an urgent need to develop standards of drug prescription and develop ways and means to ensure that they are adhered to. Special attention needs to be given to the primary and secondary level health facilities, where significant irrational prescribing in terms of polypharmacy and the relative absence of the directions about the use of drugs was evident. This could be done by making it mandatory for the prescribers to attend regular continuing medical education (CME), so as to update their knowledge.
CONCLUSION
We conclude that calcium channel blockers and angiotensin II receptor blockers were the most commonly prescribed drugs either alone or in combination with other class of drugs for effective control of blood pressure in different comorbid conditions. Calcium channel blockers (CCBs) may be useful to diabetics, particularly as part of combination therapy to control BP as well as reduce the risk of cardiovascular disease (CVD) events in diabetics. Angiotensin II receptor blockers (ARBs) are more effective in slowing the progression of chronic kidney disease (CKD) than other antihypertensive regimens. Monotherapy was preferred than combination therapy. These two classes of drugs reduce the complications associated with hypertension. Prescribing patterns of antihypertensive drugs were in concordance with joint national committee (JNC) 7 guidelines for patients with different compelling indications.
ABBREVIATION
DM: Diabetes mellitus, CVA: Cerebrovascular accident, CVD: Cardiovascular disease, PVD: Peripheral vascular disease, CAD: Coronary artery disease, CCF: Congestive cardiac failure, CKD: Chronic kidney disease, JNC: Joint national committee, CCBs: Calcium channel blockers, ARBs: Angiotensin receptor blockers, ASCOT-BPLA: Blood pressure-lowering arm of the, Anglo-Scandinavian Cardiac Outcomes Trial, NICE: National institute for health and excellences, WHO: World health organization, CME: Continuing medical education
CONFLICT OF INTERESTS
The authors declare that they have no conflict of interest
REFERENCES